Field Studies on Expansive Soil Stabilization with Nanomaterials and Lime for Flexible Pavement
Abstract
:1. Introduction
1.1. Literature Review
1.2. Research Gap and Objective
- To evaluate the physical properties of expansive soil treated with different dosages of chemicals and limes using a CBR and UCS;
- To investigate and understand the combined effect of chemical and lime treatment through semi-field studies;
- To assess the influence of the combined effect of chemicals and limes on expansive soil field CBR measured by the dynamic cone penetrometer test (DCPT) and compare the cost analysis based on the mechanistic–empirical flexible pavement design;
- To develop an empirical CBR model for lime and chemically treated expansive soils.
2. Materials
2.1. Black Cotton Soil
2.2. Terrasil
2.3. Zycobond
2.4. Lime
3. Experimental Methodology
3.1. Method
3.2. Sample Preparation
3.3. Free Swelling Index
3.4. Compaction
3.5. California Bearing Ratio
3.6. Unconfined Compressive Strength
4. Results and Discussion
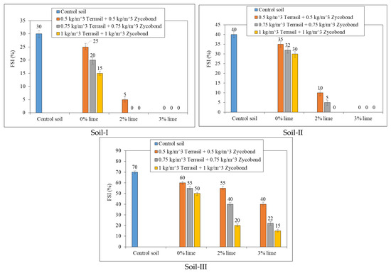
4.1. Free Swelling Index (FSI)
4.2. Optimum Moisture Content and Maximum Dry Density
4.3. California Bearing Ratio
4.4. Unconfined Compressive Strength
5. Field Studies
- (a)
- Section I (Chainage 343 + 100 to 343 + 150)
- The tractor with a ripper and rotavator arrangement was used in this study to pulverize the black cotton soil and uniformly mix limes and chemicals to finish the work.
- The required quantity of the chemical was mixed with the water. The optimum quantity of the water mixed with the chemical spread uniformly over the lime-mixed surface using the tanker to cover the entire surface. After sprinkling, water soil was thoroughly mixed using the rotavator for a uniform mixing of chemicals and limes, as shown in Figure 8d.
- The treated soil is compacted using a 10-ton vibratory roller with two layers, as shown in Figure 8e.
- After 7 days of curing, the density of the compacted layer using the core cutter apparatus was measures, as shown in Figure 8f. The degree of compaction achieved was 95%.
- (b)
- Section II (Chainage 343 + 150 to 343 + 200)
5.1. Testes on the Filed Section
5.1.1. DCPT Test
- C.B.R—field CBR value
- DPIIndex—DCP index mm/blow.
5.1.2. Water Affinity
6. Pavement Design
- NR—Rutting life of the subgrade;
- Nf—Fatigue life of the bituminous layer;
- —Vertical compressive strain at the top of the subgrade;
- —Horizontal tensile strain at the bottom of the bituminous layer;
- MRm—Bituminous layer-resilient modulus;
- Va—Air voids in the bituminous mix;
- Vbe—Volume of effective bitumen in the mix;
- C—Adjustment factor.
7. Development of the CBR Prediction Model
7.1. Assessing the Statistical Significance of the CBR Model
7.2. Comparison of Predicted and Observed CBR Data
8. Conclusions
- The FSI values of Soil-I and Soil-II are completely reduced by the addition of 3% lime, whereas Soil-III is reduced by 79%. This is because the water affinity of the soil decreased because of the pozzolanic reaction, which binds the flocculated soil particles.
- The addition of Terrasil and Zycobond results in an increase in the MDD and a decrease in the OMC. However, the addition of lime reduced the MDD and enhanced the OMC.
- The CBR and UCS increased by 7 to 8 and 3 to 4 times, respectively, with the addition of 3% lime, 1 kg/m3 of Terrasil, and 1 kg/m3 of Zycobond.
- The result from the UCS and CBR tests establishes that the optimum dosage is 3% lime + 1 kg/m3 of Terrasil + 1 kg/m3 of Zycobond for the treatment of black cotton soil.
- The measured field CBR value of the chemically treated soil significantly improved from 20% to 26.9% with a curing period of 3 months. Field-measured CBR is almost similar to the laboratory-measured CBR values in both sections.
- The pavement design indicated that a chemical stabilization layer could be helpful to reduce asphalt layer thickness by 30 mm, and the saving in cost is approximately 10.75 lakhs per lane km compared with the lime/untreated layer.
- An empirical model for lime and chemically treated black cotton soil was developed using the DOE method. The model is useful for predicting the CBR by considering lime %, chemical dosage, and proctor values of the soil to be treated. Further, numerical models can be developed using artificial intelligence suiting different types of unsuitable soil.
Author Contributions
Funding
Institutional Review Board Statement
Informed Consent Statement
Data Availability Statement
Conflicts of Interest
Abbreviations
References
- White, D. Influence of Subgrade Non-Uniformity on PCC Pavement Performance. In Proceedings of the GeoTrans 2004, Los Angeles, CA, USA, 27–31 July 2004. [Google Scholar]
- Sobhan, K. Challenges due to problematic soils: A case study at the crossroads of geotechnology and sustainable pavement solutions. Innov. Infrastruct. Solut. 2017, 2, 40. [Google Scholar] [CrossRef]
- Sahis, M.K.; Biswas, P.P. Optimization of bituminous pavement thickness using mechanistic-empirical strain-based design approach. Civ. Eng. J. 2021, 7, 804–815. [Google Scholar] [CrossRef]
- Kushwaha, P.; Chauhan, A.S.; Swami, B.L. Experimental investigation on stabilization of subgrade soil using bio-enzymatic additive for pavement construction. Innov. Infrastruct. Solut. 2022, 7, 137. [Google Scholar] [CrossRef]
- Puppala, A.J.; Pedarla, A. Innovative ground improvement techniques for expansive soils. Innov. Infrastruct. Solut. 2017, 2, 24. [Google Scholar] [CrossRef]
- Chaurasia, V.S.; Pandey, P.P.; Mishra, A.V.; Gupta, S.S.; Pawar, A.U. Stabilization of soil using terrazyme for road construction. In Proceedings of the Indian Geotechnical Conference 2019: IGC-2019, Surat, Gujarat, 19–21 December 2019; Volume 3, pp. 671–683. [Google Scholar]
- Aswathy, C.M.; Raj, A.S.; Sayida, M.K. Effect of bio-enzyme—Chemical stabilizer mixture on improving the subgrade properties. In Problematic Soils and Geoenvironmental Concerns: Proceedings of IGC 2018; Springer: Singapore, 2018; pp. 779–787. [Google Scholar]
- Nelson, J.; Miller, D.J. Expansive Soils: Problems and Practice in Foundation and Pavement Engineering; John Wiley & Sons: Hoboken, NJ, USA, 1997. [Google Scholar]
- Puppala, A.J.; Musenda, C. Effects of fiber reinforcement on strength and volume change in expansive soils. Transp. Res. Rec. 2000, 1736, 134–140. [Google Scholar] [CrossRef]
- Nelson, J.D.; Chao, K.C.; Overton, D.D.; Nelson, E.J. Foundation Engineering for Expansive Soils; John Wiley & Sons: Hoboken, NJ, USA, 2015. [Google Scholar]
- Daraei, A.; Sherwani, A.F.H.; Faraj, R.H.; Mohammad, S.; Kurdo, S.; Zare, S.; Mahmoodzadeh, A. Stabilization of problematic soil by utilizing cementitious materials. Innov. Infrastruct. Solut. 2019, 4, 33. [Google Scholar] [CrossRef]
- Pritam, S.; Iyer, K.K.R. Effect of stabilization on characteristics of subgrade soil: A review. In Advances in Computer Methods and Geomechanics: IACMAG Symposium 2019; Springer: Singapore, 2019; Volume 1, pp. 667–682. [Google Scholar]
- Akinwumi, I.I.; Aidomojie, O.I. Effect of corncob ash on the geotechnical properties of lateritic soil stabilized with Portland cement. Int. J. Geomat. Geosci. 2015, 5, 375–392. [Google Scholar]
- Tang, K.; Zeng, F.; Shi, L.; Zhu, L.; Chen, Z.; Zhang, F. Mechanical Behavior of Hydrated-Lime–Liquid-Stabilizer-Treated Granular Lateritic Soils. Sustainability 2023, 15, 5601. [Google Scholar] [CrossRef]
- Bell, F.G. Lime stabilization of clay minerals and soils. Eng. Geol. 1996, 42, 223–237. [Google Scholar] [CrossRef]
- Scholen, D.E. Stabilizer mechanisms in nonstandard stabilizers. Transportation research board conference proceedings. In Proceedings of the 6th International Conference on Low-Volume Roads, Minneapolis, MN, USA, 25–29 June 1995. [Google Scholar]
- Pooni, J.; Giustozzi, F.; Robert, D.; Setunge, S.; O'Donnell, B. Durability of enzyme stabilized expansive soil in road pavements subjected to moisture degradation. Transp. Geotech. 2019, 21, 100255. [Google Scholar] [CrossRef]
- Dipak, S.C.; Srirama, D. A review of stabilization of expansive soils by using nanomaterials. In Proceedings of the 50th Indian Geotech. Conference, Maharashtra, India, 17–19 December 2015; pp. 17–19. [Google Scholar]
- Taha, M.R.; Khan, T.A.; Jawad, I.T.; Firoozi, A.A.; Firoozi, A.A. Recent experimental studies in soil stabilization with bio-enzymes–a. Electron. J. Geotech. Eng. 2013, 18, 3881–3894. [Google Scholar]
- Venkatasubramanian, C.; Dhinakaran, G. Effect of bio-enzymatic soil stabilisation on unconfined compressive strength and California Bearing Ratio. JEAS-J. Eng. Appl. Sci. 2011, 6, 295–298. [Google Scholar]
- Lacuoture, A.; Gonzalez, H. Usage of Organic Enzymes for the Stabilization of Natural Base Soils and Sub-Bases in Bagota; Pontificia Universidad Jevariana, Faculty of Engineering: Bogota, Colombia, 1995. [Google Scholar]
- Bin Hitam, S. Sustainable Energy Policy and Strategies: A Pre-Requisite for the Concerted Development and Promotion of the Renewable Energy in Malaysia. 1999. Available online: https://d1wqtxts1xzle7.cloudfront.net/6337375/unpan003226-libre.pdf?1390845703=&response-content-disposition=inline%3B+filename%3DSustainable_Energy_Policy_and_Strategies.pdf&Expires=1698133273&Signature=gDmwKb5lkGqBPRK4vktRi2G8E-6lJiV5HlRYZzrzkrIfrD9NovPT8TOW7UNBcLyJXwVela9UekHV9YBEtAXx1t5nlByywhmo05qvrZCjFlQIMEpY8b2kBA6~WtEsef9GCDhmCyiDE0M~DdvrAZLqqbBLOz5Tt2ISDepp5M5a0R0McVM6MQDi12h5AZv77En5vOSGvuTe-4MRAN78rldC77sc8Psuqz-YzCGLGhQSF5KW4VOwdxwsByvylFps0D8JCNrBBI5uObuVOGcCjXK0csazGxCByeKflKfSyd25Ov-uUQGnWn3TUb~7bjfaRv0CgF9kL0QqiIPm4zqYU5TdQw__&Key-Pair-Id=APKAJLOHF5GGSLRBV4ZA (accessed on 18 September 2023).
- Tingle, J.S.; Newman, J.K.; Larson, S.L.; Weiss, C.A.; Rushing, J.F. Stabilization mechanisms of nontraditional additives. Transp. Res. Rec. 2007, 1989, 59–67. [Google Scholar] [CrossRef]
- Khan, T.A.; Taha, M.R. Effect of three bioenzymes on compaction, consistency limits, and strength characteristics of a sedimentary residual soil. Adv. Mater. Sci. Eng. 2015, 2015, 798965. [Google Scholar] [CrossRef]
- Sahoo, S.; Sridevi, G. Soil stabilization using bio-enzyme. Int. J. Pure Appl. Math. 2018, 118, 1–10. [Google Scholar]
- Li, Y.J.; Li, L.; Dan, H.C. Study on application of TerraZyme in road base course of road. Appl. Mech. Mater. 2011, 97, 1098–1108. [Google Scholar] [CrossRef]
- IS 2720-2; Methods of Test for Soils Part II Determination of Water Content. BIS (Bureau of Indian Standards): New Delhi, India, 1973.
- IS 1498-1970; Classification and Identification of Soils for General Engineering Purposes. BIS (Bureau of Indian Standards): New Delhi, India, 1970.
- IS 2720-5; Methods of Test for Soils, Part 5: Determination of Liquid Limit and Plastic Limit. BIS (Bureau of Indian Standards): New Delhi, India, 1985.
- IS 2720-40; Methods of Test for Soils Part XL Determination of Free Swell Index of Soils. BIS (Bureau of Indian Standards): New Delhi, India, 1977.
- IS 2720-8; Methods of Test for Soils, Part 8: Determination of Water Content-Dry Density Relation Using Heavy Compaction. BIS (Bureau of Indian Standards): New Delhi, India, 1983.
- IS 2720-16; Methods of Test for Soils, Part 16: Laboratory Determination of CBR. BIS (Bureau of Indian Standards): New Delhi, India, 1987.
- IS 1514: 1990; Methods of Sampling and Test for Quicklime and Hydrated Lime. BIS (Bureau of Indian Standards): New Delhi, India, 1990.
- IRC 37; Guidelines for the Design of Flexible Pavements, 4th ed. Indian Roads Congress: New Delhi, India, 2018.
- IS 4332-5; Methods of Test for Stabilized Soils, Part 5: Determination of Unconfined Compressive Strength of Stabilized soils. BIS (Bureau of Indian Standards): New Delhi, India, 1970.
- Zhao, H.; Ge, L.; Petry, T.M.; Sun, Y.-Z. Effects of chemical stabilizers on an expansive clay. KSCE J. Civ. Eng. 2014, 18, 1009–1017. [Google Scholar] [CrossRef]
- Sharma, A.K.; Sivapullaiah, P.V. Swelling behaviour of expansive soil treated with fly ash–GGBS based binder. Geomech. Geoengin. 2017, 12, 191–200. [Google Scholar] [CrossRef]
- Zha, F.; Liu, S.; Du, Y.; Cui, K. Behavior of expansive soils stabilized with fly ash. Nat. Hazards 2008, 47, 509–523. [Google Scholar] [CrossRef]
- Sivapullaiah, P.V.; Prasad, B.G.; Allam, M.M. Effect of sulfuric acid on swelling behavior of an expansive soil. Soil Sediment Contam. 2009, 18, 121–135. [Google Scholar] [CrossRef]
- Pourakbar, S.; Asadi, A.; Huat, B.B.; Fasihnikoutalab, M.H. Soil stabilisation with alkali-activated agro-waste. Environ. Geotech. 2015, 2, 359–370. [Google Scholar] [CrossRef]
- Malik, V.; Priyadarshee, A. Compaction and swelling behavior of black cotton soil mixed with different non-cementitious materials. Int. J. Geotech. Eng. 2018, 12, 413–419. [Google Scholar] [CrossRef]
- AbouKhadra, A.; Zidan, A.F.; Gaber, Y. Experimental evaluation of strength characteristics of different Egyptian soils using enzymatic stabilizers. Cogent Eng. 2018, 5, 1517577. [Google Scholar] [CrossRef]
- Eujine, G.N.; Chandrakaran, S.; Sankar, N. Accelerated subgrade stabilization using enzymatic lime technique. J. Mater. Civ. Eng. 2017, 29, 04017085. [Google Scholar] [CrossRef]
- Renjith, R.; Robert, D.J.; Gunasekara, C.; Setunge, S.; O’donnell, B. Optimization of enzyme-based soil stabilization. J. Mater. Civ. Eng. 2020, 32, 04020091. [Google Scholar] [CrossRef]














| Particulars | Soil-I | Soil-II | Soil-III | Standard |
|---|---|---|---|---|
| (Lunawada) | (Rajpipla) | (Halol) | ||
| % | % | % | ||
| Aggregates | 0 | 0 | 0 | IS 2720—Part 2 [27] and IS 1498 [28] |
| Sand | 30.5 | 21.3 | 8.9 | |
| Silt and clay | 69.5 | 78.5 | 91.1 | |
| LL | 31.75 | 41.54 | 68.2 | IS 2720—Part 5 [29] |
| PL | 19.32 | 22.58 | 34.73 | |
| PI | 12.43 | 18.96 | 33.48 | |
| FSI | 30 | 40 | 70 | IS 2720—Part 40 [30] |
| MDD | 1.960 | 1.830 | 1.820 | IS 2720—Part 8 [31] |
| OMC | 9.6 | 14 | 13.7 | IS 2720—Part 8 [31] |
| CBR | 4.5 | 3.31 | 1.86 | IS 2720—Part 16 [32] |
| S. No. | Properties | Values |
|---|---|---|
| 1 | Color | Pale yellow |
| 2 | Odor | Slightly aromatic |
| 3 | Physical state | Liquid |
| 4 | Flashpoint (°C) | 90 |
| 5 | Density (g/mL) | 1.05 |
| 6 | Viscosity @ 25 °C, (cP) | 100–500 |
| 7 | Boiling point (°C) | 211 |
| 8 | pH | 3.1–5.0 |
| S. No. | Properties | Values |
|---|---|---|
| 1 | Physical state | Liquid, dispersion |
| 2 | Odor | Faint odor |
| 3 | Color | Translucent |
| 4 | Flashpoint (°C) | >70 |
| 5 | Density (g/mL) | 1–1.02 |
| 6 | Viscosity @ 30 °C, (cP) | 20–200 |
| 7 | Boiling point (°C) | 100 |
| 8 | pH | 5.0–5.6 |
| S. No. | Properties | Values |
|---|---|---|
| 1 | Physical state | Solid |
| 2 | Density (g/cc) | 2.34 |
| 3 | Specific gravity | 3.1 |
| 4 | Boiling point (°C) | 2910 |
| 5 | Melting point (°C) | 2565 |
| 6 | pH | 12.35 |
| Sl. No. | Chainage in Mtr. | After 7 Days of the Curing Period | Measurement after 3 Months | ||
|---|---|---|---|---|---|
| DPI Value | CBR Value | DPI Value | CBR Value | ||
| 1 | 343 + 105 | 10.2 | 21.8 | 8.6 | 26.4 |
| 2 | 343 + 115 | 10.6 | 20.7 | 8.9 | 25.4 |
| 3 | 343 + 125 | 9.9 | 22.5 | 8.3 | 27.1 |
| 4 | 343 + 135 | 10.9 | 20.0 | 8.4 | 27.0 |
| 5 | 343 + 145 | 11.2 | 19.6 | 8.0 | 28.6 |
| Average: | 20.9 | 26.9 | |||
| Sl. No. | Chainage in Mtr. | After 7 Days of the Curing Period | Measurement after 3 Months | ||
|---|---|---|---|---|---|
| DPI Value | CBR Value | DPI Value | CBR Value | ||
| 1 | 343 + 155 | 47.4 | 3.9 | 46.8 | 3.9 |
| 2 | 343 + 165 | 45.7 | 4.0 | 45.2 | 4.1 |
| 3 | 343 + 175 | 44.4 | 4.2 | 43.8 | 4.2 |
| 4 | 343 + 185 | 46.4 | 4.0 | 45.3 | 4.1 |
| 5 | 343 + 195 | 47.5 | 3.9 | 45.8 | 4.0 |
| Average: | 4.0 | 4.1 | |||
| Pavement Layer | Modulus | Poisson’s Layer | |
|---|---|---|---|
| Section I (BC soil + Chemical + lime) | |||
| Subgrade layer CBR = 15% | MRS = 17.6 × (CBR)0.64 (CBR > 5%) MRS = 17.6 × (15)0.64 = 99.6 MPa | 0.35 | |
| Granular layer thickness 250 mm GSB—250; WMM—200 | MRGRAIN = 0.2 (h)0.64 × MRS MRGRAIN = 0.2 (450)0.64 × 99.6 = 311 MPa | 0.35 | |
| Bituminous layer | Mr = 3000 MPa | 0.35 | |
| Section II (BC soil + lime) | |||
| Subgrade layer CBR = 8% | MRS = 17.6 × (CBR)0.64 (CBR > 5%) MRS = 17.6 × (8)0.64 = 66.6 MPa | 0.35 | |
| Granular layer thickness 250 mm GSB—250; WMM—200 | MRGRAIN = 0.2 (h)0.64 × MRS MRGRAIN = 0.2 (405)0.64 × 66.6 = 208 MPa | 0.35 | |
| Bituminous layer | Mr = 3000 MPa | 0.35 | |
| INPUT FOR IITPAVE | |||
| Tire pressure | 0.56 MPa | ||
| Dual wheel single axle | 80 kN (Load on each wheel—20 kN) | ||
| Center-to-center spacing | 310 mm | ||
| STRAIN VALUES AS PER IRC 37:2018 | |||
| Actual | Section I | Section II | |
| 237 µstrain | 218 µstrain | 223 µstrain | |
| 416 µstrain | 295 µstrain | 357 µstrain | |
| Asphalt layer thickness in mm | 90 | 120 | |
| Rate (per kg) | Lime Treated | Chemical Treated | ||
|---|---|---|---|---|
| A | Test track dimension | |||
| 1 | Length (m) | 1000 | 1000 | |
| 2 | Width (m) | 3.5 | 3.5 | |
| 3 | Crust thickness (m) | 0.570 | 0.540 | |
| B | Material cost | |||
| 1 | Cost of Terrasil (lakhs/km) (Dosage 0.75 kg/m3) | 550 | - | 3.61 |
| 2 | Cost of Zycobond (lakhs/km) (Dosage 0.75 kg/m3) | 250 | - | 1.64 |
| 3 | Asphalt (rate/cum) | 10000 | - | - |
| 4 | Cost of lime (Rs/kg) (Dosage 3%) | 1.5 | 0.67 | 0.67 |
| C | Test track cost | |||
| 1 | Improvement in CBR % | 4% | 20.9% | |
| 2 | Asphalt layer thickness in mm | 120 | 90 | |
| 3 | Total cost of material in lakhs per lane km | - | 0.67 | 5.25 |
| 2 | Cost of reduced asphalt thickness—lakhs per lane km (B3) | - | - | (11) |
| 3 | Cost of replacement in lakhs per lane km | - | 5 | - |
| 4 | Additional cost of construction in lakhs per lane km | - | 5 | (5.75) |
| 5 | Saving in lakhs per lane km | - | 10.75 | |
Disclaimer/Publisher’s Note: The statements, opinions and data contained in all publications are solely those of the individual author(s) and contributor(s) and not of MDPI and/or the editor(s). MDPI and/or the editor(s) disclaim responsibility for any injury to people or property resulting from any ideas, methods, instructions or products referred to in the content. |
© 2023 by the authors. Licensee MDPI, Basel, Switzerland. This article is an open access article distributed under the terms and conditions of the Creative Commons Attribution (CC BY) license (https://creativecommons.org/licenses/by/4.0/).
Share and Cite
Pokkunuri, G.R.; Sinha, R.K.; Verma, A.K. Field Studies on Expansive Soil Stabilization with Nanomaterials and Lime for Flexible Pavement. Sustainability 2023, 15, 15291. https://doi.org/10.3390/su152115291
Pokkunuri GR, Sinha RK, Verma AK. Field Studies on Expansive Soil Stabilization with Nanomaterials and Lime for Flexible Pavement. Sustainability. 2023; 15(21):15291. https://doi.org/10.3390/su152115291
Chicago/Turabian StylePokkunuri, Guru Raju, Rabindra Kumar Sinha, and Amit K. Verma. 2023. "Field Studies on Expansive Soil Stabilization with Nanomaterials and Lime for Flexible Pavement" Sustainability 15, no. 21: 15291. https://doi.org/10.3390/su152115291
APA StylePokkunuri, G. R., Sinha, R. K., & Verma, A. K. (2023). Field Studies on Expansive Soil Stabilization with Nanomaterials and Lime for Flexible Pavement. Sustainability, 15(21), 15291. https://doi.org/10.3390/su152115291

