Flow Patterns around a Marginal Bank under the Action of Unsteady Flow
Abstract
:1. Introduction
2. Model Test
2.1. Model Design
2.2. Test Schemes
2.3. Arrangement of Test Points
2.3.1. Flow Velocity Measurement
2.3.2. Water Level Measurement
2.4. Test Measurement System
3. Results and Analyses
3.1. Water Surface Line Distribution
3.1.1. Longitudinal Water Surface Distribution
3.1.2. Transverse Water Surface Distribution
3.2. Average Flow Velocity Distribution
3.2.1. Longitudinal Section Velocity Distribution
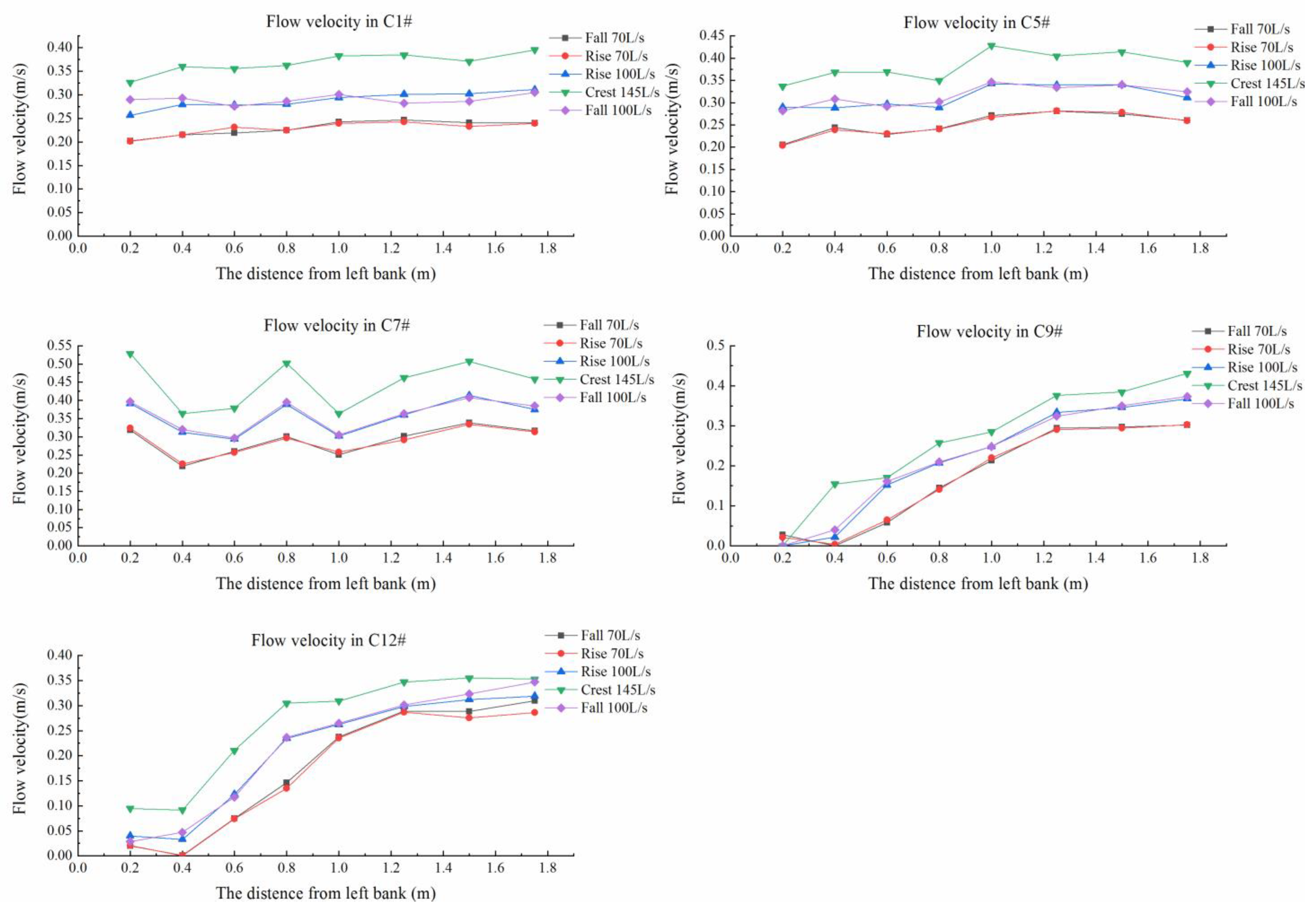
3.2.2. Transverse Section Velocity Distribution
3.2.3. Distribution of Flow Rate throughout the Whole Survey Area
4. Conclusions
Author Contributions
Funding
Institutional Review Board Statement
Informed Consent Statement
Data Availability Statement
Conflicts of Interest
References
- Wang, P.; Zhang, X.; Wang, W. Effects of the Central Bar Protection with Tetrahedron-like Penetrating Frames. Hydraul. Eng. 2013, 28, 389–393. [Google Scholar]
- Knight, D.W.; Shiono, K. Turbulence measurements in a shear layer region of a compound channel. J. Hydraul. Res. 1990, 28, 175–196. [Google Scholar] [CrossRef]
- Sellin, R.H.J. A laboratory investigation into the interaction between the flow in the channel of a river and that over its flood plain. La Houille Blanche 1964, 50, 793–802. [Google Scholar] [CrossRef]
- Shiono, K.; Knight, D.W. Turbulent open-channel flows with variable depth across the channel. J. Fluid Mech. 1991, 222, 617–646. [Google Scholar] [CrossRef]
- Ackers, P. Hydraulic design of two-stage channels. Proc. Inst. Civ. Eng. Water Marit. Energy 1992, 96, 247–257. [Google Scholar] [CrossRef]
- Ackers, P. Stage-Discharge Functions for Two-Stage Channels: The Impact of New Research. Water Environ. J. 1993, 7, 52–59. [Google Scholar] [CrossRef]
- Ervine, D.A.; Babaeyan-Koopaei, K.; Sellin Robert, H.J. Two-Dimensional Solution for Straight and Meandering Overbank Flows. J. Hydraul. Eng. 2000, 126, 653–669. [Google Scholar] [CrossRef]
- Kozioł, A.P. Three-Dimensional Turbulence Intensity in a Compound Channel. J. Hydraul. Eng. 2013, 139, 852–864. [Google Scholar] [CrossRef]
- Termini, D.; Piraino, M. Experimental Analysis of Cross-Sectional Flow Motion in a Large Amplitude Meandering Bend. Earth Surf. Process. Landf. 2011, 36, 244–256. [Google Scholar] [CrossRef]
- Yang, Z.H.; Gao, W.; Huai, W.X. Secondary flow coefficient of overbank flow. Appl. Math. Mech. Engl. Ed. 2010, 31, 709–718. [Google Scholar] [CrossRef]
- Scacchia, E.; Tinterri, R.; Gamberi, F. The Influence of Channel Planform and Slope Topography on Turbidity Current Overbank Processes: The Example of the Acquarone Fan (Southeastern Tyrrhenian Sea). Front. Earth Sci. 2022, 9, 785164. [Google Scholar] [CrossRef]
- Qu, G.; Hu, C.W.; Yao, S.M.; Ding, B. Experimental study on flow mechanisms in a sine-shaped meandering compound channel. Proc. Inst. Civ. Eng. Water Manag. 2022, 175, 123–134. [Google Scholar] [CrossRef]
- Naito, K.; Parker, G. Can Bankfull Discharge and Bankfull Channel Characteristics of an Alluvial Meandering River be Cospecified from a Flow Duration Curve? J. Geophys. Res. Earth Surf. 2019, 124, 2381–2401. [Google Scholar] [CrossRef]
- Liu, X.N.; Zhou, Q.; Huang, S.; Guo, Y.K.; Liu, C. Estimation of flow direction in meandering compound channels. J. Hydrol. 2018, 556, 143–153. [Google Scholar] [CrossRef]
- Termini, D. Experimental Observations of Flow and Bed Processes in Large-Amplitude Meandering Flume. J. Hydraul. Eng. 2009, 135, 575–587. [Google Scholar] [CrossRef]
- Abad, J.D.; Garcia, M.H. Experiments in a high-amplitude Kinoshita meandering channel. I: Implications of bend orientation on mean and turbulent flow structure. Water Resour. Res. 2009, 45, W02401. [Google Scholar] [CrossRef]
- Keshavarzi, A.; Hamidifar, H.; Ball, J. Bed morphology in vegetated estuarine river with mild-curved meander bend. Hydrol. Sci. J. 2016, 61, 2033–2049. [Google Scholar] [CrossRef]












| Case | Waterway | Channel Width (km) | Beach Body | Shape | Beach Length (km) | Beach Width (km) | Beach Height (m) | Width Ratio |
|---|---|---|---|---|---|---|---|---|
| 1 | Yidu Waterway | 1.1~1.8 | Shakan wan Beach | Straight beach | 2.1~3.0 | 0.20~0.50 | 0~6.0 | 0.11~0.45 |
| 2 | Lujiahe Waterway | 1.0~2.2 | Yangjialao Beach | Micro-bend convex beach | 0.6~0.8 | 0.27~0.66 | 0~5.9 | 0.12~0.66 |
| 3 | Majiaju Waterway | 1.0~4.0 | Baiweizhou Beach | Straight beach | 2.1~3.0 | 0.20~0.40 | 0~6.0 | 0.05~0.40 |
| 4 | Zhougong Waterway | 0.8~1.8 | Jiaoziyuan Beach | Micro-bend concave bank | 4.0~6.2 | 0.30~0.50 | 0~6.0 | 0.17~0.63 |
| 5 | Jieshui Waterway | 1.6~1.8 | Luoshan Beach | Straight beach | 3.6~4.5 | 0.40~1.12 | 0~3.1 | 0.22~0.68 |
| 6 | Jiayu Waterway | 1.3~4.2 | Wangjiazhou Beach | Straight beach | 3.1~4.5 | 0.15~0.70 | 0~5.2 | 0.04~0.54 |
| 7 | Wuqiao Waterway | 1.1~2.0 | Hanyang Beach | Straight beach | 1.6~3.5 | 0.36~0.82 | 0~5.0 | 0.18~0.75 |
| 8 | Huguang Waterway | 0.9~1.4 | Weijiatan Beach | Straight beach | 1.5~2.6 | 0.51~0.67 | 0~4.0 | 0.36~0.74 |
| 9 | Guniusha Waterway | 1.1~1.4 | Yak Guniuzhou Beach | Straight beach | 2.1~2.3 | 0.58~0.64 | 0~13.6 | 0.41~0.58 |
| 10 | Yaojinao Waterway | 1.0~1.3 | Yanggouzi Beach | Straight beach | 3.0~6.0 | 0.30~0.60 | 0~5.9 | 0.23~0.60 |
| Case | Height (cm) | Body Length (cm) | Tail Length (cm) | Beachhead Length (cm) | Straight Length (cm) | Body Width (cm) | Steep Slope | Gentle Slope Gradient |
|---|---|---|---|---|---|---|---|---|
| I | 12 | 590 | 310 | 200 | 80 | 120 | 0.12 | 0.015 |
| II | 0.16 | |||||||
| III | 0.20 |
| Case | Number | Flow Process (L/s) | Slope |
|---|---|---|---|
| M1 | I | 93 | 0.12 |
| M2 | I | 145 | 0.12 |
| M3 | I | 166 | 0.12 |
| M4 | II | 93 | 0.16 |
| M5 | II | 145 | 0.16 |
| M6 | II | 166 | 0.16 |
| M7 | III | 93 | 0.20 |
| M8 | III | 145 | 0.20 |
| M9 | III | 166 | 0.20 |
Disclaimer/Publisher’s Note: The statements, opinions and data contained in all publications are solely those of the individual author(s) and contributor(s) and not of MDPI and/or the editor(s). MDPI and/or the editor(s) disclaim responsibility for any injury to people or property resulting from any ideas, methods, instructions or products referred to in the content. |
© 2023 by the authors. Licensee MDPI, Basel, Switzerland. This article is an open access article distributed under the terms and conditions of the Creative Commons Attribution (CC BY) license (https://creativecommons.org/licenses/by/4.0/).
Share and Cite
Wang, P.; Tian, Y.; Guo, G.; Wang, M. Flow Patterns around a Marginal Bank under the Action of Unsteady Flow. Sustainability 2023, 15, 14961. https://doi.org/10.3390/su152014961
Wang P, Tian Y, Guo G, Wang M. Flow Patterns around a Marginal Bank under the Action of Unsteady Flow. Sustainability. 2023; 15(20):14961. https://doi.org/10.3390/su152014961
Chicago/Turabian StyleWang, Pingyi, Ye Tian, Genting Guo, and Meili Wang. 2023. "Flow Patterns around a Marginal Bank under the Action of Unsteady Flow" Sustainability 15, no. 20: 14961. https://doi.org/10.3390/su152014961
APA StyleWang, P., Tian, Y., Guo, G., & Wang, M. (2023). Flow Patterns around a Marginal Bank under the Action of Unsteady Flow. Sustainability, 15(20), 14961. https://doi.org/10.3390/su152014961

