Next Article in Journal
The Impact of the Digital Economy on Regional Carbon Emissions: Evidence from China
Next Article in Special Issue
A Review on Harnessing Renewable Energy Synergies for Achieving Urban Net-Zero Energy Buildings: Technologies, Performance Evaluation, Policies, Challenges, and Future Direction
Previous Article in Journal
Hydrolysis Optimization of By-Products from the Potato Processing Industry and Biomethane Production from Starch Hydrolysates
 
 
Font Type:
Arial Georgia Verdana
Font Size:
Aa Aa Aa
Line Spacing:
Column Width:
Background:
Review

A Review of Evaluative Measures of Carbon-Neutral Buildings: The Bibliometric and Science Mapping Analysis towards Sustainability

School of Engineering, RMIT University, Melbourne, VIC 3001, Australia
*
Author to whom correspondence should be addressed.
Sustainability 2023, 15(20), 14861; https://doi.org/10.3390/su152014861
Submission received: 17 August 2023 / Revised: 6 October 2023 / Accepted: 10 October 2023 / Published: 13 October 2023
(This article belongs to the Special Issue Renewable Energy Technology and Sustainable Building Research)

Abstract

:
This study aims to comprehensively depict a thematic evaluation within the context of carbon-neutral buildings over this century at variable time phases (2000–2008, 2009–2016, and 2017–2023). The overarching objectives of this study are delineated into three (3) contexts. Firstly, a bibliometric network encompassing influential research documents, authors, prominent journals, organisations, and countries is erected in pertinent fields. Secondly, significant terms are extracted from the scientific literature to exhibit co-occurrence patterns. Finally, an analysis of the evaluative clusters across variable phases was conducted to ascertain their intricate interrelations. The software tool VOSviewer Version 1.6.19 successfully achieves the initial objectives by visualising networks based on co-authorship, citations, co-citations, and bibliographic coupling. The ultimate goal of this research is fully realised through the application of the Science Mapping Analysis Tool (SciMAT), Version 3, which facilitated the evaluation of diverse clusters, phases, and thematic domains. The findings from the initial stages of research conducted on carbon-neutral buildings primarily revolve around energy-savings measures, environmental impacts, and the pursuit of energy-efficient design. As the research progressed into subsequent phases, the scope of inquiry broadened into specific themes, such as (1) optimisation, (2) retrofitting, (3) transitioning, and exploring (4) phase change materials (PCMs). Moreover, the areas of study continued to expand by developing diverse scenarios, algorithms, and digital twin technologies. The graphical representations of the strategic diagrams, evaluation areas, and cluster networks are a valuable resource for practitioners and policymakers, offering valuable insight and understanding of the multifaceted landscape of thematic evaluation in carbon-neutral buildings, thus facilitating further investigations and informed decision making.

Graphical Abstract

1. Introduction

Buildings are responsible for approximately 40–45% of both total carbon dioxide (CO2) emissions and total energy consumption, significantly contributing to global warming. Therefore, the building sector provides the best opportunity to reduce carbon emissions. Zero-carbon buildings (ZCBs) are considered an essential strategy for reducing this sector’s carbon footprint, and it is a policy that is being implemented worldwide [1]. The United Kingdom (UK) first adopted this initiative in April 2007 to achieve a zero-carbon policy for new residential dwellings and commercial buildings, respectively, by 2016 and 2019 [2]. A regulatory board was established by the European Union (EU) to ensure all newly constructed buildings built after January 2021 are required to fulfill the terms and conditions of nearly zero-energy buildings (ZEBs) [3]. Similarly, the Energy Independence and Security Act (2007) in the United States (US) authorises initiatives of commercial building projects to secure net-zero energy goals by 2030—a specific target for achieving 50% zero-energy buildings by 2040 and 100% by 2050 [4].
Despite these policy formulations, implementing carbon-neutral construction project schemes is comparatively lower worldwide than expected. Several types of research have been conducted to identify factors influencing ZCBs and similar strategies (e.g., ZEBs) concerning definitions [5,6], policies [7,8], calculations [9], and construction [10]. Therefore, a large number of review articles have been published merging these observations. Some of these studies define standardised methods of calculating ZEBs [11,12,13]; some analyse the performance of buildings across diverse climates [14,15]; policy formulations [16,17]; and innovative heating, ventilation, and air conditioning (HVAC) systems [18,19]; and some are reviews of energy simulation tools [20,21]. However, the rapid development of this research has made it impossible to include multiple aspects of carbon-neutral buildings in a systematic literature review. Moreover, the diverse dimensions of this research also make it complicated due to the encompassing of a wide range of disciplines. Bibliometric and scientific mapping analysis tools allow for the clustering of variable factors based on their text mapping functionality [22,23]. The evolution of the carbon-free building concept has gained significant attention by adopting different technologies at different research and development phases. The development of digital twins that integrate building information modelling (BIM) and computer vision (CV) has advanced knowledge, set a precedent, sparked innovation in smart building research, and inspired the selection of sustainable materials for the future built environment [24]. Implementing the Carbon Emission Trading Pilot (CETP) improves cities’ innovation capacity and boosts integrated economic and environmental development [25]. Hence, creating a unified carbon emission trading policy promotes low-carbon economic growth in a city and surrounding cities.
Hence, what are the major trends and leading research areas, as well as what is the evolution of knowledge, in carbon-free buildings were identified as the research questions of this study. Bibliometric and scientometric analyses enabled the assessment of metrics associated with the contributions of documents, authors, publications, organisations, and countries, and the objectives were revealed through a thematic evaluation and by identifying, measuring, and visually representing research domains.
Therefore, this study used text mapping functionality to analyse and explore the potential research themes covered by academic journals and scholarly articles. The VOSviewer tool visualises language processing and leverages text mining to provide valuable insight into research gaps. Its functionality extracts research keywords and principle themes from documents to connect relevant terms in a particular study area. Hence, this study tracked the change in research trends to identify new themes’ evolution, adaption, and emergence. The systematic evaluation of these review articles was divided into three categories:
(1)
First, this review assembled a co-occurrence network of influential research documents, prominent authors, leading journals, organisations, and countries in carbon-neutral buildings.
(2)
Second, this article focused on creating a bibliometric network of noteworthy terms from the scholarly scientific literature that occurred frequently in conducting research.
(3)
Third, this study analysed the evaluation of thematic clusters over this century in different phases (2000–2008, 2009–2016, and 2017–2023) of research. Additionally, the interconnection of these identified clusters is determined using scientific mapping analysis.
Hence, this article complements a systematic review approach to the existing literature to explore specific aspects of carbon neutrality, which differs from other studies. So far, to the authors’ knowledge, this conjugate approach to science mapping analysis with a bibliometric review has rarely been investigated concerning carbon-neutral structures.
An overview of green buildings within the last 20 years was analysed to visualise a thematic evaluation of the ongoing research. At the beginning of this century (2000–2008), green building research focused on reducing carbon footprints in the construction phase by developing models and prioritising design [26,27]. Later (2009–2016), advancements in energy simulation tools and computer-aided design assisted designers and architects in calculating building performance more precisely and accurately [28,29]. Energy-savings technologies, like photovoltaic systems, building energy regulations, and phase change materials, have been evaluated to develop standards and codes. The concept of zero-carbon buildings, design resilience, energy rating assessments, and impact assessments gained momentum in promoting sustainability during this phase.
Advancements in technology in recent years (2017–2023) cover variable aspects of carbon-neutral buildings, emphasising interdisciplinary factors of sustainability. Retrofitting building façades is a shift towards climate-responsive resilient design. The transition to renewable energy sources and optimisation and application of phase change materials have become more evident [30,31]. Various scenarios of zero-carbon building projects are being analysed to determine best practices. Flexible indoor environments, effective heating–cooling ventilation systems, and the formation of digital twins have become areas of research interest. Emerging technologies are highly influencing the evolution of future research, changing energy regulations, and leading to collaborations among engineers, architects, scientists, and policymakers to combat climate change.
A broader perspective on carbon neutrality is contextualised in this review article by prioritising the distinct challenges and achievements. Implementing future policy will be fruitful by highlighting these newly emerging themes. Moreover, the interested scientific community can open a new horizon for further exploration using the outcomes of this research review.

2. Methodology

A comprehensive review was performed to identify influential themes and trends in the research that has been conducted. The conceptual approach assisted in the identification of the expanding research themes and the exploration of feasible solutions to emerging problems. The methodological framework was developed in this study comprising three complementary steps: (1) database formation, (2) data visualisation using VOSviewer, and (3) thematic evaluation using SciMAT software, as shown in Figure 1. More details on these steps are provided in the following sections.
Achieving carbon-neutral buildings involves the multidimensional aspects of effective design, energy savings, suitable materials, policy implementations, and innovative technology, among others. The rationale for integrating the applications of VOSviewer and SciMAT is that they enhance their complementary strengths and capabilities for the analysis. VOSviewer provides a bibliometric overview of the research landscape by visualising influential publications, authors, and keywords, while SciMAT evaluates research themes over time using thematic analysis.
In this study, the bibliometric analysis tool VOSviewer was used with the fuzzy analytical approaches of term mapping, term clustering, visualisation, filtering, and analysis. However, the controlled vocabularies or existing ontologies were applied to create a co-occurrence network [32]. Ontology-based visualisation is more meaningful at a standardised level and interprets the results within a specific subfield covering a broader research domain.
VOSviewer and SciMAT are effective visualisation and science mapping tools. Particularly with the accelerated rate of publications outpacing the ability to organise a detailed systematic review, these tools are crucial to keep pace with research trends, emerging topics, and their evolution. Progress in machine learning and text mapping functionality enables accessing the full text of a published article, including the title and abstract. However, in-depth analysis of selected papers is not feasible using these tools. Hence, supplementary details have been included in this systematic review.

2.1. Database Formation

Forming a database is a prior activity conducted to specify the objectives of a scientific review because of its effect on the findings. Google Scholar, Scopus, Science Direct, Medline, and Web of Science (WoS) are the available sources for a bibliometric analysis [33,34]. According to a comparative review of the scores of the content and searching ability, WoS performs better in each category concerning coverage, citation counts, search refinement, ease of use, results analysis, and collection activity [35,36]. Therefore, the current study selected WoS as the primary database source to extract published documents from a multidisciplinary database covering the abstract, citation, and index. An extensive range of research articles was searched to design a text mapping functionality regarding carbon-neutral buildings. A search syntax was designed with specific terms and the operator OR to optimise the retrieval of relevant information from the WoS databases. For example, energy efficiency and climate responsiveness are important strategies for reducing carbon emissions and enhancing the practices of sustainable green buildings. Hence, carbon neutrality goes beyond reducing emissions to achieve zero-carbon buildings connecting all of these relevant components. Therefore, a search syntax was developed using the following key terms: “Carbon-neutral” OR “Sustainability” OR “Zero-carbon” OR “Zero-energy” OR “Zero emission” OR “Energy efficient” OR “Climate Responsive”. These terms were merged with “Building” OR “House” OR “Home” using the Boolean operator “AND”. Using the search engine WoS, approximately 3964 documents were generated on 7 May 2023.
The search algorithm was designed to encapsulate these documents’ relevant keywords, titles, and abstracts. This search directory indexed journals, conference proceedings, review articles, data papers, editorials, book chapters, summaries, meeting notes, corrections, and letters [37]. The documents were sorted for analysis, excluding publications not relevant to the study’s objective. The sorting was performed in three steps: (1) journals, conference proceedings, and book chapters were considered for analysis because of the peer-reviewed process and implications. (2) Research documents published in English were selected as another criterion. (3) Finally, sources belonging to agriculture production and medical science sources were eliminated from the bibliometric thematic analysis. After sorting the 1416 documents remaining in the database, we proceeded with the further analysis. The complete records and cited references of these selected documents were exported in a tab-delimited/RIS file format for the bibliometric analysis using VOSviewer and as a thematic evaluation diagram using SciMAT.

2.2. Data Visualisation Using VOSviewer

Several software programs have been used to establish networks for scientific mapping and literature reviews over the last two decades. These tools have been developed despite their variations in establishing dynamic and active relationships among authors, journals, disciplines, organisations, and countries. Going into a detailed discussion of these tools and components is beyond the objective of this study.
VOSviewer is a widely used analytical tool for the bibliometric review of published articles across variable subjects, such as solar photovoltaic waste management [38], urban sustainability assessment [39], construction waste [40], building energy [41], and others. The graphical interface of this user-friendly tool assists in visualising and constructing a bibliographic network. Co-authorship, co-citations, citations, and co-occurrence-based networks are developed from data downloaded from WoS [42]. The application programming interface (API) interactively cross-references the obtained data using available sources. This study used the text mapping functionality to analyse and explore the potential research themes covered by the academic journals and scholarly articles. The VOSviewer tool visualises language processing and leverages text mining to provide valuable insight into research gaps. The functionality extracts research keywords and principle themes from documents to connect relevant terms in a particular study area. Hence, this study tracked the change in research trends to identify new themes’ evolution, adaption, and emergence.
The analytical accuracy of VOSviewer is improved by introducing a lexicon file that sorts data by merging variant terms, such as author names [43]. A lexicon file of keywords merges similar words into a single one; for example, zero-carbon building and ZCB are considered identical. Moreover, the bibliographic coupling of the co-occurrence analysis determines which leading countries are ahead in relevant fields of research using a density visualisation. In addition, the co-citation analysis identifies the leading journals and eminent publications in this area by clustering their interactivity.

2.3. Thematic Evaluation Using SciMAT

SciMAT is an open-access tool that was used in this study to differentiate the thematic and theoretical evaluations of carbon-neutral buildings during this century in different phases. This tool enables scientific mapping over a longitudinal timeframe. Subsequent developments in the carbon-neutral building research cycle are required to be recognised at preferred phases of evaluation. Although the concept of sustainability developed over the past two decades, the necessary research initiatives for low-carbon or energy-efficient buildings date back prior to the 1940s [44]. This literature review has provided a critical overview of the implications of reducing carbon footprints. Therefore, the thematic review considered for this field was from 2000 to 2023. It was further divided into three phases (2000–2008, 2009–2016, and 2017–2023) in light of the evaluation and expansion of this sector.
The first phase (2000–2008) corresponds to the timeframe when the carbon-neutral concept gradually gained worldwide momentum. Numerous countries set targets for transforming construction during this period, especially building sectors, to zero carbon by stimulating the ZCB concept. The concept accelerated through advances in decision-support mechanism and assessment tools, as well as by paying attention to a multidisciplinary approach. Recognition of the global sustainability issue was addressed using tools developed by different countries, such as LEED (US), BREEAM (UK), CASBEE (Japan), Green Star (Australia), and others [45,46]. This timeframe is marked by international efforts to simplify the implementation of ZCB. For instance, the Intergovernmental Panel on Climate Change (IPCC) reports the necessity of the adaption of these policies for climate change, vulnerability, and adaptation in its fourth assessment [47].
The second phase (2009–2016) shows the progress in assessing building performance with the holistic approaches of the initiated tools [48]. However, this ZCB is interchangeable with relevant variable terms within different countries. A conducted survey study in 2008 defined seventeen (17) terms to express carbon-neutral buildings across European countries [49]. A follow-up action report in 2011 further modified the Energy Performance in Building Directive (EPBD) document, representing 23 variable terms for higher-performance buildings [50]. The complexity of carbon-free buildings was reduced by creating an argumentative profile in 2014 along two dimensions [1], as shown in Table 1. One dimension is to achieve holistic sustainability, and the other is to generalise the specific objective as a context. The Paris Agreement, adopted in 2015, set a goal of maintaining the rise in global temperatures to below 2 °C to mitigate the effects of climate change [51]. Hence, mitigation efforts have been promoted by adopting carbon-free policies in the building sector to reduce emissions and energy consumption.
This assessment’s final phase (2017–2023) is when energy-efficient building research obtained a new impetus following the Paris Agreement and the adoption of the Sustainable Development Goals (SDGs) [52,53]. The built environment is recognised globally as a significant contributor to greenhouse gas emissions (GHGs) and global energy demand. The transition towards a sustainable and carbon-neutral environment was emphasised in this phase by adopting the 2030 Agenda and associated SDGs [54]. The foremost advancements in research during this phase were compiled to categorise the interacting factors between buildings and the SDGs. This approach can determine evaluations of such improvements to develop comprehensive scientific assessments of such improvements in specific sectors in the future.
The Science Mapping Analysis Tool (SciMAT) was used in this study to algorithmically explain continually appearing keywords [23]. The co-occurrence analysis featured the keywords and their relationships. Misspelled terms and synonyms were clarified using data collected from a manual of word clusters before conducting the analysis. The tool acknowledges the authors’ keywords and essential words in the publication using indexing methods. The equivalence index normalised the frequency of keyword occurrences using a clustering algorithm. An efficient algorithm performed the scientific mapping of the bibliographic analysis, quantifying the significance by clustering groups into an h-index, total citations, and average citations. The operating principles of this software are described in the following sections.

2.4. SciMAT Analysis Principles

This software is a science mapping tool that integrates statistics, methods, and algorithms from processing to the visualisation of the results [55]. Different bibliometric networks are analysed based on the similarity and normalisation to separate the database as per requirements. Four representations of the visualisation module—(1) strategy diagram, (2) thematic network, (3) evolution map, and (4) overlay graph—were combined to better understand the results, as shown in Figure 2.

2.4.1. Strategy Diagram

A two-dimensional strategy diagram is presented to express the advancements in the research on carbon-neutral buildings, as shown in Figure 2a. The nodes are representative of the formed clusters, and the larger size is an indication of a theme’s expansion. The associative strength of the different themes in a domain is known as centrality, which is aligned with the horizontal axis. Centrality is expressed with the following equation: C = 10 × e u v , where u and v represent the themes of the two clusters separately [56]. A higher centrality value indicates a more robust connectivity to other groups and is a critical factor in a domain’s evolution.
In contrast, interrelationships within a specific theme are determined using density, which aligns with the vertical axis, and it is expressed as d = e i j w , where i and j are associated keywords within one theme, and w belongs to keywords with another theme. A higher density value indicates strong internal ties and more exercise in this field. Variable suggestions are drawn from the theme’s position in the strategy diagram [39].

2.4.2. Thematic Network

The thematic network is the connectivity with the other themes in the strategy diagram. It is the complementary mapping of the strategy diagram by constructing a cluster network, as shown in Figure 2b. It is the proportion of the network’s nodes that are associated with the frequency of the keywords of specific documents. The width of the connecting links between two nodes corresponds to the strength as an equivalence index. The equivalence index is expressed as e i j = c i j 2 c i c j , where cij represents the occurrence of these two keywords in the number of articles [55]. The equivalence index value becomes one with the appearance of these two words; in the case of no appearance, it becomes zero.
The clustering algorithm was developed for the SciMAT analysis based on the related key terms and their occurrence patterns in the relevant research. This advanced science mapping tool counts hierarchical, k-means, and non-negative matrix factorisation to represent the cluster networking and interrelations [57]. The interrelationships among the identified clusters were considered here using network analysis metrics. The network centrality matrices calculate the centrality, density, and core document citation ranges to explore and analyse the relationships among the clusters [58].

2.4.3. Evolution Map

The thematic evaluation was clearly able to identify different evolutionary phases of the research. The area with a greater number of nodes represents a higher number of documents associated with a theme [23]. The thickness of the connecting nodes represents keywords between two themes that are identical in successive periods, as shown in Figure 2c. The inclusion index is proportional to these connective links. The solid line implies that two related topics are shared identically in two consecutive phases and are reciprocal. In opposition to the solid line, the dotted line indicates shared keywords; however, the successive topics are different from the previous phase. For example, a change in the theme’s relevance occurred in phase 2; for A2, it progressed from A1. Similarly, B2 and C2 developed from theme B1 over consecutive study phases. The theme D1 seems to have ceased advancing in the first phase, whereas D2 evolved as an emerging theme later.

2.4.4. Overlay Graph

The superimposed graph allows us to investigate the level of constancy between two successive periods, as shown in Figure 2d. The circle’s written number specifies the keywords counted in the topic during the indicated phase of the study. The horizontal arrows express shared terms between the consecutive steps, and the number define interpolations known as the stability index. The exiting arrow from the first node indicates the research terms used in the first phase but not further investigated in the second phase. On the contrary, the entering pointer in the node shows the emerging words that belong to the second phase.

3. Results and Recommendations

This section provides an inclusive bibliometric and scientific mapping analysis of 1416 published articles. The publication tracked over this century (2000–2023) were identified for relative terms in the number of publications. Keyword co-occurrence, co-authorship, citations, co-citations, and bibliographic couplings were analysed to identify influential themes, authors, publications, organisations, and countries in this sector. The results are presented using a bibliometric review in the VOSviewer software. Subsequently, the results of the thematic evaluation are presented over time intervals using the mapping tool SciMAT.

3.1. Bibliometric Review of Published Articles

3.1.1. Record of Publications Track

A general trend in published research articles per year concerning carbon-neutral buildings is illustrated in Figure 3. As indicated, in the first phase, only a few articles, 49, were published. In the subsequent phase, there was a sharp increase in the number of publications, with a sum of 321, an average of 40.125. More research was conducted in the later stage between 2017 and 2023, emphasising the importance of energy security. In the following phase, 1046 documents were published, an increase of 225.86% over the previous period, with an average of 149.42. The steady rise in published articles over this century reflects the necessity of reducing carbon emissions in this sector. The carbon footprint reduction of buildings’ energy usage is expected to climb continuously, aligned with the global commitment.

3.1.2. Network Visualisation in the Co-Occurrence Analysis

The selection of keywords is essential in a bibliometric analysis to identify influential documents and databases by the authors [41]. A comprehensive understanding of research progress is feasible through the network’s development connecting keywords in the research arena. A computational modelling is performed on the simultaneous frequency of appeared keywords and the strength between these words in published articles. Software VOSviewer was applied in this study to erect bibliographic networks of occurring keywords. VOSviewer creates co-authorship, co-occurrence, and citation-based networks from the downloaded data of WoS. A network visualisation was conducted based on the selected threshold of essential keywords and five (5) clusters, as shown in Figure 4. The node sizes represent the frequency of occurring keywords in the existing literature worldwide. The connectivity and association of these prime words are recognised by the proximity and connectivity of the linking nodes.
Thirty (30) influential keywords were perceived to have significant occurrences in the research arena, as shown in Table 2. The link strength indicates that these areas were prioritised and highly linked to other terms. Carbon-neutral, sustainable building relevant terms were used in the Web of Science database to obtain the relative keywords in this research sector. An analysis of the keyword co-occurrence identified five (5) significant clusters, as shown in Figure 4.
A cluster analysis defined the unique features of the individual clusters and their broader application in sustainable carbon-neutral construction. This bibliometric analysis collaborated across the themes to develop the research gap for further exploration. Cluster 1 covers the broader aspects of building performance, aiming for effective design and operational efficiency. Cluster 2 contributes to developing energy-efficient standards, government policies, and frameworks addressing challenges in reducing energy consumption. Cluster 3 involves the methodology for conducting life cycle assessment, calculating embodied energy, and evaluating sustainability measures for construction projects. Cluster 4 encompasses indoor environmental quality, occupants’ thermal comfort, and residents’ behavioural interventions for energy conservation. Cluster 5 emphasises refurbishing and renovating the building façade, focusing on multiobjective optimisation and passive design strategies.

3.1.3. Keywords Focused on Zero-Carbon Buildings

This section is intended to provide information on the current track records of research terms in carbon-neutral buildings based on the keyword co-occurrence analysis. Understanding the formation of research trends creates an origin for future innovation in relevant fields. Five (5) major clusters were identified in the co-occurrence analysis to emphasise variable sectors of sustainable carbon-free buildings, as shown in Figure 4.

Building Performance and Energy Efficiency

Cluster 1 is the largest group, shown in red, consisting of 35 keywords, and is mainly assigned to building performance. Performance (224), design (161), and optimisation (127) are three prime keywords that identified with significant co-occurrence and link strength. Links to energy efficiency, strategies, policy, and demand highlight the significance of developing standards in the built environment [59]. Cluster 2, in green, has 28 keywords that mainly refer to energy-efficiency-related strategies, policies, innovation, and barriers, e.g., buildings (152), energy efficiency (148), strategies (85), zero carbon (44), and others. Zero carbon also appears in this co-occurrence analysis, maintaining a strong correlation with other terms. A unified definition of zero-carbon building has been reflected from the perspective of a carbon-neutral environment [60]. The operational phase essentially limits the theoretical model of conceptualising a zero-carbon building. Growing awareness of conducting life cycle assessments assists in elaborating boundaries related to policy implementation, geographical conditions, climatic diversity, sectoral density, and others [61,62,63]. These interactive boundaries conclude that zero-carbon is a diversified complex techno-social system without any specific system boundary.

Life Cycle Assessment and Carbon Footprint

Cluster 3, in yellow, has 27 keywords strongly linking the carbon footprint of buildings integrating both the operational and embodied phase. The occurrence of keywords is also widespread, combining the concept of zero-carbon, such as life cycle assessment (99), embodied energy (93), emissions (88), construction (88), and others. The integration of life cycle assessment (LCA) facilitates the achievement of zero-carbon building targets, embodying the disposal stage of a complete life cycle, acknowledged as cradle to grave [64,65,66]. LCA is a supportive tool for policymaking regarding building façade renovations and underlines the importance of conducting life cycle analysis at every stage. Several case studies have been presented to compare emissions in different stages of a building’s life cycle: extraction, manufacturing, transportation, construction, operation, maintenance, and disposal [67,68,69]. Relevant emissions of various life cycle phases are direct or indirect emissions from activities. Calculations of carbon emissions include inventory, databases, regulations, and modelling standards. Methodical patterns of identifying impacts provide guidelines for selecting sustainable green materials and permit the cut-off of additional materials with higher consequences.

Thermal Comfort and Multiobjective Optimisation

Eventually, Cluster 4 (blue) and Cluster 5 (purple), respectively, consist of 17 and 15 keywords. Cost (64), management (64), thermal comfort (62), retrofit (60), and multiobjective optimisation (45) are the terms that frequently appear within these clusters. Designing buildings according to energy rating specifications may not lead to sustainable solutions regarding initial investment cost, thermal comfort, and energy use [70,71]. The combined multiobjective optimisation approach with the energy simulation tool assists in optimising design irrespective of geographical location. Relative uncertainties of design parameters need to be optimised for trade-offs between energy consumption and associative cost [72,73]. Retrofitting of building façade at a favourable combination improves indoor thermal comfort, which can be dynamically assessed by an energy simulation tool [74,75].

3.1.4. Leading Journals

Co-citation analysis is applied in this study to identify relevant journals with a substantial contribution to the fields of carbon neutrality and energy reduction. Co-citation analysis quantifies the intensity of association by including two key terms in a similar article. The calculation is performed on the number of published documents, citations, and link strength between the nodes. The variable size of each node is proportional to the citation number of associated journal articles. The greater circle of nodes indicates the document published by the journal with higher citations. Energy and Buildings, Renewable & Sustainable Energy Reviews (RSER), Applied Energy, Building and Environment, Energy, Journal of Cleaner Production (JCLP), Building Research and Information (BRI), Sustainable Cities and Society (SCS), and Journal of Building Engineering (JBE) are prominent journals in this sector, as shown in Table 3.
In addition, consistency is observed between the co-occurrence and co-citation analysis by linking five (5) clusters with published articles, as shown in Figure 5. Energy and Buildings, Building and Environment, and Energy cover building performance optimisation and relevant issues. Applied Energy, RSER, JCLP, JBE, and Sustainability published articles related to possible strategies, efficiency, and challenges, whereas the production and storage of energy sources were the focus of the Solar Energy, Renewable Energy, and Energies journals. Energy consumption-related policy implications are covered in Energy Policy, Sustainable Cities and Society, and Sustainable Built Environment. Management and conversion for sustainable decision-making processes have been prioritised in these published documents.

3.1.5. Eminent Authors

A co-citation analysis of the cited references was performed in this study to obtain the most prominent publications in the zero-carbon domain, as shown in Figure 6. The journals with higher citations were included in this research. These influential journals were divided into two clusters based on this characterisation. One group, in red, comprises twelve studies, and the other, in green, consists of thirteen. The red group emphasises conceptualising, implications, and methodological framework development [6,9]. The green-framed group generally evaluates energy efficiency, strategies, environmental impacts, and life cycle costing approaches [76,77]. However, both of the clusters lead to a path of achieving zero-carbon buildings. The objectives and findings of the highly cited journals are presented in Table 4.

3.1.6. Influential Organisations

The unit cited authors of co-citation analysis applied in this study to perceive the highest contributing research organisation and influential authors in this domain. The assessment is initiated considering the minimum citation of fifty (50) per author. International Energy Agency (IEA), European Commission, International Organisation for Standardisation (ISO), Intergovernmental Panel on Climate Change (IPCC), United Nations (UN), and United Nations Environment Programme (UNEP) are the top five organisations leading in this research field, as shown in Table 5. The IEA develops necessary roadmaps towards a carbon-neutral environment to achieve the 2050 target [80]. The IPCC initiated relevant policies to mitigate climate impacts for vulnerable sectors and on adaption methods [81]. The UNEP has emphasised decarbonisation to encourage energy transition to renewable sources [82]. The contributions of these influential authors and organisations were classified into several sectors based on their performance, implications, efficiency measures, environmental impacts, and policymaking.

3.1.7. Dominant Countries

The countries that contributed most to developing the research arena on carbon-neutral buildings were identified using a bibliographic coupling analysis. The analysis consists of connections between countries citing the same document. The node sizes verify the number of published articles per country. China (273), England (271), USA (194), Italy (100), and Australia (83) are the five leading countries conducting research in carbon-neutral energy-efficient buildings. The leading 25 countries’ names with relevant documents, citations, and links are presented in Table 6 to show the expansion of research and their interconnectivity. Significant contributions in this sector arise mainly from developed countries. However, a considerable lack is observed for African and South American countries [83,84]. The unprecedented nature of urbanisation, population projections, and regional differences are the prime factors behind this. A sustainable, carbon free world is not feasible without the valuable cooperation and collaboration of these countries. On the contrary, the geographical location of European countries enhances the partnership to encourage sustainable development.

3.2. Thematic Evaluation of Research Development

A thematic evaluation of the conducted research over the century at regular intervals was performed using the Science Mapping Analysis Tool (SciMAT). A theoretical formation of carbon-neutral buildings was the priority for organising this review article to be perceived and realised.

3.2.1. Strategic Structure

The disclosure of the theoretical formation in relevant fields was facilitated using SciMAT software within a defined phase of research. The thematic research areas were (1) driving motor themes, (2) specialised isolated, (3) marginally declining or emerging, and (4) finally, potential themes for further exploration. The strategy diagram provides details of these specified four quadrants in different phases. A critical analysis of the identified phases is presented in this section. The node size corresponds to the published documents at each stage of this research.

First Phase (2000–2008)

Energy is the prime consideration and driving theme for consolidating the other clusters in the study’s first phase. Figure 7 shows two interrelated co-themes—buildings and carbon footprint—which boost the primary theme of energy. The analysis of this phase emphasizes implementing a successful strategy that integrates renewable energy to reduce the carbon footprint from energy consumption [85,86]. In addition, renewable energy sources, such as waste, biomass, and traditional fossil fuels, allude to those burned in local boilers to meet the electricity demands and heating–cooling (H/C) requirements [87]. Construction and design are other sources that focus on higher energy efficiency. Lightweight design and increased energy savings measures are suggested to respond to carbon neutrality [88]. Both traditional onsite construction and offsite prefabrication were verified in this investigation. Several studies prepared decision-making models over the building lifespan to quantify building energy consumption following certain indexes [89,90,91]. Hence, energy was the driving theme in this phase to reduce the carbon footprint of buildings, adopting efficiency measures. However, the development of carbon-neutral buildings needed initiatives because there were no external links with other clusters. The subthemes were not internally connected for the integrated formation of the carbon-free buildings concept. The focus of the carbon neutrality theme was feasible for the establishment of the development of robust external links with other themes.

Second Phase (2009–2016)

Energy savings were enhanced as a dominant peripheral theme, which was composed of building energy regulators, photovoltaic systems, and others, as shown in Figure 8. During this phase, sustainable tools were developed to assess the energy savings measures adopted by local planners and decision-makers to reduce greenhouse gas emissions (Figure 8d). Two environmental assessment tools, BREEM and LEED, emerged as widespread building performance applications. Comparative analyses of the different tools clarified the features of these emerging tools [92,93,94,95]. Zero-carbon building and impact were two of the prime areas of the motor themes in the strategy diagram of this period, as shown in Figure 8b,c. The impact covers the environmental impact of residential buildings, cost, technological change, construction [96,97,98], and defined application of the energy simulation tools, emission models, and developing algorithms [99,100,101].
During this period, energy with connected links to building information modelling (BIM), smart buildings, life cycle assessment (LCA), fuel cells, and energy transition occurrs as an emerging research arena [102,103,104], as shown in Figure 8e. A comprehensive LCA calculates the relevant emissions of materials manufacturing, extraction, transportation, operation, and disposal at the end [105,106]. Fuel cell arises as a promising technology at this time to generate electricity through an electrochemical reaction [107,108]. The zero-carbon building theme gains momentum, aiming to address the challenges of sustainable buildings, energy retrofitting, energy balance, and urban energy systems [109,110] (Figure 8c). The integrated technique of efficient equipment, thermal insulation, and microgeneration is a prioritised path toward restoring carbon-free buildings.
The design is acknowledged as a potential theme for further exploration of future research. Essential factors in designing energy-efficient houses are linked with climate-responsive, passive design strategies, photovoltaic systems integration, renewable energy source, heat-pump systems, comparative analysis of design scenarios, and others, as shown in Figure 8f. Passive design is a climate-responsive approach to ensure the thermal comfort of inhabitants using orientation, shading, lighting, ventilation, thermal insulation, thermal mass, and the glazing-to-wall ratio [111,112]. The conjugate application of photovoltaic solar energy, water heating, and the passive gain of sunlight has the potential to achieve zero-energy buildings and beyond [113,114]. This phase of the study identified improvements in building performance, technological change as driving forces, energy regulations as a specialised theme, building information modelling (BIM) and life cycle assessment (LCA) as emerging implications of passive design, and houses with renewable sources of energy as potential themes to expand upon. However, the widespread adoption of this approach progressed by developing standards in technological evaluations to meet inconsistencies later.

Third Phase (2017–2023)

The strategy diagram in Figure 9a visualises how these themes evolved and interlinked over time, highlighting the complex and interconnected nature of efforts to reduce carbon footprints. This comprehensive approach acknowledges that addressing carbon emissions requires a multifaceted strategy that spans multiple fields and domains, from sustainable building practices to adopting renewable energy sources, technological innovations, and supportive policy measures. The strategy diagram symbolises the diversified themes in four relevant fields of reducing carbon footprint, as follows:
(1)
Residential buildings, optimisation, and retrofit of building façade are highlighted as the driving or motor themes in the research arena.
(2)
Digital twin and algorithm development are perceived as a specialised and isolated themes in technological development.
(3)
Indoor environments and comparable variable scenarios from different aspects are the merging sectors in this field.
(4)
Phase change materials and possible transition to carbon-neutral buildings are potential themes for further exploration.
The driving themes are acceptable applicable concepts with an intense number of scholarly publications and citations. Interpreting the themes in carbon-free buildings at this phase clarifies the design as a subpart of the major residential building theme, which was a leading theme in an earlier stage (Figure 9b). Likewise, the transition and retrofit of themes received a lot of attention and became popular due to their contribution to reducing carbon emissions, as shown in Figure 9d,e [115,116]. A digital twin is an isolated specialised theme that integrates advanced technology in sustainable building construction. Connecting links to this theme, building information modelling, and building information management were implemented in several studies to formulate energy-efficient carbon-neutral buildings [117,118] (Figure 9h). The design of residential buildings as zero-energy, carbon emissions-free buildings, and the optimisation of energy, models, and environmental impacts were prominent research themes in this phase [119,120,121,122,123]. These themes were steady and uniform with the findings of the co-occurrence analysis of the earlier section. The operational performance and cost optimisation of renovated buildings were considered in several studies to obtain an optimised configuration [15,124]. Hydrogen vehicles as a transportation medium to reduce global warming potential were plausible options instead of diesel, gasoline, and petrol [125] (Figure 9c).
The relative uncertainties of the transition at operational and embodied levels were reduced by conducting Monte Carlo simulations and developing numerical models [20,126]. The significance of applying phase change materials in building façade maintained an ambient temperature in buildings because of their thermophysical properties [127]. The potential themes of transition and phase change materials enhanced connectivity among thermal performance, energy efficiency, carbon reduction, cost-effectiveness, and overall sustainable construction (Figure 9d,f). During this period, more attention was paid to optimising the design for retrofitting, modelling, energy performance, impact assessment, etc. Several themes became a crucial part of expanding future research, such as urban energy systems, changes in behaviour, and the indoor environment (Figure 9g). Hence, the zero-carbon building concept was still advancing because of the volatility of this dynamic sector. A new hypothesis materialised to foster the perception of carbon-neutral buildings in a broad context, such as communities, neighbourhoods, and districts, rather than a specified objective (Figure 9i). This review indicates the potential to reduce carbon emissions for entire facilities of a neighbourhood area and not just each separate building [128,129].
The concepts of net-zero, nearly zero-carbon, and sustainable buildings are integral to developing carbon-neutral smart cities and transitioning to cleaner energy sources. By leveraging technologies like digital twins and advancements in building design and operation, these concepts contribute to reducing carbon emissions while keeping costs manageable and promoting the use of renewable energy (Figure 9h,i).

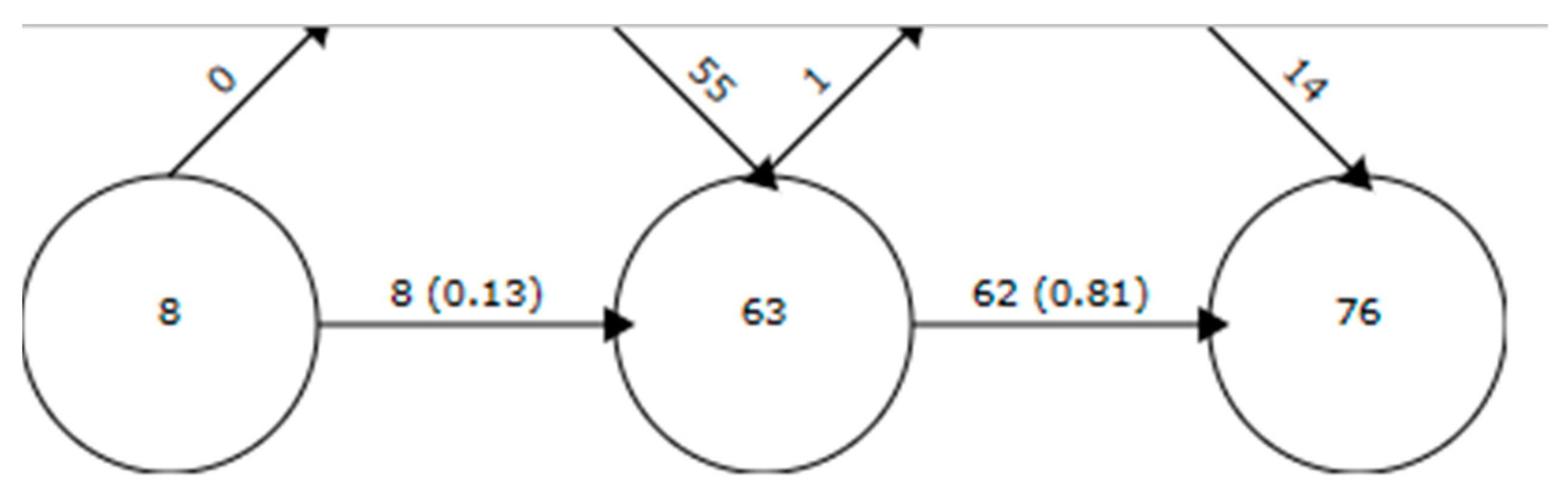
3.3. Shared Keywords between Time Phases

An overlay graph is a graphical representation of shared keywords between two consecutive periods. The numerical value inscribed in the circle indicates the number of keywords used in the mentioned time phase. The number on the top of the arrow and within the bracket expresses the shared keywords and the stability index between these two consecutive phases. Outbound arrows represent the number of keywords that disappeared from the research domain, while inbound arrows represent new additions in each time phase. Thematic research topics increased significantly between the first and last phases, a growth of 76 from 8 dominant issues over this century, as shown in Figure 10. This is an indicator of expanding sustainable carbon-neutral building themes over time, incorporating several new topics. This expansion is reflected in this subject’s thematic evolution and underpinning of the methodological framework. The analyses performed in the previous sections showed that topics related to optimisation, transition, and retrofit have gained popularity in recent years.
In addition, several components are required to ensure the erection of carbon-free buildings, such as life cycle assessment (LCA), passive house design strategy, energy simulation, energy retrofit, smart buildings, digital twins, hydrogen vehicles, zero-emission neighbourhoods, and others. Moreover, the retained keywords over these three study phases increased significantly from 8 to 63, implying that the domain has reached a greater consolidation of emerging topics. A certain degree of stability was observed in this field over these three periods. The number of keywords that disappeared from this relative field was very low and occurred only because of inconsistent themes. On the other hand, many keywords were unified in the search domain every period, indicating the highly volatile nature of these domains and that this will continue to expand in the future.
Thematic evolution over variable phases of development indicates the diversity of the zero-carbon building domain, as shown in Figure 11. The dynamic evolutionary process is differentiated based on the intellectual breakup of the mapping functionality. However, energy, zero-carbon building, impact, optimisation, and retrofit sectors are recognised as the driving current themes or indicators of reducing carbon footprint. These research areas largely corresponded to the key terms presented in the network visualisation of the co-occurrence analysis. These dynamic themes were not equally exclusive, and there were some overlaps. Overall, fifteen (15) potential research themes arose in the evolutionary process across these phases. In addition, other emerging subthemes, such as eutectic materials, building information modelling (BIM), fuel cells, and smart buildings, appeared as technological advances of central themes. Energy and design appeared as the main themes in the second phase but also as substantial subcomponents of residential buildings and optimisation in the third one. In this stage, residential building policies, measures, and planning are influenced by adopting suitable designs and vice versa. Similarly, optimising energy-efficiency measures and environmental impacts were highly emphasised in this phase.
Energy savings measures and environmental impacts are relevant in this phase, considering design, construction, and operation stages to reduce carbon footprints. Energy-saving measures include strategies, technologies, and ideal practices at variable stages to minimise high-carbon fossil fuel sources. The carbon neutrality system integrated advanced construction materials, insulation levels, LED lighting, high-efficiency HVAC systems, and smart building automation systems. The effective measures to offset the environmental impact include greenhouse gas emissions, resource depletion, and ecosystem damage through raw materials extraction, transportation, operation, and maintenance.
Certain themes, such as digital twin technology, urban energy systems, energy transition, and phase change materials, gained prominence in the evolution of carbon-neutral building research. Digital twin became a central concept, enabling real-time monitoring and building energy management systems, optimising thermal comfort, indoor air quality, and energy consumption. Urban energy systems led to the development of microgrids, smart grids, and technologies to define energy resources, optimise energy production, and reduce carbon emissions. The widespread adoption of renewable technologies, such as solar panels, heat pumps, and wind turbines, accelerated energy transitions away from fossil fuels. The integration of phase change materials (PCMs) in building façade led to the development of standard energy ratings, improved thermal efficiency, and reduced heating–cooling loads.
A SciMAT analysis was performed in this study to obtain the relative h-index, average citations, and sum of citations, as shown in Table 7. The higher h-index for the residential buildings (25) shows that a significant amount of attention and influence was gained in the context of carbon neutrality. The higher average citation for the themes energy savings (307.5) and zero-carbon buildings (122.5) during the phase 2009–2016 suggests that these sectors were widely acknowledged and influential among the researchers. A lower sum of the citations according to the research themes, such as digital twin (35) and phase change materials (58), indicates further room for research, exploration, and opportunities for further investigation.

4. Conclusions

This study provides a comprehensive overview of three phases (2000–2008, 2009–2016, and 2017–2023) of research development in the carbon-neutral building sector, visualising scientometric techniques. Five groups of research clusters were identified using a co-occurrence analysis with the bibliometric software VOSviewer. The five clusters emphasised building performance and design, energy efficiency and policy, life cycle assessment and embodied energy, thermal comfort and passive design, renovation and multiobjective optimisation, and energy-related strategies and retrofit.
A thematic evolution of three phases of carbon-free buildings was observed in this study to track this area’s relevant progress and expansion. The findings of the overlay and evolutionary map characterised the multifaceted nature of the zero-carbon building domain, albeit with fragmented weighting factors of the research topics classifying the evolutionary process. The thematic research was explored further after the second phase, gaining significant momentum in the last continuing phase. The diversified nature of this domain is expected to grow more, incorporating more themes in the future. From this perspective, recommendations are drawn for conducting future research as follows:
Carbon-neutral building definition: The definition of a carbon-neutral building needs refinement to encompass all stages of the life cycle, including extraction, manufacturing, transportation, operation, and end-of-life demolition. Climate-responsive passive design, environmental impacts, and cost-effective design are three contributing factors that are driving residential building subcomponents. In general, retrofit and renovation of a building’s façade emerged as a motor theme in the third phase. Renewable energy systems, post-occupancy evaluation, and energy rating tools are current subthemes to focus on as driving forces. Storage fuel cells, hydrogen-driven vehicles, and heat pump systems are integrated as applicable concepts to optimise carbon-neutral buildings. Evolution at this phase emphasises the necessity of incorporating all life cycle phases as the components of the regulation board to facilitate the zero-carbon building objectives.
Virtual model development: This study recommends integrating virtual models into sustainable policymaking as an essential component. Digital twins represent virtual models generated from real-time data, and they can effectively optimise design systems using energy simulations, artificial intelligence, machine learning, and life cycle assessment even before construction begins. The widespread adoption of this innovative technology leads to significant reductions in emissions and energy consumption, both during the embodied and operation phases. Installation of renewable systems and retrofitting building façade are two prime concerns to be catalysed by this scientific approach to gain an accurate perception of emissions, cost, and thermal comfortability.
Urban energy system: A comprehensive understanding of the urban energy system requires the perspective of developed frameworks and sustainability assessment tools. Strengths, weaknesses, opportunities, and threats are the concerns of assessing sustainability in urban energy systems. Developing smart cities is essential to urban energy systems. Its effectiveness is improved by developing key performance indexes, system boundaries, sustainable assessment tools, and green transport systems.
Energy transition: Reducing carbon dioxide emissions associated with the energy sector transition is necessary to restrain global warming and climate change effects. This sector is acknowledged as an enormous potential theme for development by adopting suitable technologies and appropriate policies. Secondary energy generators, end users, and sectoral improvement are the primary barriers to implementing the energy transition [130]. Decarbonisation, photovoltaic systems, technological change, and energy retrofits are subcomponents of this area for further advancement. However, progress in this arena is challenging due to inconsistent policies, high initial investment, contests among energy producers for decarbonisation, and overall acceptance of the public regarding changes in energy consumption.
Phase change materials: The underlying principles of phase change materials (PCMs) are potential sectors for further explorations. Excessive energy is stored at a higher temperature and released at a specified temperature for phase-change materials. The relative potential of increasing thermal mass within a limited temperature range creates a broader opportunity for utilising it as a sustainable material [127]. The subcomponent of this theme is the eutectic mixture, which is still in progress for building applications and encapsulation. Only a few of these PCM materials are categorised as positive transitions around comfortable temperatures, and the existing ones have a reasonable minimal heat of fusion. However, the widespread applications of PCMs are still in progress because of identifying the optimal performance of available PCMs.
The science mapping analysis identified three interconnected sectors to reduce carbon footprints effectively: building information modelling (BIM), building information management, and renewable energy. Digital twin application is vital for achieving carbon neutrality, as these connecting sectors play a pivotal role in optimising building and energy systems, thus contributing to reducing carbon emissions and overall sustainability.

5. Recommendations for Future Studies

This reviewed article offers a more profound understanding of evaluating sustainable, carbon-neutral buildings. Nevertheless, it is imperative to delineate and tackle the barriers associated with applying framework and assessment tools into practice in forthcoming research. Specifically, areas like “zero-emission neighbourhoods” and the developing theme of “urban energy systems”, which have been somewhat isolated, should be given precedence. The aim is to investigate whether integrating these elements into the overarching goal of achieving a zero-carbon built environment can enhance operational efficiency.

Author Contributions

Q.T., Conceptualisation, Data curation, Formal analysis, Investigation, Methodology, Visualisation, and Writing—original draft; G.Z., Conceptualisation, Methodology, Project administration, Resources, Supervision, Validation, Visualisation, and Writing—review and editing; S.N., Conceptualisation, Methodology, Software, Supervision, Validation, and Writing—review and editing; M.A.B., Conceptualisation, Data curation, Visualisation, and Writing—review and editing; L.H., Resources and Writing—review and editing; F.G.: Investigation and Writing—review and editing. All authors have read and agreed to the published version of the manuscript.

Funding

The authors gratefully acknowledge the contributions of RMIT University for this project.

Acknowledgments

The authors would like to acknowledge the School of Engineering (Civil & Infrastructure), RMIT University, Melbourne, Australia, for providing financial support for this research.

Conflicts of Interest

The authors declare that they have no known competing financial interest or personal relationships that could have appeared to influence the work reported in this article.

References

  1. Pan, W. System boundaries of zero carbon buildings. Renew. Sustain. Energy Rev. 2014, 37, 424–434. [Google Scholar] [CrossRef]
  2. Malinauskaite, J.; Jouhara, H.; Ahmad, L.; Milani, M.; Montorsi, L.; Venturelli, M. Energy efficiency in industry: EU and national policies in Italy and the UK. Energy 2019, 172, 255–269. [Google Scholar] [CrossRef]
  3. Clarke, L.; Sahin-Dikmen, M. Unions and the green transition in construction in Europe: Contrasting visions. Eur. J. Ind. Relat. 2020, 26, 401–418. [Google Scholar] [CrossRef]
  4. Crawley, D.; Pless, S.; Torcellini, P. Getting to Net Zero; National Renewable Energy Lab. (NREL): Golden, CO, USA, 2009.
  5. Sartori, I.; Napolitano, A.; Voss, K. Net zero energy buildings: A consistent definition framework. Energy Build. 2012, 48, 220–232. [Google Scholar] [CrossRef]
  6. Hernandez, P.; Kenny, P. From net energy to zero energy buildings: Defining life cycle zero energy buildings (LC-ZEB). Energy Build. 2010, 42, 815–821. [Google Scholar] [CrossRef]
  7. Kibert, C.J.; Fard, M.M. Differentiating among low-energy, low-carbon and net-zero-energy building strategies for policy formulation. Build. Res. Inf. 2012, 40, 625–637. [Google Scholar] [CrossRef]
  8. McLeod, R.S.; Hopfe, C.J.; Rezgui, Y. An investigation into recent proposals for a revised definition of zero carbon homes in the UK. Energy Policy 2012, 46, 25–35. [Google Scholar] [CrossRef]
  9. Marszal, A.J.; Heiselberg, P.; Bourrelle, J.S.; Musall, E.; Voss, K.; Sartori, I.; Napolitano, A. Zero Energy Building–A review of definitions and calculation methodologies. Energy Build. 2011, 43, 971–979. [Google Scholar] [CrossRef]
  10. Panagiotidou, M.; Fuller, R.J. Progress in ZEBs—A review of definitions, policies and construction activity. Energy Policy 2013, 62, 196–206. [Google Scholar] [CrossRef]
  11. Moghaddasi, H.; Culp, C.; Vanegas, J.; Ehsani, M. Net zero energy buildings: Variations, clarifications, and requirements in response to the Paris Agreement. Energies 2021, 14, 3760. [Google Scholar] [CrossRef]
  12. Desideri, U.; Asdrubali, F. Handbook of Energy Efficiency in Buildings: A Life Cycle Approach; Butterworth-Heinemann: Oxford, UK, 2018. [Google Scholar]
  13. Taherahmadi, J.; Noorollahi, Y.; Panahi, M. Toward comprehensive zero energy building definitions: A literature review and recommendations. Int. J. Sustain. Energy 2021, 40, 120–148. [Google Scholar] [CrossRef]
  14. Belussi, L.; Barozzi, B.; Bellazzi, A.; Danza, L.; Devitofrancesco, A.; Fanciulli, C.; Ghellere, M.; Guazzi, G.; Meroni, I.; Salamone, F. A review of performance of zero energy buildings and energy efficiency solutions. J. Build. Eng. 2019, 25, 100772. [Google Scholar] [CrossRef]
  15. Tushar, Q.; Zhang, G.; Bhuiyan, M.A.; Giustozzi, F.; Navaratnam, S.; Hou, L. An optimized solution for retrofitting building façades: Energy efficiency and cost-benefit analysis from a life cycle perspective. J. Clean. Prod. 2022, 376, 134257. [Google Scholar] [CrossRef]
  16. Mata, É.; Korpal, A.; Cheng, S.; Navarro, J.J.; Filippidou, F.; Reyna, J.; Wang, R. A map of roadmaps for zero and low energy and carbon buildings worldwide. Environ. Res. Lett. 2020, 15, 113003. [Google Scholar] [CrossRef]
  17. Han, J.H.; Kim, S.; Kim, J.-H.; Lee, S.-Y. A review of zero energy housing regulations for low-income households. Int. J. Knowl.-Based Dev. 2018, 9, 343–360. [Google Scholar] [CrossRef]
  18. Cuce, E. Toward multi-functional PV glazing technologies in low/zero carbon buildings: Heat insulation solar glass–Latest developments and future prospects. Renew. Sustain. Energy Rev. 2016, 60, 1286–1301. [Google Scholar] [CrossRef]
  19. Lizana, J.; Chacartegui, R.; Barrios-Padura, A.; Ortiz, C. Advanced low-carbon energy measures based on thermal energy storage in buildings: A review. Renew. Sustain. Energy Rev. 2018, 82, 3705–3749. [Google Scholar] [CrossRef]
  20. Tian, W.; Heo, Y.; De Wilde, P.; Li, Z.; Yan, D.; Park, C.S.; Feng, X.; Augenbroe, G. A review of uncertainty analysis in building energy assessment. Renew. Sustain. Energy Rev. 2018, 93, 285–301. [Google Scholar] [CrossRef]
  21. Li, X.; Wen, J. Review of building energy modeling for control and operation. Renew. Sustain. Energy Rev. 2014, 37, 517–537. [Google Scholar] [CrossRef]
  22. Van Eck, N.J.; Waltman, L. Citation-based clustering of publications using CitNetExplorer and VOSviewer. Scientometrics 2017, 111, 1053–1070. [Google Scholar] [CrossRef]
  23. Cobo, M.J.; López-Herrera, A.G.; Herrera-Viedma, E.; Herrera, F. SciMAT: A new science mapping analysis software tool. J. Am. Soc. Inf. Sci. Technol. 2012, 63, 1609–1630. [Google Scholar] [CrossRef]
  24. Zhou, X.; Sun, K.; Wang, J.; Zhao, J.; Feng, C.; Yang, Y.; Zhou, W. Computer vision enabled building digital twin using building information model. IEEE Trans. Ind. Inform. 2022, 19, 2684–2692. [Google Scholar] [CrossRef]
  25. Guo, B.; Feng, Y.; Hu, F. Have carbon emission trading pilot policy improved urban innovation capacity? Evidence from a quasi-natural experiment in China. Environ. Sci. Pollut. Res. 2023, 1–14. [Google Scholar] [CrossRef] [PubMed]
  26. González, M.J.; Navarro, J.G. Assessment of the decrease of CO2 emissions in the construction field through the selection of materials: Practical case study of three houses of low environmental impact. Build. Environ. 2006, 41, 902–909. [Google Scholar] [CrossRef]
  27. Zachariah, J.L.; Kennedy, C.; Pressnail, K. What makes a building green? Int. J. Environ. Technol. Manag. 2002, 2, 38–53. [Google Scholar] [CrossRef]
  28. Nakata, T.; Silva, D.; Rodionov, M. Application of energy system models for designing a low-carbon society. Prog. Energy Combust. Sci. 2011, 37, 462–502. [Google Scholar] [CrossRef]
  29. Fong, K.; Lee, C.K. Towards net zero energy design for low-rise residential buildings in subtropical Hong Kong. Appl. Energy 2012, 93, 686–694. [Google Scholar] [CrossRef]
  30. Lee, C.T.; Hashim, H.; Ho, C.S.; Van Fan, Y.; Klemeš, J.J. Sustaining the low-carbon emission development in Asia and beyond: Sustainable energy, water, transportation and low-carbon emission technology. J. Clean. Prod. 2017, 146, 1–13. [Google Scholar] [CrossRef]
  31. Geels, F.W.; Schwanen, T.; Sorrell, S.; Jenkins, K.; Sovacool, B.K. Reducing energy demand through low carbon innovation: A sociotechnical transitions perspective and thirteen research debates. Energy Res. Soc. Sci. 2018, 40, 23–35. [Google Scholar] [CrossRef]
  32. Kalibatiene, D.; Miliauskaitė, J. A systematic mapping with bibliometric analysis on information systems using ontology and fuzzy logic. Appl. Sci. 2021, 11, 3003. [Google Scholar] [CrossRef]
  33. AlRyalat, S.A.S.; Malkawi, L.W.; Momani, S.M. Comparing bibliometric analysis using PubMed, Scopus, and Web of Science databases. JoVE 2019, 152, e58494. [Google Scholar]
  34. Falagas, M.E.; Pitsouni, E.I.; Malietzis, G.A.; Pappas, G. Comparison of PubMed, Scopus, web of science, and Google scholar: Strengths and weaknesses. FASEB J. 2008, 22, 338–342. [Google Scholar] [CrossRef] [PubMed]
  35. Salisbury, L. Web of Science and Scopus: A comparative review of content and searching capabilities. Charlest. Advis. 2009, 11, 5–18. [Google Scholar]
  36. Mongeon, P.; Paul-Hus, A. The journal coverage of Web of Science and Scopus: A comparative analysis. Scientometrics 2016, 106, 213–228. [Google Scholar] [CrossRef]
  37. Olawumi, T.O.; Chan, D.W. A scientometric review of global research on sustainability and sustainable development. J. Clean. Prod. 2018, 183, 231–250. [Google Scholar] [CrossRef]
  38. Oteng, D.; Zuo, J.; Sharifi, E. A scientometric review of trends in solar photovoltaic waste management research. Sol. Energy 2021, 224, 545–562. [Google Scholar] [CrossRef]
  39. Sharifi, A. Urban sustainability assessment: An overview and bibliometric analysis. Ecol. Indic. 2021, 121, 107102. [Google Scholar] [CrossRef]
  40. Wu, H.; Zuo, J.; Zillante, G.; Wang, J.; Yuan, H. Construction and demolition waste research: A bibliometric analysis. Archit. Sci. Rev. 2019, 62, 354–365. [Google Scholar] [CrossRef]
  41. Omrany, H.; Chang, R.; Soebarto, V.; Zhang, Y.; Ghaffarianhoseini, A.; Zuo, J. A bibliometric review of net zero energy building research 1995–2022. Energy Build. 2022, 262, 111996. [Google Scholar] [CrossRef]
  42. Van Eck, N.; Waltman, L. Software survey: VOSviewer, a computer program for bibliometric mapping. Scientometrics 2010, 84, 523–538. [Google Scholar] [CrossRef]
  43. Van Eck, N.; Waltman, L. VOSviewer Manual for VOSviewer Version 1.6.14; Leiden University Press: EZ Leiden, The Netherlands, 2020. [Google Scholar]
  44. Da Graça, G.C.; Augusto, A.; Lerer, M.M. Solar powered net zero energy houses for southern Europe: Feasibility study. Sol. Energy 2012, 86, 634–646. [Google Scholar] [CrossRef]
  45. Mattoni, B.; Guattari, C.; Evangelisti, L.; Bisegna, F.; Gori, P.; Asdrubali, F. Critical review and methodological approach to evaluate the differences among international green building rating tools. Renew. Sustain. Energy Rev. 2018, 82, 950–960. [Google Scholar] [CrossRef]
  46. Potbhare, V.; Syal, M.; Arif, M.; Khalfan, M.M.; Egbu, C. Emergence of green building guidelines in developed countries and their impact on India. J. Eng. Des. Technol. 2009, 7, 99–121. [Google Scholar]
  47. IPCC. Climate Change 2014: Impacts, Adaptation, and Vulnerability. Part A: Global and Sectoral Aspects. Contribution of Working Group II to the Fifth Assessment Report of the Intergovernmental Panel on Climate Change; Cambridge University Press: Cambridge, UK; New York, NY, USA, 2014. [Google Scholar]
  48. Sharifi, A.; Murayama, A. A critical review of seven selected neighborhood sustainability assessment tools. Environ. Impact Assess. Rev. 2013, 38, 73–87. [Google Scholar] [CrossRef]
  49. European Commission. Low Energy Buildings in Europe: Current State of Play, Definitions and Best Practice; Serviço das Publicações da União Europeia: Luxembourg, 2009. [Google Scholar]
  50. Erhorn, H.; Erhorn-Kluttig, H. Terms and Definitions for High Performance Buildings; Detailed Report for the Concerted Action, Energy Performance of Buildings; European Union: Brussels, Belgium, 2011. [Google Scholar]
  51. Rogelj, J.; Den Elzen, M.; Höhne, N.; Fransen, T.; Fekete, H.; Winkler, H.; Schaeffer, R.; Sha, F.; Riahi, K.; Meinshausen, M. Paris Agreement climate proposals need a boost to keep warming well below 2 C. Nature 2016, 534, 631–639. [Google Scholar] [CrossRef]
  52. Hák, T.; Janoušková, S.; Moldan, B. Sustainable Development Goals: A need for relevant indicators. Ecol. Indic. 2016, 60, 565–573. [Google Scholar] [CrossRef]
  53. Gomez-Echeverri, L. Climate and development: Enhancing impact through stronger linkages in the implementation of the Paris Agreement and the Sustainable Development Goals (SDGs). Philos. Trans. R. Soc. A Math. Phys. Eng. Sci. 2018, 376, 20160444. [Google Scholar] [CrossRef]
  54. Scrucca, F.; Ingrao, C.; Barberio, G.; Matarazzo, A.; Lagioia, G. On the role of sustainable buildings in achieving the 2030 UN sustainable development goals. Environ. Impact Assess. Rev. 2023, 100, 107069. [Google Scholar] [CrossRef]
  55. Cobo, M.J.; López-Herrera, A.G.; Herrera-Viedma, E.; Herrera, F. An approach for detecting, quantifying, and visualizing the evolution of a research field: A practical application to the Fuzzy Sets Theory field. J. Informetr. 2011, 5, 146–166. [Google Scholar] [CrossRef]
  56. Xie, H.; Zhang, Y.; Duan, K. Evolutionary overview of urban expansion based on bibliometric analysis in Web of Science from 1990 to 2019. Habitat Int. 2020, 95, 102100. [Google Scholar] [CrossRef]
  57. Schäfermeier, B.; Stumme, G.; Hanika, T. Mapping Research Trajectories. arXiv 2022, arXiv:2204.11859. [Google Scholar]
  58. López-Robles, J.R.; Cobo, M.J.; Gutiérrez-Salcedo, M.; Martínez-Sánchez, M.; Gamboa-Rosales, N.K.; Herrera-Viedma, E. 30th Anniversary of Applied Intelligence: A combination of bibliometrics thematic analysis using, SciMAT. Appl. Intell. 2021, 51, 6547–6568. [Google Scholar] [CrossRef]
  59. Liu, Z.; Zhou, Q.; Tian, Z.; He, B.-J.; Jin, G. A comprehensive analysis on definitions, development, and policies of nearly zero energy buildings in China. Renew. Sustain. Energy Rev. 2019, 114, 109314. [Google Scholar] [CrossRef]
  60. Jankovic, L. Designing Zero Carbon Buildings Using Dynamic Simulation Methods; Taylor & Francis: Abingdon, UK, 2017. [Google Scholar]
  61. Pan, W.; Pan, M. Drivers, barriers and strategies for zero carbon buildings in high-rise high-density cities. Energy Build. 2021, 242, 110970. [Google Scholar] [CrossRef]
  62. Zhao, X.; Pan, W.; Lu, W. Business model innovation for delivering zero carbon buildings. Sustain. Cities Soc. 2016, 27, 253–262. [Google Scholar] [CrossRef]
  63. Tushar, Q.; Zhang, G.; Bhuiyan, M.A.; Navaratnam, S.; Giustozzi, F.; Hou, L. Retrofit of Building Façade Using Precast Sandwich Panel: An Integrated Thermal Environmental Assessment on BIM-Based, LCA. Buildings 2022, 12, 2098. [Google Scholar] [CrossRef]
  64. Marique, A.-F.; Rossi, B. Cradle-to-grave life-cycle assessment within the built environment: Comparison between the refurbishment and the complete reconstruction of an office building in Belgium. J. Environ. Manag. 2018, 224, 396–405. [Google Scholar] [CrossRef]
  65. Valencia-Barba, Y.E.; Gómez-Soberón, J.M.; Gómez-Soberón, M.C. Dynamic life cycle assessment of the recurring embodied emissions from interior walls: Cradle to grave assessment. J. Build. Eng. 2023, 65, 105794. [Google Scholar] [CrossRef]
  66. Tushar, Q.; Bhuiyan, M.A.; Zhang, G.; Maqsood, T. An integrated approach of BIM-enabled LCA and energy simulation: The optimized solution towards sustainable development. J. Clean. Prod. 2020, 289, 125622. [Google Scholar] [CrossRef]
  67. Marzouk, M.; Abdelkader, E.M.; Al-Gahtani, K. Building information modeling-based model for calculating direct and indirect emissions in construction projects. J. Clean. Prod. 2017, 152, 351–363. [Google Scholar] [CrossRef]
  68. Sandanayake, M.; Zhang, G.; Setunge, S. Environmental emissions at foundation construction stage of buildings–Two case studies. Build. Environ. 2016, 95, 189–198. [Google Scholar] [CrossRef]
  69. Zhang, X.; Shen, L.; Zhang, L. Life cycle assessment of the air emissions during building construction process: A case study in Hong Kong. Renew. Sustain. Energy Rev. 2013, 17, 160–169. [Google Scholar] [CrossRef]
  70. Lin, Y.; Yang, W. Application of multi-objective genetic algorithm based simulation for cost-effective building energy efficiency design and thermal comfort improvement. Front. Energy Res. 2018, 6, 25. [Google Scholar] [CrossRef]
  71. Olsthoorn, D.; Haghighat, F.; Moreau, A.; Lacroix, G. Abilities and limitations of thermal mass activation for thermal comfort, peak shifting and shaving: A review. Build. Environ. 2017, 118, 113–127. [Google Scholar] [CrossRef]
  72. Vilches, A.; Padura, Á.B.; Huelva, M.M. Retrofitting of homes for people in fuel poverty: Approach based on household thermal comfort. Energy Policy 2017, 100, 283–291. [Google Scholar] [CrossRef]
  73. Jazizadeh, F.; Jung, W. Personalized thermal comfort inference using RGB video images for distributed HVAC control. Appl. Energy 2018, 220, 829–841. [Google Scholar] [CrossRef]
  74. Qu, K.; Chen, X.; Wang, Y.; Calautit, J.; Riffat, S.; Cui, X. Comprehensive energy economic thermal comfort assessments for the passive energy retrofit of historical buildings-A case study of a late nineteenth-century Victorian house renovation in the UK. Energy 2021, 220, 119646. [Google Scholar] [CrossRef]
  75. Lapisa, R.; Arwizet Kurniawan, A.; Krismadinata Rahman, H.; Romani, Z. Optimized Design of Residential Building Envelope in Tropical Climate Region: Thermal Comfort and Cost Efficiency in an Indonesian Case Study. J. Archit. Eng. 2022, 28, 05022002. [Google Scholar] [CrossRef]
  76. Sartori, I.; Hestnes, A.G. Energy use in the life cycle of conventional and low-energy buildings: A review article. Energy Build. 2007, 39, 249–257. [Google Scholar] [CrossRef]
  77. Ramesh, T.; Prakash, R.; Shukla, K. Life cycle energy analysis of buildings: An overview. Energy Build. 2010, 42, 1592–1600. [Google Scholar] [CrossRef]
  78. Osmani, M.; O’Reilly, A. Feasibility of zero carbon homes in England by 2016: A house builder’s perspective. Build. Environ. 2009, 44, 1917–1924. [Google Scholar] [CrossRef]
  79. Chastas, P.; Theodosiou, T.; Bikas, D. Embodied energy in residential buildings-towards the nearly zero energy building: A literature review. Build. Environ. 2016, 105, 267–282. [Google Scholar] [CrossRef]
  80. Bouckaert, S.; Pales, A.F.; McGlade, C.; Remme, U.; Wanner, B.; Varro, L.; D’Ambrosio, D.; Spencer, T. Net Zero by 2050: A Roadmap for the Global Energy Sector; International Energy Agency: Paris, France, 2021. [Google Scholar]
  81. Pörtner, H.-O.; Roberts, D.C.; Poloczanska, E.; Mintenbeck, K.; Tignor, M.; Alegría, A.; Craig, M.; Langsdorf, S.; Löschke, S.; Möller, V. IPCC, 2022: Summary for Policymakers; IPCC: Geneva, Switzerland, 2022. [Google Scholar]
  82. Dhar, S.; Pathak, M.; Shukla, P. Low Carbon City: A Guidebook for City Planners and Practitioners; UNEP Risø Centre: Nairobi, Kenya, 2013. [Google Scholar]
  83. Dos Santos, S.; Adams, E.; Neville, G.; Wada, Y.; De Sherbinin, A.; Bernhardt, E.M.; Adamo, S. Urban growth and water access in sub-Saharan Africa: Progress, challenges, and emerging research directions. Sci. Total Environ. 2017, 607, 497–508. [Google Scholar] [CrossRef] [PubMed]
  84. Cohen, B. Urban growth in developing countries: A review of current trends and a caution regarding existing forecasts. World Dev. 2004, 32, 23–51. [Google Scholar] [CrossRef]
  85. Perry, S.; Klemeš, J.; Bulatov, I. Integrating renewable energy sources into energy systems for the reduction of carbon footprints of buildings and building complexes. Chem. Eng. Trans. 2007, 12, 593–598. [Google Scholar]
  86. Nielsen, C.V. Carbon footprint of concrete buildings seen in the life cycle perspective. In Proceedings of the NRMCA 2008 Concrete Technology Forum, Denver, CO, USA, June 2008; Available online: https://trid.trb.org/view/919733 (accessed on 16 August 2023).
  87. Perry, S.; Klemeš, J.; Bulatov, I. Integrating waste and renewable energy to reduce the carbon footprint of locally integrated energy sectors. Energy 2008, 33, 1489–1497. [Google Scholar] [CrossRef]
  88. Barrett, J.; Wiedmann, T. A Comparatve Carbon Footprint Analysis of On-Site Construction and an Off-Site Manufactured House; Stockholm Environment Institute: Stockholm, Sweden, 2007. [Google Scholar]
  89. Chen, Z.; Clements-Croome, D.; Hong, J.; Li, H.; Xu, Q. A multicriteria lifespan energy efficiency approach to intelligent building assessment. Energy Build. 2006, 38, 393–409. [Google Scholar] [CrossRef]
  90. Urban, B.; Glicksman, L. The MIT Design Advisor—A fast, simple tool for energy efficient building design. Proc. SimBuild 2006, 2, 54077203. [Google Scholar]
  91. Krarti, M.; Erickson, P.M.; Hillman, T.C. A simplified method to estimate energy savings of artificial lighting use from daylighting. Build. Environ. 2005, 40, 747–754. [Google Scholar] [CrossRef]
  92. Reith, A.; Orova, M. Do green neighbourhood ratings cover sustainability? Ecol. Indic. 2015, 48, 660–672. [Google Scholar] [CrossRef]
  93. Sharifi, A.; Murayama, A. Viability of using global standards for neighbourhood sustainability assessment: Insights from a comparative case study. J. Environ. Plan. Manag. 2015, 58, 1–23. [Google Scholar] [CrossRef]
  94. Yu, W.; Li, B.; Yang, X.; Wang, Q. A development of a rating method and weighting system for green store buildings in China. Renew. Energy 2015, 73, 123–129. [Google Scholar] [CrossRef]
  95. Berardi, U. Sustainability assessment of urban communities through rating systems. Environment, development and sustainability 2013, 15, 1573–1591. [Google Scholar] [CrossRef]
  96. Hewage, K.N.; Ruwanpura, J.Y.; Jergeas, G.F. IT usage in Alberta’s building construction projects: Current status and challenges. Autom. Constr. 2008, 17, 940–947. [Google Scholar] [CrossRef]
  97. Belniak, S.; Leśniak, A.; Plebankiewicz, E.; Zima, K. The influence of the building shape on the costs of its construction. J. Financ. Manag. Prop. Constr. 2013, 18, 90–102. [Google Scholar] [CrossRef]
  98. Generalova, E.M.; Generalov, V.P.; Kuznetsova, A.A. Modular buildings in modern construction. Procedia Eng. 2016, 153, 167–172. [Google Scholar] [CrossRef]
  99. Sousa, J. Energy simulation software for buildings: Review and comparison. In Proceedings of the International Workshop on Information Technology for Energy Applicatons-IT4Energy, Lisbon, Portugal, 6–7 September 2012. [Google Scholar]
  100. Ashari, A.; Paryudi, I.; Tjoa, A.M. Performance comparison between Naïve Bayes, decision tree and k-nearest neighbor in searching alternative design in an energy simulation tool. Int. J. Adv. Comput. Sci. Appl. (IJACSA) 2013, 4, 33–39. [Google Scholar] [CrossRef]
  101. Pagliarini, G.; Corradi, C.; Rainieri, S. Hospital CHCP system optimization assisted by TRNSYS building energy simulation tool. Appl. Therm. Eng. 2012, 44, 150–158. [Google Scholar] [CrossRef]
  102. Smith, P. BIM implementation–global strategies. Procedia Eng. 2014, 85, 482–492. [Google Scholar] [CrossRef]
  103. Barison, M.B.; Santos, E.T. An overview of BIM specialists. Comput. Civ. Build. Eng. Proc. ICCCBE 2010, 2010, 141. [Google Scholar]
  104. Barlish, K.; Sullivan, K. How to measure the benefits of BIM—A case study approach. Autom. Constr. 2012, 24, 149–159. [Google Scholar] [CrossRef]
  105. Kellenberger, D.; Althaus, H.-J. Relevance of simplifications in LCA of building components. Build. Environ. 2009, 44, 818–825. [Google Scholar] [CrossRef]
  106. Aktas, C.B.; Bilec, M.M. Impact of lifetime on US residential building LCA results. Int. J. Life Cycle Assess. 2012, 17, 337–349. [Google Scholar] [CrossRef]
  107. Mekhilef, S.; Saidur, R.; Safari, A. Comparative study of different fuel cell technologies. Renew. Sustain. Energy Rev. 2012, 16, 981–989. [Google Scholar] [CrossRef]
  108. O’hayre, R.; Cha, S.-W.; Colella, W.; Prinz, F.B. Fuel Cell Fundamentals; John Wiley & Sons: Hoboken, NJ, USA, 2016. [Google Scholar]
  109. Xing, Y.; Hewitt, N.; Griffiths, P. Zero carbon buildings refurbishment––A Hierarchical pathway. Renew. Sustain. Energy Rev. 2011, 15, 3229–3236. [Google Scholar] [CrossRef]
  110. Dixon, T.; Eames, M.; Hunt, M.; Lannon, S. Urban Retrofitting for Sustainability: Mapping the Transition to 2050; Routledge: Oxfordshire, UK, 2014. [Google Scholar]
  111. Altan, H.; Hajibandeh, M.; Tabet Aoul, K.A.; Deep, A. Passive Design. In ZEMCH: Toward the Delivery of Zero Energy Mass Custom Homes; Springer: Berlin/Heidelberg, Germany, 2016; pp. 209–236. [Google Scholar]
  112. Chen, X.; Yang, H.; Lu, L. A comprehensive review on passive design approaches in green building rating tools. Renew. Sustain. Energy Rev. 2015, 50, 1425–1436. [Google Scholar] [CrossRef]
  113. Chang, H.; Liu, Y.; Shen, J.; Xiang, C.; He, S.; Wan, Z.; Jiang, M.; Duan, C.; Shu, S. Experimental study on comprehensive utilization of solar energy and energy balance in an integrated solar house. Energy Convers. Manag. 2015, 105, 967–976. [Google Scholar] [CrossRef]
  114. Stevanović, S. Optimization of passive solar design strategies: A review. Renew. Sustain. Energy Rev. 2013, 25, 177–196. [Google Scholar] [CrossRef]
  115. Hoicka, C.E.; Das, R. Ambitious deep energy retrofits of buildings to accelerate the 1.5 C energy transition in Canada. Can. Geogr. Le Géographe Can. 2021, 65, 116–127. [Google Scholar] [CrossRef]
  116. Tushar, Q.; Salehi, S.; Santos, J.; Zhang, G.; Bhuiyan, M.A.; Arashpour, M.; Giustozzi, F. Application of recycled crushed glass in road pavements pipeline bedding: An integrated environmental evaluation using LCA. Sci. Total Environ. 2023, 881, 163488. [Google Scholar] [CrossRef]
  117. Tushar, Q.; Bhuiyan, M.A.; Zhang, G.; Maqsood, T.; Tasmin, T. Application of a harmonized life cycle assessment method for supplementary cementitious materials in structural concrete. Constr. Build. Mater. 2022, 316, 125850. [Google Scholar] [CrossRef]
  118. Wu, S.; Hou, L.; Chen, H.; Zhang, G.K.; Zou, Y.; Tushar, Q. Cognitive ergonomics-based Augmented Reality application for construction performance. Autom. Constr. 2023, 149, 104802. [Google Scholar] [CrossRef]
  119. Tushar, Q.; Bhuiyan, M.; Sandanayake, M.; Zhang, G. Optimizing the energy consumption in a residential building at different climate zones: Towards sustainable decision making. J. Clean. Prod. 2019, 233, 634–649. [Google Scholar] [CrossRef]
  120. Tushar, Q.; Bhuiyan, M.A.; Zhang, G. Energy simulation and modeling for window system: A comparative study of life cycle assessment and life cycle costing. J. Clean. Prod. 2021, 330, 129936. [Google Scholar] [CrossRef]
  121. Hossain, M.U.; Ng, S.T. Critical consideration of buildings’ environmental impact assessment towards adoption of circular economy: An analytical review. J. Clean. Prod. 2018, 205, 763–780. [Google Scholar] [CrossRef]
  122. Navaratnam, S.; Humphreys, M.; Mendis, P.; Nguyen, K.T.; Zhang, G. Effect of roof to wall connection stiffness variations on the load sharing and hold-down forces of Australian timber-framed houses. In Structures; Elsevier: Amsterdam, The Netherlands, 2020. [Google Scholar]
  123. Navaratnam, S.; Thamboo, J.; Ponnampalam, T.; Venkatesan, S.; Chong, K.B. Mechanical performance of glued-in rod glulam beam to column moment connection: An experimental study. J. Build. Eng. 2022, 50, 104131. [Google Scholar] [CrossRef]
  124. Tushar, Q.; Zhang, G.; Giustozzi, F.; Bhuiyan, M.A.; Hou, L.; Navaratnam, S. An integrated financial and environmental evaluation framework to optimize residential photovoltaic solar systems in Australia from recession uncertainties. J. Environ. Manag. 2023, 346, 119002. [Google Scholar] [CrossRef]
  125. Murugan, A.; de Huu, M.; Bacquart, T.; van Wijk, J.; Arrhenius, K.; te Ronde, I.; Hemfrey, D. Measurement challenges for hydrogen vehicles. Int. J. Hydrog. Energy 2019, 44, 19326–19333. [Google Scholar] [CrossRef]
  126. Tushar, Q.; Santos, J.; Zhang, G.; Bhuiyan, M.A.; Giustozzi, F. Recycling waste vehicle tyres into crumb rubber and the transition to renewable energy sources: A comprehensive life cycle assessment. J. Environ. Manag. 2022, 323, 116289. [Google Scholar] [CrossRef]
  127. Cui, Y.; Xie, J.; Liu, J.; Wang, J.; Chen, S. A review on phase change material application in building. Adv. Mech. Eng. 2017, 9, 1–15. [Google Scholar] [CrossRef]
  128. Loli, A.; Bertolin, C. Application of the Zero Emission Refurbishment method at a district scale. Int. J. Disaster Risk Reduct. 2021, 62, 102393. [Google Scholar] [CrossRef]
  129. Carvalho, L.C. Entrepreneurial Ecosystems: Lisbon as a Smart Start-Up City. In E-Planning and Collaboration: Concepts, Methodologies, Tools, and Applications; IGI Global: Hershey, PA, USA, 2018; pp. 1120–1138. [Google Scholar]
  130. Papadis, E.; Tsatsaronis, G. Challenges in the decarbonization of the energy sector. Energy 2020, 205, 118025. [Google Scholar] [CrossRef]
Figure 1. Core steps interpreted in the context of this research review.
Figure 1. Core steps interpreted in the context of this research review.
Sustainability 15 14861 g001
Figure 2. Thematic visualisation principles of SciMAT, including the steps: (a) strategy diagram; (b) thematic network; (c) evolution map; (d) overlay graph [55].
Figure 2. Thematic visualisation principles of SciMAT, including the steps: (a) strategy diagram; (b) thematic network; (c) evolution map; (d) overlay graph [55].
Sustainability 15 14861 g002aSustainability 15 14861 g002b
Figure 3. Publications trend of carbon-neutral buildings per year. Note that the number of published articles in 2023 was lower due to the search beginning in 2023. An ascending trend is anticipated for 2023 and beyond.
Figure 3. Publications trend of carbon-neutral buildings per year. Note that the number of published articles in 2023 was lower due to the search beginning in 2023. An ascending trend is anticipated for 2023 and beyond.
Sustainability 15 14861 g003
Figure 4. Network visualisation of significant keywords in the co-occurrence analysis.
Figure 4. Network visualisation of significant keywords in the co-occurrence analysis.
Sustainability 15 14861 g004
Figure 5. Co-citation analysis of contributing journals.
Figure 5. Co-citation analysis of contributing journals.
Sustainability 15 14861 g005
Figure 6. Eminent authors in the carbon-neutral building domain.
Figure 6. Eminent authors in the carbon-neutral building domain.
Sustainability 15 14861 g006
Figure 7. Network diagram of the connecting theme and subthemes in the first phase (2000–2008). (a) Strategy diagram. (b) Energy.
Figure 7. Network diagram of the connecting theme and subthemes in the first phase (2000–2008). (a) Strategy diagram. (b) Energy.
Sustainability 15 14861 g007
Figure 8. Network diagram of the connecting themes and subthemes in the second phase (2009–2016). (a) Strategy diagram. (b) Impact network. (c) Zero-carbon building network. (d) Energy savings network. (e) Energy network. (f) Design network.
Figure 8. Network diagram of the connecting themes and subthemes in the second phase (2009–2016). (a) Strategy diagram. (b) Impact network. (c) Zero-carbon building network. (d) Energy savings network. (e) Energy network. (f) Design network.
Sustainability 15 14861 g008aSustainability 15 14861 g008b
Figure 9. Network diagram of connecting themes and subthemes in the third phase (2017–2023). (a) Strategy diagram. (b) Residential buildings network. (c) Optimisation network. (d) Transition network. (e) Retrofit network. (f) Phase change materials network. (g) Scenarios network. (h) Digital twin network. (i) Algorithm network. (j) Indoor environment network.
Figure 9. Network diagram of connecting themes and subthemes in the third phase (2017–2023). (a) Strategy diagram. (b) Residential buildings network. (c) Optimisation network. (d) Transition network. (e) Retrofit network. (f) Phase change materials network. (g) Scenarios network. (h) Digital twin network. (i) Algorithm network. (j) Indoor environment network.
Sustainability 15 14861 g009aSustainability 15 14861 g009bSustainability 15 14861 g009c
Figure 10. Overlay graph of the shared keywords among variable phases.
Figure 10. Overlay graph of the shared keywords among variable phases.
Sustainability 15 14861 g010
Figure 11. Thematic evolution diagram of three consecutive phases.
Figure 11. Thematic evolution diagram of three consecutive phases.
Sustainability 15 14861 g011
Table 1. Defined dimensions of carbon-neutral building-related terminology.
Table 1. Defined dimensions of carbon-neutral building-related terminology.
Carbon or Energy PerspectiveSustainability Perspective
Specific contextGroup 01
Carbon neutral, emission, and energy at the operational phase:
Zero-carbon building (ZCB)
Nearly zero-carbon building (NZCB)
Zero-emission building
Zero-energy building (ZEB)
Nearly zero-energy building (NZEB)
Group 03
Energy rating system:
BREEAM
LEAD
CASBEE
Green Star
General contextGroup 02
Life cycle assessment (LCA) at the operational and embodied phase:
ZCB, NZCB, ZEB, NZEB, and others
Group 04
Green building
Sustainable building
Ecobuilding
Table 2. Thirty (30) influential keywords with the highest link strength and occurrences.
Table 2. Thirty (30) influential keywords with the highest link strength and occurrences.
Sl. NoKeywordsOccurrencesTotal Link Strength
1Performance2241442
2Design161833
3Buildings152962
4Energy efficiency148833
5Optimisation127688
6Residential buildings103523
7Life cycle assessment99643
8Embodied energy93625
9Renewable energy91569
10Emissions88585
11Construction88650
12Strategies85493
13Simulation74620
14Sustainability70346
15Storage69465
16Cost64390
17Management64536
18Thermal comfort62367
19Retrofit60461
20NZEB59463
21Zero-energy buildings58389
22Greenhouse gas emissions55353
23Climate change53315
24Innovation50278
25Multiobjective optimisation45341
26Zero carbon44248
27Heat44326
28PV (photovoltaics)44228
29Energy consumption42315
30Environmental impacts42280
Table 3. Co-citation analysis of leading journals regarding documents, co-citations, and link strength.
Table 3. Co-citation analysis of leading journals regarding documents, co-citations, and link strength.
Sl. No Contributing JournalsDocumentsCo-CitationsLink Strength
1Energy and Buildings1223780345
2Renewable & Sustainable Energy Reviews282423144
3Applied Energy541762143
4Building and Environment481315189
5Energy38114192
6Journal of Cleaner Production34954102
7Building Research and Information2082494
8Sustainable Cities and Society31750109
9Journal of Building Engineering2868192
10Energies7349593
11Energy Conversion and Management1946548
12Sustainability62306116
13Renewable Energy1322217
14Buildings42218103
15Solar Energy1217113
Table 4. Influential publications and their focus of study.
Table 4. Influential publications and their focus of study.
ReferenceCitationsCo-CitationsTotal Link StrengthObjectives of the Study
Marszal et al. 2011 [9] 144792382Consistent and clear definition, energy calculation, defined metrics, period, energy balance, and renewable energy source
Sartori et al. 2012 [5] 107977301Framework, definition, options, onsite electricity generations, political comments
Hernandez and Kenny, 2010 [6] 66764445Operational energy, construction energy, life cycle, and net energy ratio
Sartori and Hestnes, 2007 [76] 162956406Design criteria, operation energy, total energy, and solar house
Ramesh et al. 2010 [77] 161453307Life cycle energy demand, and active and passive design strategy
Osmani and O’Reilly, 2009 [78] 2994395Zero-carbon homes, legislative, financial, technical, and cultural
Chastas et al. 2016 [79] 35437234Life cycle energy analysis, passive building, and embodied energy
Table 5. Influential organisations in the zero-carbon building domain.
Table 5. Influential organisations in the zero-carbon building domain.
OrganisationCo-CitationsLink Strength
International Energy Agency (IEA)2462723
European Commission2452035
International Organisation for Standardisation (ISO)1521843
Intergovernmental Panel on Climate Change (IPCC)92884
United Nations (UN)51465
United Nations Environment Programme (UNEP)50572
Table 6. Dominant countries in the carbon-neutral domain regarding co-cited documents and link strength.
Table 6. Dominant countries in the carbon-neutral domain regarding co-cited documents and link strength.
Sl. No CountryDocumentsCo-CitationsLink Strength
1China273604158,271
2England271418084,309
3USA194416538,681
4Italy100215534,977
5Australia83210427,816
6Germany64101417,404
7Norway53108923,429
8Japan5212678072
9South Korea51173712,372
10Scotland5048220,377
11Spain5096613,890
12Canada4537429,351
13India394389162
14Finland374117543
15Belgium3552732,730
16France 3471216,538
17Denmark3269818,847
18Greece3292520,913
19Netherlands3055632,337
20Sweden2957312,814
21Turkey293165923
22Wales275706646
23Portugal256256015
24Ireland233118847
25Iran2111734203
Table 7. The h-index, average citations, and sum of citations of the research themes regarding carbon-neutral strategies.
Table 7. The h-index, average citations, and sum of citations of the research themes regarding carbon-neutral strategies.
Research Themeh-IndexAverage CitationsSum of Citations
Residential buildings2516.321910
Optimisation2316.161568
Transition1112.92336
Retrofit1614.53857
Phase change materials38.2958
Scenarios36.7527
Digital twin2535
Algorithms1714
Indoor environment28.527
Impact1150.57708
Zero-carbon building9122.51225
Design1547.51140
Energy9136.21362
Energy savings2307.5615
Energy32392
Disclaimer/Publisher’s Note: The statements, opinions and data contained in all publications are solely those of the individual author(s) and contributor(s) and not of MDPI and/or the editor(s). MDPI and/or the editor(s) disclaim responsibility for any injury to people or property resulting from any ideas, methods, instructions or products referred to in the content.

Share and Cite

MDPI and ACS Style

Tushar, Q.; Zhang, G.; Navaratnam, S.; Bhuiyan, M.A.; Hou, L.; Giustozzi, F. A Review of Evaluative Measures of Carbon-Neutral Buildings: The Bibliometric and Science Mapping Analysis towards Sustainability. Sustainability 2023, 15, 14861. https://doi.org/10.3390/su152014861

AMA Style

Tushar Q, Zhang G, Navaratnam S, Bhuiyan MA, Hou L, Giustozzi F. A Review of Evaluative Measures of Carbon-Neutral Buildings: The Bibliometric and Science Mapping Analysis towards Sustainability. Sustainability. 2023; 15(20):14861. https://doi.org/10.3390/su152014861

Chicago/Turabian Style

Tushar, Quddus, Guomin Zhang, Satheeskumar Navaratnam, Muhammed A. Bhuiyan, Lei Hou, and Filippo Giustozzi. 2023. "A Review of Evaluative Measures of Carbon-Neutral Buildings: The Bibliometric and Science Mapping Analysis towards Sustainability" Sustainability 15, no. 20: 14861. https://doi.org/10.3390/su152014861

APA Style

Tushar, Q., Zhang, G., Navaratnam, S., Bhuiyan, M. A., Hou, L., & Giustozzi, F. (2023). A Review of Evaluative Measures of Carbon-Neutral Buildings: The Bibliometric and Science Mapping Analysis towards Sustainability. Sustainability, 15(20), 14861. https://doi.org/10.3390/su152014861

Note that from the first issue of 2016, this journal uses article numbers instead of page numbers. See further details here.

Article Metrics

Back to TopTop