An Evaluation of the Sustainability of the Urban Water Resources of Yanbian Korean Autonomous Prefecture, China
Abstract
1. Introduction
2. Materials and Methods
2.1. Study Area
2.2. Data
2.3. Methods
2.3.1. Traditional Ecological Footprint Model of Water Resources
2.3.2. The Improved Ecological Footprint Model
3. Results
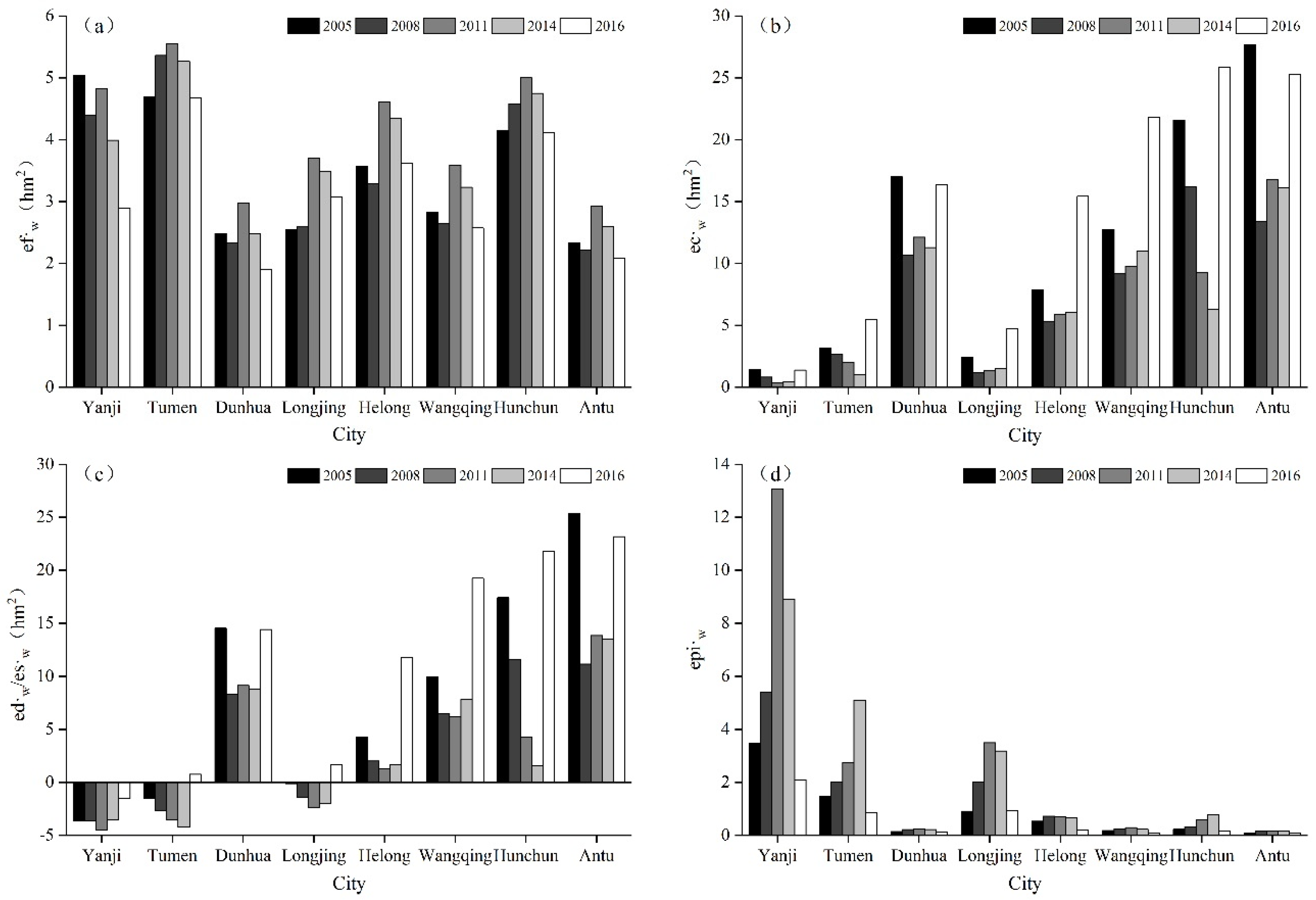
3.1. The Ultimate Ecological Footprint of Water Resources
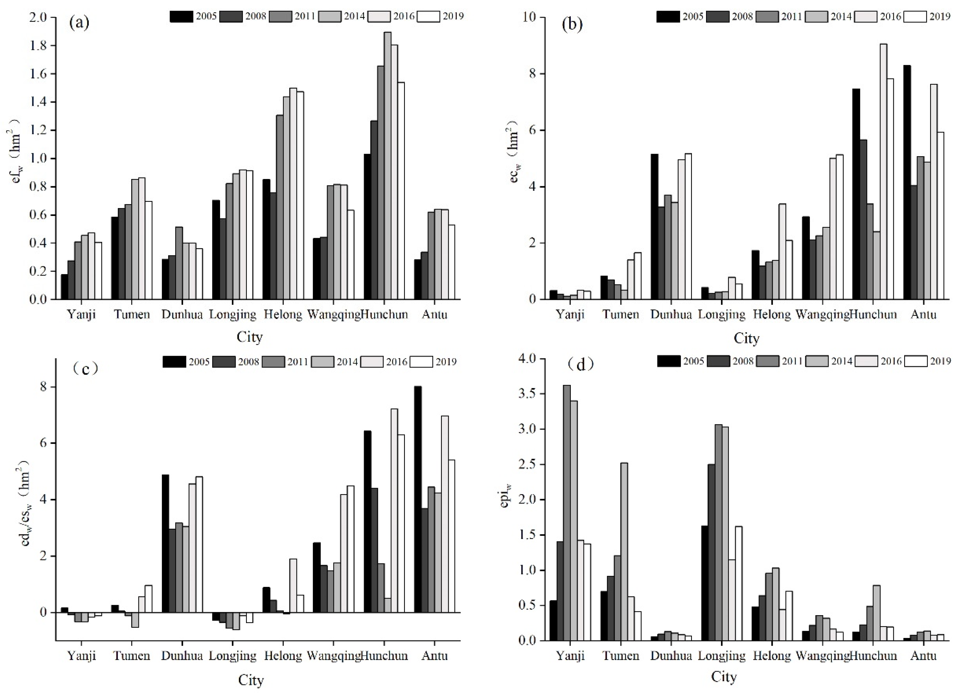
3.2. The Traditional Ecological Footprint of Water Use
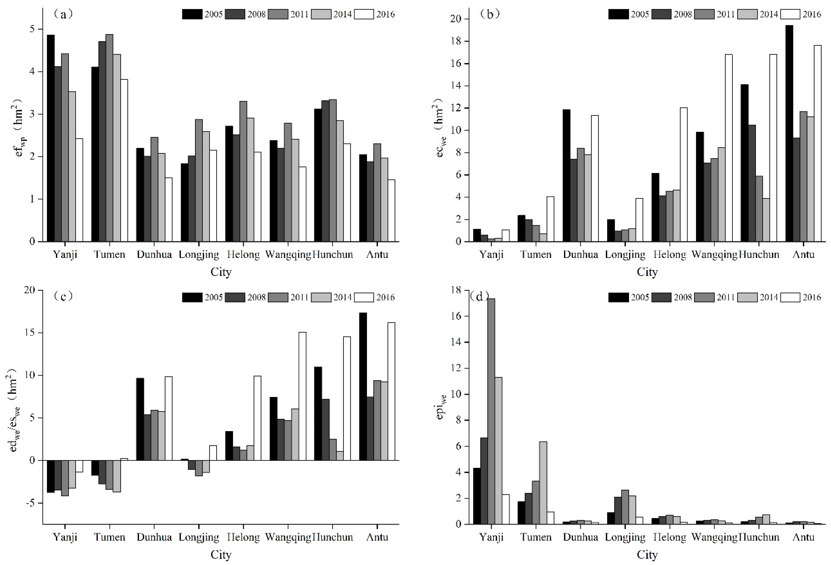
3.3. The Ecological Footprint of the Aquatic Environment
4. Discussion
4.1. Evaluation of the Improved EF Model
4.2. Contribution of the Ecological Footprint of the Aquatic Environment
4.3. Relationships with Influencing Factors
4.4. Recommendations for Improving the Health and Well-Being of Local Residents
4.5. Limitations and Future Outlook
5. Conclusions
Author Contributions
Funding
Institutional Review Board Statement
Informed Consent Statement
Data Availability Statement
Acknowledgments
Conflicts of Interest
Appendix A
| Acronyms | |
|---|---|
| EFW | The ecological footprint of water resources |
| EF·W | The ultimate ecological footprint of water resources |
| EFWP | The ecological footprint of water pollution |
| EFN | The ecological footprint of water pollution by ammonia nitrogen |
| ED·W (ES·W) | The ultimate ecological deficit of water resources |
| EDW (ESW) | The ecological surplus of water resources |
| EDWP (ESWP) | The ecological surplus of the aquatic environment |
| EPIW | The ecological pressure index |
| EPI·W | The ultimate pressure index of the aquatic environment |
| EPIWE | The ecological pressure index of the aquatic environment |
| EFI | The utilization efficiency of water |
| EC·W | The ultimate ecological carrying capacity of water resources |
| ECW | The ecological carrying capacity of water resources |
| ECWE | The ecological carrying capacity of the aquatic environment |
| C | The load index |
| ECN | The environmental carrying capacity of water polluted by ammonia nitrogen |
| efw | The per capita ecological footprint of water resources |
| ef·w | The ultimate per capita ecological footprint of water resources |
| efwp | The per capita ecological footprint of water pollution |
| EFCOD | The ecological footprint of water pollution by organic matter |
| ed·w (es·w) | The ultimate per capita ecological deficit of water resources |
| edw (esw) | The per capita ecological surplus of water resources |
| edwp (eswp) | The per capita ecological surplus of the aquatic environment |
| epiw | The per capita ecological pressure index |
| epi·w | The ultimate per capita pressure index of water ecology |
| epiwe | The per capita ecological pressure index of the aquatic environment |
| efi | The per capita utilization efficiency of water |
| ec·w | The ultimate per capita ecological carrying capacity of water resources |
| ecw | The per capita ecological carrying capacity of water resources |
| ecwe | The per capita ecological carrying capacity of the aquatic environment |
| ECCOD | The environmental carrying capacity of water polluted by organic matter |
Appendix B


References
- Lee, J.M.; Kwon, E.H.; Woo, N.C. Natural and Human-Induced Drivers of Groundwater Sustainability: A Case Study of the Mangyeong River Basin in Korea. Sustainability 2019, 11, 1486. [Google Scholar] [CrossRef]
- Shiklomanov, I.A. Appraisal and Assessment of World Water Resources. Water Int. 2000, 25, 11–32. [Google Scholar] [CrossRef]
- Vörösmarty, C.J.; Green, P.; Salisbury, J.; Lammers, R.B. Global Water Resources: Vulnerability from Climate Change and Population Growth. Science 2000, 289, 284–288. [Google Scholar] [CrossRef] [PubMed]
- Yang, X.J. China’s Rapid Urbanization. Science 2013, 342, 310. [Google Scholar] [CrossRef] [PubMed]
- Cai, Z.Y.; Liu, Q.; Cao, S.X. Real estate supports rapid development of China’s urbanization. Land Use Policy 2020, 95, 104582. [Google Scholar] [CrossRef]
- Sun, Y.; Zhi, Y.; Zhao, Y. Indirect effects of carbon taxes on water conservation: A water footprint analysis for China. J. Environ. Manag. 2020, 279, 111747. [Google Scholar] [CrossRef]
- Zheng, X.J.; Sun, P.; Zhu, W.H.; Xu, Z.; Fu, J.; Man, W.D.; Li, H.L.; Zhang, J.; Qin, L. Landscape dynamics and driving forces of wetlands in the Tumen River Basin of China over the past 50 years. Landsc. Ecol. Eng. 2017, 13, 237–250. [Google Scholar] [CrossRef]
- Mikhailov, R.V.; Russian Mission in Asia. “Berdyaev Readings” in Vladivostok. Polis. Political Stud. 2015, 6, 23–28. [Google Scholar] [CrossRef]
- Lim, S.-W.; Suthiwartnarueput, K.; Abareshi, A.; Lee, P.T.-W.; Duval, Y. Key factors in developing transit trade corridors in Northeast Asia. J. Korea Trade 2017, 21, 191. [Google Scholar] [CrossRef]
- Lee, N.J. Northeast Asian Economic Cooperation and the Korean Peninsula Economy: The Impact of the Changjitu Development Plan. Korea J. 2011, 51, 130–163. [Google Scholar] [CrossRef]
- Mou, Y.; Luo, Y.; Su, Z.; Wang, J.; Liu, T. Evaluating the dynamic sustainability and resilience of a hybrid urban system: Case of Chengdu, China. J. Clean. Prod. 2020, 291, 125719. [Google Scholar] [CrossRef]
- European Commission. A Blueprint to Safeguard Europe’s Water Resources; COM(2012) 673 Final; European Centre for River Restoration: Brussels, Belgium, 2012. [Google Scholar]
- Rees, W.E. Ecological footprints and appropriated carrying capacity: What urban economics leaves out. Int. Inst. Environ. Dev. 1992, 4, 121–130. [Google Scholar] [CrossRef]
- Wackernagel, M. Ecological Footprint and Appropriated Carrying Capacity: A Tool for Planning toward Sustainability. Ph.D. Thesis, The University of British Columbia, Vancouver, BC, Canada, 1994. [Google Scholar]
- Nezamoleslami, R.; Hosseinian, S.M. An improved water footprint model of steel production concerning virtual water of personnel: The case of Iran. J. Environ. Manag. 2020, 260, 110065. [Google Scholar] [CrossRef]
- Weerasooriya, R.; Liyanage, L.; Rathnappriya, R.; Bandara, W.; Perera, T.; Gunarathna, M.; Jayasinghe, G. Industrial water conservation by water footprint and sustainable development goals: A review. Environ. Dev. Sustain. 2021, 23, 12661–12709. [Google Scholar] [CrossRef]
- Araujo, P.; Arena, A.P.; Civit, B.; Curadelli, S.; Feldman, S.; Jozami, E.; Mele, F.; Piastrellini, R.; Silva, J. The Water Footprint in Bionergy-A Comparison of Four Biomass Sources to Produce Biofuels in Argentina. In Environmental Water Footprints; Springer: Singapore, 2019; Volume 52, pp. 351–367. [Google Scholar]
- Dong, H.Y.; Zhang, L.; Geng, Y.; Li, P.; Yu, C.H. New insights from grey water footprint assessment: An industrial park level. J. Clean. Prod. 2021, 285, 124915. [Google Scholar] [CrossRef]
- Batuecas, E.; Ramón-Álvarez, I.; Sánchez-Delgado, S.; Torres-Carrasco, M. Carbon footprint and water use of alkali-activated and hybrid cement mortars. J. Clean. Prod. 2021, 319, 128653. [Google Scholar] [CrossRef]
- Huang, Y.; Zhou, B.; Han, R.; Lu, X.; Li, S.; Li, N. China’s industrial gray water footprint assessment and implications for investment in industrial wastewater treatment. Environ. Sci. Pollut. Res. 2020, 27, 7188–7198. [Google Scholar] [CrossRef]
- Yin, J.; Wu, N.; Engel, B.A.; Hua, E.; Zhang, F.; Li, X.; Wang, Y. Multi-dimensional evaluation of water footprint and implication for crop production: A case study in Hetao Irrigation District, China. Agric. Water Manag. 2022, 267, 107630. [Google Scholar] [CrossRef]
- Mantoam, E.J.; Angnes, G.; Mekonnen, M.M.; Romanelli, T.L. Energy, carbon and water footprints on agricultural machinery. Biosyst. Eng. 2020, 198, 304–322. [Google Scholar] [CrossRef]
- Crovella, T.; Paiano, A.; Lagioia, G. A meso-level water use assessment in the Mediterranean agriculture. Multiple applications of water footprint for some traditional crops. J. Clean. Prod. 2021, 330. [Google Scholar] [CrossRef]
- Zhao, D.; Chen, X.W.; Han, Y.L.; Zhao, Y.K.; Men, X.L. Study on the Matching Method of Agricultural Water and Land Resources from the Perspective of Total Water Footprint. Water 2022, 14, 1120. [Google Scholar] [CrossRef]
- Silva, V.; Oliveira, S.; Braga, C.C.; Brito, J.I.; Sousa, F.; Holanda, R.; Campos, J.; Souza, E.P.; Braga, A.C.; Almeida, R.; et al. Virtual water and water self-sufficiency in agricultural and livestock products in Brazil. J. Environ. Manag. 2016, 184, 465–472. [Google Scholar] [CrossRef] [PubMed]
- Paterson, W.; Rushforth, R.; Ruddell, B.L.; Konar, M.; Ahams, I.C.; Gironás, J.; Mijic, A.; Mejia, A. Water Footprint of Cities: A Review and Suggestions for Future Research. Sustainability 2015, 7, 8461–8490. [Google Scholar] [CrossRef]
- Manzardo, A.; Mazzi, A.; Loss, A.; Butler, M.; Williamson, A.; Scipioni, A. Lessons learned from the application of different water footprint approaches to compare different food packaging alternatives. J. Clean. Prod. 2016, 112, 4657–4666. [Google Scholar] [CrossRef]
- Martin, N.A.; Hulland, K.R.S.; Robert, D.; Farhana, S. Sustained adoption of water, sanitation, and hygiene interventions: Systematic review. Trop. Med. Int. Health 2018, 23, 122–135. [Google Scholar] [CrossRef] [PubMed]
- Manzardo, A.; Loss, A.; Fialkiewicz, W.; Rauch, W.; Scipioni, A. Methodological proposal to assess the water footprint accounting of direct water use at an urban level: A case study of the Municipality of Vicenza. Ecol. Indic. 2016, 69, 165–175. [Google Scholar] [CrossRef]
- Yu, D.; Ding, T. Assessment on the flow and vulnerability of water footprint network of Beijing city, China. J. Clean. Prod. 2021, 293, 126126. [Google Scholar] [CrossRef]
- Finogenova, N.; Dolganova, I.; Berger, M.; Núñez, M.; Blizniukova, D.; Müller-Frank, A.; Finkbeiner, M. Water footprint of German agricultural imports: Local impacts due to global trade flows in a fifteen-year perspective. Sci. Total Environ. 2019, 662, 521–529. [Google Scholar] [CrossRef]
- Ruiz-Pérez, M.R.; Alba-Rodríguez, M.D.; Marrero, M. Evaluation of Water Footprint of Urban Renewal Projects. Case Study in Seville, Andalusia. Water Res. 2022, 221, 118715. [Google Scholar] [CrossRef]
- Xu, M.; Li, C.; Wang, X.; Cai, Y.; Yue, W. Optimal water utilization and allocation in industrial sectors based on water footprint accounting in Dalian City, China. J. Clean. Prod. 2018, 176, 1283–1291. [Google Scholar] [CrossRef]
- Rezaee, M.; Tabesh, M. Effects of inflow, infiltration, and exfiltration on water footprint increase of a sewer system: A case study of Tehran. Sustain. Cities Soc. 2022, 79, 103707. [Google Scholar] [CrossRef]
- Arrien, M.M.; Aldaya, M.M.; Rodriguez, C.I. Water Footprint and Virtual Water Trade of Maize in the Province of Buenos Aires, Argentina. Water 2021, 13, 1769. [Google Scholar] [CrossRef]
- Li, M.; Xu, Z.; Jiang, S.; Zhuo, L.; Gao, X.; Zhao, Y.; Liu, Y.; Wang, W.; Jin, J.; Wu, P. Non-negligible regional differences in the driving forces of crop-related water footprint and virtual water flows: A case study for the Beijing-Tianjin-Hebei region. J. Clean. Prod. 2021, 279, 123670. [Google Scholar] [CrossRef]
- Yanbian Korean Autonomous Prefecture Government Official Website. Available online: http://www.yanbian.gov.cn/ (accessed on 26 March 2019). (In Chinese)
- Jilin Provincial Government Official Website. Available online: http://www.chinajilin.com.cn/2013zhuanti/node_31159.htm (accessed on 26 March 2019). (In Chinese).
- Statistical Bureau of Jilin Province. Statistical Yearbook of Jilin (2001–2019); Chinese Statistical Press: Beijing, China, 2001–2019. (In Chinese) [Google Scholar]
- Statistical Bureau of Yanbian State. Statistical Yearbook of Yanbian (2001–2019); Chinese Statistical Press: Beijing, China, 2001–2019. (In Chinese) [Google Scholar]
- Water Conservancy Burea of Yanbian. Water Resources Bulletin of Yanbian State (2001–2019); Chinese Statistical Press: Beijing, China, 2001–2019. (In Chinese) [Google Scholar]
- Mancini, M.S.; Galli, A.; Niccolucci, V.; Lin, D.; Hanscom, L.; Wackernagel, M.; Bastianoni, S.; Marchettini, N. Stocks and flows of natural capital: Implications for Ecological Footprint. Ecol. Indic. 2017, 77, 123–128. [Google Scholar] [CrossRef]
- Fasslabend, W. The Silk Road: A Political Marketing Concept for World Dominance. Eur. View 2015, 14, 293–302. [Google Scholar] [CrossRef]
- World Wide Fund for Nature or World Wildlife Fund. Available online: http://wwf.panda.org/knowledge_hub/all_publications/living_planet_report_timeline/lpr_2002/ (accessed on 8 May 2019).
- Ress, W.E.; Wackernagel, M. Ecological Footprints and Appropriated Carrying Capacity: Measuring the Natural Capital Requirements of the Human Economy. Focus 1994, 6, 121–130. [Google Scholar]
- Wackernagel, M.; Rees, W.E. Perceptual and structural barriers to investing in natural capital: Economics from an ecological footprint perspective. Ecol. Econ. 1997, 20, 3–24. [Google Scholar] [CrossRef]
- Wackernagel, M.; Kitzes, J.; Moran, D.; Goldfinger, S.; Thomas, M. The Ecological Footprint of cities and regions: Comparing resource availability with resource demand. Environ. Urban. 2006, 18, 103–112. [Google Scholar] [CrossRef]
- Song, M.; Wang, R.; Zeng, X. Water resources utilization efficiency and influence factors under environmental restrictions. J. Clean. Prod. 2018, 184, 611–621. [Google Scholar] [CrossRef]
- Ait-Aoudia, M.N.; Berezowska-Azzag, E. Water resources carrying capacity assessment: The case of Algeria’s capital city. Habitat Int. 2016, 58, 51–58. [Google Scholar] [CrossRef]
- Hubacek, K.; Guan, D.; Barrett, J.; Wiedmann, T. Environmental implications of urbanization and lifestyle change in China: Ecological and Water Footprints. J. Clean. Prod. 2009, 17, 1241–1248. [Google Scholar] [CrossRef]
- Zhang, Q.; Gu, X.; Singh, V.P.; Chen, X. Evaluation of ecological instream flow using multiple ecological indicators with consideration of hydrological alterations. J. Hydrol. 2015, 529, 711–722. [Google Scholar] [CrossRef]
- Fang, K.; Heijungs, R.; de Snoo, G.R. Theoretical exploration for the combination of the ecological, energy, carbon, and water footprints: Overview of a footprint family. Ecol. Indic. 2014, 36, 508–518. [Google Scholar] [CrossRef]
- Ture, C. A methodology to analyse the relations of ecological footprint corresponding with human development index: Eco-sustainable human development index. Int. J. Sustain. Dev. World Ecol. 2013, 1, 9–19. [Google Scholar] [CrossRef]
- Shi, L.; Yang, S. Assessment of Eco-Environmental Stress in the Western Taiwan Straits Economic Zone. Sustainability 2015, 7, 2716–2729. [Google Scholar] [CrossRef]
- Mancini, M.S.; Galli, A.; Coscieme, L.; Niccolucci, V.; Lin, D.; Pulselli, F.M.; Bastianoni, S.; Marchettini, N. Exploring ecosystem services assessment through Ecological Footprint accounting. Ecosyst. Serv. 2018, 30, 228–235. [Google Scholar] [CrossRef]
- Chu, X.; Deng, X.; Jin, G.; Wang, Z.; Li, Z. Ecological security assessment based on ecological footprint approach in Beijing-Tianjin-Hebei region, China. Phys. Chem. Earth 2017, 101, 43–51. [Google Scholar] [CrossRef]
- Sachidananda, M.; Webb, D.P.; Rahimifard, S. A Concept of Water Usage Efficiency to Support Water Reduction in Manufacturing Industry. Sustainability 2016, 8, 1222. [Google Scholar] [CrossRef]
- Jemmali, H. Mapping water poverty in Africa using the improved multidimensional index of water poverty. Int. J. Water Resour. Dev. 2017, 33, 649–666. [Google Scholar] [CrossRef]
- Li, J.; Liu, Z.; He, C.; Yue, H.; Gou, S. Water shortages raised a legitimate concern over the sustainable development of the drylands of northern China: Evidence from the water stress index. Sci. Total. Environ. 2017, 590, 739–750. [Google Scholar] [CrossRef]
- Ministry of Ecology, People’s Republic of China. Available online: https://www.mee.gov.cn/zcwj/gwywj/201811/t20181129_676575.shtml (accessed on 29 November 2022).
- GB 3828-2002; Environmental Quality Standards for Surface Water. China Environmental Sciences Press: Beijing, China, 2002. (In Chinese)
- World Meteorological Organization. Wake Up to the Looming Water Crisis, Report Warns. Available online: https://public.wmo.int/en/media/press-release/wake-looming-water-crisis-report-warns (accessed on 11 June 2022).
- United Nations Environment Programme. Global environment outlook. Int. J. Food Sci. Technol. 2010, 36, 337–338. [Google Scholar]
- Zhao, J.; Wang, Y.; Zhao, C.Z.; Jin, M.J. Dynamic research on the ecological footprint and load-carrying capacity of water resources in Yanbian area. J. China Agric. Univ. 2017, 22, 74–82. [Google Scholar]
- Galli, A. On the rationale and policy usefulness of Ecological Footprint Accounting: The case of Morocco. Environ. Sci. Policy 2015, 48, 210–224. [Google Scholar] [CrossRef]





| 2005 | 2006 | 2007 | 2008 | 2009 | 2010 | 2011 | 2012 | 2013 | 2014 | 2015 | 2016 | 2017 | 2018 | 2019 | |
|---|---|---|---|---|---|---|---|---|---|---|---|---|---|---|---|
| γ | 5.228 | 5.236 | 5.244 | 5.251 | 5.259 | 5.267 | 5.274 | 5.282 | 5.29 | 5.297 | 5.305 | 5.313 | 5.321 | 5.329 | 5.337 |
| Yanji | Tumen | Dunhua | Longjing | Helong | Wangqing | Hunchun | Antu | Yanbian | |
|---|---|---|---|---|---|---|---|---|---|
| Φ | 0.573 | 0.693 | 0.946 | 0.408 | 0.583 | 0.639 | 1.126 | 0.932 | 0.809 |
| Grade | Ecological Pressure Index | Token State |
|---|---|---|
| 1 | <0.50 | Very safe |
| 2 | 0.51–0.80 | Relatively safe |
| 3 | 0.81–1.00 | Slightly unsafe |
| 4 | 1.01–1.50 | Relatively unsafe |
| 5 | 1.51–2.00 | Very unsafe |
| 6 | >2.01 | Extremely unsafe |
| Grade | C Value | Water Consumption | Development Potential | Development Prospects |
|---|---|---|---|---|
| 1 | >10 | Higher | Smaller | Very difficult |
| 2 | 5–10 | High | Small | Difficult |
| 3 | 2–5 | Medium | Large | Medium |
| 4 | 1–2 | Low | Larger | More suitable |
| 5 | <1 | Lower | Very large | Appropriate |
| Year | ef·w | ec·w | ed·w | epi·w | C | EFI |
|---|---|---|---|---|---|---|
| 2005 | 3.413 | 11.386 | 7.973 | 0.299 | 1.143 | 3.500 |
| 2006 | 3.422 | 6.569 | 3.147 | 0.520 | 2.259 | 3.039 |
| 2007 | 3.316 | 8.828 | 5.512 | 0.375 | 1.788 | 2.352 |
| 2008 | 3.299 | 7.148 | 3.849 | 0.461 | 2.608 | 1.861 |
| 2009 | 3.105 | 6.707 | 3.602 | 0.462 | 2.849 | 1.500 |
| 2010 | 3.509 | 14.767 | 11.258 | 0.237 | 1.281 | 1.439 |
| 2011 | 4.044 | 7.081 | 3.037 | 0.571 | 3.564 | 1.355 |
| 2012 | 3.915 | 11.375 | 7.460 | 0.344 | 1.977 | 1.116 |
| 2013 | 3.811 | 16.064 | 12.253 | 0.237 | 1.343 | 0.965 |
| 2014 | 3.583 | 6.620 | 3.037 | 0.541 | 4.278 | 0.908 |
| 2015 | 3.618 | 8.114 | 4.496 | 0.445 | 3.216 | 0.899 |
| 2016 | 2.868 | 13.231 | 10.363 | 0.216 | 1.663 | 0.694 |
| Year | efw | ecw | edw | epiw |
|---|---|---|---|---|
| 2005 | 0.475 | 3.125 | 2.650 | 0.152 |
| 2006 | 0.500 | 1.831 | 1.331 | 0.273 |
| 2007 | 0.498 | 2.437 | 1.939 | 0.204 |
| 2008 | 0.510 | 1.989 | 1.479 | 0.256 |
| 2009 | 0.541 | 1.873 | 1.332 | 0.288 |
| 2010 | 0.637 | 4.047 | 3.410 | 0.157 |
| 2011 | 0.758 | 1.997 | 1.239 | 0.379 |
| 2012 | 0.754 | 3.154 | 2.400 | 0.239 |
| 2013 | 0.771 | 4.421 | 3.650 | 0.174 |
| 2014 | 0.792 | 1.877 | 1.085 | 0.421 |
| 2015 | 0.800 | 2.284 | 1.484 | 0.350 |
| 2016 | 0.794 | 3.662 | 2.868 | 0.216 |
| 2017 | 0.767 | 3.310 | 2.544 | 0.232 |
| 2018 | 0.727 | 3.475 | 2.748 | 0.209 |
| 2019 | 0.693 | 3.278 | 2.585 | 0.211 |
| Year | efwp | ecwe | edwe | epiwe |
|---|---|---|---|---|
| 2005 | 2.938 | 8.261 | 5.323 | 0.355 |
| 2006 | 2.922 | 4.737 | 1.815 | 0.616 |
| 2007 | 2.818 | 6.390 | 3.572 | 0.441 |
| 2008 | 2.789 | 5.158 | 2.369 | 0.540 |
| 2009 | 2.563 | 4.834 | 2.271 | 0.530 |
| 2010 | 2.872 | 10.719 | 7.847 | 0.267 |
| 2011 | 3.285 | 5.083 | 1.798 | 0.646 |
| 2012 | 3.160 | 8.221 | 5.061 | 0.384 |
| 2013 | 3.040 | 11.642 | 8.602 | 0.261 |
| 2014 | 2.790 | 4.742 | 1.952 | 0.588 |
| 2015 | 2.818 | 5.830 | 3.012 | 0.483 |
| 2016 | 2.074 | 9.568 | 7.494 | 0.216 |
Disclaimer/Publisher’s Note: The statements, opinions and data contained in all publications are solely those of the individual author(s) and contributor(s) and not of MDPI and/or the editor(s). MDPI and/or the editor(s) disclaim responsibility for any injury to people or property resulting from any ideas, methods, instructions or products referred to in the content. |
© 2023 by the authors. Licensee MDPI, Basel, Switzerland. This article is an open access article distributed under the terms and conditions of the Creative Commons Attribution (CC BY) license (https://creativecommons.org/licenses/by/4.0/).
Share and Cite
Gao, T.; Zhang, M.; Zhao, C. An Evaluation of the Sustainability of the Urban Water Resources of Yanbian Korean Autonomous Prefecture, China. Sustainability 2023, 15, 1646. https://doi.org/10.3390/su15021646
Gao T, Zhang M, Zhao C. An Evaluation of the Sustainability of the Urban Water Resources of Yanbian Korean Autonomous Prefecture, China. Sustainability. 2023; 15(2):1646. https://doi.org/10.3390/su15021646
Chicago/Turabian StyleGao, Teng, Mingye Zhang, and Chunzi Zhao. 2023. "An Evaluation of the Sustainability of the Urban Water Resources of Yanbian Korean Autonomous Prefecture, China" Sustainability 15, no. 2: 1646. https://doi.org/10.3390/su15021646
APA StyleGao, T., Zhang, M., & Zhao, C. (2023). An Evaluation of the Sustainability of the Urban Water Resources of Yanbian Korean Autonomous Prefecture, China. Sustainability, 15(2), 1646. https://doi.org/10.3390/su15021646

