Development of Hybrid Titania/Polybenzoxazine Composite for Enhance Thermomechanical, Flame Retardancy and Dielectric Properties
Abstract
:1. Introduction
2. Materials and Methods
2.1. Chemicals and Material
2.2. Synthesis of Bis(6-Phenyl Diazenyl-3-Phenoxy-3,4-Dihydro-2H-1,3-Benzoxazinyl) Benzonitrile (Bzo-BN)
2.3. Preparation of Pbz-BN/TiO2 Composites
3. Results
3.1. Structural Analysis of Benzoxazine Monomer (Bzo-BN)
3.2. Polymerization Behavior of Hybrids
3.3. Morphology of PBz-BP/TiO2 Composites
3.4. Surface Properties of the Polybenzoxazine-Titania Hybrids
3.5. Dynamic Mechanical Properties of Titanium-Modified Polybenzoxazine Hybrids
3.6. Cross-Link Density of Pbz/TiO2 Composites
3.7. Thermal Stability of Pbz/TiO2 Composites
3.8. Flame Retardancy of Pbz/TiO2 Composites
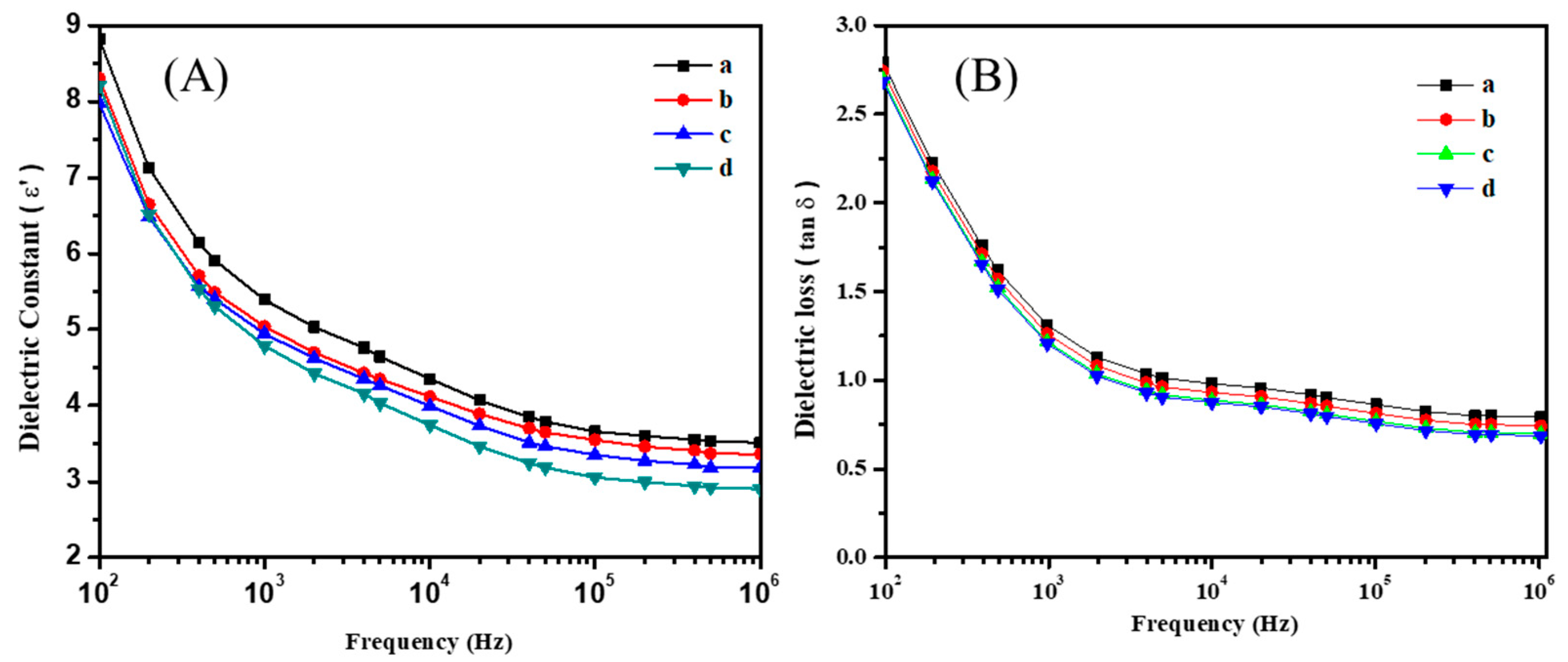
3.9. Dielectric Properties of Pbz/TiO2 Composites
4. Conclusions
Supplementary Materials
Author Contributions
Funding
Institutional Review Board Statement
Informed Consent Statement
Data Availability Statement
Conflicts of Interest
References
- Lu, C.H.; Su, Y.C.; Wang, C.F.; Huang, C.F.; Sheen, Y.C.; Chang, F.C. Thermal properties and surface energy characteristics of interpenetrating polyacrylate and polybenzoxazine networks. Polymer 2008, 49, 4852–4860. [Google Scholar] [CrossRef]
 - Wang, C.F.; Su, Y.C.; Kuo, S.W.; Huang, C.F.; Sheen, Y.C.; Chang, F.C. Low-surface-free-energy materials based on polybenzoxazines. Angew. Chem. Int. Ed. 2006, 45, 2248–2251. [Google Scholar] [CrossRef]
 - Qu, L.; Xin, Z. Preparation and surface properties of novel low surface free energy fluorinated silane-functional polybenzoxazine films. Langmuir 2011, 27, 8365–8370. [Google Scholar] [CrossRef] [PubMed]
 - Liu, Y.; Zhang, W.; Chen, Y.; Zheng, S. Polybenzoxazine containing polysilsesquioxane: Preparation and thermal properties. J. Appl. Polym. Sci. 2006, 99, 927–936. [Google Scholar] [CrossRef]
 - Ishida, H.; Allen, D.J. Gelation behavior of near-zero shrinkage polybenzoxazines. J. Appl. Polym. Sci. 2001, 79, 406–417. [Google Scholar] [CrossRef]
 - Wang, S.; Feng, L.; Liu, H.; Sun, T.; Zhang, X.; Jiang, L.; Zhu, D. Manipulation of surface wettability between superhydrophobicity and superhydrophilicity on copper films. Chem. Phys. Chem. 2005, 6, 1475–1478. [Google Scholar] [CrossRef]
 - Ao, C.; Hu, R.; Zhao, J.; Zhang, X.; Li, Q.; Xia, T.; Zhang, W.; Lu, C. Reusable, salt-tolerant and superhydrophilic cellulose hydrogelcoated mesh for efficient gravity-driven oil/water separation. Chem. Eng. J. 2018, 338, 271–277. [Google Scholar] [CrossRef]
 - He, T.; Zhao, H.; Liu, Y.; Zhao, C.; Wang, L.; Wang, H.; Zhao, Y.; Wang, H. Facile fabrication of superhydrophobic Titanium dioxide-composited cotton fabrics to realize oil-water separation with efficiently photocatalytic degradation for water-soluble pollutants. Colloids Surf. A 2020, 585, 124080. [Google Scholar] [CrossRef]
 - Agag, T.; Takeichi, T. Synthesis and characterization of novel benzoxazine monomers containing allyl groups and their high performance thermosets. Macromolecules 2003, 36, 6010–6017. [Google Scholar] [CrossRef]
 - Tudu, B.K.; Kumar, A. Robust and durable superhydrophobic steel and copper meshes for separation of oil-water emulsions. Prog. Org. Coat. 2019, 133, 316–324. [Google Scholar] [CrossRef]
 - Yu, C.; Sasic, S.; Liu, K.; Salameh, S.; Ras, R.H.A.; van Ommen, J.R. Nature-inspired self-cleaning surfaces: Mechanisms, modelling, and manufacturing. Chem. Eng. Res. Des. 2020, 155, 48–65. [Google Scholar] [CrossRef]
 - Shi, J.; Zhang, L.; Xiao, P.; Huang, Y.; Chen, P.; Wang, X.; Gu, J.; Zhang, J.; Chen, T. Biodegradable PLA nonwoven fabric with controllable wettability for efficient water purification and photocatalysis degradation. ACS Sustain. Chem. Eng. 2018, 6, 2445–2452. [Google Scholar] [CrossRef]
 - Agag, T.; Takeichi, T. Synthesis and properties of silica modified polybenzoxazine. Mater. Science Forum 2004, 449, 1157–1160. [Google Scholar] [CrossRef]
 - Agag, T.; Takeichi, T. Novel benzoxazine monomers containing p-phenyl propargyl ether: Polymerization of monomers and properties of polybenzoxazines. Macromolecules 2001, 34, 7257–7263. [Google Scholar] [CrossRef]
 - Agag, T.; Takeichi, T. Synthesis and characterization of benzoxazine resin-SiO2 hybrids by sol-gel process: The role of benzoxazine-functional silane coupling agent. Polymer 2011, 52, 2757–2763. [Google Scholar] [CrossRef]
 - Ji, H.; Zhao, R.; Li, Y.; Sun, B.; Li, Y.; Zhang, N.; Qiu, J.; Li, X.; Wang, C. Robust and durable superhydrophobic electrospun nanofibrous mats via a simple Cu nanocluster immobilization for oil-water contamination. Colloids Surf. A 2018, 538, 173–183. [Google Scholar] [CrossRef]
 - Zhu, C.; Shi, J.; Xu, S.; Ishimori, M.; Sui, J.; Morikawa, H. Design and characterization of self-cleaning cotton fabrics exploiting zinc oxide nanoparticle-triggered photocatalytic degradation. Cellulose 2017, 24, 2657–2667. [Google Scholar] [CrossRef]
 - Ghashghaee, M.; Fallah, M.; Rabiee, A. Superhydrophobic nanocomposite coatings of poly(methyl methacrylate) and stearic acid grafted CuO nanoparticles with photocatalytic activity. Prog. Org. Coat. 2019, 136, 105270. [Google Scholar] [CrossRef]
 - Li, H.; Mu, P.; Li, J.; Wang, Q. Inverse desert beetle-like ZIF-8/PAN composite nanofibrous membrane for highly efficient separation of oil-in-water emulsions. J. Mater. Chem. A 2021, 9, 4167. [Google Scholar] [CrossRef]
 - Zhang, W.; Lu, X.; Xin, Z.; Zhou, C. A self-cleaning polybenzoxazine/TiO2 surface with superhydrophobicity and superoleophilicity for oil/water separation. Nanoscale 2015, 7, 19476–19483. [Google Scholar] [CrossRef]
 - Wang, C.-X.; Zhang, X.-F. A non-particle and fluorine-free superhydrophobic surface based on one-step electrodeposition of dodecyltrimethoxysilane on mild steel for corrosion protection. Corros. Sci. 2020, 163, 108284. [Google Scholar] [CrossRef]
 - Afzal, S.; Daoud, W.A.; Langford, S.J. Photostable self-cleaning cotton by a copper(II) porphyrin/TiO2 visible-light photocatalytic system. ACS Appl. Mater. Interfaces 2013, 5, 4753–4759. [Google Scholar] [CrossRef] [PubMed]
 - Raturi, P.; Yadav, K.; Singh, J.P. ZnO-nanowires-coated smart surface mesh with reversible wettability for efficient on-demand oil/ water separation. ACS Appl. Mater. Interfaces 2017, 9, 6007–6013. [Google Scholar] [CrossRef]
 - Wu, M.; Liu, W.; Mu, P.; Wang, Q.; Li, J. Sacrifice template strategy to the fabrication of a self-cleaning nanofibrous membrane for efficient crude oil-in-water emulsion separation with high flux. ACS Appl. Mater. Interfaces 2020, 12, 53484–53493. [Google Scholar] [CrossRef]
 - Thirukumaran, P.; Shakila, A.; Muthusamy, S. Synthesis and characterization of novel bio-based benzoxazines from eugenol. RSC Adv. 2014, 4, 7959–7966. [Google Scholar] [CrossRef]
 - Tseng, M.C.; Liu, Y.L. Preparation morphology and ultra-low dielectric constants of benzoxazine-based polymers/polyhedral oligomeric silsesquioxane (POSS) nanocomposites. Polymer 2010, 51, 5567–5575. [Google Scholar] [CrossRef]
 - Thirukumaran, P.; Shakila Parveen, A.; Kim, S.C. Functionalized MWCNTs, an efficient reinforcement for the preparation of eugenol based high performance PBz/BMI/CNT nanocomposites exhibiting outstanding thermo-mechanical properties. New J. Chem. 2017, 41, 6607–6615. [Google Scholar]
 - Thirukumaran, P.; Parveen, A.S.; Sarojadevi, M. Synthesis and copolymerization of fully biobased benzoxazines from renewable resources. ACS Sustain. Chem. Eng. 2014, 2, 2790–2801. [Google Scholar] [CrossRef]
 - Periyasamy, T.; Asrafali, S.P.; Muthusamy, S. New benzoxazines containing polyhedral oligomeric silsesquioxane from eugenol, guaiacol and vanillin. New J. Chem. 2015, 39, 1691–1702. [Google Scholar] [CrossRef]
 - Raposo, M.; Ferreira, Q.; Ribeiro, P.A. Modern research and educational topics in microscopy. Mod. Res. Educ. Top. Microsc. 2007, 1, 758. [Google Scholar]
 - Shena, L.; Dinga, H.; Wanga, W.; Guob, Q. Fabrication of Ketjen black-polybenzoxazine superhydrophobic conductive composite coatings. Appl. Surf. Sci. 2013, 268, 297. [Google Scholar] [CrossRef]
 - Kao, T.H.; Chen, J.K.; Cheng, C.C.; Su, C.I.; Chang, F.C. Low-surface-free-energy polybenzoxazine/polyacrylonitrile fibers for biononfouling membrane. Polym. J. 2013, 54, 258. [Google Scholar] [CrossRef]
 - Liu, J.; Lu, X.; Xin, Z.; Zhou, C. Synthesis and Surface Properties of Low Surface Free Energy Silane-Functional Polybenzoxazine Films. Langmuir 2013, 29, 411. [Google Scholar] [CrossRef]
 - Wang, M.; Chen, C.; Ma, J.; Xu, J. Preparation of superhydrophobic cauliflower-like silica nanospheres with tunable water adhesion. J. Mater. Chem. 2011, 21, 6962. [Google Scholar] [CrossRef]
 - Zhoua, C.; Lua, X.; Xina, Z.; Liua, J.; Zhang, Y. Effect of nano MMT and mesoporous MCM-41 on corrosion resistance of poly (propylene carbonate)-based waterborne polyurethane. Prog. Org. Coat. 2013, 76, 1178. [Google Scholar]
 - Zhou, C.; Lu, X.; Xin, Z.; Liu, J.; Zhang, Y. Hydrophobic benzoxazine-cured epoxy coatings for corrosion protection. Prog. Org. Coat. 2013, 76, 1178–1183. [Google Scholar] [CrossRef]
 - Rimdusit, S.; Punson, K.; Isala, D.; Somwangthanaroj, A.; Tiptipakorn, S. Rheological and thermomechanical characterizations of fumed silica-filled polybenzoxazine nanocomposites. Eng. J. 2011, 15, 27–38. [Google Scholar] [CrossRef]
 - Zhou, C.; Lu, X.; Xin, Z.; Liu, J.; Zhang, Y. Polybenzoxazine/SiO2 nanocomposite coatings for corrosion protection of mild steel. Corros. Sci. 2014, 80, 269–275. [Google Scholar] [CrossRef]
 - Santhoshkumar, K.S.; Regunadhan Nair, C.P. Textbook of Polybenzoxazines: Chemistry and Properties; Smithers Publications: Akron, OH, USA, 2010. [Google Scholar]
 - Kristina, B.; Vitalij, S.; Huseyin, O.; Peter, S.; Andreas, S.; Prado, L.; Karl, S.; Stefan, H.; Gerold, A.S. Novel ceramic-polymer composites synthesized by compaction of polymer encapsulated TiO2 nanoparticles. Compos. Sci. Technol. 2011, 72, 65–71. [Google Scholar]
 - Chen, Y.C.; Lin, H.C.; Lee, Y.D. The effects of filler content and size on the properties of PTFE/SiO2 composites. J. Polym. Res. 2003, 10, 247–258. [Google Scholar] [CrossRef]
 - Chen, X.G.; Guo, J.D.; Zheng, B.; Li, Y.Q.; Fu, S.Y.; Hu, G.H. Investigation of thermal expansion of PI/SiO2 composite films by CCD imaging technique. Compos. Sci. Technol. 2007, 67, 3006–3013. [Google Scholar] [CrossRef]
 - Wenjie, D.; Jiajia, S.; Yixian, W.; Riwei, X.; Dingsheng, Y. Preparation and characterization of polybenzoxazine/trisilanol polyhedral oligomeric silsesquioxanes composites. Mater. Des. 2010, 31, 1720–1725. [Google Scholar]
 - Chen, Y.C.; Lin, H.C.; Lee, Y.D. Preparation and properties of silylated PTFE/SiO2 organic-hybrids via sol-gel process. J. Polym. Sci. Part A Polym. Chem. 2004, 42, 1789–1807. [Google Scholar] [CrossRef]
 - Chen, Y.C.; Lin, H.C.; Lee, Y.D. The effects of phenyltrimethoxysilane coupling agents on properties of PTFE/Silica composites. J. Polym. Res. 2004, 11, 1–7. [Google Scholar] [CrossRef]
 - Ghosh, N.N.; Kiskan, B.; Yagci, Y. Polybenzoxazines-new high performance thermosetting resins: Synthesis and properties. Prog. Polym. Sci. 2007, 32, 1344–1391. [Google Scholar] [CrossRef]
 - Yagci, Y.; Kiskan, B.; Ghosh, N.N. Recent advancement on polybenzoxazine a newly developed high performance thermoset. J. Polym. Sci. Part A Polym. Chem. 2009, 47, 5565–5576. [Google Scholar] [CrossRef]
 - Kiskan, B.; Gacal, B.; Atilla Tasdelen, M.; Colak, D.; Yagci, Y. Design and synthesis of thermally curable polymers with benzoxazine functionalities. Macromol. Symp. 2006, 245–246, 27–33. [Google Scholar] [CrossRef]
 - Van Krevelen, D.W. Some basic aspects of flame resistance of polymeric materials. Polymer 1975, 16, 615–620. [Google Scholar] [CrossRef]
 - Liu, Y.; Zhang, J.; Li, Z.; Luo, X.; Jing, S.; Run, M. A pair of benzoxazine isomers from o-allylphenol and 4,4’-diaminodiphenyl ether: Synthesis, polymerization behavior, and thermal properties. Polymer 2014, 55, 1688–1697. [Google Scholar] [CrossRef]
 










| Sample | TiO2 Ratio | T onset (°C) | T max(°C) | T final (°C) | 
|---|---|---|---|---|
| Bzo-BN/TiO2 | 0 | 224 | 243 | 256 | 
| 1 | 223 | 245 | 258 | |
| 3 | 220 | 248 | 261 | |
| 5 | 218 | 251 | 262 | 
| Sample | TiO2 Ratio | DMA | ||
|---|---|---|---|---|
| Storage Modulus | Tg (°C) | CLD * 105 mol/m3  | ||
| PBz-BN/TiO2 | 0 | 2.81 | 147 | 3.7 | 
| 1 | 3.15 | 151 | 4.1 | |
| 3 | 3.21 | 157 | 4.2 | |
| 5 | 3.26 | 164 | 4.3 | |
| Sample | TiO2 Ratio | Ti (°C) | T5 (°C) | T10 (°C) | CY | LOI | 
|---|---|---|---|---|---|---|
| PBz-BN/TiO2 | 0 | 286 | 326 | 354 | 42.6 | 34.5 | 
| 1 | 296 | 351 | 374 | 46.4 | 36.1 | |
| 3 | 308 | 364 | 386 | 51.2 | 38.0 | |
| 5 | 313 | 378 | 403 | 53.7 | 39.0 | 
| Sample | TiO2 Ratio | Dielectric | |
|---|---|---|---|
| Constant | Loss | ||
| PBz-BN/TiO2 | 0 | 3.2 | 0.94 | 
| 1 | 3.1 | 0.93 | |
| 3 | 3.0 | 0.87 | |
| 5 | 2.9 | 0.78 | |
Disclaimer/Publisher’s Note: The statements, opinions and data contained in all publications are solely those of the individual author(s) and contributor(s) and not of MDPI and/or the editor(s). MDPI and/or the editor(s) disclaim responsibility for any injury to people or property resulting from any ideas, methods, instructions or products referred to in the content.  | 
© 2023 by the authors. Licensee MDPI, Basel, Switzerland. This article is an open access article distributed under the terms and conditions of the Creative Commons Attribution (CC BY) license (https://creativecommons.org/licenses/by/4.0/).
Share and Cite
Asrafali, S.P.; Periyasamy, T.; Raorane, C.J.; Vanaraj, R.; Raj, V.; Kim, S.-C. Development of Hybrid Titania/Polybenzoxazine Composite for Enhance Thermomechanical, Flame Retardancy and Dielectric Properties. Sustainability 2023, 15, 1639. https://doi.org/10.3390/su15021639
Asrafali SP, Periyasamy T, Raorane CJ, Vanaraj R, Raj V, Kim S-C. Development of Hybrid Titania/Polybenzoxazine Composite for Enhance Thermomechanical, Flame Retardancy and Dielectric Properties. Sustainability. 2023; 15(2):1639. https://doi.org/10.3390/su15021639
Chicago/Turabian StyleAsrafali, Shakila Parveen, Thirukumaran Periyasamy, Chaitany Jayprakash Raorane, Ramkumar Vanaraj, Vinit Raj, and Seong-Cheol Kim. 2023. "Development of Hybrid Titania/Polybenzoxazine Composite for Enhance Thermomechanical, Flame Retardancy and Dielectric Properties" Sustainability 15, no. 2: 1639. https://doi.org/10.3390/su15021639
APA StyleAsrafali, S. P., Periyasamy, T., Raorane, C. J., Vanaraj, R., Raj, V., & Kim, S.-C. (2023). Development of Hybrid Titania/Polybenzoxazine Composite for Enhance Thermomechanical, Flame Retardancy and Dielectric Properties. Sustainability, 15(2), 1639. https://doi.org/10.3390/su15021639
        