Ibuprofen and Ketoprofen—Inert Drugs or Potential Environmental Hazard?
Abstract
1. Introduction
2. Materials and Methods
2.1. Materials
2.2. Total Number of Bacteria and Fungi
2.3. Ostracodtoxkit F Test
2.4. Spring Barley Culture
2.5. Determination of Growth Responses
2.6. Determination of Photosynthetic Pigments Content
2.7. Determination of Malondialdehyde and Hydrogen Peroxide Content
2.8. Determination of AsA Content
2.9. Determination of Free Proline Content
2.10. Determination of Superoxide Dismutase Activity
2.11. Determine of Catalase Activity
2.12. Determination of Guaiacol Peroxidase Activity
2.13. Determination of Ascorbate Peroxidase Activity
2.14. Determination of Total Protein Content
2.15. Data Analysis
3. Results and Discussion
3.1. Total Number of Bacteria and Fungi
3.2. Ostracodtoxkit F Test
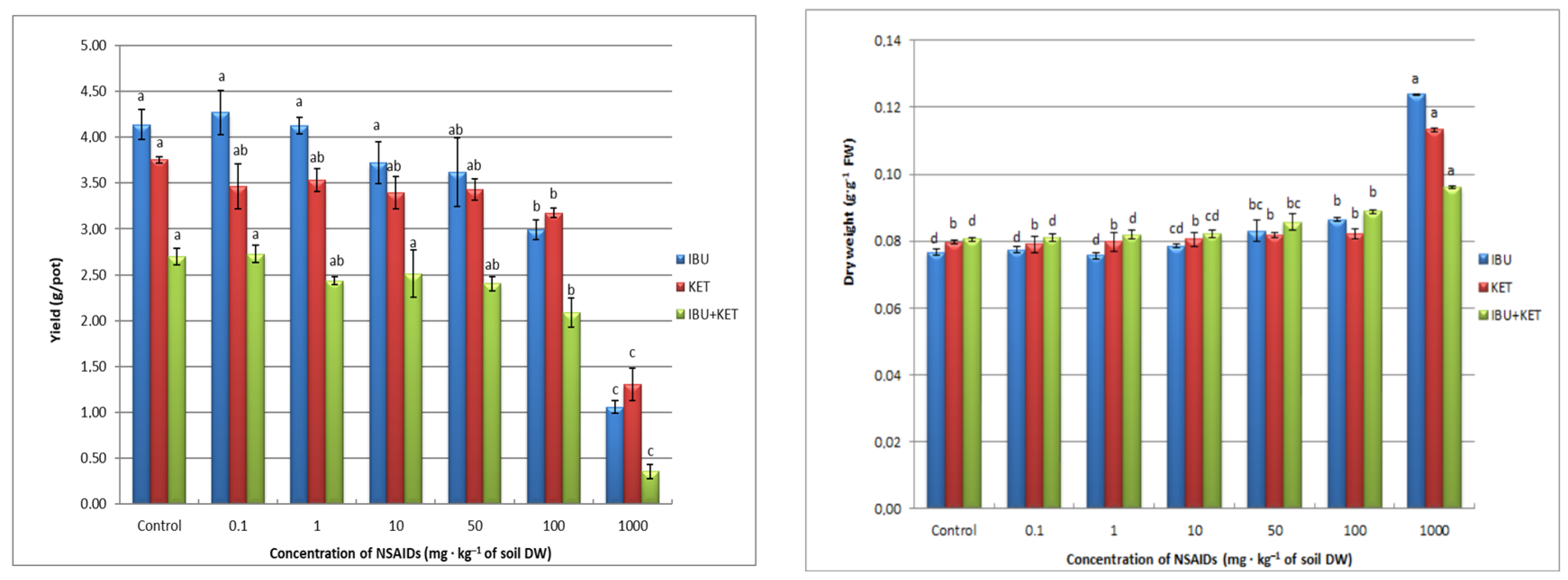
3.3. Plant Growth and Development
3.4. Effect of NSAIDs on Pigments Content
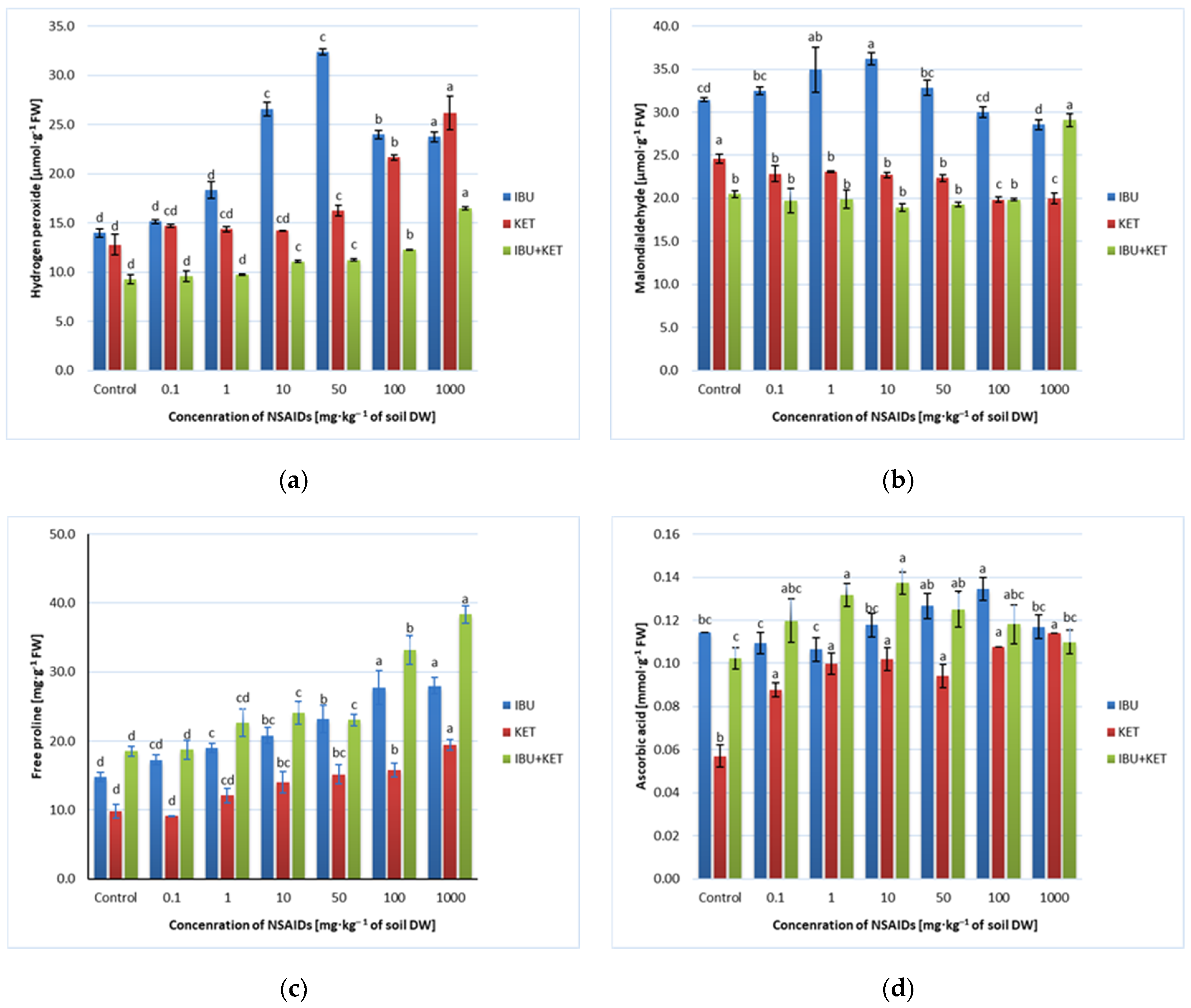
3.5. Content of Malondialdehyde and Hydrogen Peroxide
3.6. Content of Ascorbic Acid (AsA)
3.7. Content of Free Proline
3.8. Antioxidant Enzymes Activities
4. Conclusions
Author Contributions
Funding
Institutional Review Board Statement
Informed Consent Statement
Data Availability Statement
Conflicts of Interest
References
- Christou, A.; Michael, C.; Fatta-Kassinosb, D.; Fotopoulos, V. Can the pharmaceutically active compounds released in agroecosystems be considered as emerging plant stressors? Environ. Int. 2018, 114, 360–364. [Google Scholar] [CrossRef] [PubMed]
- Austin, T.; Bregoli, F.; Höhne, D.; Hendriks, A.J.; Ragas, A.M.J. Ibuprofen exposure in Europe; ePiE as an alternative to costly environmental monitoring. Environ. Res. 2022, 209, 112777. [Google Scholar] [CrossRef]
- Maculewicz, J.; Kowalska, D.; Świacka, K.; Toński, M.; Stepnowski, P.; Białk-Bielińska, A.; Dołżonek, J. Transformation products of pharmaceuticals in the environment: Their fate, (eco)toxicity and bioaccumulation potential. Sci. Total Environ. 2022, 802, 149916. [Google Scholar] [CrossRef] [PubMed]
- Bonnefille, B.; Gomez, E.; Courant, F.; Escande, A.; Fenet, H. Diclofenac in themarine environment: A review of its occurrence and effects. Mar. Pollut. Bull. 2018, 131, 496–506. [Google Scholar] [CrossRef] [PubMed]
- Nikolaou, A.; Meric, S.; Fatta, D. Occurrence patterns of pharmaceuticals in water and wastewater environments. Anal. Bioanal. Chem. 2007, 387, 1225–1234. [Google Scholar] [CrossRef]
- Pawłowska, B.; Telesiński, A.; Biczak, R. Effect of diclofenac and naproxen and their mixture on spring barley seedlings and Heterocypris incongruens. Environ. Toxicol. Pharmacol. 2021, 88, 103746. [Google Scholar] [CrossRef]
- Brain, R.A.; Hanson, M.L.; Solomon, K.R.; Brooks, B.W. Aquatic Plants Exposed to Pharmaceuticals: Effects and Risks. In Reviews of Environmental Contamination and Toxicology; Springer: Berlin/Heidelberg, Germany, 2008; pp. 67–115. [Google Scholar]
- Batucan, N.S.P.; Tremblay, L.A.; Northcott, G.L.; Matthaei, C.D. Medicating the environment? A critical review on the risks of carbamazepine, diclofenac and ibuprofen to aquatic organisms. Environ. Adv. 2022, 7, 100164. [Google Scholar] [CrossRef]
- Harshkova, D.; Aksmann, A. Environmental pollution by non-steroidal anti-inflammatory drugs—Diclofenac as an example. Kosmos 2019, 68, 185–194. (In Polish) [Google Scholar] [CrossRef]
- Bownik, A.; Jasieczek, M.; Kosztowny, E. Ketoprofen affects swimming behavior and impairs physiological endpoints of Daphnia magna. Sci. Total Environ. 2020, 725, 138312. [Google Scholar] [CrossRef]
- Muñiz-González, A.-B. Ibuprofen as an emerging pollutant on non-target aquatic invertebrates: Effects on Chironomus riparius. Environ. Toxicol. Pharmacol. 2021, 81, 103537. [Google Scholar] [CrossRef]
- Hájková, M.; Kummerová, M.; Zezulka, Š.; Babula, P.; Váczi, P. Diclofenac as an environmental threat: Impact on the photosynthetic processes of Lemna minor chloroplasts. Chemosphere 2019, 224, 892–899. [Google Scholar] [CrossRef] [PubMed]
- Cortés, J.M.; Larsson, E.; Jönsson, J.A. Study of the uptake of non-steroid anti-inflammatory drugs in wheat and soybean after application of sewage sludge as a fertilizer. Sci. Total Environ. 2013, 449, 385–389. [Google Scholar] [CrossRef] [PubMed]
- Schmidt, W.; Redshaw, C.H. Evaluation of biological endpoints in crop plants after exposure to non-steroidal anti-inflammatory drugs (NSAIDs): Implications for phytotoxicological assessment of novel contaminants. Ecotox. Environ. Saf. 2015, 112, 212–222. [Google Scholar] [CrossRef] [PubMed]
- Cycoń, M.; Borymski, S.; Żołnierczyk, B.; Piotrowska-Seget, Z. Variable Effects of Non-steroidal Anti-inflammatory Drugs (NSAIDs) on Selected Biochemical Processes Mediated by Soil Microorganisms. Front. Microbiol. 2016, 7, 1969. [Google Scholar] [CrossRef]
- OECD/OCDE 208 Guidelines for the Testing of Chemical. Terrestrial Plant: Seedling Test: Seedlings Emergence and Seedling Growth Test. 2006. Available online: https://www.oecd.org/chemicalsafety/testing/33653757.pdf (accessed on 30 June 2022).
- PN-EN ISO 11269:2; Determination of the effects of pollutants on soil flora—Part 2: Effects of contaminated soil on the emergence and early growth of higher plants. ISO: Geneva, Switzerland, 2012.
- Liu, T.; Zhu, L.; Xie, H.; Wang, J.; Wang, J.; Sun, F.; Wang, F. Effects of the ionic liquid 1-octyl-3-methylimidazolium hexafluorophosphate on the growth of wheat seedlings. Environ. Sci. Pollut. Res. 2014, 21, 3936–3945. [Google Scholar] [CrossRef]
- Wang, L.-S.; Wang, L.; Wang, L.; Wang, G.; Li, Z.-H.; Wang, J.-J. Effect of 1-butyl- 3-methylimidazolium tetrafluoroborate on the wheat (Triticum aestivum L.) seedlings. Environ. Toxicol. 2009, 24, 296–303. [Google Scholar] [CrossRef]
- Kowalska, I. Zawartość Wybranych Składników Szpinaku (Spinacia oleraceae L.) Uprawianym Przy Zróżnicowanej Zawartości Wapnia. Rocz. AR Pozn. 2004, 38, 105–110. (In Polish) [Google Scholar]
- Oren, R.; Werk, K.S.; Buchmann, N.; Zimmermann, R. Chlorophyll-nutrient relationships identify nutritionally caused decline in Picea abies stands. Can. J. For. Res. 1993, 23, 1187–1195. [Google Scholar] [CrossRef]
- Hodges, D.M.; DeLong, J.M.; Forney, C.F.; Prange, R.K. Improving the thiobarbituric acid-reactive-substances assay for estimating lipid peroxidation in plant tissues containing anthocyanin and other interfering compounds. Planta 1999, 207, 604–611. [Google Scholar] [CrossRef]
- Singh, H.P.; Batish, D.R.; Kohli, R.K.; Arora, K. Arsenic induced root growth inhibition in mung bean (Phaseolus aureus Roxb.) is due to oxidative stress resulting from enhanced lipid peroxidation. Plant Growth Regul. 2007, 53, 65–73. [Google Scholar] [CrossRef]
- Law, M.Y.; Charles, S.A.; Halliwell, B. Glutathione and ascorbic acid in spinach (Spinacia oleracea) chloroplasts. The effect of hydrogen peroxide and of Paraquat. Biochem. J. 1983, 210, 899–903. [Google Scholar] [CrossRef] [PubMed]
- Bates, L.S. Rapid determination of free proline for water-stress studies. Plant Soil 1973, 39, 205–207. [Google Scholar] [CrossRef]
- Giannopolitis, C.N.; Ries, S.K. Superoxide dismutase. I. Occurrence in higher plants. Plant Physiol. 1977, 59, 309–314. [Google Scholar] [CrossRef] [PubMed]
- Liu, H.; Wu, J.; Zhang, X.; Xia, Y.; Li, Y.; Du, S. Enantioselective oxidative stress caused by chiral ionic liquids forms of 1-alkyl-3-methyl imidazolium tartrate on Scenedesmus obliquus. Sci. Total. Environ. 2017, 595, 819–827. [Google Scholar] [CrossRef] [PubMed]
- Abassi, N.A.; Kushad, M.M.; Endress, A.G. Active oxygen scavenging enzymes activities in developing apple flowers and fruits. Sci. Hortic. 1998, 74, 183–194. [Google Scholar] [CrossRef]
- Nakano, Y.; Asada, K. Hydrogen peroxide is scavenged by ascorbate-specific peroxidase in spinach chloroplasts. Plant Cell. Physiol. 1981, 22, 867–880. [Google Scholar]
- Bradford, M.M. A rapid and sensitive method for the quantitation of microgram quantities utilizing the principle of protein dye binding. Anal. Biochem. 1976, 72, 248–254. [Google Scholar] [CrossRef]
- Chen, Y.; Rosazza, J.P.N. Microbial transformation of ibuprofen by a Nocardia species. Appl. Environ. Microbiol. 1994, 60, 1292–1296. [Google Scholar] [CrossRef]
- Murdoch, R.W.; Hay, A.G. Formation of catechols via removal of acid side chains from ibuprofen and related aromatic acids. Appl. Environ. Microbiol. 2005, 71, 6121–6125. [Google Scholar] [CrossRef]
- Murdoch, R.W.; Hay, A.G. Genetic and chemical characterization of ibuprofen degradation by Sphingomonas Ibu-2. Microbiology 2013, 159, 621–632. [Google Scholar] [CrossRef]
- Murdoch, R.W.; Hay, A.G. The biotransformation of ibuprofen to trihydroxyibuprofen in activated sludge and by Variovorax Ibu-1. Biodegradation 2015, 26, 105–113. [Google Scholar] [CrossRef] [PubMed]
- Jiang, C.; Geng, J.; Hu, H.; Ma, H.; Gao, X.; Hongqiang, R. Impact of selected non-steroidal anti-inflammatory pharmaceuticals on microbial community assembly and activity in sequencing batch reactors. PLoS ONE 2017, 12, 0179236. [Google Scholar] [CrossRef] [PubMed]
- Tyumin, E.A.; Bazhutin, G.A.; Cartagena Gómez, A.; Ivshina, I.B. Nonsteroidal Anti-inflammatory Drugs as Emerging Contaminants. Microbiology 2020, 89, 148–163. [Google Scholar] [CrossRef]
- Rodarte-Morales, A.I.; Feijoo, G.; Moreira, M.T.; Lema, J.M. Biotransformation of three pharmaceutical active compounds by the fungus Phanerochaete chrysosporium in a fed batch stirred reactor under air and oxygen supply. Biodegradation 2012, 23, 145–156. [Google Scholar] [CrossRef]
- Gonda, S.; Kiss-Szikszai, A.; Szucs, Z.; Balla, B.; Vasas, G. Efficient biotransformation of non-steroid anti-inflammatory drugs by endophytic and epiphytic fungi from dried leaves of a medicinal plant, Plantago lanceolata L. Int. Biodeterior. Biodegrad. 2016, 108, 115–121. [Google Scholar] [CrossRef]
- Torán, J.; Blánquez, P.; Caminal, G. Comparison between several reactors with Trametes versicolor immobilized on lignocellulosic support for the continuous treatments of hospital wastewater. Bioresour. Technol. 2017, 243, 966–974. [Google Scholar] [CrossRef]
- Escuder-Gilabert, L.; Martín-Biosca, Y.; Perez-Baeza, M.; Sagradoa, S.; Medina-Hernández, M.J. Direct chromatographic study of the enantioselective biodegradation of ibuprofen and ketoprofen by an activated sludge. J. Chromatogr. A 2018, 1568, 140–148. [Google Scholar] [CrossRef]
- Gu, Y.; Tobino, T.; Nakajima, F. Effect of calcite saturation state on the growth and mortality of Heterocypris incongruens and a proposal for an reference artificial sediment in the sediment toxicity test ISO14371. Sci. Total Environ. 2020, 702, 134993. [Google Scholar] [CrossRef]
- Niyommaneerat, W.; Nakajima, F.; Tobino, T.; Yamamoto, K. Development of a chronic sediment toxicity test using the benthic ostracod Heterocypris incongruens and their application to toxicity assessments of urban road dust. Ecotoxicol. Environ. Saf. 2017, 143, 266–274. [Google Scholar] [CrossRef]
- Kudłak, B.; Wieczerzak, M.; Namiesnik, J. Determination of toxicological parameters of selected bioactive organic chemicals using the Ostracodtoxkit FTM. Chem. Didact. Ecol. Metrol. 2018, 23, 113–126. [Google Scholar] [CrossRef]
- Ramírez-Morales, D.; Masís-Mora, M.; Montiel-Mora, J.R.; Cambronero-Heinrichs, J.C.; Briceño-Guevara, S.; Rojas-Sánchez, C.E.; Méndez-Rivera, M.; Arias-Mora, V.; Tormo-Budowski, R.; Brenes-Alfaro, L.; et al. Occurrence of pharmaceuticals, hazard assessment and ecotoxicological evaluation of wastewater treatment plants in Costa Rica. Sci. Total Environ. 2020, 746, 141200. [Google Scholar] [CrossRef] [PubMed]
- Forsberg, G.; Kristensen, L.; Eibel, P.; Titone, P.; Haiti, W. Sensitivity of cereal seeds to hort duration treatment with hot, humid air. J. Plant Dis. Prot. 2003, 110, 1–16. [Google Scholar]
- Sharma, H.R.; Garg, S.; Malan, A. Paracetamol and Ibuprofen effect on seed quality attributes of Triticum aestivum (wheat). Int. Res. J. Environ. Sci. 2018, 7, 44–48. [Google Scholar]
- Wang, H.; Jin, M.; Xu, L.; Xi, H.; Wang, B.; Du, S.; Liu, H.; Wen, Y. Effects of ketoprofen on rice seedlings: Insights from photosynthesis, antioxidative stress, gene expression patterns, and integrated biomarker response analysis. Environ. Pollut. 2020, 263, 114533. [Google Scholar] [CrossRef] [PubMed]
- Svobodníková, L.; Kemerova, M.; Zezulka, S.; Babula, P.; Sendecká, K. Root response in Pisum sativum under naproxen stress: Morphoanatomical, cytological, and biochemical traits. Chemosphere 2020, 258, 127411. [Google Scholar] [CrossRef] [PubMed]
- Pino, M.R.; Muñiz, S.; Val, J.; Navarro, E. Phytotoxicity of 15 common pharmaceuticals on the germination of Lactuca sativa and photosynthesis of Chlamydomonas reinhardtii. Environ. Sci. Pollut. Res. 2016, 23, 2253–22541. [Google Scholar] [CrossRef]
- Zezulka, S.; Kummerová, M.; Babula, P.; Hájková, M.; Oravec, M. Sensitivity of physiological and biochemical endpoints in early ontogenetic stages of crops under diclofenac and paracetamol treatments. Environ. Sci. Pollut. Res. 2019, 26, 3965–3979. [Google Scholar] [CrossRef]
- Jbir-Koubaa, R.; Charfeddine, S.; Ellouz, W.; Saidi, M.N.; Gargouri-Bouzid, R.; Nouri-Ellouz, O. Investigation of the response to salinity and to oxidative stress of interspecific potato somatic hybrids grown in a greenhouse. Plant Cell Tissue Organ Cult. 2015, 120, 933–947. [Google Scholar] [CrossRef]
- Pawłowska, B.; Telesiński, A.; Płatkowski, M.; Stręk, M.; Śnioszek, M.; Biczak, R. Reaction of Spring Barley and Common Radish on the Introduction of Ionic Liquids Containing Asymmetric Cations to the Soil. J. Agric. Food Chem. 2017, 65, 4562–4571. [Google Scholar] [CrossRef]
- Chen, Y.; Lin, F.; Yang, H.; Yue, L.; Hu, F.; Wang, J.; Luo, Y.; Cao, F. Effect of varying NaCl doses on flavonoid production in suspension cells of Ginkgo biloba: Relationship to chlorophyll fluorescence, ion homeostasis, antioxidant system and ultrastructure. Acta Physiol. Plant. 2014, 36, 3173–3187. [Google Scholar] [CrossRef]
- Wang, Q.; Que, X.; Zheng, R.; Pang, Z.; Li, C.; Xiao, B. Phytotoxicity assessment of atrazine on growth and physiology of three emergent plants. Environ. Sci. Pollut. Res. 2015, 22, 9646–9657. [Google Scholar] [CrossRef] [PubMed]
- Arias-Baldrich, C.; Bosch, N.; Begines, D.; Feria, A.B.; Monreal, J.A.; García-Mauriño, S. Proline synthesis in barley under iron deficiency and salinity. J. Plant Physiol. 2015, 183, 121–129. [Google Scholar] [CrossRef]
- Opriş, O.; Ciorîţă, A.; Soran, M.-L.; Lung, I.; Copolovici, D.; Copolovici, L. Evaluation of the photosynthetic parameters, emission of volatile organic compounds and ultrastructure of common green leafy vegetables after exposure to non-steroidal anti-inflammatory drugs (NSAIDs). Ecotoxicology 2019, 28, 631–642. [Google Scholar] [CrossRef] [PubMed]
- Sun, Y.; Liu, J.; Lu, G. Influence of aquatic colloids on the bioaccumulation and biological effects of diclofenac in zebrafish (Danio rerio). Ecotoxicol. Environ. Saf. 2018, 195, 110470. [Google Scholar] [CrossRef] [PubMed]
- Alkimin, G.D.; Daniel, D.S.; Frankenbach, S.; Serôdio, J.; Soares, A.M.V.M.; Barata, C.; Nunes, B. Evaluation of pharmaceutical toxic effects of non-standard endpoints on the macrophyte species Lemna minor and Lemna gibba. Sci. Total Environ. 2019, 657, 926–937. [Google Scholar] [CrossRef] [PubMed]
- Biczak, R. Changes in growth and physiological parameters of spring barley and common radish under the influence of 1-butyl-2,3- dimethylimidazolium tetrafluoroborate. Plant Physiol. Biochem. 2017, 115, 259–268. [Google Scholar] [CrossRef] [PubMed]
- Zhang, T.; Li, N.; Chen, G.; Xu, J.; Ouyang, G.; Zhu, F. Stress symptoms and plant hormone-modulated defense response induced by the uptake of carbamazepine and ibuprofen in Malabar spinach (Basella alba L.). Sci. Total Environ. 2021, 793, 148628. [Google Scholar] [CrossRef]
- Iori, V.; Zacchini, M.; Pietrini, F. Growth, physiological response and phytoremoval capability of two willow clones exposed to ibuprofen under hydroponic culture. J. Hazard. Mater. 2013, 262, 796–804. [Google Scholar] [CrossRef]
- Bigott, Y.; Chowdhury, S.P.; Pérez, S.; Montemurro, N.; Manasfi, R.; Schröder, P. Effect of the pharmaceuticals diclofenac and lamotrigine on stress responses and stress gene expression in lettuce (Lactuca sativa) at environmentally relevant concentrations. J. Hazard. Mater. 2021, 403, 123881. [Google Scholar] [CrossRef]
- Nowicka, B.; Kruk, J. Reactive oxygen species in plants—Far more than just a poison. Kosmos 2013, 62, 583–596. (In Polish) [Google Scholar]
- Diaz-Vivancos, D.; Faize, M.; Barba-Espin, G.; Faize, L.; Petri, C.; Hernández, J.A.; Burgos, L. Ectopic expression of cytosolic superoxide dismutase and ascorbate peroxidase leads to salt stress tolerance in transgenic plums. Plant Biotechnol. J. 2013, 11, 976–985. [Google Scholar] [CrossRef] [PubMed]
- Kummerová, M.; Zezulka, S.; Babula, P.; Trískaca, J. (Possible ecological risk of two pharmaceuticals diclofenac and paracetamol demonstrated on a model plant Lemna minor. J. Hazard. Mater. 2016, 302, 351–361. [Google Scholar] [CrossRef] [PubMed]
- Asadi Karam, E.; Maresca, V.; Sorbo, S.; Keramat, B.; Basil, A. Effects of triacontanol on ascorbate-glutathione cycle in Brassica napus L. exposed to cadmium induced oxidative stress. Ecotoxicol. Environ. Saf. 2017, 144, 268–274. [Google Scholar] [CrossRef] [PubMed]
- Sousa, B.; Lopes, J.; Leal, A.; Martins, M.; Soares, C.; Valente, I.M.; Rodrigues, J.A.; Fidalgo, F.; Teixeira, J. Response of Solanum lycopersicum L. to diclofenac e impacts on the plant’s antioxidant mechanisms. Environ. Pollut. 2020, 258, 113762. [Google Scholar] [CrossRef]
- Stuchlíková, L.R.; Skálová, L.; Szotáková, B.; Syslová, E.; Vokřál, I.; Vaněk, T.; Podlipná, R. Biotransformation of flubendazole and fenbendazole and their effects in the ribwort plantain (Plantago lanceolata). Ecotoxicol. Environ. Saf. 2018, 147, 681–687. [Google Scholar] [CrossRef]
- Biczak, R.; Pawłowska, B. Reaction of spring barley seedlings and H. incongruens crustaceans to the presence of acetylsalicylic acid in soil. J. Environ. Manag. 2022, 302, 113936. [Google Scholar] [CrossRef]





| Concentration of NSAIDs (mg·kg−1 of Soil DW) | IBU | KET | IBU + KET | |||
|---|---|---|---|---|---|---|
| Mortality (%) | Growth Inhibition (%) | Mortality (%) | Growth Inhibition (%) | Mortality (%) | Growth Inhibition (%) | |
| 0.1 | 0 | −0.16 | 0 | −11.19 | 0 | −2.04 |
| 1 | 0 | −1.07 | 0 | −1.42 | 0 | −5.01 |
| 10 | 0 | −2.31 | 0 | −0.31 | 0 | −12.19 |
| 50 | 0 | −8.62 | 0 | 9.13 | 0 | 1.25 |
| 100 | 0 | 15.53 | 10 | 11.51 | 0 | 14.19 |
| 1000 | 100 | - | 100 | - | 100 | - |
| Concentration of NSAIDs (mg kg−1 of Soil DW) | IBU | KET | IBU + KET | |||
|---|---|---|---|---|---|---|
| GP (%) | GR (%) | GP (%) | GR (%) | GP (%) | GR (%) | |
| 0 | 90.00 ± 0.00 a | 91.67 ± 2.89 a | 71.67 ± 10.41 a | 80.00 ± 5.00 a | 73.33 ± 5.77 a | 86.67 ± 2.87 a |
| 0.1 | 90.00 ± 10.00 a | 95.00 ± 5.00 a | 75.00 ± 5.00 a | 81.67 ± 7.64 a | 76.67 ± 12.58 a | 86.67 ± 5.77 a |
| 1 | 90.00 ± 5.00 a | 91.67 ± 2.89 a | 73.33 ± 2.89 a | 78.33 ± 2.89 a | 70.00 ± 5.00 a | 70.00 ± 10.00 a |
| 10 | 75.00 ± 13.23 a | 91.67 ± 2.89 a | 73.33 ± 10.41 a | 90.00 ± 5.00 a | 75.00 ± 0.00 a | 80.00 ± 5.00 a |
| 50 | 75.00 ± 13.23 a | 96.67 ± 2.89 a | 75.00 ± 13.23 a | 90.00 ± 8.66 a | 71.67 ± 10.41 a | 80.00 ± 8.66 a |
| 100 | 25.00 ± 10.00 b | 91.67 ± 2.89 a | 71.68 ± 7.64 a | 83.33 ± 12.58 a | 60.00 ± 13.23 a | 70.00 ± 13.23 a |
| 1000 | 6.67 ± 2.89 b | 93.33 ± 2.89 a | 41.68 ± 7.64 a | 71.68 ± 10.41 a | 31.67 ± 7.64 b | 63.33 ± 17.56 a |
| Concentration of NSAIDs (mg·kg−1 of Soil DW) | Pigments (mg·g−1 DW) | |||||
|---|---|---|---|---|---|---|
| Chl-a | Chl-b | Chl-a + Chl-b | Chl-a/Chl-b | Car | Chl(a + b)/Car | |
| IBU | ||||||
| 0 | 10.4 ± 0.04 d | 2.7 ± 0.02 e | 13.1 ± 0.06 d | 3.8 ± 0.02 ab | 2.5 ± 0.01 c | 5.2 ± 0.02 e |
| 0.1 | 10.9 ± 0.11 c | 2.9 ± 0.05 d | 13.8 ± 0.15 c | 3.8 ± 0.03 bc | 2.6 ± 0.03 c | 5.3 ± 0.02 d |
| 1 | 12.8 ± 0.04 a | 3.5 ± 0.04 a | 16.2 ± 0.08 a | 3.7 ± 0.03 d | 3.1 ± 0.02 a | 5.3 ± 0.02 d |
| 10 | 12.9 ± 0.28 a | 3.3 ± 0.07 b | 16.2 ± 0.34 a | 3.9 ± 0.02 a | 3.0 ± 0.08 a | 5.4 ± 0.04 d |
| 50 | 12.0± 0.07 b | 3.2 ± 0.02 c | 15.2 ± 0.08 b | 3.8 ± 0.01 bc | 2.8 ± 0.01 b | 5.5 ± 0.02 c |
| 100 | 10.7 ± 0.06 cd | 2.8 ± 0.05 de | 13.5 ± 0.09 cd | 3.8 ± 0.06 bc | 2.4 ± 0.01 d | 5.7 ± 0.04 b |
| 1000 | 7.3 ± 0.04 e | 2.0 ± 0.03 f | 9.3 ± 0.07 e | 3.7 ± 0.04 cd | 1.6 ± 0.01 e | 5.9 ± 0.06 c |
| KET | ||||||
| 0 | 13.0± 0.41 a | 3.2 ± 0.12pa | 16.2 ± 0.53 a | 4.0 ± 0.04 ab | 3.0 ± 0.08 bc | 5.5 ± 0.03 b |
| 0.1 | 13.5 ± 0.92 a | 3.4 ± 0.29 a | 16.9 ± 1.20 a | 4.0 ± 0.07 a | 3.2 ± 0.22 ab | 5.3 ± 0.02 c |
| 1 | 13.6 ± 0.40 a | 3.3 ± 0.13 a | 17.0 ± 0.52 a | 4.1 ± 0.07 a | 3.3 ± 0.10 a | 5.1 ± 0.05 d |
| 10 | 13.1 ± 0.09 a | 3.4 ± 0.04 a | 16.4 ± 0.09 a | 3.9 ± 0.06 b | 3.0 ± 0.02 abc | 5.4 ± 0.02 b |
| 50 | 13.8 ± 0.11 a | 3.4 ± 0.04 a | 17.2 ± 0.15 a | 4.0 ± 0.02 a | 3.2 ± 0.03 ab | 5. 5 ± 0.02 b |
| 100 | 13.0 ± 0.68 a | 3.2 ± 0.17 a | 16.2 ± 0.85h | 4.0 ± 0.01 a | 2.8 ± 0.15 c | 5.8 ± 0.03 a |
| 1000 | 9.5 ± 0.17 b | 2.3 ± 0.06 b | 11.8 ± 0.23 b | 4.1 ± 0.03 a | 2.0 ± 0.04 d | 5.9 ± 0.01 a |
| IBU + KET | ||||||
| 0 | 10.9 ± 0.08 c | 2.8 ± 0.01 d | 13.7 ± 0.08 c | 3.8 ± 0.04 a | 2.7 ± 0.02 a | 5.1 ± 0.03 f |
| 0.1 | 11.2 ± 0.11 bc | 3.1 ± 0.12 b | 14.3 ± 0.23 b | 3.6 ± 0.10 b | 2.6 ± 0.01 b | 5.6 ± 0.07 e |
| 1 | 11.4 ± 0.09 b | 3.0 ± 0.04 c | 14.4 ± 0.05 b | 3.8 ± 0.08 a | 2.6 ± 0.02 b | 5.6 ± 0.02 e |
| 10 | 11.4 ± 0.06 b | 3.1 ± 0.02 bc | 14.4 ± 0.06 b | 3.7 ± 0.04 ab | 2.5± 0.01 c | 5.8 ± 0.03 d |
| 50 | 11.4 ± 0.09 b | 3.0 ± 0.04 bc | 14.5 ± 0.12 b | 3.8 ± 0.04 a | 2.5 ± 0.02 c | 5.9 ± 0.01 c |
| 100 | 13.1 ± 0.11 a | 3.5 ± 0.03 a | 16.6 ± 0.13 a | 3.8 ± 0.04 a | 2.7 ± 0.02 a | 6.2 ± 0.05 b |
| 1000 | 9.6 ± 0.1 d | 2.5 ± 0.04 e | 12.1 ± 0.14 d | 3.9 ± 0.09 a | 1.8 ± 0.03 d | 6.6 ± 0.02 a |
| The Activity of Enzymes | Concentration of NSAIDs (mg·kg−1 of Soil DW) | ||||||
|---|---|---|---|---|---|---|---|
| 0 | 0.1 | 1 | 10 | 50 | 100 | 1000 | |
| IBU | |||||||
| CAT | 0.0569 ± 0.0025 a | 0.0562 ± 0.0030 a | 0.0576 ± 0.0019 a | 0.0570 ± 0.059 a | 0.0539 ± 0.0048 a | 0.0529 ± 0.0019 a | 0.0510 ± 0.0042 a |
| POD | 5.6 ± 0.05 cd | 5.4 ± 0.10 d | 6.1 ± 0.16 bc | 5.9 ± 0.12 bcd | 6.3 ± 0.31 b | 7.1 ± 0.09 a | 7.1 ± 0.43 a |
| APX | 0.4289 ± 0.0188 a | 0.4285 ± 0.0265 a | 0.4007 ± 0.0162 a | 0.3724 ± 0.0029 a | 0.3789 ± 0.0217 a | 0.3776 ± 0.0370 a | 0.3761 ± 0.0184 a |
| SOD | 12.0± 0.12 bc | 10.8 ± 0.70 c | 10.7 ± 0.84 c | 10.2 ± 0.00 c | 11.8 ± 1.86 bc | 14.0 ± 1.52 ab | 16.1 ± 0.61 a |
| KET | |||||||
| CAT | 0.0738 ± 0.0016 a | 0.0750 ± 0.0187 a | 0.0796 ± 0.0115 a | 0.0825 ± 0.0128 a | 0.0966 ± 0.0406 a | 0.1057 ± 0.0646 a | 0.0849 ± 0.0050 a |
| POD | 5.3 ± 0.14 c | 5.0 ± 0.12 c | 5.7 ± 0.09 bc | 6.2 ± 0.33 b | 6.3 ± 0.14 b | 9.7 ± 0.32 a | 10.2 ± 0.42 a |
| APX | 0.8508 ± 0.0256 a | 0.8559 ± 0.0204 a | 0.9043 ± 0.0302 a | 0.8762 ± 0.1076 a | 0.8660 ± 0.0962 a | 0.8326 ± 0.0687 a | 0.8933 ± 0.0320 a |
| SOD | 11.0 ± 1.18 bc | 10.9 ± 0.86 bc | 10.3 ± 0.21 c | 10.5 ± 1.23 c | 13.7 ± 0.35 a | 13.0 ± 0.80 ab | 11.1 ± 0.24 bc |
| IBU + KET | |||||||
| CAT | 0.0866 ± 0.0164 ab | 0.0922 ± 0.0036 ab | 0.0951 ± 0.0076 ab | 0.1024 ± 0.036 a | 0.0881 ± 0.0045 ab | 0.0878 ± 0.0049 ab | 0.0718 ± 0.0111 b |
| POD | 9.2 ± 0.36 cd | 9.1 ± 0.39 de | 10.2 ± 0.44 bc | 10.4 ± 0.28 b | 10.5 ± 0.43 b | 11.0 ± 0.42 b | 12.9 ± 0.09 a |
| APX | 1.2847 ± 0.0493 a | 1.2116 ± 0.1508 a | 1.3327 ± 0.0791 a | 1.3242 ± 0.1691 a | 1.2571 ± 0.0875 a | 1.2161 ± 0.0360 a | 1.3663 ± 0.0680 a |
| SOD | 14.2 ± 0.49 a | 13.9 ± 1.73 a | 13.8 ± 0.91 a | 12.9 ± 0.75 a | 14.1 ± 2.32 a | 15.2 ± 2.39 a | 15.6± 1.01 a |
Disclaimer/Publisher’s Note: The statements, opinions and data contained in all publications are solely those of the individual author(s) and contributor(s) and not of MDPI and/or the editor(s). MDPI and/or the editor(s) disclaim responsibility for any injury to people or property resulting from any ideas, methods, instructions or products referred to in the content. |
© 2023 by the authors. Licensee MDPI, Basel, Switzerland. This article is an open access article distributed under the terms and conditions of the Creative Commons Attribution (CC BY) license (https://creativecommons.org/licenses/by/4.0/).
Share and Cite
Pawłowska, B.; Telesiński, A.; Sysa, M.; Godela, A.; Ščurek, R.; Biczak, R. Ibuprofen and Ketoprofen—Inert Drugs or Potential Environmental Hazard? Sustainability 2023, 15, 1613. https://doi.org/10.3390/su15021613
Pawłowska B, Telesiński A, Sysa M, Godela A, Ščurek R, Biczak R. Ibuprofen and Ketoprofen—Inert Drugs or Potential Environmental Hazard? Sustainability. 2023; 15(2):1613. https://doi.org/10.3390/su15021613
Chicago/Turabian StylePawłowska, Barbara, Arkadiusz Telesiński, Marcin Sysa, Agnieszka Godela, Radomír Ščurek, and Robert Biczak. 2023. "Ibuprofen and Ketoprofen—Inert Drugs or Potential Environmental Hazard?" Sustainability 15, no. 2: 1613. https://doi.org/10.3390/su15021613
APA StylePawłowska, B., Telesiński, A., Sysa, M., Godela, A., Ščurek, R., & Biczak, R. (2023). Ibuprofen and Ketoprofen—Inert Drugs or Potential Environmental Hazard? Sustainability, 15(2), 1613. https://doi.org/10.3390/su15021613

