Experiment on Sediment Ammonia Nitrogen Release of Chaohu Lake in Varying Hydrodynamic Disturbance
Abstract
1. Introduction
2. Experimental Design
3. Results
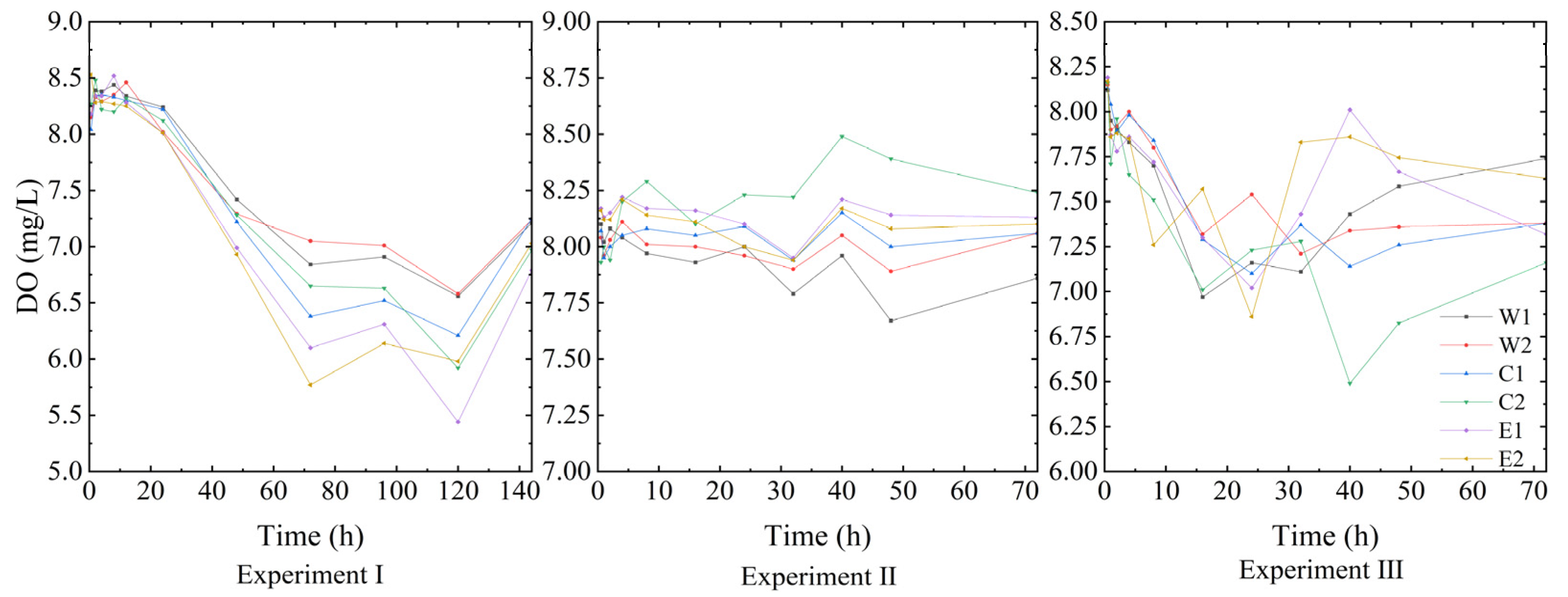
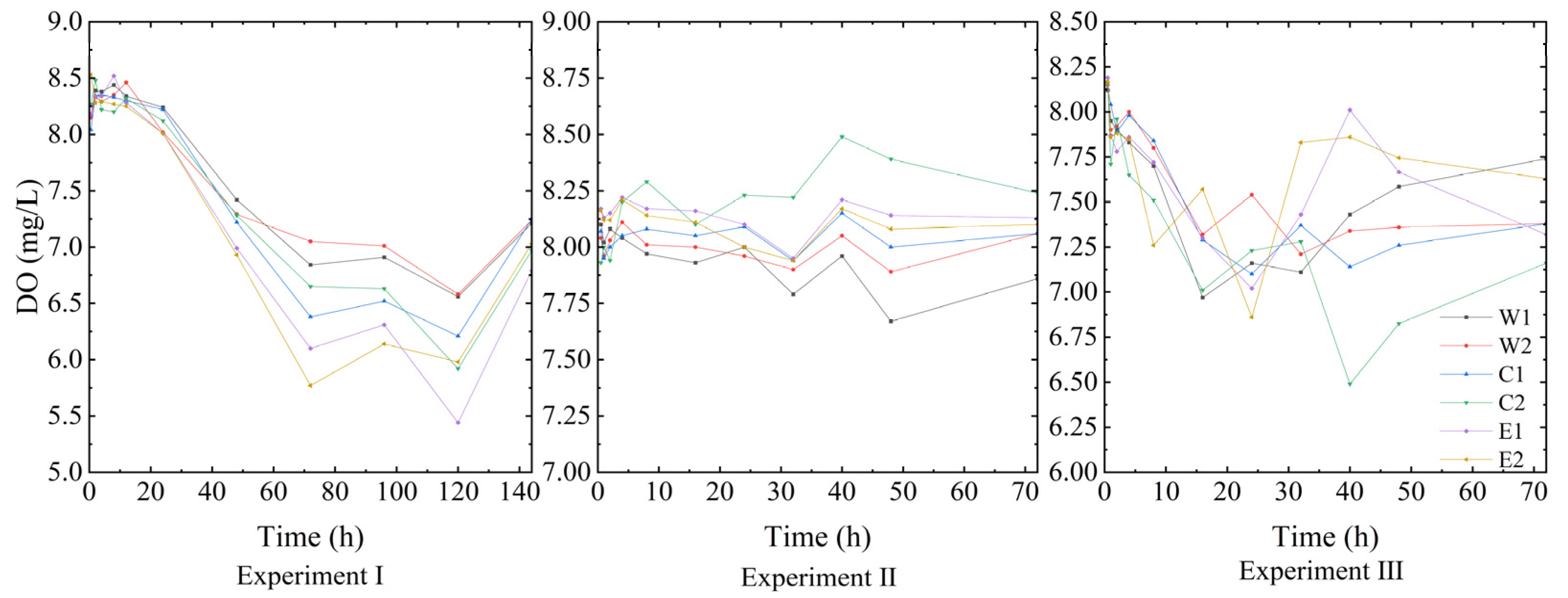
3.1. Ammonia Nitrogen Concentration in the Overlying Water
3.2. Cumulative Release Rate
4. Analysis
4.1. Hydrodynamic Influence on Ammonia Nitrogen Release
4.2. Distribution of Ammonia Nitrogen Concentration and Release Rate
4.3. Calculation and Assessment of Lake Release Flux
5. Conclusions
Author Contributions
Funding
Data Availability Statement
Conflicts of Interest
References
- Abdul, J.; Li, Y.; Du, W.; Wang, J.; Gao, X.; Wang, W.; Acharya, K. Wind-induced flow velocity effects on nutrient concentrations at eastern bay of Lake Taihu, China. Environ. Sci. Pollut. Res. 2017, 24, 17900–17911. [Google Scholar]
- Graham, N.D.; Bouffard, D.; Loizeau, J.L. The influence of bottom boundary layer hydrodynamics on sediment focusing in a contaminated bay. Environ. Sci. Pollut. Res. 2016, 23, 25412–25426. [Google Scholar] [CrossRef]
- Vericat, D.; Batalla, R.J. Sediment transport from continuous monitoring in a perennial Mediterranean stream. Catena 2010, 82, 77–86. [Google Scholar] [CrossRef]
- Leon, V.M.; Moreno-González, R.; García, V.; Campillo, J.A. Impact of flash flood events on the distribution of organic pollutants insurface sediments from a Mediterranean coastal lagoon (Mar Menor, SE Spain). Environ. Sci. Pollut. Res. 2017, 24, 4284–4300. [Google Scholar] [CrossRef] [PubMed]
- You, B.; Wang, T.; Fan, C.; Zhu, L.; Zhong, J.; Li, B.; Yin, H.; Hu, C. Quantitative simulative method if sediment resuspension in lake Taihu. J. Lake Sci. 2007, 5, 611–617. [Google Scholar]
- Tang, X.; Wang, J.; Jiang, Q.; Gan, Y.; Li, Y. Turbulence characteristic and its effect on suspension mechanisms of surface sediment in Taihu Lake. Yangtze River 2020, 51, 62–66, 200. [Google Scholar]
- Salim, S.; Pattiaratchi, C. Sediment resuspension due to near-bed turbulent coherent structures in the nearshore. Cont. Shelf Res. 2020, 194, 104048. [Google Scholar] [CrossRef]
- Zheng, J.; Jia, Y.; Liu, X.; Yin, P.; Shan, H. A review of the wave-induced sediment resuspension. Mar. Geol. Quat. Geol. 2013, 33, 173–183. [Google Scholar] [CrossRef]
- Zaaboub, N.; Ounis, A.; Helali, M.A.; Béjaoui, B.; Lillebø, A.I.; Silva, E.F.; Aleya, L. Phosphorus speciation in sediments and assessment of nutrient exchange at the water-sediment interface in a Mediterranean lagoon: Implications for management and restoration. Ecol. Eng. 2014, 73, 115–125. [Google Scholar] [CrossRef]
- Yang, L.; Cai, Q.; Qin, B.; Zhen, X. Characteristics of nitrogen between sediment-water interface in Meiliang bay, Taihu lake. J. Lake Sci. 1998, 10, 41–47. [Google Scholar]
- Zhang, W.; Xin, J.; Liu, D.; Lang, C.; Shan, B. Temporal and spatial variation of nitrogen and phosphorus and eutrophication assessment for a typical arid river—Fuyang river in northern China. J. Environ. Sci. 2017, 55, 41–48. [Google Scholar] [CrossRef]
- Dou, G. On the threshold velocity of sediment. In Proceedings of the 2001 Annual Conference of Chinese Hydraulic Society, Beijing, China, 16–21 September 2001; pp. 321–327. [Google Scholar]
- Li, Y.; Feng, Y.; Lv, J.; Zhang, G.; Ding, L.; Peng, J.; Wang, C.; Fan, L. On the relation between the release rate of TN, TP from sediment and water velocity. J. Lake Sci. 2004, 8, 318–324. [Google Scholar]
- Martin, S.; Peter, k.; Erik, J. Phosphorus release from resuspended sediment in the shallow and wind-exposed Lake Arres, Denmark. Hydrobiologia 1992, 228, 91–99. [Google Scholar]
- Fan, C.; Zhang, L.; Qin, B.; Hu, W.; Gao, G.; Wang, J. Migration mechanism of biogenic elements and their quantification on the sediment-water interface of lake Taihu: I. spatial variation of the ammonium release rates and its source and sink fluxes. J. Lake Sci. 2004, 1, 10–20. [Google Scholar]
- Zhu, Y.; Gao, P.; Zhao, Y.; Wang, F.; Huang, X.; Li, H. Ammonia nitrogen release from surface sediment of a reservoir in East China. J. Shanghai Univ. Nat. Sci. Ed. 2022, 28, 49–56. [Google Scholar]
- Yuan, Y.; He, P.; Liu, N.; Li, Y.; Chen, C. Effects of temperature and disturbance on nitrogen release from sediment of Poyang lake. J. East China Univ. Technol. Nat. Sci. 2020, 43, 495–500. [Google Scholar]
- Chen, J.; Xu, H.; Zhan, X.; Zhu, G.; Qin, B.; Zhang, Y. Mechanisms and research methods of phosphorus migration and transformation across sediment-water interface. J. Lake Sci. 2019, 31, 907–918. [Google Scholar]
- Yuan, J.; Cao, Z.; Ma, J.; Shen, M.; Qi, T.; Duan, H. Remote sensed analysis of spatial and temporal variation in phenology of algal blooms in lake Chaohu since1980s. J. Lake Sci. 2022, 2023, 35. [Google Scholar]
- Zhang, M.; Shi, X.; Yang, Z.; Chen, K. The variation of water quality from 2012 to 2018 in lake Chaohu and the mitigating strategy on cyanobacterial blooms. J. Lake Sci. 2020, 32, 11–20. [Google Scholar]
- Wang, Y.; Liu, Z.; Liu, W.; Xu, N.; Jin, X. Distribution and correlation characteristics between pollutants in sediment in Chaohu lake, China. Acta Sci. Nat. Univ. Pekin. 2003, 39, 501–506. [Google Scholar]
- Meng, Y.; Zhang, M.; Yang, Z.; Shi, X.; Yu, Y.; Shi, L. Seasonal shifts in the morphological traits of bloom-forming cyanobacteria in lake Chaohu, China. Diversity 2022, 14, 435. [Google Scholar] [CrossRef]
- Azim, M.; Wahab, M.; Verdegem, M.; van Dam, A.; van Rooij, J.; Beveridge, M. The effects of artificial substrates on freshwater pond productivity and water quality and the implications for periphyton-based aquaculture. Aquat. Living Res. 2002, 15, 231–241. [Google Scholar] [CrossRef]
- Precht, E.; Huettel, M. Rapid wave-driven advective pore water exchange in a permeable coastal sediment. J. Sea Res. 2004, 51, 93–107. [Google Scholar] [CrossRef]
- You, B.; Zhong, J.; Fan, C.; Wang, T.; Zhang, L.; Ding, S. Effects of hydrodynamics processes on phosphorus fluxes from sediment in large, shallow Taihu lake. J. Environ. Sci. 2007, 19, 1055–1060. [Google Scholar] [CrossRef] [PubMed]
- Chen, S.; Yang, G.; Lu, J.; Wang, L. Water quality in simulated eutrophic shallow lakes in the presence of periphyton under different flow conditions. Environ. Sci. Pollut. Res. 2018, 25, 4584–4595. [Google Scholar] [CrossRef]
- Chen, M.; Ding, S.; Chen, X.; Sun, Q.; Fan, X.; Lin, J.; Ren, M.; Yang, L.; Zhang, C. Mechanisms driving phosphorus release during algal blooms based on hourly changes in iron and phosphorus concentrations in sediments. Water Res. 2018, 133, 154–163. [Google Scholar] [CrossRef]
- Zhang, X.; Cao, J.; Li, Q.; Wang, N.; Li, Y.C. Characteristics and effects of inorganic nitrogen in East water-source and inflow rivers of Chaohu lake. J. Anhui Agric. 2012, 40, 7846–7849. [Google Scholar]
- Liu, D.; Zhong, J.; Zheng, X.; Fan, C.; Yu, J.; Zhong, W. N2O fluxes and rates of nitrification and denitrification at the sediment–Water interface in Taihu lake, China. Water 2018, 10, 911. [Google Scholar] [CrossRef]
- Yang, P.; Yang, C.; Ma, X.; Yin, H. Sediment pollution characteristics and dredging in the Nanfei River Estuary, Chaohu lake. Environ. Sci. 2021, 42, 712–722. [Google Scholar]
- Zhu, Y.; Jin, X.; Tang, W.; Meng, X.; Shan, B. Comprehensive analysis of nitrogen distributions and ammonia nitrogen release fluxes in the sediments of Baiyangdian lake, China. Environ. Sci. 2019, 76, 319–328. [Google Scholar] [CrossRef]
- Zhang, M.; Kong, F. The process, spatial and temporal distributions and mitigation strategies of the eutrophication of lake Chaohu (1984–2013). J. Lake Sci. 2015, 27, 791–798. [Google Scholar]
- Sun, L. Preliminary analysis on environmental quality of sediment in Chaohu lake from 2015 to 2019. Anhui Agric. Sci. Bull. 2021, 27, 158–160. [Google Scholar]










| Location | W | C | E |
|---|---|---|---|
| Sediment thickness (cm) NH3-N in sediment (0–20 cm) (mg/kg) | 125 91 | 76 45 | 105 56.9 |
| Sample Point | W1 | W2 | C1 | C2 | E1 | E2 |
|---|---|---|---|---|---|---|
| Ammonia nitrogen concentration (mg/L) | 0.303 | 0.362 | 0.120 | 0.113 | 0.108 | 0.348 |
| Condition | Experiment I | Experiment II | Experiment III |
|---|---|---|---|
| Start state | Individual movement | Small movement | General movement |
| Speed (r/min) | 0 | 500–700 | >1500 |
| Serial Number | District | Experiment-I | Experiment-II | Experiment-III | |
|---|---|---|---|---|---|
| mg/L | mg/L | mg/L | |||
| 1 | Western | W1 | 0.32 | 0.40 | 0.49 |
| 2 | W2 | 0.44 | 0.41 | 0.51 | |
| 3 | Center | C1 | 0.13 | 0.16 | 0.21 |
| 4 | C2 | 0.15 | 0.14 | 0.19 | |
| 5 | Eastern | E1 | 0.11 | 0.16 | 0.28 |
| 6 | E2 | 0.36 | 0.42 | 0.51 | |
| Average | 0.23 | 0.26 | 0.34 | ||
| Serial Number | District | Experiment-I | Experiment-II | Experiment-III | |
|---|---|---|---|---|---|
| (mg/m2/d) | (mg/m2/d) | (mg/m2/d) | |||
| 1 | Western | W1 | 7.69 | 54.87 | 89.84 |
| 2 | W2 | 21.38 | 35.67 | 98.07 | |
| 3 | Center | C1 | 5.66 | 32.58 | 59.55 |
| 4 | C2 | 11.02 | 16.11 | 43.81 | |
| 5 | Eastern | E1 | 1.94 | 31.83 | 93.93 |
| 6 | E2 | 3.30 | 49.72 | 107.38 | |
| Average | 9.54 | 34.21 | 77.04 | ||
| District | Area (km2) | Experiment I | Experiment II | Experiment III |
|---|---|---|---|---|
| kg/d | kg/d | kg/d | ||
| Western | 190.79 | 5545.67 | 10,469.02 | 17,141.04 |
| Central | 293.80 | 2449.77 | 7152.42 | 15,184.13 |
| Eastern | 284.96 | 746.86 | 11,619.26 | 28,683.42 |
| All | 769.55 | 8742.30 | 29,240.69 | 61,008.59 |
Disclaimer/Publisher’s Note: The statements, opinions and data contained in all publications are solely those of the individual author(s) and contributor(s) and not of MDPI and/or the editor(s). MDPI and/or the editor(s) disclaim responsibility for any injury to people or property resulting from any ideas, methods, instructions or products referred to in the content. |
© 2023 by the authors. Licensee MDPI, Basel, Switzerland. This article is an open access article distributed under the terms and conditions of the Creative Commons Attribution (CC BY) license (https://creativecommons.org/licenses/by/4.0/).
Share and Cite
Xu, S.; Lu, J.; Chen, L.; Luo, W.; Zhu, S. Experiment on Sediment Ammonia Nitrogen Release of Chaohu Lake in Varying Hydrodynamic Disturbance. Sustainability 2023, 15, 1581. https://doi.org/10.3390/su15021581
Xu S, Lu J, Chen L, Luo W, Zhu S. Experiment on Sediment Ammonia Nitrogen Release of Chaohu Lake in Varying Hydrodynamic Disturbance. Sustainability. 2023; 15(2):1581. https://doi.org/10.3390/su15021581
Chicago/Turabian StyleXu, Suyao, Jing Lu, Lichong Chen, Wenguang Luo, and Senlin Zhu. 2023. "Experiment on Sediment Ammonia Nitrogen Release of Chaohu Lake in Varying Hydrodynamic Disturbance" Sustainability 15, no. 2: 1581. https://doi.org/10.3390/su15021581
APA StyleXu, S., Lu, J., Chen, L., Luo, W., & Zhu, S. (2023). Experiment on Sediment Ammonia Nitrogen Release of Chaohu Lake in Varying Hydrodynamic Disturbance. Sustainability, 15(2), 1581. https://doi.org/10.3390/su15021581

