Simulation Research on Energy Evolution and Supply Law of Rock–Coal System under the Influence of Stiffness
Abstract
1. Introduction
2. Theoretical Analysis
2.1. Stiffness Theory
2.2. Coal Burst Model of Rock–Coal System
3. Numerical Simulation
3.1. Simulation Scheme
3.2. Energy Monitoring
4. Results and Analysis
4.1. Failure Mode
4.2. Strain Energy of Coal and Rock
4.3. Dissipation Energy of Coal
4.4. Kinetic Energy of Coal and Rock
4.5. Energy Evolution Law of Rock–Coal System
5. Discussion
6. Conclusions
- (1)
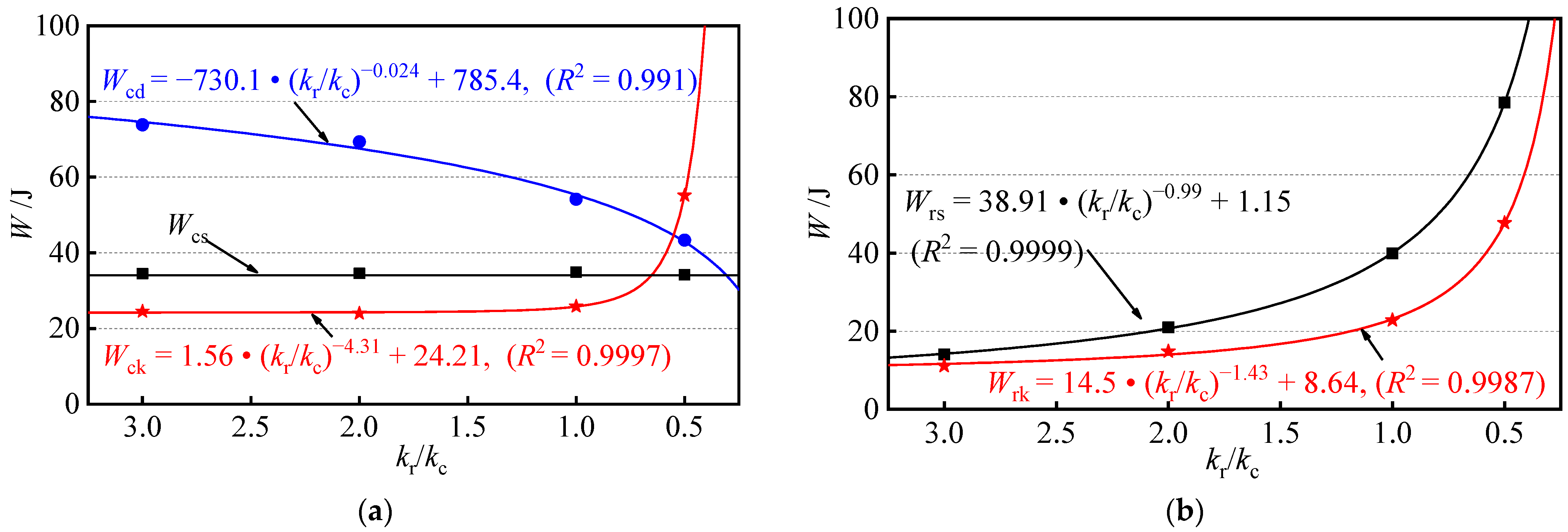
- The stiffness ratio of rock to coal has little effect on the extreme value of the elastic strain energy of the coal, and mainly affects its dissipation energy and kinetic energy. With the decrease in the stiffness ratio, the dissipation energy of the coal after the peak point decreases in a power function, the plasticity decreases, and the brittleness increases. The kinetic energy of coal is negatively correlated with the stiffness ratio in a power function. When the stiffness ratio is less than one, the sensitivity of the kinetic energy of coal to the change in the stiffness ratio increases sharply.
- (2)
- When the coal is fractured, the low-stiffness roof instantaneously generates deformation rebound and kinetic energy, which applies the dynamic load and energy supply behavior to the coal. With the decrease in the stiffness ratio, the release amount and release rate of the rock elastic strain energy gradually increase. The rock elastic strain energy and kinetic energy have power function relations with the stiffness ratio, respectively.
- (3)
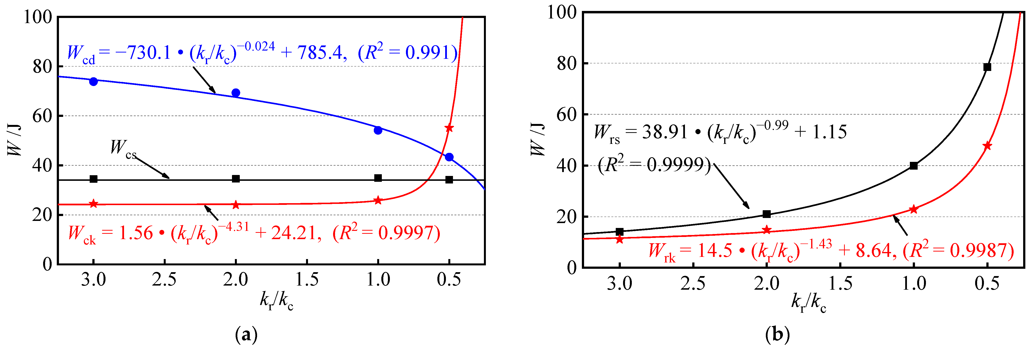
- When a rock–coal system burst failure occurs, the kinetic energy of the coal comes from the release of the elastic strain energy of the coal and the energy supply from the rock. The supplied energy and energy supply rate of the rock to the coal increase with the decrease in the stiffness ratio. The supplied energy and the stiffness ratio have a power function relationship. The energy supply rate and the stiffness ratio have a linear relationship.
Author Contributions
Funding
Institutional Review Board Statement
Informed Consent Statement
Data Availability Statement
Conflicts of Interest
References
- Wu, Y.Z.; Gao, F.Q.; Chen, J.Y.; He, J. Experimental study on the performance of rock bolts in coal burst-prone mines. Rock Mech. Rock Eng. 2019, 52, 3959–3970. [Google Scholar] [CrossRef]
- Mottahedi, A.; Ataei, M. Fuzzy fault tree analysis for coal burst occurrence probability in underground coal mining. Tunn. Undergr. Space Technol. 2019, 83, 165–174. [Google Scholar] [CrossRef]
- Yang, X.H.; Ren, T.; Tan, L.H.; Remennikov, A.; He, X.Q. Developing coal burst propensity index method for Austrialian coal mines. Int. J. Min. Sci. Technol. 2018, 28, 783–790. [Google Scholar] [CrossRef]
- Pan, J.F.; Liu, S.H.; Wang, S.W.; Xia, Y.X. A new theoretical view of rockburst and its engineering application. Adv. Civ. Eng. 2018, 2018, 4683457. [Google Scholar] [CrossRef]
- Li, Z.L.; Dou, L.M.; Wang, G.F.; Cai, W.; He, J.; Ding, Y.L. Risk evaluation of rock burst through theory of static and dynamic stresses superposition. J. Cent. South Univ. 2015, 22, 676–683. [Google Scholar] [CrossRef]
- Zhao, T.B.; Guo, W.Y.; Tan, Y.L.; Yin, Y.C.; Cai, L.S.; Pan, J.F. Case studies of rock bursts under complicated geological conditions during multi-seam mining at a depth of 800 m. Rock Mech. Rock Eng. 2018, 51, 153–1564. [Google Scholar] [CrossRef]
- He, M.C.; Ren, F.Q.; Cheng, C. Experimental and numerical analyses on the effect of stiffness on bedded sandstone strain burst with varying dip angle. Bull. Eng. Geol. Environ. 2019, 78, 3593–3610. [Google Scholar] [CrossRef]
- Akdag, S.; Karakus, M.; Taheri, A.; Nguyen, G.; He, M.C. Effects of thermal damage on strain burst mechanism for brittle rocks under true-triaxial loading conditions. Rock Mech. Rock Eng. 2018, 51, 1675–1682. [Google Scholar] [CrossRef]
- Gong, F.Q.; Wang, Y.L.; Wang, Z.G.; Pan, J.F.; Luo, S. A new criterion of coal burst proneness based on the residual elastic energy index. Int. J. Min. Sci. Technol. 2021, 31, 553–563. [Google Scholar] [CrossRef]
- Gong, F.Q.; Si, X.F.; Li, X.B.; Wang, S.Y. Experimental investigation of strain rockburst in circular caverns under deep three-dimensional high-stress conditions. Rock Mech. Rock Eng. 2019, 52, 1459–1474. [Google Scholar] [CrossRef]
- Cook, N.G.W. The failure of rock. Int. J. Rock Mech. Min. Sci. Geomech. Abstr. 1965, 2, 389–403. [Google Scholar] [CrossRef]
- Khosravi, A.; Simon, R. Verification of the CSDS model in estimating the postpeak behavior of hard rocks. Int. J. Geomech. 2018, 18, 04017166.1–04017166.15. [Google Scholar] [CrossRef]
- Qin, S.Q.; Jiao, J.J.; Tang, C.A.; Li, Z.G. Instability leading to coal bumps and nonlinear evolutionary mechanisms for a coal-pillar-and-roof system. Int. J. Solids Struct. 2006, 43, 7407–7423. [Google Scholar] [CrossRef]
- Zhang, D.X.; Guo, W.Y.; Zhang, C.W.; Gong, X.F.; Li, Z.H.; Qiu, Y.; Chen, W.G. A new burst evaluation index of coal-rock combination specimen considering rebound and damage effects of rock. Geomat. Nat. Hazards Risk 2020, 11, 984–999. [Google Scholar] [CrossRef]
- Li, C.C.; Zhao, T.B.; Zhang, Y.B.; Wan, W.K. A study on the energy sources and the role of the surrounding rock mass in strain burst. Int. J. Rock Mech. Min. Sci. 2021, 147, 104921. [Google Scholar] [CrossRef]
- Cai, M.; Hou, P.Y.; Zhang, X.W.; Feng, X.T. Post-peak stress-strain curves of brittle hard rocks under axial-strain-controlled loading. Int. J. Rock Mech. Min. Sci. 2019, 52, 3959–3970. [Google Scholar] [CrossRef]
- Xu, Y.H.; Cai, M. Influence of loading system stiffness on post-peak stress-strain curve of stable rock failures. Rock Mech. Rock Eng. 2017, 50, 2255–2275. [Google Scholar] [CrossRef]
- Hou, P.Y.; Cai, M. Post-peak stress-strain curves of brittle hard rocks under different loading environment system stiffness. Rock Mech. Rock Eng. 2022, 55, 3837–3857. [Google Scholar] [CrossRef]
- Zhao, T.B.; Yin, Y.C.; Tan, Y.L.; Xing, M.L.; Tang, X.X.; Li, C.C. Development of a rock testing system with changeable stiffness and its application in the study on the rock failure mechanical behavior. Chin. J. Rock Mech. Eng. 2022, 41, 1846–1857. [Google Scholar]
- Xu, Y.H.; Cai, M. Influence of strain energy released from a testing machine on rock failure process. Can. Geotech. J. 2018, 55, 777–791. [Google Scholar] [CrossRef]
- Wang, X.Y.; Yin, Y.C.; Xing, M.L.; Zhang, D.D.; Chen, Y.; Wang, E.C. Microsimulation study on energy release and rock block ejection force of granite under different unloading conditions. Front. Earth Sci. 2022, 10, 909371. [Google Scholar] [CrossRef]
- Feng, X.J.; Zhang, Q.M.; Ali, M. 3D modelling of the strength effect of backfill-rocks on controlling rockburst risk: A case study. Arab. J. Geosci. 2020, 13, 128. [Google Scholar] [CrossRef]
- Feng, X.J.; Ding, Z.; Ju, Y.Q.; Zhang, Q.M.; Ali, M. “Double peak” of dynamic strengths and acoustic emission responses of coal masses under dynamic loading. Nat. Resour. Res. 2022, 31, 1705–1720. [Google Scholar] [CrossRef]
- Hudson, J.A.; Crouch, S.L.; Fairhurst, C. Soft, stiff and servo-controlled testing machines: A review with reference to rock failure. Eng. Geol. 1972, 6, 155–189. [Google Scholar] [CrossRef]
- Lu, J.; Yin, G.Z.; Deng, B.Z.; Zhang, W.Z.; Li, M.H.; Chai, X.W.; Liu, C.; Liu, Y.B. Permeability characteristics of layered composited coal-rock under true triaxial stress conditions. J. Nat. Gas Sci. Eng. 2019, 66, 60–76. [Google Scholar] [CrossRef]
- Ma, Q.; Tan, Y.L.; Liu, X.S.; Zhao, Z.H.; Fan, D.Y.; Purev, L. Experimental and numerical simulation of loading rate effects on failure and strain energy characteristics of coal-rock composite samples. J. Cent. South Univ. 2021, 28, 3207–3222. [Google Scholar] [CrossRef]
- Zhang, X.; Wang, J.; Meng, Q.G.; Yu, M.L.; Zhang, Z.J.; Guo, Z.G. Coal rock breaking simulation and cutting performance analysis of disc cutters. Teh. Vjesn.-Tech. Gaz. 2021, 28, 1755–1761. [Google Scholar]
- Han, W.; Jiang, Y.J.; Luan, H.J.; Du, Y.T.; Zhu, Y.G.; Liu, J.K. Numerical investigation on the shear behavior of rock-like materials containing fissure-holes with FEM-CZM method. Comput. Geotech. 2020, 125, 103670. [Google Scholar] [CrossRef]
- Tan, Y.L.; Liu, X.S.; Shen, B.T.; Ning, J.G.; Gu, Q.H. New approaches to testing and evaluating the impact capability of coal seam with hard roof and/or floor in coal mines. Geomech. Eng. 2018, 14, 367–376. [Google Scholar]
- Yin, Y.C.; Zheng, W.W.; Tang, X.X.; Xing, M.L.; Zhang, Y.B.; Zhu, Y.H. Test study on failure and energy supply characteristics of rock under different loading stiffness. Eng. Fail. Anal. 2022, 142, 106796. [Google Scholar] [CrossRef]
- Gercek, H. Poisson’s ratio values for rocks. Int. J. Rock Mech. Min. Sci. 2007, 44, 1–13. [Google Scholar] [CrossRef]
- Chen, J.C.; Chemenda, A.I. Numerical simulation of true 3D rock tests with classical and new three-invariant constitutive models focusing on the end effects. Arab. J. Sci. Eng. 2020, 45, 9367–9378. [Google Scholar] [CrossRef]
- Carpinteri, A.; Lacidogna, G.; Corrado, M.; Di Battista, E. Cracking and crackling in concrete-like materials: A dynamic energy balance. Eng. Fract. Mech. 2016, 155, 130–144. [Google Scholar] [CrossRef]










| Density/kg·m−3 | Elastic Modulus/GPa | Poisson’s Ratio | Angle of Friction/° | Flow Stress Ratio | Dilation Angle/° |
| 1263 | 1.7 | 0.21 | 60 | 0.778 | 60 |
| Yield Stress/MPa | Abs Plastic Strain | Fracture Strain | Shear Stress Ratio | Strain Ratio | Displacement at Failure/mm |
| 20 | 0.02 | 0.015 | 0.33 | 0.0001 | 0.001 |
Disclaimer/Publisher’s Note: The statements, opinions and data contained in all publications are solely those of the individual author(s) and contributor(s) and not of MDPI and/or the editor(s). MDPI and/or the editor(s) disclaim responsibility for any injury to people or property resulting from any ideas, methods, instructions or products referred to in the content. |
© 2023 by the authors. Licensee MDPI, Basel, Switzerland. This article is an open access article distributed under the terms and conditions of the Creative Commons Attribution (CC BY) license (https://creativecommons.org/licenses/by/4.0/).
Share and Cite
Yin, Y.; Tang, X.; Ma, Q.; Li, Z.; Zhang, W. Simulation Research on Energy Evolution and Supply Law of Rock–Coal System under the Influence of Stiffness. Sustainability 2023, 15, 1335. https://doi.org/10.3390/su15021335
Yin Y, Tang X, Ma Q, Li Z, Zhang W. Simulation Research on Energy Evolution and Supply Law of Rock–Coal System under the Influence of Stiffness. Sustainability. 2023; 15(2):1335. https://doi.org/10.3390/su15021335
Chicago/Turabian StyleYin, Yanchun, Xingxue Tang, Qinwei Ma, Zhenan Li, and Wei Zhang. 2023. "Simulation Research on Energy Evolution and Supply Law of Rock–Coal System under the Influence of Stiffness" Sustainability 15, no. 2: 1335. https://doi.org/10.3390/su15021335
APA StyleYin, Y., Tang, X., Ma, Q., Li, Z., & Zhang, W. (2023). Simulation Research on Energy Evolution and Supply Law of Rock–Coal System under the Influence of Stiffness. Sustainability, 15(2), 1335. https://doi.org/10.3390/su15021335

