Joint Estimation of Adsorptive Contaminant Source and Hydraulic Conductivity Using an Iterative Local Updating Ensemble Smoother with Geometric Inflation Selection
Abstract
1. Introduction
2. Methodology
2.1. Groundwater Flow and Transport Simulation
2.2. Data Assimilation Method
2.2.1. Ensemble Smoother
2.2.2. Iterative Local Updating Ensemble Smoother with Geometric Inflation Selection
3. Illustrative Example
3.1. Problem Description
3.2. Application of the ILUES Method
3.3. Scenarios
4. Results and Discussion
4.1. Distribution Coefficient Field
4.2. Ensemble Size and Algorithm Factors
4.3. Observation Number and Location
5. Conclusions
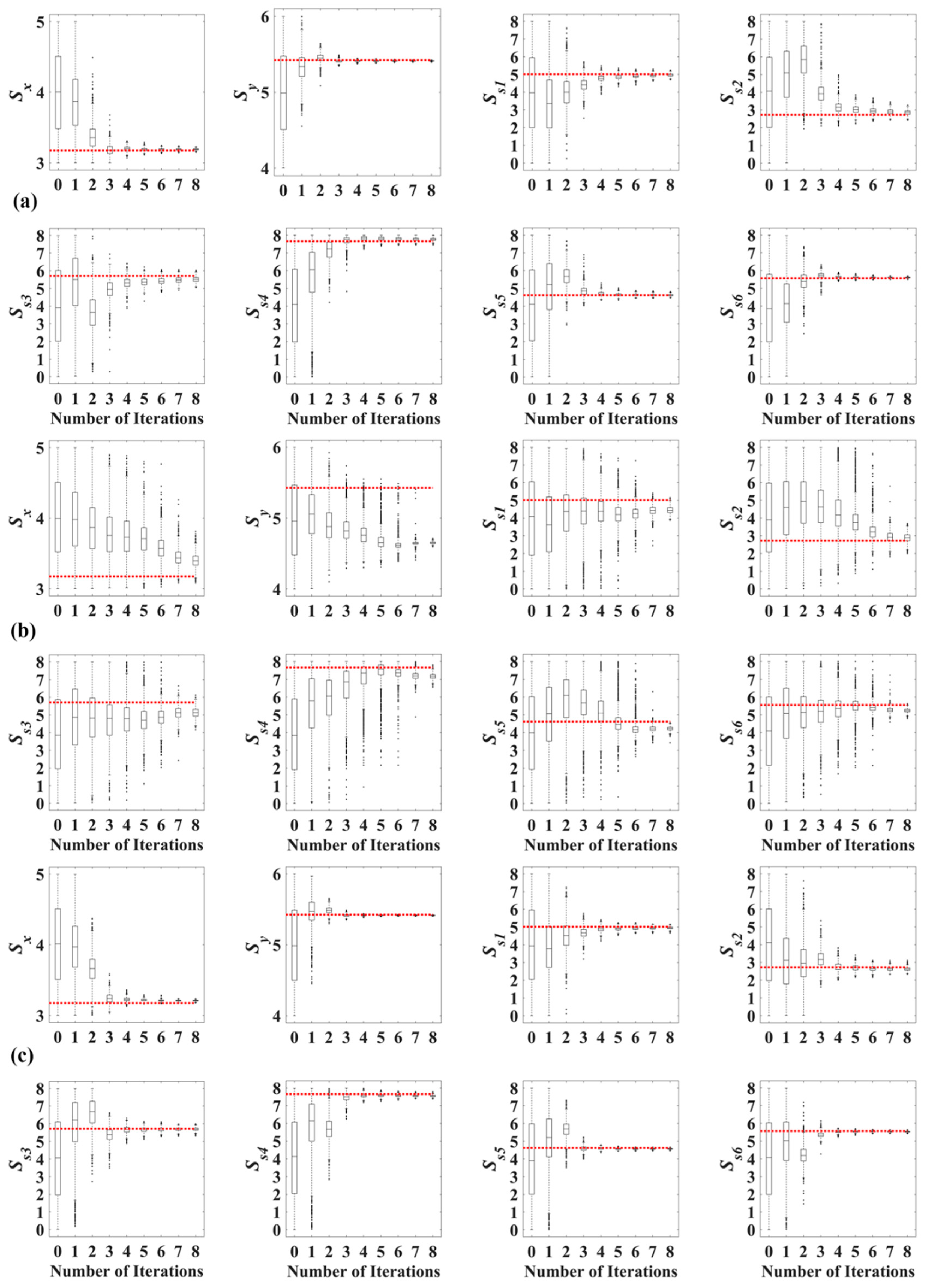
- The ILUES-GEO scheme is employed to estimate the hydraulic conductivity field and contaminant source information when the sorption process is considered in a solute transport model by assimilating hydraulic head and contaminant concentration measurements. After a few iterations, the contaminant source characteristics are identified in terms of source locations and source strengths, and the spatial distribution of hydraulic conductivity approaches the distribution of the reference field.
- The KLE_Kd Scenario, in which the sorption parameter field is represented by the Karhunen–Loève expansion method as the reference field rather than simplified by Kriging interpolation or a constant value, yields the best performance of ILUES-GEO in terms of both the estimative performance of hydraulic conductivity and the identified performance of contaminant source information, as indicated by the decreasing variance and similar distribution of hydraulic conductivity to the reference field and the closer values of source characteristics to the true ones. The accurate determination of the sorption parameter field is essential to characterize the heterogeneity of the subsurface and jointly estimate hydraulic parameters and source characteristics.
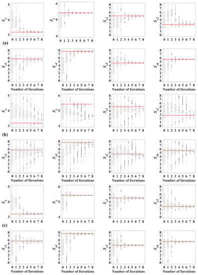
- The ILUES-GEO scheme can obtain increasingly accurate estimations of both source characteristics and the hydraulic conductivity field as the ensemble size increases. Furthermore, an excessively high ensemble size may result in a heavy computational burden, and the sensitivity of the estimation results to ensemble size gets weak. The ensemble size of 2000 is sufficient for this study to provide satisfactory results.
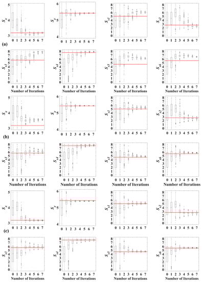
- The settings for factors α and β have an impact on the performance of the ILUES-GEO scheme. α and β represent the ratio of the local ensemble to the global and the weight assigned to the two distances, comprising the distance between the model results and observations and the distance between the model parameters and samples, respectively. The results of numerical experiments suggest that the combination of α = 0.3 and β = 3 is the optimal factor setting for the ILUES-GEO algorithm in this study.
- The number and location of observation points influence the results of parameter estimation and source identification using the ILUES-GEO algorithm. The ILUES-GEO system performs better under certain conditions as the number of observations grows. Observations positioned in the region where obvious variations of hydraulic head and contaminant concentration are captured may help to obtain more accurate joint estimation results for this study. Further research is necessary to determine the optimal number and design of observation locations for different cases.
Author Contributions
Funding
Institutional Review Board Statement
Informed Consent Statement
Data Availability Statement
Acknowledgments
Conflicts of Interest
References
- Barrios, R.E.; Gaonkar, O.; Snow, D.; Li, Y.; Bartelt-Hunt, S.L. Enhanced biodegradation of atrazine at high infiltration rates in agricultural soils. Environ. Sci. Process Impacts 2019, 21, 999–1010. [Google Scholar] [CrossRef] [PubMed]
- Famisan, G.B.; Brusseau, M.L. Biodegradation during contaminant transport in porous media: 6. Impact of sorption on coupled degradation-transport behavior. Environ. Toxicol. Chem. 2003, 22, 510–517. [Google Scholar] [CrossRef] [PubMed]
- Maier, R.M. Biological Processes Affecting Contaminants Transport and Fate. In Environmental and Pollution Science, 3rd ed.; Academic Press: Cambridge, MA, USA, 2019; pp. 131–146. [Google Scholar] [CrossRef]
- Cunningham, J.A.; Roberts, P.V. Use of temporal moments to investigate the effects of nonuniform grain-size distribution on the transport of sorbing solutes. Water Resour. Res. 1998, 34, 1415–1425. [Google Scholar] [CrossRef]
- Zhang, X.; Ma, F.; Yin, S.; Wallace, C.D.; Lü, X. Application of upscaling methods for fluid flow and mass transport in multi-scale heterogeneous media: A critical review. Appl. Energ. 2021, 303, 117603. [Google Scholar] [CrossRef]
- Haggerty, R.; Harvey, C.F.; Von Schwerin, C.F.; Meigs, L.C. What controls the apparent timescale of solute mass transfer in aquifers and soils? A comparison of experimental results. Water Resour. Res. 2004, 40, W01510. [Google Scholar] [CrossRef]
- Gharamti, M.E.; Valstar, J.; Hoteit, I. An adaptive hybrid EnKF-OI scheme for efficient state-parameter estimation of reactive contaminant transport models. Adv. Water Resour. 2014, 71, 1–15. [Google Scholar] [CrossRef]
- Gharamti, M.E.; Ait-El-Fquih, B.; Hoteit, I. An iterative ensemble Kalman filter with one-step-ahead smoothing for state-parameters estimation of contaminant transport models. J. Hydrol. 2015, 527, 442–457. [Google Scholar] [CrossRef]
- Kitanidis, P.K. Persistent questions of heterogeneity, uncertainty, and scale in subsurface flow and transport. Water Resour. Res. 2015, 51, 5888–5904. [Google Scholar] [CrossRef]
- Michael, C.H.; Marco, I.; Paul, W.; Oliver, K.; Jonathan, C.; Andrew, B. Efficient multi-scale imaging of subsurface resistivity with uncertainty quantification using ensemble Kalman inversion. Geophys. J. Int. 2021, 225, 887–905. [Google Scholar] [CrossRef]
- Ju, L.; Zhang, J.; Chen, C.; Wu, L.; Zeng, L. Water flux characterization through hydraulic head and temperature data assimilation: Numerical modeling and sandbox experiments. J. Hydrol. 2018, 558, 104–114. [Google Scholar] [CrossRef]
- Huang, Q.; Qin, G.; Zhang, Y.; Tang, Q.; Post, D. Using Remote Sensing Data-based Hydrological Model Calibrations for Predicting Runoff in Ungauged or Poorly Gauged Catchments. Water Resour. Res. 2020, 56, e2020WR028205. [Google Scholar] [CrossRef]
- Ghorbanidehno, H.; Kokkinaki, A.; Lee, J.; Darve, E. Recent developments in fast and scalable inverse modeling and data assimilation methods in hydrology. J. Hydrol. 2020, 591, 125266. [Google Scholar] [CrossRef]
- Kang, X.; Shi, X.; Revil, A.; Cao, Z.; Wu, J. Coupled hydrogeophysical inversion to identify non-Gaussian hydraulic conductivity field by jointly assimilating geochemical and time-lapse geophysical data. J. Hydrol. 2019, 578, 124092. [Google Scholar] [CrossRef]
- Lan, T.; Shi, X.; Jiang, B.; Sun, Y.; Wu, J. Joint inversion of physical and geochemical parameters in groundwater models by sequential ensemble-based optimal design. Stoch. Environ. Res. Risk Assess. 2018, 32, 1919–1937. [Google Scholar] [CrossRef]
- Pleasants, M.S.; Neves, F.; Parsekian, A.D.; Befus, K.M.; Kelleners, T.J. Hydrogeophysical Inversion of Time-Lapse ERT Data to Determine Hillslope Subsurface Hydraulic Properties. Water Resour. Res. 2022, 58, 2021WR031073. [Google Scholar] [CrossRef]
- Ju, L.; Zhang, J.; Meng, L.; Wu, L.; Zeng, L. An adaptive Gaussian process-based iterative ensemble smoother for data assimilation. Adv. Water Resour. 2018, 115, 125–135. [Google Scholar] [CrossRef]
- Lei, L.; Wang, Z.; Tan, Z.M. Integrated Hybrid Data Assimilation for an Ensemble Kalman Filter. Mon. Weather Rev. 2021, 149, 4091–4105. [Google Scholar] [CrossRef]
- Zhang, J.; Lin, G.; Li, W.; Wu, L.; Zeng, L. An Iterative Local Updating Ensemble Smoother for Estimation and Uncertainty Assessment of Hydrologic Model Parameters with Multimodal Distributions. Water Resour. Res. 2018, 54, 1716–1733. [Google Scholar] [CrossRef]
- Zhang, S.; Liu, Z.; Zhang, X.; Wu, X.; Deng, X. Coupled data assimilation and parameter estimation in coupled ocean–atmosphere models: A review. Clim. Dynam. 2020, 54, 5127–5144. [Google Scholar] [CrossRef]
- Zheng, Q.; Zhang, J.; Xu, W.; Wu, L.; Zeng, L. Adaptive Multifidelity Data Assimilation for Nonlinear Subsurface Flow Problems. Water Resour. Res. 2019, 55, 203–217. [Google Scholar] [CrossRef]
- Evensen, G. The Ensemble Kalman Filter: Theoretical formulation and practical implementation. Ocean Dyn. 2003, 53, 343–367. [Google Scholar] [CrossRef]
- Hendricks Franssen, H.J.; Kinzelbach, W. Real-time groundwater flow modeling with the Ensemble Kalman Filter: Joint estimation of states and parameters and the filter inbreeding problem. Water Resour. Res. 2008, 44, 1–21. [Google Scholar] [CrossRef]
- Houtekamer, P.L.; Zhang, F. Review of the ensemble Kalman filter for atmospheric data assimilation. Mon. Weather Rev. 2016, 144, 4489–4532. [Google Scholar] [CrossRef]
- Keller, J.; Franssen, H.; Nowak, W. Investigating the Pilot Point Ensemble Kalman Filter for geostatistical inversion and data assimilation. Adv. Water Resour. 2021, 155, 104010. [Google Scholar] [CrossRef]
- Sun, Y.; Bao, W.; Valk, K.; Brauer, C.C.; Sumihar, J.; Weerts, A.H. Improving forecast skill of lowland hydrological models using ensemble Kalman filter and unscented Kalman filter. Water Resour. Res. 2020, 56, 2020WR027468. [Google Scholar] [CrossRef]
- Zhou, H.; Gómez-Hernández, J.J.; Hendricks Franssen, H.J.; Li, L. An approach to handling non-Gaussianity of parameters and state variables in ensemble Kalman filtering. Adv. Water Resour. 2011, 34, 844–864. [Google Scholar] [CrossRef]
- Van Leeuwen, P.J.; Evensen, G. Data assimilation and inverse methods in terms of a probabilistic formulation. Mon. Weather Rev. 1996, 124, 2898–2913. [Google Scholar] [CrossRef]
- Li, L.; Stetler, L.; Cao, Z.; Davis, A. An iterative normal-score ensemble smoother for dealing with non-Gaussianity in data assimilation. J. Hydrol. 2018, 567, 759–766. [Google Scholar] [CrossRef]
- Todaro, V.; D’Oria, M.; Tanda, M.G.; Gómez-Hernández, J.J. Ensemble smoother with multiple data assimilation to simultaneously estimate the source location and the release history of a contaminant spill in an aquifer. J. Hydrol. 2021, 598, 126215. [Google Scholar] [CrossRef]
- Bailey, R.; Baù, D. Ensemble smoother assimilation of hydraulic head and return flow data to estimate hydraulic conductivity distribution. Water Resour. Res. 2010, 46, 1–19. [Google Scholar] [CrossRef]
- Skjervheim, J.A.; Evensen, G. An ensemble smoother for assisted history matching. Soc. Pet. Eng. SPE Reserv. Simul. Symp. 2011, 2, 1049–1063. [Google Scholar] [CrossRef]
- Pansa, A.; Butera, I.; Gómez-Hernández, J.J.; Vigna, B. Predicting discharge from a complex karst system using the ensemble smoother with multiple data assimilation. Stoch. Environ. Res. Risk Assess. 2022; in press. [Google Scholar] [CrossRef]
- Emerick, A.A.; Reynolds, A.C. Ensemble smoother with multiple data assimilation. Comput. Geosci. 2013, 55, 3–15. [Google Scholar] [CrossRef]
- Forouzanfar, F.; Wu, X.H. Constrained iterative ensemble smoother for multi solution search assisted history matching. Comput. Geosci. 2021, 25, 1593–1604. [Google Scholar] [CrossRef]
- Mo, S.; Zabaras, N.; Shi, X.; Wu, J. Deep Autoregressive Neural Networks for High-Dimensional Inverse Problems in Groundwater Contaminant Source Identification. Water Resour. Res. 2019, 55, 3856–3881. [Google Scholar] [CrossRef]
- Emerick, A.A. Analysis of geometric selection of the data-error covariance inflation for ES-MDA. J. Pet. Sci. Eng. 2019, 182, 106168. [Google Scholar] [CrossRef]
- Cvetkovic, V.; Dagan, G.; Cheng, H. Contaminant transport in aquifers with spatially variable hydraulic and sorption properties. Proc. R. Soc. A Math. Phys. Eng. Sci. 1998, 454, 2173–2207. [Google Scholar] [CrossRef]
- Nair, V.V. Influence of colloid and adsorption parameters on contaminant transport in fractured rocks—A triple continuum model. Groundw. Sustain. Dev. 2019, 8, 381–389. [Google Scholar] [CrossRef]
- You, X.; Liu, S.; Dai, C.; Guo, Y.; Duan, Y. Contaminant occurrence and migration between high- and low-permeability zones in groundwater systems: A review. Sci. Total Environ. 2020, 743, 140703. [Google Scholar] [CrossRef] [PubMed]
- Yang, S.-F.; Lin, C.-F.; Yu-Chen, L.A.; Andy Hong, P.-K. Sorption and biodegradation of sulfonamide antibiotics by activated sludge: Experimental assessment using batch data obtained under aerobic conditions. Water Res. 2011, 45, 3389–3397. [Google Scholar] [CrossRef]
- Zhang, D.; Lu, Z. An efficient, high-order perturbation approach for flow in random porous media via Karhunen-Loève and polynomial expansions. J. Comput. Phys. 2004, 194, 773–794. [Google Scholar] [CrossRef]
- Allen-King, R.M.; Halket, R.M.; Gaylord, D.R.; Robin, M.J.L. Characterizing the heterogeneity and correlation of perchloroethene sorption and hydraulic conductivity using a facies-based approach. Water Resour. Res. 1998, 34, 385–396. [Google Scholar] [CrossRef]
- Chen, W.; Wagenet, R.J. Solute Transport in Porous Media with Sorption-Site Heterogeneity. Environ. Sci. Technol. 1995, 29, 2725–2734. [Google Scholar] [CrossRef] [PubMed]
- Chongxuan, L.; Ball, W.P. Application of inverse methods to contaminant source identification from aquitard diffusion profiles at Dover AFB, Delaware. Water Resour. Res. 1999, 35, 1975–1985. [Google Scholar] [CrossRef]
- Gailichand, J.; Prasher, S.O.; Broughton, R.S.; Marcotte, D. Kriging of hydraulic conductivity for subsurface drainage design. J. Irrig. Drain. Eng. 1991, 117, 667–681. [Google Scholar] [CrossRef]
- Motaghian, H.R.; Mohammadi, J. Spatial estimation of saturated hydraulic conductivity from terrain attributes using regression, kriging, and artificial neural networks. Pedosphere 2011, 21, 170–177. [Google Scholar] [CrossRef]













| Parameters | Unit | Value |
|---|---|---|
| Row | Dimensionless | 40 |
| Column | Dimensionless | 80 |
| Grid spacing in x direction | [L] | 0.25 |
| Grid spacing in y direction | [L] | 0.25 |
| Saturated thickness | [L] | 10 |
| Effective porosity | Dimensionless | 0.35 |
| Longitudinal dispersivity | [L] | 0.3 |
| Transverse dispersivity | [L] | 0.03 |
| Parameter | ||||||||
|---|---|---|---|---|---|---|---|---|
| Prior | ||||||||
| True value | 3.1755 | 5.4240 | 5.0148 | 2.7255 | 5.7100 | 7.6553 | 4.6193 | 5.5584 |
| Variogram Type | Mean | Standard Deviation | λx[L] | λy[L] | |
|---|---|---|---|---|---|
| lnK(ln[L/T]) | Gaussian | 2 | 1 | 5 | 2.5 |
| lnKd(ln[L3/M]) | Gaussian | 1.9461 | 0.5 | 5 | 2.5 |
| Interpolation Method | Correlation Function | Regression Model | λx[L] | λy[L] | |
|---|---|---|---|---|---|
| lnKd(ln[L3/M]) | Kriging | Gaussian | Zero order polynomial | 5 | 2.5 |
Disclaimer/Publisher’s Note: The statements, opinions and data contained in all publications are solely those of the individual author(s) and contributor(s) and not of MDPI and/or the editor(s). MDPI and/or the editor(s) disclaim responsibility for any injury to people or property resulting from any ideas, methods, instructions or products referred to in the content. |
© 2023 by the authors. Licensee MDPI, Basel, Switzerland. This article is an open access article distributed under the terms and conditions of the Creative Commons Attribution (CC BY) license (https://creativecommons.org/licenses/by/4.0/).
Share and Cite
Xia, X.; Li, X.; Sun, Y.; Cheng, G. Joint Estimation of Adsorptive Contaminant Source and Hydraulic Conductivity Using an Iterative Local Updating Ensemble Smoother with Geometric Inflation Selection. Sustainability 2023, 15, 1211. https://doi.org/10.3390/su15021211
Xia X, Li X, Sun Y, Cheng G. Joint Estimation of Adsorptive Contaminant Source and Hydraulic Conductivity Using an Iterative Local Updating Ensemble Smoother with Geometric Inflation Selection. Sustainability. 2023; 15(2):1211. https://doi.org/10.3390/su15021211
Chicago/Turabian StyleXia, Xuemin, Xiang Li, Yue Sun, and Guoqiang Cheng. 2023. "Joint Estimation of Adsorptive Contaminant Source and Hydraulic Conductivity Using an Iterative Local Updating Ensemble Smoother with Geometric Inflation Selection" Sustainability 15, no. 2: 1211. https://doi.org/10.3390/su15021211
APA StyleXia, X., Li, X., Sun, Y., & Cheng, G. (2023). Joint Estimation of Adsorptive Contaminant Source and Hydraulic Conductivity Using an Iterative Local Updating Ensemble Smoother with Geometric Inflation Selection. Sustainability, 15(2), 1211. https://doi.org/10.3390/su15021211
