Experimental Study on the Dynamic Characteristics of Frozen Silty Clay and Its Influencing Factors
Abstract
1. Introduction
2. Experiment Design
2.1. Test Equipment
2.2. Test Conditions
2.3. Soil Sample Preparation
- The collected soils were crushed and then sieved through a 2 mm square hole sieve, the soil with particle size less than 2 mm was retained and then oven-dried;
- The dried soils were moistened with the required soil water content for the test and sealed in a plastic bag for twenty-four hours. This will achieve a uniform distribution of water in the soil sample;
- The prepared soil was pressed into mold in layers. Then, a soil sample is made, which was 100 mm in height and 50 mm in diameter;
- The prepared soil samples were wrapped in cling film to retain water for testing.
2.4. Loading Procedure
- The first step was the consolidation process of soil sample;
- The second step was the freezing process of soil sample, which reduced the temperature to the target value and then held it for 5 h to make the soil temperature reach the target value uniformly;
- The third step was the axial static loading process of soil sample;
- The fourth step was the axial static load maintaining process of soil sample, which was about thirty seconds;
- The fifth step was the axial dynamic loading process of soil sample.
3. Test Results Analysis
3.1. Calculation of the Dynamic Elastic Modulus Ratio
3.2. Calculation of the Damping Ratio
3.3. Influencing Factors of Frozen Soil Dynamic Parameters
3.4. Confining Pressure
3.5. Soil Temperature
3.6. Soil Water Content
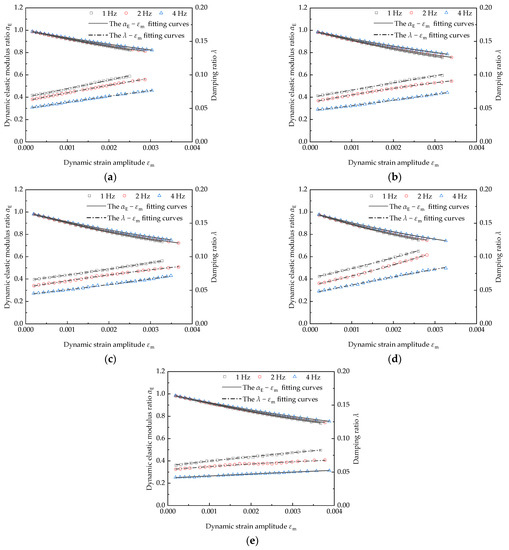
3.7. Loading Frequency
3.8. The Comprehensive Influence Effects
4. Discussion
- With an increase in dynamic strain amplitude, the damping ratio of frozen silty clay shows an increasing trend, and the dynamic elastic modulus ratio tends to decrease. This variation trend is also affected by soil temperature, soil water content, loading frequency and other factors;
- The damping ratio and reference dynamic strain amplitude of frozen silty clay decreases with an increase in confining pressure, while the dynamic elastic modulus ratio and maximum dynamic elastic modulus tend to increase;
- Soil temperature is one of the most important factors. With a decrease in soil temperature, the dynamic elastic modulus ratio, maximum dynamic elastic modulus and reference dynamic strain amplitude of frozen silty clay show an increasing trend, while the damping ratio has a decreasing trend. Moreover, the dynamic elastic modulus ratio and damping ratio tend to change gently with the dynamic strain amplitude when the soil temperature increases;
- With an increase in soil water content, the dynamic elastic modulus ratio, maximum dynamic elastic modulus and reference dynamic strain amplitude of frozen silty clay tend to increase, while the damping ratio tends to decrease. Moreover, the dynamic elastic modulus ratio and damping ratio tend to change gently with a change in soil water content. If the soil water content is below 16%, the effect of confining pressure on the dynamic characteristics of frozen soil will become more obvious;
- With an increase in loading frequency, the dynamic elastic modulus ratio and reference dynamic strain amplitude tend to increase slightly, while the damping ratio decreases obviously. Moreover, the dynamic elastic modulus ratio and damping ratio change gently with the dynamic strain amplitude when the loading frequency increases;
- Based on the testing results, the comprehensive influence effects of soil water content, confining pressure, soil temperature, and loading frequency on the maximum dynamic elastic modulus, maximum damping ratio, and reference dynamic strain amplitude of frozen silty clay were analyzed, and the quantitative relationship among the dynamic parameters and their influencing factors were established.
Author Contributions
Funding
Institutional Review Board Statement
Informed Consent Statement
Data Availability Statement
Conflicts of Interest
References
- Zhang, T.; Barry, R.G.; Knowles, K.; Heginbottom, J.A.; Brown, J. Statistics and characteristics of permafrost and Ground-Ice distribution in the Northern Hemisphere. Polar Geogr. 2008, 31, 47–68. [Google Scholar] [CrossRef]
- Wu, Q.; Niu, F.; Ma, W.; Liu, Y. The effect of permafrost changes on embankment stability along the Qinghai–Xizang Railway. Environ. Earth Sci. 2014, 71, 3321–3328. [Google Scholar] [CrossRef]
- Lu, C.; Cai, C. Challenges and Countermeasures for Construction Safety during the Sichuan–Tibet Railway Project. Engineering 2019, 5, 833–838. [Google Scholar] [CrossRef]
- Wu, Q.; Liu, Y.; Zhang, J.; Tong, C. A review of recent frozen soil engineering in permafrost regions along Qinghai-Tibet Highway, China. Permafr. Periglac. Process. 2002, 13, 199–205. [Google Scholar]
- Cui, D.; Wang, Q.; Wang, W. Effect of Kunlun Ms 8.1 earthquake on crustal deformation in northeastern edge region of Qinghal-Tibet plateau. Geod. Geodyn. 2010, 1, 34–41. [Google Scholar] [CrossRef]
- Ni, S.; Wang, W.; Li, L. The April 14th, 2010 Yushu earthquake, a devastating earthquake with foreshocks. Sci. China Earth Sci. 2010, 53, 791–793. [Google Scholar] [CrossRef]
- Deng, Q.; Cheng, S.; Ma, J.; Du, P. Seismic Activities and Earthquake Potential in the Tibetan Plateau. Chin. J. Geophys. 2014, 57, 678–697. [Google Scholar] [CrossRef]
- Fu, R.-H.; Briseghella, B.; Xue, J.-Q.; Aloisio, A.; Lin, Y.-B.; Nuti, C. Experimental and finite element analyses of laterally loaded RC piles with pre-Hole filled by various filling materials in IABs. Eng. Struct. 2022, 272, 114991. [Google Scholar] [CrossRef]
- Guan, J.; Zhang, X.; Chen, X.; Ding, M.; Wang, W.; Yu, S. Influence of seasonal freezing-thawing soils on seismic performance of high-rise cap pile foundation in permafrost regions. Cold Reg. Sci. Technol. 2022, 199, 103581. [Google Scholar] [CrossRef]
- Zhang, X.; Yang, Z.; Chen, X.; Guan, J.; Pei, W.; Luo, T. Experimental study of frozen soil effect on seismic behavior of bridge pile foundations in cold regions. Structures 2021, 32, 1752–1762. [Google Scholar] [CrossRef]
- Ma, D.; Xiang, H.; Ma, Q.; Kaunda, E.E.; Huang, K.; Su, Q.; Yao, Z. Dynamic Damage Constitutive Model of Frozen Silty Soil with Prefabricated Crack under Uniaxial Load. J. Eng. Mech. 2021, 147, 04021033. [Google Scholar] [CrossRef]
- Shastri, A.; Sánchez, M.; Gai, X.; Lee, M.Y.; Dewers, T. Mechanical behavior of frozen soils: Experimental investigation and numerical modeling. Comput. Geotech. 2021, 138, 104361. [Google Scholar] [CrossRef]
- Ling, X.; Li, Q.; Wang, L.; Zhang, F.; An, L.; Xu, P. Stiffness and damping radio evolution of frozen clays under long-term low-Level repeated cyclic loading: Experimental evidence and evolution model. Cold Reg. Sci. Technol. 2013, 86, 45–54. [Google Scholar] [CrossRef]
- Czajkowski, R.L.; Vinson, T.S. Dynamic Properties of Frozen Silt Under Cyclic Loading. J. Geotechn. Eng. Div. 1980, 106, 963–980. [Google Scholar] [CrossRef]
- Wang, D.; Zhu, Y.; Ma, W.; Niu, Y. Application of ultrasonic technology for Physical–Mechanical properties of frozen soils. Cold Reg. Sci. Technol. 2006, 44, 12–19. [Google Scholar] [CrossRef]
- Al-Hunaidi, M.; Chen, P.; Rainer, J.; Tremblay, M. Shear moduli and damping in frozen and unfrozen clay by resonant column tests. Can. Geotech. J. 2011, 33, 510–514. [Google Scholar] [CrossRef]
- Luo, F.; Zhao, S.; Ma, W.; Jiao, D.; Kong, X. Experimental study on dynamic elastic modulus of frozen soils under stepped axial cyclic loading. Chin. J. Geotech. Eng. 2013, 35, 849–855. [Google Scholar]
- Zhao, S.; Zhu, Y.; He, P.; Wang, D. Testing study on dynamic mechanics parameters of frozen soil. Chin. J. Rock Mech. Eng. 2003, 22, 2677–2681. [Google Scholar]
- Zhu, Z.; Ling, X.; Wang, Z.; Lu, Q.; Chen, S.; Zou, Z.; Guo, Z. Experimental investigation of the dynamic behavior of frozen clay from the Beiluhe subgrade along the QTR. Cold Reg. Sci. Technol. 2011, 69, 91–97. [Google Scholar] [CrossRef]
- Zhao, F.; Chang, L.; Zhang, W. Experimental investigation of dynamic shear modulus and damping ratio of Qinghai-Tibet frozen silt under multi-stage cyclic loading. Cold Reg. Sci. Technol. 2020, 170, 102938. [Google Scholar] [CrossRef]
- Ling, X.; Zhu, Z.; Zhang, F.; Chen, S.; Wang, L.; Gao, X.; Lu, Q. Dynamic elastic modulus for frozen soil from the embankment on Beiluhe Basin along the Qinghai–Tibet Railway. Cold Reg. Sci. Technol. 2009, 57, 7–12. [Google Scholar] [CrossRef]
- Wu, Z.; Zhang, D.; Zhao, T.; Ma, J.; Zhao, D. An experimental research on damping ratio and dynamic shear modulus ratio of frozen silty clay of the Qinghai-Tibet engineering corridor. Transp. Geotech. 2019, 21, 100269. [Google Scholar] [CrossRef]
- Hardin Bobby, O.; Drnevich Vincent, P. Shear Modulus and Damping in Soils: Design Equations and Curves. J. Soil Mech. Found. Div. 1972, 98, 667–692. [Google Scholar] [CrossRef]
- Yu, X.; Liu, H.; Sun, R.; Yuan, X. Improved Hardin-Drnevich model for the dynamic modulus and damping ratio of frozen soil. Cold Reg. Sci. Technol. 2018, 153, 64–77. [Google Scholar] [CrossRef]
- Cui, L.; Li, G.; He, Y.; Liao, Q.; Luo, F. Status Analysis of the Frozen Soil’s Dynamics Parameter Study. Adv. Mater. Res. 2014, 941–944, 2626–2630. [Google Scholar] [CrossRef]
- Zhang, D.; Li, Q.; Liu, E.; Liu, X.; Zhang, G.; Song, B. Dynamic properties of frozen silty soils with different coarse-grained contents subjected to cyclic triaxial loading. Cold Reg. Sci. Technol. 2019, 157, 64–85. [Google Scholar] [CrossRef]
- Ling, X.; Zhang, F.; Li, Q.; An, L.; Wang, L. Dynamic shear modulus and damping ratio of frozen compacted sand subjected to freeze–thaw cycle under multi-stage cyclic loading. Soil Dyn. Earthq. Eng. 2015, 76, 111–121. [Google Scholar] [CrossRef]
- Seed, H.B.; Idriss Izzat, M. Simplified Procedure for Evaluating Soil Liquefaction Potential. J. Soil Mech. Found. Div. 1971, 97, 1249–1273. [Google Scholar] [CrossRef]
















| Liquid Limit /% | Plastic Limit /% | Plastic Limit Index | Optimum Water Content/% | Dry Density /(g·cm3) |
|---|---|---|---|---|
| 27.1 | 14.9 | 12.2 | 15.5 | 1.75 |
| /MPa | /°C | /MPa | /MPa | /MPa | /MPa |
|---|---|---|---|---|---|
| 0.1 | −0.3 | 0.166 | 0.017 | 0.020 | 0.010 |
| 0.2 | 0.179 | 0.018 | 0.022 | 0.011 | |
| 0.3 | 0.191 | 0.019 | 0.024 | 0.012 | |
| 0.1 | −1 | 0.312 | 0.037 | 0.040 | 0.020 |
| 0.2 | 0.335 | 0.040 | 0.050 | 0.025 | |
| 0.3 | 0.358 | 0.043 | 0.060 | 0.030 | |
| 0.1 | −3 | 0.519 | 0.073 | 0.120 | 0.060 |
| 0.2 | 0.558 | 0.078 | 0.130 | 0.070 | |
| 0.3 | 0.597 | 0.083 | 0.140 | 0.080 | |
| 0.1 | −5 | 0.623 | 0.073 | 0.115 | 0.060 |
| 0.2 | 0.670 | 0.078 | 0.125 | 0.070 | |
| 0.3 | 0.717 | 0.083 | 0.135 | 0.050 |
| Test Number | w/% | /MPa | T/°C | f/Hz | a/MPa−1 | b/MPa−1 | |
|---|---|---|---|---|---|---|---|
| 1 | 14 | 0.1 | −3 | 4 | 0.001673 | 0.129900 | 0.98598 |
| 2 | 14 | 0.2 | −3 | 4 | 0.001621 | 0.147960 | 0.97962 |
| 3 | 14 | 0.3 | −3 | 4 | 0.001589 | 0.169660 | 0.98988 |
| 4 | 16 | 0.1 | −3 | 4 | 0.001554 | 0.111020 | 0.98864 |
| 5 | 16 | 0.2 | −3 | 4 | 0.001492 | 0.123470 | 0.98789 |
| 6 | 16 | 0.3 | −3 | 4 | 0.001444 | 0.137870 | 0.99323 |
| 7 | 18 | 0.1 | −3 | 4 | 0.001502 | 0.098240 | 0.97818 |
| 8 | 18 | 0.2 | −3 | 4 | 0.001451 | 0.107780 | 0.99114 |
| 9 | 18 | 0.3 | −3 | 4 | 0.001398 | 0.117640 | 0.97860 |
| 10 | 16 | 0.1 | −1 | 4 | 0.002146 | 0.228830 | 0.98056 |
| 11 | 16 | 0.2 | −1 | 4 | 0.002070 | 0.240350 | 0.96288 |
| 12 | 16 | 0.3 | −1 | 4 | 0.001955 | 0.265390 | 0.97683 |
| 13 | 16 | 0.1 | −5 | 4 | 0.001413 | 0.048020 | 0.98057 |
| 14 | 16 | 0.2 | −5 | 4 | 0.001370 | 0.053140 | 0.97937 |
| 15 | 16 | 0.3 | −5 | 4 | 0.001351 | 0.057500 | 0.96823 |
| 16 | 16 | 0.1 | −3 | 2 | 0.001577 | 0.127120 | 0.96822 |
| 17 | 16 | 0.2 | −3 | 2 | 0.001512 | 0.132740 | 0.97889 |
| 18 | 16 | 0.3 | −3 | 2 | 0.001468 | 0.153970 | 0.97937 |
| 19 | 16 | 0.1 | −3 | 1 | 0.001594 | 0.138660 | 0.96892 |
| 20 | 16 | 0.2 | −3 | 1 | 0.001536 | 0.156500 | 0.96785 |
| 21 | 16 | 0.3 | −3 | 1 | 0.001488 | 0.165080 | 0.96580 |
| 22 | 14 | 0.3 | −3 | 1 | 0.001720 | 0.219620 | 0.98443 |
| 23 | 14 | 0.3 | −3 | 2 | 0.001660 | 0.199160 | 0.97865 |
| 24 | 18 | 0.3 | −3 | 1 | 0.001530 | 0.147590 | 0.96857 |
| 25 | 18 | 0.3 | −3 | 2 | 0.001460 | 0.133200 | 0.96561 |
| 26 | 16 | 0.1 | −0.3 | 4 | 0.003160 | 0.482560 | 0.98065 |
| 27 | 16 | 0.2 | −0.3 | 4 | 0.002890 | 0.519520 | 0.97125 |
| 28 | 16 | 0.3 | −0.3 | 4 | 0.002660 | 0.582858 | 0.97954 |
/% | /MPa | /°C | /Hz | R/% | R/% | R/% | ||||||
|---|---|---|---|---|---|---|---|---|---|---|---|---|
| 14 | 0.1 | −3 | 4 | 597.7286 | 592.4479 | 0.88 | 0.0533 | 0.0534 | 0.19 | 0.0129 | 0.0125 | 3.10 |
| 14 | 0.2 | −3 | 4 | 616.9031 | 618.2464 | 0.22 | 0.0494 | 0.0495 | 0.20 | 0.0110 | 0.0110 | 0.00 |
| 14 | 0.3 | −3 | 4 | 629.3266 | 640.3475 | 1.75 | 0.0460 | 0.0456 | 0.87 | 0.0094 | 0.0095 | 1.06 |
| 16 | 0.1 | −3 | 4 | 643.5006 | 643.6714 | 0.03 | 0.0503 | 0.0495 | 1.59 | 0.0140 | 0.0138 | 1.43 |
| 16 | 0.2 | −3 | 4 | 670.2413 | 671.7005 | 0.22 | 0.0459 | 0.0459 | 0.00 | 0.0121 | 0.0121 | 0.00 |
| 16 | 0.3 | −3 | 4 | 692.5208 | 695.7125 | 0.46 | 0.0431 | 0.0423 | 1.86 | 0.0105 | 0.0105 | 0.00 |
| 18 | 0.1 | −3 | 4 | 665.7790 | 661.8592 | 0.59 | 0.0480 | 0.0487 | 1.46 | 0.0153 | 0.0154 | 0.65 |
| 18 | 0.2 | −3 | 4 | 689.1799 | 690.6802 | 0.22 | 0.0444 | 0.0451 | 1.58 | 0.0135 | 0.0135 | 0.00 |
| 18 | 0.3 | −3 | 4 | 715.3076 | 715.3707 | 0.01 | 0.0412 | 0.0416 | 0.97 | 0.0119 | 0.0117 | 1.68 |
| 16 | 0.1 | −1 | 4 | 465.9832 | 445.8027 | 4.33 | 0.0546 | 0.0555 | 1.65 | 0.0094 | 0.0098 | 4.26 |
| 16 | 0.2 | −1 | 4 | 483.0918 | 465.2154 | 3.70 | 0.0494 | 0.0514 | 4.05 | 0.0086 | 0.0086 | 0.00 |
| 16 | 0.3 | −1 | 4 | 511.5090 | 481.8460 | 5.80 | 0.0463 | 0.0474 | 2.38 | 0.0074 | 0.0075 | 1.35 |
| 16 | 0.1 | −5 | 4 | 707.7141 | 696.9107 | 1.53 | 0.0429 | 0.0426 | 0.70 | 0.0294 | 0.0294 | 0.00 |
| 16 | 0.2 | −5 | 4 | 729.9270 | 727.2581 | 0.37 | 0.0392 | 0.0395 | 0.77 | 0.0258 | 0.0258 | 0.00 |
| 16 | 0.3 | −5 | 4 | 740.1925 | 753.2562 | 1.76 | 0.0353 | 0.0364 | 3.12 | 0.0235 | 0.0224 | 4.68 |
| 16 | 0.1 | −3 | 2 | 634.1154 | 627.5904 | 1.03 | 0.0619 | 0.0646 | 4.36 | 0.0124 | 0.0128 | 3.23 |
| 16 | 0.2 | −3 | 2 | 661.3757 | 654.9192 | 0.98 | 0.0606 | 0.0599 | 1.16 | 0.0114 | 0.0112 | 1.75 |
| 16 | 0.3 | −3 | 2 | 681.1989 | 678.3314 | 0.42 | 0.0558 | 0.0552 | 1.08 | 0.0095 | 0.0097 | 2.11 |
| 16 | 0.1 | −3 | 1 | 627.3526 | 611.6976 | 2.50 | 0.0667 | 0.0715 | 7.20 | 0.0115 | 0.0114 | 0.87 |
| 16 | 0.2 | −3 | 1 | 651.0417 | 638.3344 | 1.95 | 0.0667 | 0.0664 | 0.45 | 0.0098 | 0.0100 | 2.04 |
| 16 | 0.3 | −3 | 1 | 672.0430 | 661.1536 | 1.62 | 0.0638 | 0.0611 | 4.23 | 0.0090 | 0.0087 | 3.33 |
| 14 | 0.3 | −3 | 1 | 581.3953 | 608.5388 | 4.67 | 0.0667 | 0.0659 | 1.20 | 0.0078 | 0.0079 | 1.28 |
| 14 | 0.3 | −3 | 2 | 602.4096 | 624.3496 | 3.64 | 0.0551 | 0.0595 | 7.99 | 0.0083 | 0.0088 | 6.02 |
| 18 | 0.3 | −3 | 1 | 653.5948 | 679.8353 | 4.01 | 0.0600 | 0.0601 | 0.17 | 0.0104 | 0.0097 | 6.73 |
| 18 | 0.3 | −3 | 2 | 684.9315 | 697.4984 | 1.83 | 0.0545 | 0.0542 | 0.55 | 0.0110 | 0.0109 | 0.91 |
| 16 | 0.1 | −0.3 | 4 | 316.4557 | 342.3799 | 8.19 | 0.0619 | 0.0573 | 7.43 | 0.0065 | 0.0064 | 1.54 |
| 16 | 0.2 | −0.3 | 4 | 346.0208 | 357.2890 | 3.26 | 0.0538 | 0.0531 | 1.30 | 0.0056 | 0.0056 | 0.00 |
| 16 | 0.3 | −0.3 | 4 | 375.9398 | 370.0614 | 1.56 | 0.0490 | 0.0490 | 0.00 | 0.0046 | 0.0048 | 4.35 |
Disclaimer/Publisher’s Note: The statements, opinions and data contained in all publications are solely those of the individual author(s) and contributor(s) and not of MDPI and/or the editor(s). MDPI and/or the editor(s) disclaim responsibility for any injury to people or property resulting from any ideas, methods, instructions or products referred to in the content. |
© 2023 by the authors. Licensee MDPI, Basel, Switzerland. This article is an open access article distributed under the terms and conditions of the Creative Commons Attribution (CC BY) license (https://creativecommons.org/licenses/by/4.0/).
Share and Cite
Zhang, X.; Sun, B.; Xu, Z.; Huang, A.; Guan, J. Experimental Study on the Dynamic Characteristics of Frozen Silty Clay and Its Influencing Factors. Sustainability 2023, 15, 1205. https://doi.org/10.3390/su15021205
Zhang X, Sun B, Xu Z, Huang A, Guan J. Experimental Study on the Dynamic Characteristics of Frozen Silty Clay and Its Influencing Factors. Sustainability. 2023; 15(2):1205. https://doi.org/10.3390/su15021205
Chicago/Turabian StyleZhang, Xiyin, Binjie Sun, Zhenjiang Xu, Anqi Huang, and Jiada Guan. 2023. "Experimental Study on the Dynamic Characteristics of Frozen Silty Clay and Its Influencing Factors" Sustainability 15, no. 2: 1205. https://doi.org/10.3390/su15021205
APA StyleZhang, X., Sun, B., Xu, Z., Huang, A., & Guan, J. (2023). Experimental Study on the Dynamic Characteristics of Frozen Silty Clay and Its Influencing Factors. Sustainability, 15(2), 1205. https://doi.org/10.3390/su15021205

