Next Article in Journal
Performance Evaluation of Asphalt Concrete Incorporating Steel Slag Powder as Filler under the Combined Damage of Temperature and Moisture
Next Article in Special Issue
Emission Durability of a China-6 Light-Duty Gasoline Vehicle
Previous Article in Journal
A New Perspective on Financial Risk Prediction in a Carbon-Neutral Environment: A Comprehensive Comparative Study Based on the SSA-LSTM Model
Previous Article in Special Issue
An Application Designed for Guiding the Coordinated Charging of Electric Vehicles
 
 
Font Type:
Arial Georgia Verdana
Font Size:
Aa Aa Aa
Line Spacing:
Column Width:
Background:
Article

Can Policy Instruments Achieve Synergies in Mitigating Air Pollution and CO2 Emissions in the Transportation Sector?

School of Business Administration, Northeastern University, Chuangxin Road, Hunnan District, Shenyang 110167, China
*
Author to whom correspondence should be addressed.
Sustainability 2023, 15(19), 14651; https://doi.org/10.3390/su151914651
Submission received: 14 September 2023 / Revised: 30 September 2023 / Accepted: 4 October 2023 / Published: 9 October 2023

Abstract

:
The transportation sector has significantly contributed to greenhouse gas and air pollutant emissions. Consequently, there is an urgent need to investigate strategies to synergize the reduction in CO2 and pollutant emissions in this sector. Using panel data from 30 provinces in China over the period from 2005 to 2018, this study employs spatial econometric models and mediation effect models to investigate the synergistic effects of carbon markets and environmental regulations on carbon reduction and pollution control in the transportation sector, along with the underlying transmission mechanisms. The results are as follows: (1) Carbon markets can achieve synergistic reduction effects in both CO2 emissions and pollutant emissions, whereas environmental regulations can reduce pollutant emissions alone in the transportation sector. (2) The synergistic reduction effects of carbon markets and environmental regulations in the transportation sector exhibit regional heterogeneity. The central region can realize synergistic reductions, while the western and eastern regions may experience an increase in CO2 and pollutant emissions and cross-regional transfers. (3) Carbon markets can achieve synergistic reduction effects in the transportation sector by influencing the industrial structure at the provincial level, transportation supply and demand at the sectoral level, and green willingness at the individual level.

1. Introduction

The escalating threats posed by global climate change and environmental pollution have elevated the urgency of addressing two pressing challenges in contemporary society: reducing carbon emissions and enhancing air quality [1,2]. China is currently at a critical stage of green and low-carbon transformation, requiring significant efforts to promote energy-saving and emission-reduction actions [3,4,5,6]. Therefore, it is of utmost importance for China’s sustainable development to achieve coordinated control of greenhouse gases and atmospheric pollutants, with the goal of “carbon reduction and pollution control.” The transportation sector, often regarded as the lifeblood of modern society, plays an indispensable role in bolstering economic growth and societal development [7]. Nevertheless, the CO2 and atmospheric pollutants stemming from this sector have impeded China’s economic progress and imposed severe and long-lasting negative impacts on public health and well-being [8,9]. As a result, the pursuit of synergistic reductions in CO2 and atmospheric pollutants in the transportation industry has become a shared focus for the government, academia, and the industry.
China has put into action a suite of policies aimed at curbing pollution and carbon emissions. These policies encompass the “Environmental Protection Tax Law,” which primarily targets the control of local pollutants such as SO2, NOx, and PM2.5 (referred to as environmental regulations), and the “Carbon Emission Right Trading Pilot Work,” which focuses on reducing global greenhouse gases, particularly CO2 (referred to as the carbon markets). While these two types of policies have distinct emission reduction objectives, it is important to note that CO2 and atmospheric pollutants stem from common sources. Consequently, the implementation of both environmental regulations and carbon markets has the potential to generate synergistic emissions reduction effects.
The term “synergy” has become increasingly prevalent in the Chinese government’s planning documents in recent years, and existing studies have conducted comprehensive examinations of this term. The concept of “synergy” encompasses two key aspects. The first aspect pertains to the combined effects of multiple policies, emphasizing the additional benefits that arise when multiple policies are implemented simultaneously. The second aspect focuses on the impact of a single policy, emphasizing its ability to not only reduce targeted emissions but also to exert synergistic control over other emissions. The synergistic effects discussed in this paper are not related to interactions between multiple policies; instead, they are specific to the impact of a single policy. More specifically, the carbon market exerts a synergistic impact on reducing both CO2 and atmospheric pollutants [10]. Beyond its role in mitigating CO2 emissions, the carbon market positively influences the reduction in atmospheric pollutants like NOx and SO2 by altering the energy structure, enhancing energy efficiency, and promoting clean energy usage [11]. In addition, environmental regulations generate a synergistic effect on reducing CO2 and atmospheric pollutants [4,12]. Environmental regulations not only contribute to the reduction in atmospheric pollutants but also influence CO2 emissions by adjusting industrial structures and promoting technological innovation [13,14].
The current body of literature extensively affirms the synergistic reduction effects of carbon markets on atmospheric pollutants and CO2 emissions. Similarly, it acknowledges the synergistic reduction effects of environmental regulations, atmospheric pollutants, and CO2 emissions. Nevertheless, it is important to note that several notable limitations still exist in the previous research.
Firstly, existing studies mainly concentrate on the national and provincial levels, with limited investigation into the synergistic reduction in CO2 and pollutant emissions at the industrial level. Only a few studies have addressed the sectors with the highest emissions, such as the electricity and industrial sectors [15,16,17]. Given the unique resource utilization and emission characteristics of the transportation sector, which heavily relies on fossil fuels, it becomes imperative to conduct in-depth research on the synergistic reduction in CO2 and pollutant emissions in the transportation sector [18].
Secondly, industrial-level studies often emphasize the local effects of “carbon reduction and pollution control” while overlooking cross-regional impacts. The transportation sector exhibits evident cross-regional characteristics. In addition, CO2 and atmospheric pollutant emissions can influence not only the local environment but also neighboring areas. Consequently, research concerning the transportation sector should adopt a dynamic cross-regional perspective to gain a more comprehensive understanding of regional effects [19].
Lastly, although a few studies have explored factors influencing CO2 and atmospheric pollutant emissions in the transportation sector, they have not analyzed the mechanisms through which these factors impact the synergistic effects of carbon reduction and pollution control [20]. Mechanism analysis can reveal crucial factors in policy design and provide recommendations for policy improvements. Therefore, it is essential not only to focus on the factors influencing the synergistic effects of carbon reduction and pollution control in the transportation sector but also to study deeply the mechanisms through which these factors operate.
Considering the aforementioned factors, this study employs data spanning the years 2005 to 2018, encompassing 30 Chinese provinces and cities, to investigate the impacts of the carbon market and environmental regulations on carbon reduction and pollution control in the transportation sector. This research makes marginal contributions in several key aspects: (1) This study focuses on the transportation sector, extending the investigation of carbon reduction and pollution control to the industry level, thereby contributing to a more profound comprehension of the unique challenges faced by the transportation sector and its potential for emissions reduction. (2) This study employs spatial econometric methods, with a specific emphasis on the cross-regional impacts of the carbon market and environmental regulations in the transportation sector. (3) By conducting mediation mechanism tests, this study delves deep into the policy transmission mechanisms underlying the synergistic effects of carbon reduction and pollution control in the transportation sector, contributing to a deeper understanding of policy impact mechanisms and facilitating the achievement of emissions reduction goals.
The remaining part of this study is structured as follows: Section 2 proposes the theoretical analysis and hypothesis. Section 3 presents the design of empirical research; Section 4 introduces the results of empirical research; Section 5 summarizes the main conclusions and puts forward policy implications.

2. Theoretical Analysis and Hypothesis

The research framework for this study is depicted in Figure 1. Building upon this framework, four hypotheses with respect to carbon markets and environmental regulations are formulated, respectively.
The national carbon emissions trading market is a core policy instrument designed to achieve carbon peak and carbon neutrality goals. It operates by promoting carbon reduction through market mechanisms, treating emission rights as scarce resources [21]. Simultaneously, the government enforces environmental regulations by levying environmental taxes, imposing fines, and conducting oversight to compel enterprises to reduce their pollutant emissions [22]. However, the “green paradox hypothesis” suggests that carbon markets and environmental regulations may inadvertently exacerbate CO2 and pollutant emissions when enterprises intensify their energy usage in pursuit of cost-effectiveness [23]. Additionally, the “pollution haven hypothesis indicates that carbon markets and environmental regulations could lead to business relocations, potentially resulting in increased CO2 and pollutant emissions in neighboring regions [24]. Therefore, it is necessary to investigate whether carbon markets and environmental regulations effectively reduce CO2 and pollutants in the transportation sector.
Hypothesis H1a.
Carbon markets will have synergistic reduction effects on CO2 and pollution emissions in the transportation sector.
Hypothesis H1b.
Environmental regulations will have synergistic reduction effects on CO2 and pollution emissions in the transportation sector.
Moreover, both carbon markets and environmental regulations can promote synergistic reduction effects on CO2 and pollution emissions in the transportation sector at provincial, sectoral, and residential levels.
(1)
Provincial level: industrial structure
Carbon markets and environmental regulations, using economic incentives, technological innovation, and market competition, reduce the share of highly polluting and energy-intensive industries. This, in turn, promotes a shift in industries towards being more environmentally friendly. The upgrading of the industrial structure can bring about changes in transportation demand distribution, transportation mode preferences, innovation in transportation services, and logistics requirements. These shifts can influence CO2 and pollutant emissions, which may lead to a synergistic effect on carbon reduction and pollution control.
Hypothesis H2a.
Carbon markets will achieve synergistic control over CO2 and pollutant emissions in the transportation sector by enhancing the rationalization of the industrial structure.
Hypothesis H2b.
Environmental regulations will achieve synergistic control over CO2 and pollutant emissions in the transportation sector by enhancing the rationalization of the industrial structure.
(2)
Sectoral level: transportation supply
Carbon markets and environmental regulations compel enterprises to adopt emission reduction measures, which, to some extent, increase the operating costs of transportation enterprises. Faced with heightened cost pressures, transportation enterprises implement measures to reduce transportation supply, such as optimizing transportation routes and reducing transportation distances. The reduction in transportation supply leads to a decrease in fossil fuel consumption, thereby reducing CO2 and pollutant emissions in the transportation sector.
Hypothesis H3a.
Carbon markets will achieve synergistic control over CO2 and pollutant emissions in the transportation sector by reducing transportation demand in the transportation sector.
Hypothesis H3b.
Environmental regulations will achieve synergistic control over CO2 and pollutant emissions in the transportation sector by reducing transportation demand in the transportation sector.
(3)
Residential level: green will
The implementation of carbon markets and environmental regulations is often accompanied by social awareness campaigns. These activities help raise residents’ awareness regarding environmental issues and climate change, which will motivate residents to adopt eco-friendly behaviors. A growing number of residents opt for low-carbon and clean transportation modes, such as public transportation and cycling, while reducing their reliance on private vehicles. This transition contributes to a reduction in CO2 and pollutant emissions in the transportation sector.
Hypothesis H4a.
Carbon markets will achieve synergistic control over CO2 and pollutant emissions in the transportation sector by increasing the frequency of public transportation usage among residents.
Hypothesis H4b.
Environmental regulations will achieve synergistic control over CO2 and pollutant emissions in the transportation sector by increasing the frequency of public transportation usage among residents.

3. Research Design

3.1. Model Design

3.1.1. Spatial Econometric Model

Due to the existence of spatial correlations and spatial spillovers, CO2 and atmospheric pollutant emissions in the transportation sector are affected by geospatial relationships. Therefore, the application of a spatial econometric model enables a more precise analysis and prediction of emissions, thereby assisting policymakers in implementing more effective measures to mitigate environmental impacts. Therefore, the spatial econometric model is selected in this paper. The spatial econometric model is outlined as follows:
ln Y i , t = α + τ ln Y i , t 1 + ρ j = 1 n W i , j Y i , j + β X i , t + θ j = 1 n W i , j X i , t + λ j = 1 n ω i , j ε j , t + μ i + γ t
W i , j = 1 / d i , j i j 0 i = j
where i and j represent different provinces, t represents the year, W i , j is the spatial geographic distance matrix, d i , j represents the geographical distance, which is calculated using the Haversine equation by the longitude and latitude between two provinces; Y i , t is the dependent variable, X i , t stands for the independent variables; ρ and θ are the spatial lag coefficients for dependent and independent variables, μ i is spatial fixed effects, γ t is time fixed effects, ε i , t is the random error term, λ is spatial autocorrelation coefficient of the error term.
When τ 0 , the above model is a dynamic spatial panel data model. The spatial econometric model in Equation (1) can be deformed to obtain the following common forms: λ = 0 leads to a spatial Durbin model (SDM); λ = θ = 0 leads to a spatial lag model (SLM); ρ = θ = 0 leads to a spatial error model (SEM). However, the choice of which spatial econometric model to use for estimation requires further testing. Detailed information about these tests can be found in Section 4.2.

3.1.2. Mediating Effects Model

CO2 and atmospheric pollutant emissions in the transportation sector are usually not attributable to a single factor. Instead, they arise from the interaction of multiple factors. The mediating effect model offers insights into how independent variables affect dependent variables through the mediating variables, thereby facilitating the analysis of these intricate causal relationships [25]. Therefore, in this paper, we adopt the mediating effects model and utilize a causal stepwise regression to examine the mediation effect. The steps of the mediation effect test are represented in Figure 2.
First step:
Y i , t = α + τ Y i , t 1 + ρ j = 1 n W i , j Y i , j + β X i , t + θ j = 1 n W i , j X i , t + λ j = 1 n ω i , j ε j , t + μ i + γ t
Second step:
Z i , t = α + τ Z i , t 1 + ρ j = 1 n W i , j Z j , t + β X i , t + θ j = 1 n W i , j X i , t + λ j = 1 n ω i , j ε j , t + μ i + γ t
Third step:
Y i , t = α + τ Y i , t 1 + ρ j = 1 n W i , j Y i , j + β 1 X i , t + θ 1 j = 1 n W i , j X i , t + β 2 Z i , t + θ 2 j = 1 n W i , j Z j , t + λ j = 1 n ω i , j ε j , t + μ i + γ t

3.2. Variable Description

To investigate the synergistic effects of carbon reduction and pollution control in the transportation sector, this study incorporates two dependent variables: carbon emissions and pollutant emissions, as well as two independent variables: carbon markets and environmental regulations. Additionally, six control variables are included: energy efficiency of the transportation sector, economic development level, openness level, transportation structure, population size, and energy structure. Moreover, from three dimensions, namely provincial, industrial, and residential, this study selects industrial structure rationalization, per capita turnover, and per capita public transportation frequency as mediating variables. Variable definitions are provided in Table 1.

3.2.1. Dependent Variables

(1)
CO2 Emissions in the Transportation Sector (CE)
The transportation sector primarily relies on fossil fuels as its main source of energy consumption, resulting in substantial CO2 emissions. In this study, CO2 emissions from the transportation sector are calculated using the “top–down” approach provided by the IPCC, which calculates the CO2 emissions based on the energy consumption of transportation multiplied by the CO2 emission coefficients of the energy sources [20].
C E = i = 1 n E i × f i = i = 1 n E i × ( L C V i × C E F i × C O F i )
where i represents different energy sources, CE represents CO2 emissions, E i represents the consumption of the ith energy source, f i represents the carbon emission coefficient of the ith energy source, L C V i represents the average lower heating value of the ith energy source, C E F i represents the carbon emission factor of the ith energy source, and C O F i represents the carbon oxidation rate of the ith energy source.
The carbon emission coefficient for electricity is considered 0.56995 kg CO2/kWh, and for heat, it is 0.1027 kg CO2/MJ. Additional details, such as the average lower heating values, carbon dioxide content per unit calorific value, and carbon oxidation rates for other energy sources, can be found in Table 2.
(2)
Pollutant emissions in the transportation sector (PO)
In addition to CO2 emissions, the transportation sector is responsible for the release of several pollutants that have significant effects on air quality and the environment [26]. These pollutants include nitrogen oxides (NOx), sulfur dioxide (SO2), volatile organic compounds (VOCs), carbon monoxide (CO), ammonia (NH3), inhalable particulate matter (PM10), and black carbon (BC). Consequently, this study calculates the pollution equivalents of these seven pollutants. The calculation method is defined as follows:
P O = j = 1 n G j / q j
where, j represents different pollutants, P O represents the total pollutant emissions, G i represents the pollutants emissions of the jth pollutant. q i represents the pollutant equivalence value of the jth pollutant. The pollutant equivalence values are derived from the “Environmental Protection Tax Law,” as presented in Table 3.

3.2.2. Independent Variables

(1)
Environmental Regulations (LPE): With regard to environmental regulations, despite the current absence of available data and officially published relevant indicators, the literature offers common methods for assessing the strength of environmental regulations. Typical indicators aimed at measuring the strength of environmental regulations include the number of environmental penalty cases, the frequency of keywords related to environmental regulation in government work reports, the Public Environmental Concern Index, or the composite index incorporating factors like industrial wastewater discharge, industrial SO2 emissions, and industrial particulate matter emissions [27,28,29,30,31]. Moreover, pollution control investments can also serve as a reliable indicator of the level of stringency in environmental regulation [32]. As environmental regulations become more stringent, firms often react by increasing their pollution control investments to align with the heightened regulatory standards. Consequently, an increase in pollution control investment can signify an intensification of environmental regulation. We select environmental protection investment in environmental pollution control by each province (investment in the treatment of industrial pollution sources) as the variable to measure the stringency of environmental regulations. To account for the lagged impact of policies, LPE is lagged by one period.
(2)
Carbon Markets (CM): With regard to the carbon markets, this study focuses on China’s carbon emissions trading pilot programs. Starting in 2013, China launched carbon emissions trading pilot programs in eight provinces and cities, including Beijing, Tianjin, Shanghai, Chongqing, Hubei, Guangdong, Shenzhen, and Fujian, and included the transportation sectors of highways, railroads, and aviation in the pilot program [33,34]. Subsequently, on 16 July 2021, the nationwide carbon market was officially launched, and civil aviation was incorporated into the nationwide carbon market. Therefore, this study selects the carbon market as a representative variable. If a province conducts a carbon market pilot in a particular year, it is assigned a value of 1; otherwise, it is assigned a value of 0.

3.2.3. Control Variables

(1)
Energy efficiency of the transportation sector (EE): The energy efficiency of the transportation sector has a direct impact on CO2 and pollutant emissions in the transportation sector. Improved energy efficiency typically results in reduced CO2 and pollutant emissions resulting from transportation activities [35,36]. This study measures the energy efficiency of the transportation sector by quantifying the amount of energy consumed per unit of value added in the transportation sector. The energy consumption in the transportation sector is converted into standard coal equivalents. The conversion coefficients are provided in Table 4.
(2)
Economic Development Level (PGDP): The level of economic development plays a significant role in influencing CO2 and pollutant emissions in the transportation sector. Generally, as economic development progresses, transportation demand tends to increase, resulting in higher levels of CO2 and pollutant emissions [37]. Numerous scholars have emphasized the existence of an “inverted U-shaped” relationship between emissions and economic growth [38,39]. To explain this “inverted U-shaped” relationship, we introduce the square of per capita GDP as an indicator of the economic development level.
(3)
Openness Level (FG): Numerous scholars have emphasized that the level of openness within a country or region has a significant impact on the level of industrial emissions [40]. Therefore, it can also have an impact on CO2 and pollutant emissions in the transportation sector. Openness can attract foreign investment and collaboration, potentially stimulating the development and improvement of transportation infrastructure. While this can lead to enhanced transportation efficiency, it may also result in increased transportation demands, affecting CO2 and pollutant emissions [41]. As a proxy for the openness level, this study employs the ratio of foreign direct investment to GDP [42,43].
(4)
Transportation Structure (STR): Various modes of transportation exhibit different levels of transport efficiency and cover varying distances, which in turn influence the CO2 and pollutant emissions originating from the transportation sector [44]. This study introduces a variable to represent transportation structure, which is defined by the ratio of road transportation turnover to total turnover.
(5)
Population Size (PK): A growing population size typically signifies increased demands for commuting, travel, and freight transportation, resulting in increased traffic and, consequently, higher levels of CO2 and pollutant emissions [45]. Thus, this study incorporates a population size variable, measured as the year-end population of each province or region [42].
(6)
Energy Structure (ES): Previous studies have indicated that regions heavily reliant on fossil fuels as their primary energy source for transportation tend to generate significant carbon emissions and air pollutants [46]. Conversely, regions that incorporate a larger share of renewable energy sources like wind, solar, and hydropower in their energy structure tend to have lower emissions in the transportation sector. Therefore, a region’s energy structure directly influences CO2 emissions and pollutant emissions in the transportation sector [47]. Lots of scholars now use the ratio of consumption of a particular energy source to total energy consumption to measure the energy structure [36,48]. This study introduces an energy structure variable, measured as the consumption of fuel oil divided by total energy consumption.

3.2.4. Mediating Variables

(1)
Industrial Structure Rationalization (RIS): The transformation and upgrading of the industrial structure can trigger a series of impacts, including shifts in transportation supply and demand, changes in transportation distances and modes, as well as technological innovations and efficiency enhancements. These factors directly influence CO2 and pollutant emissions in the transportation sector [49]. Based on previous research, this study incorporates industrial structure rationalization as a mediating variable. Drawing on Ref. [50], the Theil index is utilized to measure the rationalization of industrial structure, which is measured using GDP and employment.
(2)
Per Capita Turnover (TR): As pointed out by Ref [51], a higher turnover typically indicates increased transportation activities, which can potentially result in elevated levels of CO2 and pollutant emissions. Therefore, per capita turnover is selected as a mediating variable in this study, which is calculated as the ratio of total turnover to the total population of the region.
(3)
Per Capita Public Transportation Frequency (PTF): Per capita public transportation frequency reflects the extent to which individuals rely on public transportation. Researchers observed that the implementation of carbon markets and environmental regulation tends to encourage the preference for green and low-carbon public transportation options [52]. Consequently, this study introduces per capita public transportation frequency as a mediating variable, which is calculated as the ratio of total public transport passenger transportation to the total population.

3.3. Data Sources

The dataset sources can be found in Table 1, including the “China Statistical Yearbook” [53], “China Energy Statistical Yearbook” [54], “China Statistical Yearbook on Environment,” “IPCC National Greenhouse Gas Emission Inventory Guidelines,” and “ China Statistical Yearbook (province)” and China anthropogenic emissions inventory published by the MEIC team [55]. Considering data availability, this study focuses on a sample comprising 30 provinces in China, with the exclusion of Hong Kong, Macao, Taiwan, and Tibet, covering the years from 2005 to 2018. Given the large differences in values, logarithms need to be used for variables with very large values to maintain all variables in the same order of magnitude to ensure the robustness of the results. Descriptive statistics for each variable are presented in Table 5.

4. Empirical Results and Analysis

4.1. Spatial Correlation Tests

4.1.1. Global Spatial Autocorrelation Test

Before conducting the econometric analysis, this study employed the global Moran’s I index to measure the spatial correlation of CO2 and pollutant emissions in the transportation sector. The results are presented in Table 6.
Table 6 reveals that the global Moran’s I index for CO2 emissions in the transportation sector during the years 2005–2018 is consistently positive and significant at the 10% level. This indicates a positive spatial correlation in CO2 emissions in the transportation sector across various provinces and regions in China throughout the entire study period. In other words, the spatial distribution of carbon emissions in China’s transportation sector exhibited a clustering pattern.
For air pollutant emissions in the transportation sector during the years 2005–2018, the global Moran’s I index consistently demonstrates a positive trend, with statistical significance observed at the 10% level in the years 2006–2010 and 2017–2018. This indicates the presence of a certain level of positive spatial correlation in pollutant emissions in the transportation sector.
However, it is worth noting that in certain years, the global Moran’s I indexes did not reach a significance level of 10%. The primary focus of the global Moran’s I index is to determine whether there exists significant spatial correlation across the entire region; however, it does not provide insights into specific local spatial patterns [56,57]. Considering that air pollutant emissions and CO2 emissions typically exhibit substantial spatial variation across regions, this implies that some regions may exhibit higher emission levels while others may have lower levels. In other words, emission levels can vary significantly from one area to another. In certain cases, air pollutant emissions and CO2 emissions may display localized clustering instead of global clustering, which can affect the significance of the global Moran’s I index. Moreover, the presence of both positive and negative local correlations can offset each other, leading to a statistically insignificant or weak global Moran’s I index. Therefore, it is imperative to further investigate the local spatial effects of CO2 and pollutant emissions in China’s transportation sector through local Moran tests.

4.1.2. Local Spatial Autocorrelation Test

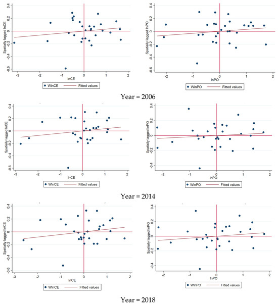
This study employed Moran scatterplots to assess the levels of CO2 and pollutant emissions in China’s transportation sector. Local Moran scatterplots for the years 2006, 2014, and 2018 are depicted in Figure 3. In these plots, the horizontal axis represents the standardized levels of CO2 emissions (or pollutant emissions) in each province (city), while the vertical axis signifies the spatial lag levels of CO2 emissions (or pollutant emissions) in each province (city).
Provinces (cities) located in the first quadrant exhibit H–H (high–high) clustering characteristics, indicating that their CO2 emissions (or pollutant emissions) levels are high, and neighboring provinces (cities) also exhibit high emission levels. Provinces (cities) located in the second quadrant exhibit L–H (low–high) clustering characteristics, suggesting that their CO2 emissions (or pollutant emissions) levels are low, while neighboring provinces (cities) have high emissions levels. Provinces (cities) located in the third quadrant exhibit L–L (low–low) clustering characteristics, signifying that their CO2 emissions (or pollutant emissions) levels are low, and neighboring provinces (cities) also have low emission levels. Finally, provinces (cities) situated in the fourth quadrant exhibit H–L (high–low) clustering characteristics, indicating that their CO2 emissions (or pollutant emissions) levels are high, while neighboring provinces (cities) have low emission levels.
In the local Moran scatterplots, a substantial number of provinces (cities) are located in the first and third quadrants. This implies a spatial interdependence in CO2 and pollutant emissions in China’s transportation sector.

4.2. Model Selection Tests

The results of spatial econometric model selection tests, including LM tests, LR tests, Hausman tests, and Wald tests, are provided in Table 7.
The LM test results indicate that dynamic SLM is suitable for modeling CO2 emissions in both the eastern and western regions, as well as pollutant emissions in the central region. Additionally, the LM-Lag, R-LM-Lag, LM-Error, and R-LM-Error statistics for pollutant emissions in the eastern and western regions, CO2 emissions in the central region, and both CO2 emissions and pollutants emissions at the national level are significant at the 10% level. This suggests that dynamic SEM and SLM can be considered.
The Hausman test results indicate a preference for a fixed effects model over a random effects model. Furthermore, the LR test results suggest that a double-fixed effects model is appropriate for modeling CO2 and pollutant emissions in the eastern, central, and western regions, as well as at the national level.
The Wald test results reveal that the dynamic SDM for pollutant emissions in the eastern and western regions, CO2 emissions in the central region, and both CO2 emissions and pollutant emissions at the national level cannot be simplified to dynamic SLM and dynamic SEM.
In summary, double-fixed effects dynamic SLM should be used for CO2 emissions in the eastern and western regions, as well as pollutant emissions in the central region. Meanwhile, double-fixed effects dynamic SDM should be used for pollutant emissions in the western and eastern regions, as well as CO2 emissions in the central region.

4.3. Baseline Results Analysis

In this study, we investigate the synergistic emission reduction effects of environmental regulations and the carbon markets within China’s transportation sector at the national level. According to the model selection tests in Table 7, we employ double-fixed effects dynamic SDM for CO2 and pollutant emissions. The baseline results are presented in Table 8, with column (1) illustrating the influence of environmental regulations and the carbon market on CO2 emissions and column (2) illustrating their impact on pollutant emissions in the transportation sector.
Regarding the temporal dimension (Ln(CE) L1 and Ln(PO) L1), the significantly positive time-lagged regression coefficients for CO2 and pollutant emissions imply the presence of a “path dependence” relationship. This suggests that previous emissions levels may exert an influence on current emissions, likely due to economic and technological factors from the past that continue to impact present-day emissions levels. This phenomenon can be understood as a form of “lock-in effect.” For instance, if high-emission energy sources and technologies were widely used in the past, the associated energy infrastructure and industrial structure may have become somewhat entrenched, resulting in persistently higher emissions levels in the current period.
Regarding the spatiotemporal dimension (W*Ln(CE) L1 and W*Ln(PO) L1), the spatiotemporal-lagged regression coefficients for CO2 and pollutant emissions are significantly positive. This suggests that CO2 and pollutant emissions disperse relatively slowly in the atmosphere, leading to noticeable spillover effects over time and space.
The regression coefficients for the carbon market on CO2 and pollutant emissions are significantly negative. Similarly, the regression coefficients for environmental regulation, along with their spatially lagged coefficients, on pollutant emissions are also significantly negative. This implies that carbon markets and environmental regulations have an impact on CO2 and pollutant emissions, and this influence extends to neighboring regions. However, it is worth noting that environmental regulations cannot significantly reduce carbon emissions.
The regression coefficients for the carbon market on CO2 and pollutant emissions are significantly negative. Similarly, the regression coefficients for environmental regulation on pollutant emissions are also significantly negative. In the spatial dimension (W*CM and W*Ln(LPE)), environmental regulations in neighboring regions exert a significant negative influence on both CO2 and pollutant emissions and carbon markets in neighboring regions exert a significant negative effect on pollutant emissions. This suggests that carbon markets and environmental regulations indeed affect CO2 and pollutant emissions, and this influence extends to neighboring regions.
The estimated results of the dynamic SDM model cannot reflect the marginal effects of carbon markets and environmental regulations on CO2 and pollutant emissions. Therefore, by employing the partial differentiation decomposition method, the impact of carbon markets and environmental regulations on “carbon reduction and pollution control” in the transportation sector can be decomposed into direct effects, indirect effects, and total effects [58]. In the temporal dimension, these effects can be further categorized into short-term and long-term effects [59]. The decomposition results are presented in Table 9.
(1)
Short-term effects
In the short term, the implementation of the carbon market leads to a 0.0369% reduction in pollutant emissions in the local transportation sector, while pollutant emissions in the transportation sectors of neighboring regions increase by 0.5003%. In areas where carbon market pilots are implemented, regulated high-energy-consuming and high-emission enterprises may choose to relocate their production activities to regions where there is no carbon market in order to reduce their costs. As a consequence, there is a decrease in transportation demand within the local region and an increase in transportation demand in neighboring areas. This leads to a reduction in pollutant emissions in the local transportation sector and an increase in pollutant emissions in neighboring regions. It is worth noting that the carbon market also exerts a restraining effect on CO2 emissions in the local transportation sector, although not notably significant. In the initial stages of the carbon market, policy stringency is relatively low, and the scope of implementation is limited, leading to less pronounced emission reduction effects. Moreover, enterprises may need some time to make adaptations in their processes, technologies, and supply chains. They also require time to react to price signals to reduce CO2 emissions.
With regards to environmental regulations, an increase in one unit in local regulatory intensity leads to a 0.0454% decrease in pollutant emissions in the local transportation sector and a 0.6164% rise in pollutant emissions in neighboring areas. The reinforcement of environmental regulations affects the costs of transportation enterprises. Consequently, environmental regulations can, to some extent, restrain pollutant emissions in the local transportation sector. Additionally, the spillover of pollutant emissions supports the idea that enterprises often choose regions with relatively lower environmental standards, thus providing some validation for the “pollution haven hypothesis.”
(2)
Long-term effects
In the long term, the implementation of the carbon market and an increase in environmental regulation intensity will result in pollutant emissions in neighboring areas increasing by 0.1088% and 0.1330%, respectively. It is worth noting that the spillover effects of pollutant emissions resulting from carbon markets and environmental regulations will diminish over time as interregional barriers decrease and factors and products move more freely [60]. Additionally, reducing carbon emissions and reducing pollutant emissions are two distinct approaches. Therefore, the direct impact of the carbon markets on pollutant emissions is weak.

4.4. Regional Heterogeneity Analysis

In this subsection, we divide the sample into eastern, central, and western regions and conduct a regional heterogeneity analysis. According to the test results in Table 7, we employ double-fixed effects dynamic SLM for CO2 emissions in the eastern and western regions and pollutant emissions in the central region and double-fixed effects dynamic SDM for pollutant emissions in the eastern and western regions and CO2 emissions in the central region. The regional heterogeneity results are shown in Table 10.
(1)
Western Region
The implementation of the carbon market in the western region results in an increase of 0.1409% and 0.1689% in local CO2 emissions and pollutant emissions. In the western region, which is abundant in resources, transportation enterprises have a greater reliance on fossil fuels. This could result in enterprises tending to expedite the use of these resources in anticipation of stricter future policies, thereby increasing carbon and pollutant emissions. This result validates the “green paradox hypothesis,” demonstrating that in resource-abundant regions, enterprises may be more inclined to pursue short-term economic interests and may be less willing to adopt environmentally friendly and sustainable practices.
(2)
Central Region
The implementation of the carbon market in the central region results in a reduction of 0.1611% and 0.1226% in local CO2 emissions and pollutant emissions, thereby achieving a synergistic effect of carbon reduction and pollution control in the transportation sector. However, environmental regulations in the central region do not significantly impact local CO2 emissions or pollutant emissions, and neither policy leads to emissions spillover. This implies that if environmental regulations fail to promote the widespread adoption of end-of-pipe pollution control technologies in the transportation sector, their impacts on reducing pollutant emissions may be limited.
(3)
Eastern Region
The implementation of the carbon market in the eastern region results in a reduction of 0.0705% in local pollutant emissions but does not significantly reduce local CO2 emissions. This phenomenon is primarily attributed to the inherent differences between reducing carbon emissions and reducing pollutant emissions. Typically, reducing CO2 emissions requires the adoption of more efficient technologies and the utilization of low-carbon energy sources, while reducing pollutant emissions often relies on end-of-pipe technologies. Despite its higher level of economic development, the eastern region faces challenges in accomplishing an energy transformation in the transportation sector due to relative resource scarcity. Hence, the impact of carbon markets on carbon emissions reduction is insignificant. Furthermore, due to economic interconnections and resource interactions among regions, the implementation of the carbon market in the eastern region leads to a 0.0803% increase in pollutant emissions in neighboring areas.

4.5. Mechanism Analysis

In the above section, we conducted an empirical analysis to examine the influence of carbon markets and environmental regulations on carbon reduction and pollution control in the transportation sector. Our findings indicated that the carbon market contributes to a collaborative reduction in both CO2 and pollutant emissions in the transportation sector, while environmental regulation cannot collaboratively reduce CO2 and pollutant emissions. Hence, it is feasible to continue with the examination of the mediating effects of carbon markets without the necessity of further investigating the mediating effects of environmental regulations. In this section, we employ a mediating effect model to delve deeper into the underlying mechanisms through which the carbon markets foster synergistic effects in carbon reduction and pollution control.
Given that carbon markets can impact CO2 and pollutant emissions in the transportation sector by influencing factors such as industrial structure, the demand for transportation of goods and passengers, and residents’ environmentally conscious behaviors, our analysis will adopt three distinct perspectives: provincial-level industrial structure rationalization (RIS), sectoral-level per capita turnover (TR), and residential-level per capita public transportation frequency (PTF).
Our analysis strictly adheres to the three-step mediating mechanism test method proposed by Wen and Ye (2014) [25]. The mediation effects are examined by a three-step causal regression, and the results are presented in Table 11.
(1)
First step
The results of the first step are shown in the baseline regression (Table 8). Hypothesis H1a finds support, whereas H1b is not substantiated.
(2)
Second step
Through the second step of the mediating effect test, it is found that the implementation of the carbon market reduces per capita turnover, enhances the rationalization of industrial structure, and increases per capita public transportation usage frequency. The spatial lag coefficient of the carbon market on rationalization of the industrial structure is significantly positive, indicating a spatial spillover impact of the carbon market on the promotion of industrial structure rationalization.
(3)
Third step
Through the third step of the mediating effect test, it is observed that an increase in per capita public transportation usage frequency leads to a 0.1686% reduction in CO2 emissions and a 0.067% reduction in pollutant emissions. The enhancement of the rationalization of industrial structure results in a 0.1247% reduction in CO2 emissions and a 0.0717% reduction in pollutant emissions. Conversely, a decrease in per capita turnover leads to a 0.0602% reduction in CO2 emissions and a 0.0559% reduction in pollutant emissions in the transportation sector. Therefore, the mediating effect of the intermediary variable on CO2 emissions surpasses its influence on pollutant emissions, indicating that the intermediary variable exerts a stronger impact on reducing CO2 emissions than on pollutant emissions in the transportation sector.
In column (1), we observe that the carbon market fosters its synergistic effects in the transportation sector by facilitating the rationalization of the industrial structure. This effect is achieved as the carbon market encourages a shift towards a more rationalized industrial structure, reducing the proportion of high-pollution industries. This structural transformation subsequently reduces the demand for industrial transportation, leading to decreases in both CO2 emissions and pollutant emissions in the transportation sector.
In column (2), it is evident that the carbon market promotes its synergistic effects by reducing per capita turnover. The carbon market elevates the economic costs associated with high-carbon-emission transportation modes. In response, transportation enterprises may adopt measures to reduce transportation turnover, thereby mitigating both CO2 emissions and pollutant emissions.
Moving on to column (3), we observe that the carbon market enhances its synergistic effects by increasing per capita public transportation usage frequency. The implementation of the carbon market typically involves extensive publicity and awareness campaigns, leading to shifts in individuals’ travel behaviors and encouraging more frequent use of public transportation. As public transportation usage surges, the economic efficiency of public transportation systems improves, prompting governments and transportation operators to invest in and enhance public transportation services. This, in turn, attracts more residents to opt for public transportation, diminishes reliance on private vehicles, and consequently reduces carbon emissions and pollutant emissions in the transportation sector. Moreover, the increase in public transportation usage frequency can alleviate road traffic congestion, thereby mitigating emissions stemming from congestion.
Incorporating the findings from both the first and second step tests of the mediating effect, we can conclude that the rationalization of industrial structure and per capita turnover play a fully mediating role, while per capita public transportation usage frequency plays a partially mediating role in the synergistic effect of the carbon market on “carbon reduction and pollution control” in the transportation sector. Hence, hypotheses H2a, H3a, and H4a find supports.
Additionally, we conducted mediation tests for several other variables, including the retail price index for fuel commodities, the proportion of the secondary industry, and the retail price index for transportation and communication. The results revealed no mediation effect for these three variables. Due to limitations in space, test results are not presented here. Detailed data and results can be obtained from the authors.

4.6. Robustness Tests

To ensure the reliability of the results in this study, robustness tests are performed by replacing the dependent variables and including/excluding control variables. The robustness test results are shown in Table 12.
(1)
Replacement of the dependent variables: CO emissions are used as a proxy for pollutant emissions, and the CO2 emissions in the transportation sector are recalculated. We converted various energy sources used in the transportation sector into standard coal equivalents and then multiplied them by the CO2 emission coefficient of standard coal.
(2)
Addition of control variables: Per capita urban road area (ROD) is a pivotal indicator for assessing the urban transportation infrastructure level. It can influence CO2 and pollutant emissions in the transportation sector by affecting traffic flow, transportation mode, and traffic congestion. Therefore, this study employed it as a proxy variable to measure the level of urban transportation infrastructure and included it in the model as a control variable.
(3)
Removal of control variables: The population size (PK) is removed from the model.
The results of the robustness tests are displayed in Table 12. Replacing the dependent variables and including/excluding control variables did not yield substantial changes in the significance levels or coefficient estimates for the variables. This indicates that the results of this study are robust.

5. Conclusions and Policy Implications

This study employs spatial econometric models to analyze the synergistic effects of carbon markets and environmental regulations on carbon reduction and pollution control in the transportation sector. Additionally, by investigating mediating mechanisms, this study delves into the policy transmission mechanisms for the synergistic effects in the transportation sector. The findings can be summarized as follows:
(1)
CO2 and pollutant emissions in the transportation sector are affected not just by endogenous temporal lag effects and spatial interaction effects but also by the influence of carbon markets and environmental regulations. Carbon markets generate a synergistic impact by simultaneously reducing both CO2 and pollutant emissions in the transportation sector, whereas environmental regulations can reduce pollutant emissions alone. Furthermore, both of them have the capacity to mitigate local pollutant emissions originating from the transportation sector. However, they may also result in the regional spillover effects of pollutant emissions in the transportation sector, which are expected to diminish gradually over time.
(2)
Due to significant disparities in economic development stages, the level of development in the transportation sector, and resource endowments among China’s eastern, central, and western regions, the synergistic effects of the carbon market and environmental regulation in the transportation sector may also differ across these regions. The spatial econometric models applicable to the eastern, central, and western regions are tested separately, and regional heterogeneity is analyzed. In resource-rich western regions, the carbon market may give rise to the “green paradox” in the transportation sector. In industry-intensive central regions, the carbon market can achieve synergistic effects. In economically developed eastern regions, the carbon market can reduce local pollutant emissions, whereas environmental regulations may result in pollutant spillovers.
(3)
We utilized the classic three-step mediating test to perform an analysis of the mediating mechanism. The carbon market achieves its synergistic effect of carbon reduction and pollution control in the transportation sector by facilitating the rationalization of industrial structure (fully mediating role), reducing turnover (fully mediating role), and boosting per capita public transportation usage frequency (partially mediating role). Furthermore, no mediating effects were observed for the retail price index for fuel commodities, the proportion of the secondary industry, and the retail price index for transportation and communication.
Based on the above conclusions, this study proposes the following policy implications: (1) While carbon markets and environmental regulations can effectively reduce emissions in the local transportation industry, they may inadvertently lead to a “pollution haven” effect in neighboring cities. Therefore, when formulating policies, it is essential to consider their impact on neighboring regions. (2) Carbon markets and environmental regulations have different effects on CO2 and pollutant emissions in the transportation sector in different regions due to differences in resources, the level of transportation industry development, and environmental conditions. Consequently, governments should customize pollution reduction and carbon reduction policies to align with the unique circumstances of each region.
Due to the limited availability of carbon emissions and pollutant emission data at the municipal level, this study had to focus on the provincial level. Future research can encompass an expansion of the study’s scope to incorporate more comprehensive municipal-level data and analysis.

Author Contributions

Conceptualization, B.X.; methodology, B.X. and C.X.; formal analysis, B.X. and C.X.; investigation, B.X.; resources, C.X.; data curation, B.X.; writing—original draft preparation, C.X.; writing—review and editing, B.X.; supervision, B.X. All authors have read and agreed to the published version of the manuscript.

Funding

This research was funded by the Humanities and Social Sciences Youth Foundation of the Ministry of Education of China (No. 22YJC790143), the Natural Science Foundation of Liaoning Province (No. 2023-BS-057), and the Postdoctoral Research Fund of Northeastern University (No. 20230205).

Institutional Review Board Statement

Not applicable.

Informed Consent Statement

Not applicable.

Data Availability Statement

The data presented in this study are openly available. The data source can be found in the main text.

Acknowledgments

The authors appreciate the various comments from colleagues at Northeastern University and LLIG at Beihang University.

Conflicts of Interest

The authors declare no conflict of interest.

References

  1. Lu, W.; Wu, H.; Yang, S.; Tu, Y.P. Effect of environmental regulation policy synergy on carbon emissions in China under consideration of the mediating role of industrial structure. J. Environ. Manag. 2022, 322, 116053. [Google Scholar] [CrossRef]
  2. Yi, H.; Zhao, L.; Qian, Y.; Zhou, L.; Yang, P. How to achieve synergy between carbon dioxide mitigation and air pollution control? Evidence from China. Sustain. Cities Soc. 2022, 78, 103609. [Google Scholar] [CrossRef]
  3. Xu, J.; Guo, J.; Peng, B.; Nie, H.; Kemp, R. Energy growth sources and future energy-saving potentials in passenger transportation sector in China. Energy 2020, 206, 118142. [Google Scholar] [CrossRef]
  4. Nie, H.; Kemp, R.; Fan, Y. Investigating the adoption of energy-saving measures in residential sector: The contribution to carbon neutrality of China and Europe. Resour. Conserv. Recycl. 2023, 190, 106791. [Google Scholar] [CrossRef]
  5. Nie, H.; Zhou, T.; Lu, H.; Huang, S. Evaluation of the efficiency of Chinese energy-saving household appliance subsidy policy: An economic benefit perspective. Energy Policy 2021, 149, 112059. [Google Scholar] [CrossRef]
  6. Wu, J.; Lv, L.; Sun, J.; Ji, X. A comprehensive analysis of China’s regional energy saving and emission reduction efficiency: From production and treatment perspectives. Energy Policy 2015, 84, 166–176. [Google Scholar] [CrossRef]
  7. Zhang, Q.; Gu, B.; Zhang, H.; Ji, Q. Emission reduction mode of China’s provincial transportation sector: Based on “Energy+” carbon efficiency evaluation. Energy Policy 2023, 177, 113556. [Google Scholar] [CrossRef]
  8. Fan, F.; Wang, H.; Fan, L. Health economic loss assessment of air pollution in Beijing-Tianjin-Hebei region. Ecol. Econ. 2019, 35, 157–163. [Google Scholar]
  9. Ruan, F.; Zeng, X. Health impact analysis of air pollution from China’s transportation industry in 2010~2018. China Environ. Sci. 2021, 41, 1480–1488. [Google Scholar]
  10. Zhu, J.; Li, X.; Fan, Y.; Shi, H.; Zhao, L. Effect of carbon market on air pollution: Firm-level evidence in China. Resour. Conserv. Recycl. 2022, 182, 106321. [Google Scholar] [CrossRef]
  11. Dong, Z.; Xia, C.; Fang, K.; Zhang, W. Effect of the carbon emissions trading policy on the co-benefits of carbon emissions reduction and air pollution control. Energy Policy 2022, 165, 112998. [Google Scholar] [CrossRef]
  12. Du, W.; Li, M. Assessing the impact of environmental regulation on pollution abatement and collaborative emissions reduction: Micro-evidence from Chinese industrial enterprises. Environ. Impact Assess. Rev. 2020, 82, 106382. [Google Scholar] [CrossRef]
  13. Wang, H.; Zhang, R. Effects of environmental regulation on CO2 emissions: An empirical analysis of 282 cities in China. Sustain. Prod. Consum. 2022, 29, 259–272. [Google Scholar] [CrossRef]
  14. Song, Y.; Yang, T.; Li, Z.; Zhang, X.; Zhang, M. Research on the direct and indirect effects of environmental regulation on environmental pollution: Empirical evidence from 253 prefecture-level cities in China. J. Clean. Prod. 2020, 269, 122425. [Google Scholar] [CrossRef]
  15. Yu, Y.; Jin, Z.X.; Jia, L. Low-carbon development path research on China’s power industry based on synergistic emission reduction between CO2 and air pollutants. J. Clean. Prod. 2020, 275, 123097. [Google Scholar] [CrossRef]
  16. Du, L.; Zhao, H.; Tang, H.; Jiang, P.; Ma, W. Analysis of the synergistic effects of air pollutant emission reduction and carbon emissions at coal-fired power plants in China. Environ. Prog. Sustain. 2021, 40, 13630. [Google Scholar] [CrossRef]
  17. Zhang, B.; Wang, N.; Yan, Z.; Sun, C. Does a mandatory cleaner production audit have a synergistic effect on reducing pollution and carbon emissions? Energy Policy 2023, 182, 113766. [Google Scholar] [CrossRef]
  18. Sheng, M.S.; Sharp, B.; Yi, M.; Wen, L.; Suomalainen, K. A cointegration analysis of New Zealand’s economic development, fossil fuel usage and transport emissions. Case Stud. Transp. Policy 2022, 10, 2497–2505. [Google Scholar] [CrossRef]
  19. Zhao, P.; Zeng, L.; Li, P.; Lu, H.; Hu, H.; Li, C.; Zheng, M.; Li, H.; Yu, Z.; Yuan, D.; et al. China’s transportation sector carbon dioxide emissions efficiency and its influencing factors based on the EBM DEA model with undesirable outputs and spatial Durbin model. Energy 2022, 238, 121934. [Google Scholar] [CrossRef]
  20. Zeng, Q.H.; He, L.Y. Study on the synergistic effect of air pollution prevention and carbon emission reduction in the context of” dual carbon”: Evidence from China’s transport sector. Energy Policy 2023, 173, 113370. [Google Scholar] [CrossRef]
  21. Singh, R.; Weninger, Q. Cap-and-trade under transactions costs and factor irreversibility. Econ. Theory 2017, 64, 357–407. [Google Scholar] [CrossRef]
  22. Zhao, X.; Yin, H.; Zhao, Y. Impact of environmental regulations on the efficiency and CO2 emissions of power plants in China. Appl. Energy 2015, 149, 238–247. [Google Scholar] [CrossRef]
  23. Zhang, K.; Zhang, Z.Y.; Liang, Q.M. An empirical analysis of the green paradox in China: From the perspective of fiscal decentralization. Energy Policy 2017, 103, 203–211. [Google Scholar] [CrossRef]
  24. Balsalobre-Lorente, D.; Gokmenoglu, K.K.; Taspinar, N.; Cantos-Cantos, J.M. An approach to the pollution haven and pollution halo hypotheses in MINT countries. Environ. Sci. Pollut. Res. 2019, 26, 23010–23026. [Google Scholar] [CrossRef]
  25. Wen, Z.; Ye, B. Analyses of mediating effects: The development of methods and models. Adv. Psychol. Sci. 2014, 22, 731. [Google Scholar] [CrossRef]
  26. Zheng, B.; Huo, H.; Zhang, Q.; Yao, Z.L.; Wang, X.T.; Yang, X.F.; Liu, H.; He, K.B. High-resolution mapping of vehicle emissions in China in 2008. Atmos. Chem. Phys. 2014, 14, 9787–9805. [Google Scholar] [CrossRef]
  27. Ma, G.; Xie, X.; Liu, S. How does environmental regulation affect the city’s domestic value-added rate of export? New spatial evidence from Chinese cities. J. Clean. Prod. 2023, 420, 138284. [Google Scholar] [CrossRef]
  28. Yang, L.; Zhang, J.; Zhang, Y. Environmental regulations and corporate green innovation in China: The role of city leaders’ promotion pressure. Int. J. Environ. Res. Public Health 2021, 18, 7774. [Google Scholar] [CrossRef]
  29. Huang, L.; Lei, Z. How environmental regulation affect corporate green investment: Evidence from China. J. Clean. Prod. 2021, 279, 123560. [Google Scholar] [CrossRef]
  30. Xie, P.; Xu, Y.; Tan, X.; Tan, Q. How does environmental policy stringency influence green innovation for environmental managements? J. Environ. Manag. 2023, 338, 117766. [Google Scholar] [CrossRef]
  31. Luo, Y.; Salman, M.; Lu, Z. Heterogeneous impacts of environmental regulations and foreign direct investment on green innovation across different regions in China. Sci. Total Environ. 2021, 759, 143744. [Google Scholar] [CrossRef] [PubMed]
  32. Hou, J.; Teo, T.S.; Zhou, F.; Lim, M.K.; Chen, H. Does industrial green transformation successfully facilitate a decrease in carbon intensity in China? An environmental regulation perspective. J. Clean. Prod. 2018, 184, 1060–1071. [Google Scholar] [CrossRef]
  33. Guo, L.Y.; Feng, C. Are there spillovers among China’s pilots for carbon emission allowances trading? Energy Econ. 2021, 103, 105574. [Google Scholar] [CrossRef]
  34. Wang, X.Q.; Su, C.W.; Lobonţ, O.R.; Li, H.; Nicoleta-Claudia, M. Is China’s carbon trading market efficient? Evidence from emissions trading scheme pilots. Energy 2022, 245, 123240. [Google Scholar] [CrossRef]
  35. Lin, B.; Benjamin, N.I. Influencing factors on carbon emissions in China transport industry. A new evidence from quantile regression analysis. J. Clean. Prod. 2017, 150, 175–187. [Google Scholar] [CrossRef]
  36. Jiang, Y.; Bai, H.; Feng, X.; Luo, W.; Huang, Y.; Xu, H. How do geographical factors affect energy-related carbon emissions? A Chinese panel analysis. Ecol. Indic. 2018, 93, 1226–1235. [Google Scholar] [CrossRef]
  37. Xu, B.; Lin, B. Factors affecting carbon dioxide (CO2) emissions in China’s transport sector: A dynamic nonparametric additive regression model. J. Clean. Prod. 2015, 101, 311–322. [Google Scholar] [CrossRef]
  38. Chen, H.; Zhang, X.; Wu, R.; Cai, T. Revisiting the environmental Kuznets curve for city-level CO2 emissions: Based on corrected NPP-VIIRS nighttime light data in China. J. Clean. Prod. 2020, 268, 121575. [Google Scholar] [CrossRef]
  39. Kacprzyk, A.; Kuchta, Z. Shining a new light on the environmental Kuznets curve for CO2 emissions. Energy Econ. 2020, 87, 104704. [Google Scholar] [CrossRef]
  40. Yi, J.; Hou, Y.; Zhang, Z.Z. The impact of foreign direct investment (FDI) on China’s manufacturing carbon emissions. Innov. Green Dev. 2023, 2, 100086. [Google Scholar] [CrossRef]
  41. Jiang, H.; Yin, J.; Qiu, Y.; Zhang, B.; Ding, Y.; Xia, R. Industrial carbon emission efficiency of cities in the pearl river basin: Spatiotemporal dynamics and driving forces. Land 2022, 11, 1129. [Google Scholar] [CrossRef]
  42. Hu, W.; Wang, D. How does environmental regulation influence China’s carbon productivity? An empirical analysis based on the spatial spillover effect. J. Clean. Prod. 2020, 257, 120484. [Google Scholar] [CrossRef]
  43. Frutos-Bencze, D.; Bukkavesa, K.; Kulvanich, N. Impact of FDI and trade on environmental quality in the CAFTA-DR region. Appl. Econ. Lett. 2017, 24, 1393–1398. [Google Scholar] [CrossRef]
  44. Lin, S.; Wang, J. Carbon emission reduction effect of transportation structure adjustment in China: An approach on multi-objective optimization model. Environ. Sci. Pollut. Res. 2022, 29, 6166–6183. [Google Scholar] [CrossRef]
  45. Guo, M.; Chen, S.; Zhang, J.; Meng, J. Environment Kuznets curve in transport sector’s carbon emission: Evidence from China. J. Clean. Prod. 2022, 371, 133504. [Google Scholar] [CrossRef]
  46. Fan, F.; Lei, Y. Decomposition analysis of energy-related carbon emissions from the transportation sector in Beijing. Transp. Res. D Transp. Environ. 2016, 42, 135–145. [Google Scholar] [CrossRef]
  47. Solaymani, S. CO2 emissions patterns in 7 top carbon emitter economies: The case of transport sector. Energy 2019, 168, 989–1001. [Google Scholar] [CrossRef]
  48. Sarkodie, S.A.; Adams, S.; Owusu, P.A.; Leirvik, T.; Ozturk, I. Mitigating degradation and emissions in China: The role of environmental sustainability, human capital and renewable energy. Sci. Total Environ. 2020, 719, 137530. [Google Scholar] [CrossRef]
  49. Liu, J.; Li, S.; Ji, Q. Regional differences and driving factors analysis of carbon emission intensity from transport sector in China. Energy 2021, 224, 120178. [Google Scholar] [CrossRef]
  50. Zhang, J.; Zeng, W.; Wang, J.; Yang, F.; Jiang, H. Regional low-carbon economy efficiency in China: Analysis based on the Super-SBM model with CO2 emissions. J. Clean. Prod. 2017, 163, 202–211. [Google Scholar] [CrossRef]
  51. Xie, C.; Bai, M.; Wang, X. Accessing provincial energy efficiencies in China’s transport sector. Energy Policy 2018, 123, 525–532. [Google Scholar] [CrossRef]
  52. Montoya-Torres, J.; Akizu-Gardoki, O.; Alejandre, C.; Iturrondobeitia, M. Towards sustainable passenger transport: Carbon emission reduction scenarios for a medium-sized city. J. Clean. Prod. 2023, 418, 138149. [Google Scholar] [CrossRef]
  53. National Bureau of Statistics. China Statistical Yearbook; China Statistical Publishing House: Beijing, China, 2005–2018.
  54. National Bureau of Statistics. China Energy Statistics Yearbook; China Statistics Press Ltd.: Beijing, China, 2005–2018.
  55. Li, M.; Liu, H.; Geng, G.; Hong, C.; Liu, F.; Song, Y.; Tong, D.; Zheng, B.; Cui, H.; Man, H.; et al. Anthropogenic emission inventories in China: A review. Natl. Sci. Rev. 2017, 4, 834–866. [Google Scholar] [CrossRef]
  56. Wang, J.; Li, Z.; Wu, T.; Wu, S.; Yin, T. The decoupling analysis of CO2 emissions from power generation in Chinese provincial power sector. Energy 2022, 255, 124488. [Google Scholar] [CrossRef]
  57. Radmehr, R.; Henneberry, S.R.; Shayanmehr, S. Renewable energy consumption, CO2 emissions, and economic growth nexus: A simultaneity spatial modeling analysis of EU countries. Struct. Chang. Econ. Dyn. 2021, 57, 13–27. [Google Scholar] [CrossRef]
  58. Li, J.; Li, S. Energy investment, economic growth and carbon emissions in China—Empirical analysis based on spatial Durbin model. Energy Policy 2020, 140, 111425. [Google Scholar] [CrossRef]
  59. Feng, Y.; Wang, X. Effects of urban sprawl on haze pollution in China based on dynamic spatial Durbin model during 2003–2016. J. Clean. Prod. 2020, 242, 118368. [Google Scholar] [CrossRef]
  60. Wang, S.; Huang, Y.; Zhou, Y. Spatial spillover effect and driving forces of carbon emission intensity at the city level in China. J. Geogr. Sci. 2019, 29, 231–252. [Google Scholar] [CrossRef]
Figure 1. Research framework diagram.
Figure 1. Research framework diagram.
Sustainability 15 14651 g001
Figure 2. The steps of the mediation effect test.
Figure 2. The steps of the mediation effect test.
Sustainability 15 14651 g002
Figure 3. Localized Moran scatter plot of CO2 and pollutant emissions in the transportation sector.
Figure 3. Localized Moran scatter plot of CO2 and pollutant emissions in the transportation sector.
Sustainability 15 14651 g003
Table 1. Variable definitions.
Table 1. Variable definitions.
VariablesDefinitionData Source
Dependent variablesCarbon emissionsCEMeasurement based on the “top–down” approachChina Energy Statistical Yearbook
Pollutant emissionsPOSum of pollution equivalents of seven pollutantsChina anthropogenic emissions inventory published by the MEIC team
Independent variablesEnvironmental regulationsLPEEnvironmental protection investment in environmental pollution control by each provinceChina Environmental Statistics Yearbook
Carbon marketsCMIf a province conducts a carbon market pilot in a particular year, it is assigned a value of 1; otherwise, 0.“Carbon Emission Right Trading Pilot Work” issued by the General Office of the NDRC
Control variablesEnergy efficiency of the transportation sectorEEEnergy consumption per unit of value-added in the transportation sectorChina Statistical Yearbook and IPCC National Greenhouse Gas Emission Inventory Guidelines.
Economic development levelPGDPThe square of per capita GDPChina Statistical Yearbook
Openness levelFGThe ratio of FDI to GDPChina Statistical Yearbook (provinces)
Transportation structureSTRThe ratio of road transportation turnover to total turnover. China Statistical Yearbook
Population sizePKThe year-end population of each province or regionChina Statistical Yearbook
Energy structureESThe consumption of fuel oil relative to total energy consumption.China Statistical Yearbook on Environment
Mediating variablesIndustrial structure rationalizationRISThe Theil index, which is measured using GDP and employmentChina Statistical Yearbook
Per capita turnoverTRThe ratio of total turnover to the total population. China Statistical Yearbook
Per capita public transportation frequencyPTFThe ratio of total public transport passenger transportation to the total populationChina Statistical Yearbook on Environment
Table 2. Energy carbon emission factors.
Table 2. Energy carbon emission factors.
EnergyAverage Lower Heating Value (kJ/kg or kJ/m3)Carbon Content (CO2/TJ)Carbon Oxidation Rates (%)EnergyAverage Lower Heating Value (kJ/kg or kJ/m3)Carbon Content (CO2/TJ)Carbon Oxidation Rates (%)
Raw coal20,90396.690.94Fuel oil41,81677.370.98
Cleaned coal26,34493.170.94Liquefied
Petroleum gas
50,17963.070.98
Other washed coal836393.170.94Refinery gas45,99866.730.98
Briquettes1589123.200.9Other petroleum products40,20073.330.98
Coke28,435108.170.93Liquefied
Natural gas
44,20063.070.98
Crude oil41,81473.700.98Coke oven gas16,72644.370.98
Gasoline43,08069.300.98Converter
Gas
5227181.870.98
Kerosene43,07071.870.98Natural gas32,23856.100.99
Diesel oil42,65274.070.98
Table 3. Equivalent value of pollutants.
Table 3. Equivalent value of pollutants.
Atmospheric PollutantsNOxSO2VOCCONH3PM10BC
Equivalent value of pollutants (kg)0.950.950.9516.79.0940.59
Table 4. Standard coal conversion factor for each energy source.
Table 4. Standard coal conversion factor for each energy source.
EnergyConversion CoefficientEnergyConversion CoefficientEnergyConversion CoefficientEnergyConversion Coefficient
Raw coal0.7143 kgce/kgCoke oven gas0.5714 kgce/m3Diesel oil1.4571 kgce/kgNatural gas1.1000 kgce/m3
Cleaned coal0.9000 kgce/kgConverter gas0.1786 kgce/m3Fuel oil1.4286 kgce/kgLiquefied natural gas1.7570 kgce/m3
Other washed coal0.2857 kgce/kgCrude oil1.4286 kgce/kgLiquefied petroleum gas1.7143 kgce/kgHeat0.0341 kgce/MJ
Briquettes0.5000 kgce/kgGasoline1.4714 kgce/kgRefinery gas1.5714 kgce/kgElectricity0.1229 kgce/kWh
Coke0.5714 kgce/kgKerosene1.4714 kgce/kgOther petroleum
Products
1.4000 kgce/kg
Table 5. Statistical description.
Table 5. Statistical description.
VariableObsMeanStd.devMinMax
Ln(CE)4207.4059 0.7525 4.3897 8.9423
Ln(PO)42012.9698 0.7429 11.1412 14.3646
CM4200.0905 0.2872 0.0000 1.0000
Ln(LPE)4203.4911 1.1575 −0.6931 6.0827
Ln(TR)4209.1916 0.7384 7.5741 11.8382
RIS4200.2437 0.1792 0.0172 1.0425
PTF42064.9425 63.8572 14.5106 378.7176
Ln(EE)4208.9575 0.4355 8.0255 10.1701
PGDP42020.7019 29.6315 0.2723 227.8953
FG4200.0249 0.0217 0.0000 0.1322
STR4200.3106 0.1726 0.0058 0.6856
Ln(PK)4208.1782 0.7488 6.2971 9.4212
ES4200.0081 0.0137 0.0000 0.0822
Table 6. Global Moran’s I index of CO2 and pollutant emissions in the transportation sector.
Table 6. Global Moran’s I index of CO2 and pollutant emissions in the transportation sector.
YearMoran’s I YearMoran’s I
Ln(CE)Ln(PO)Ln(CE)Ln(PO)
20050.025 *0.01720120.032 *0.013
20060.032 *0.031 *20130.043 *0.016
20070.032 *0.033 *20140.036 *0.017
20080.029 *0.025 *20150.043 **0.016
20090.026 *0.027 *20160.040 **0.018
20100.027 *0.027 *20170.040 **0.025 *
20110.030 *0.02420180.040 **0.026 *
Note: ***, **, and * indicate that the statistic is significant at the 1%, 5%, and 10% levels, respectively.
Table 7. Results of model selection tests.
Table 7. Results of model selection tests.
TestsNationwideWestern RegionMiddle RegionEastern Region
Ln(CE)Ln(PO)Ln(CE)Ln(PO)Ln(CE)Ln(PO)Ln(CE)Ln(PO)
LM testLM-Error28.13170.480.278.363.290.000.2520.27
****** **** ***
R-LM-Error7.75219.231.5211.134.730.140.0013.52
****** ***** ***
LM-Lag39.395.5641.3054.853.1615.3110.9784.53
*********************
R-LM-Lag19.0154.3142.5657.634.6015.4510.7277.78
***********************
LR testSpatial fix50.6532.2888.6663.0075.2171.08156.02104.40
************************
Time fix738.10667.12281.95226.7999.26185.22372.82179.72
************************
Test resultDouble-fixed effectDouble-fixed effectDouble-fixed effectDouble-fixed effectDouble-fixed effectDouble-fixed effectDouble-fixed effectDouble-fixed effect
Hausman test46.24198.84144.2819.59−28.17127.49345.43558.42
***********-*********
Test resultFixed effectFixed effectFixed effectFixed effectFixed effectFixed effectFixed effectFixed effect
Wald testLag45.9471.07-32.8329.72--165.22
***************
Error45.4565.81-30.5317.25--157.37
**************
Test resultSpatial Durbin modelSpatial Durbin modelSpatial lag modelSpatial Durbin modelSpatial Durbin modelSpatial lag modelSpatial lag modelSpatial Durbin model
Note: ***, **, and * indicate that the statistic is significant at the 1%, 5%, and 10% levels, respectively.
Table 8. Effects of carbon markets and environmental regulations.
Table 8. Effects of carbon markets and environmental regulations.
Dependent VariablesLn(CE)Ln(PO)
(1)(2)
Ln(CE) L1.0.6870 ***
(0.0342)
W*Ln(CE) L1.3.2321 ***
(0.2547)
Ln(PO) L1. 1.1301 ***
(0.0242)
W*Ln(PO) L1. 3.4192 ***
(0.2010)
CM−0.1588 ***−0.0422 ***
(0.0189)(0.0102)
Ln(LPE)−0.0089−0.0504 ***
(0.0072)(0.0041)
W*CM−0.0571−0.3719 ***
(0.1226)(0.0663)
W*Ln(LPE)−0.2117 ***−0.4641 ***
(0.0534)(0.0305)
ControlsYesYes
Spatial-rho2.6632 ***1.9197 ***
(0.2031)(0.1650)
Variance0.0049 ***0.0013 ***
(0.0003)(0.0001)
Note: (1) ***, **, and * indicate that the statistic is significant at the 1%, 5%, and 10% levels, respectively. (2) Robust standard errors are in parentheses.
Table 9. Decomposition of the effects of carbon markets and environmental regulations.
Table 9. Decomposition of the effects of carbon markets and environmental regulations.
Dependent VariablesLn(CE)Ln(PO)
(1)(2)
Short-termDirect effectsCM−0.2301−0.0369 ***
(0.5410)(0.0125)
Ln(LPE)−0.0432−0.0454 ***
(0.2592)(0.0108)
Indirect effectsCM0.36240.5003 ***
(0.5456)(0.1195)
Ln(LPE)0.17530.6164 ***
(0.2613)(0.1064)
Total effectsCM0.1323 *0.4634 ***
(0.0758)(0.1238)
Ln(LPE)0.1321 ***0.5709 ***
(0.0383)(0.1150)
Long-termDirect effectsCM−0.1722−0.0330
(15.7335)(0.0405)
Ln(LPE)0.0484−0.0394
(1.5887)(0.0281)
Indirect effectsCM0.21120.1088 ***
(15.7331)(0.0416)
Ln(LPE)−0.00950.1330 ***
(1.5888)(0.0301)
Total effectsCM0.0390 *0.0758 ***
(0.0218)(0.0125)
Ln(LPE)0.0388 ***0.0936 ***
(0.0104)(0.0066)
Note: (1) ***, **, and * indicate that the statistic is significant at the 1%, 5%, and 10% levels, respectively. (2) Robust standard errors are in parentheses.
Table 10. Effects of carbon markets and environmental regulations in different regions.
Table 10. Effects of carbon markets and environmental regulations in different regions.
Dependent VariablesWestern RegionMiddle RegionEastern Region
Ln(CE)Ln(PO)Ln(CE)Ln(PO)Ln(CE)Ln(PO)
(1)(2)(3)(4)(5)(6)
CM0.1343 **0.1555 ***−0.1677 **−0.1230 **0.0055−0.0517 **
(0.0646)(0.0473)(0.0747)(0.0517)(0.0201)(0.0234)
Ln(LPE)0.0055−0.0194*0.01020.02020.00490.0341 ***
(0.0155)(0.0110)(0.0119)(0.0138)(0.0082)(0.0093)
Direct effectsCM0.1409 **0.1689 ***−0.1611 ***−0.1226 **0.0066−0.0705 **
(0.0687)(0.0444)(0.0599)(0.0537)(0.0215)(0.0290)
Ln(LPE)0.0051−0.01560.00190.01990.00470.0342 ***
(0.0154)(0.0097)(0.0140)(0.0135)(0.0083)(0.0607)
Indirect effectsCM−0.0492−0.1112−0.01550.0145−0.00250.0803 *
(00313)(0.1514)(0.1422)(0.0235)(0.0079)(0.0441)
Ln(LPE)−0.0018−0.04410.0299−0.0029−0.0017−0.0023
(0.0055)(0.0366)(0.0254)(0.0042)(0.0030)(0.0205)
Total effectsCM0.0917 *0.0577−0.1765−0.1081**0.00400.0098
(0.0470)(0.1656)(0.1670)(0.0544)(0.0139)(0.0357)
Ln(LPE)0.0033−0.05980.03180.01700.00300.0319 *
(0.0104)(0.0394)(0.0214)(0.0116)(0.0054)(0.0175)
ControlsYesYesYesYesYesYes
Variance0.0070 ***0.0023 ***0.0019 ***0.0029 ***0.0027 ***0.0030 ***
(0.0008)(0.0003)(0.0003)(0.0004)(0.0003)(0.0003)
Note: (1) ***, **, and * indicate that the statistic is significant at the 1%, 5%, and 10% levels, respectively. (2) Robust standard errors are in parentheses.
Table 11. Transmission mechanism of the synergistic reduction effects of the carbon market.
Table 11. Transmission mechanism of the synergistic reduction effects of the carbon market.
First Step: Equation (3)
Second Step: Equation (4)
Dependent variablesRISLn(TR)PTF
(1)(2)(3)
CM0.0478 ***−0.4983 ***0.1010 **
(0.0179)(0.0412)(0.0465)
W*CM0.4127 ***−0.1784−0.1962
(0.1148)(0.2662)(0.3012)
ControlsYesYesYes
Spatial-rho0.11831.2493 ***0.7618 ***
(0.1624)(0.1798)(0.2331)
Variance0.0039 ***0.0225 ***0.0292 ***
(0.0003)(0.0015)(0.0020)
Third Step: Equation (5)
Ln(CE)Ln(PO)Ln(CE)Ln(PO)Ln(CE)Ln(PO)
(1)(2)(3)(4)(5)(6)
CM0.00230.0140−0.0291−0.0097−0.1301 ***−0.0337 ***
(0.0199)(0.0104)(0.0184)(0.0096)(0.0192)(0.0103)
RIS−0.1247 ***−0.0717 ***
(0.0395)(0.0232)
Ln(TR) 0.0602 ***0.0559 ***
(0.0165)(0.0102)
PTF −0.1686 ***−0.0670 ***
(0.0212)(0.0114)
W*CM0.2806 **−0.02550.0922−0.1901 ***0.1274−0.1796 ***
(0.1337)(0.0686)(0.1186)(0.0619)(0.1239)(0.0665)
W*ln(TR) 0.2508 **0.2740 ***
(0.0996)(0.0526)
W*RIS−0.5852 ***−0.5527 ***
(0.2261)(0.1150)
W*PTF −0.7428 ***−0.3085 ***
(0.1649)(0.0873)
ControlsYesYesYesYesYesYes
Spatial-rho0.4434 **0.01480.4681 **0.12561.5030 ***1.1035 ***
(0.2241)(0.1820)(0.2250)(0.1910)(0.1993)(0.1640)
Variance0.0044 ***0.0012 ***0.0043 ***0.0012 ***0.0048 ***0.0013 ***
(0.0003)(0.0001)(0.0003)(0.0001)(0.0003)(0.0001)
Note: (1) ***, **, and * indicate that the statistic is significant at the 1%, 5%, and 10% levels, respectively. (2) Robust standard errors are in parentheses.
Table 12. Robustness test.
Table 12. Robustness test.
Dependent VariablesReplacement of the Dependent VariableAddition of Control VariablesRemoval of Control Variables
Ln(CE)Ln(PO)Ln(CE)Ln(PO)Ln(CE)Ln(PO)
CM−0.1267 ***−0.1206 ***−0.1230 ***−0.0446 ***−0.1308 ***−0.0357 ***
(0.0192)(0.0090)(0.0190)(0.0101)(0.0186)(0.0100)
Ln(LPE)0.0012−0.0542 ***−0.0038−0.0285 ***−0.0018−0.0174 ***
(0.0073)(0.0036)(0.0074)(0.0041)(0.0072)(0.0040)
Ln(EE)−0.2648 ***0.1792 ***−0.2813 ***0.1013 ***−0.2768 ***0.0732 ***
(0.0329)(0.0134)(0.0322)(0.0151)(0.0301)(0.0136)
PGDP0.0018 ***0.0009 ***0.0011 ***−0.0005 **0.0013 ***0.0004 *
(0.0004)(0.0002)(0.0004)(0.0002)(0.0003)(0.0002)
FG−0.6394 *−1.1404 ***−0.6966 **−0.7758 ***−0.8285 **−0.3902 **
(0.3458)(0.1645)(0.3389)(0.1843)(0.3379)(0.1853)
STR−0.3396 ***−0.3926 ***−0.3300 ***−0.3128 ***−0.3623 ***−0.1352 ***
(0.0713)(0.0338)(0.0698)(0.0380)(0.0659)(0.0358)
Ln(PK)0.17320.2950 ***0.3142 **0.1590 *
(0.1521)(0.0737)(0.1517)(0.0848)
ES8.6053 ***10.5173 ***8.6901 ***7.3861 ***8.1662 ***3.5929 ***
(0.7258)(0.3537)(0.7115)(0.4026)(0.6943)(0.3956)
ROD −0.0015−0.0047 ***
(0.0031)(0.0017)
Spatial-rho1.2929 ***3.0015 ***1.9758 ***1.1624 ***1.3372 ***0.7629 ***
(0.2060)(0.1512)(0.2034)(0.1682)(0.2027)(0.1653)
Variance0.0050 ***0.0010 ***0.0048 ***0.0013 ***0.0048 ***0.0014 ***
(0.0003)(0.0001)(0.0003)(0.0001)(0.0003)(0.0001)
Note: (1) ***, **, and * indicate that the statistic is significant at the 1%, 5%, and 10% levels, respectively. (2) Robust standard errors are in parentheses.
Disclaimer/Publisher’s Note: The statements, opinions and data contained in all publications are solely those of the individual author(s) and contributor(s) and not of MDPI and/or the editor(s). MDPI and/or the editor(s) disclaim responsibility for any injury to people or property resulting from any ideas, methods, instructions or products referred to in the content.

Share and Cite

MDPI and ACS Style

Xiao, B.; Xu, C. Can Policy Instruments Achieve Synergies in Mitigating Air Pollution and CO2 Emissions in the Transportation Sector? Sustainability 2023, 15, 14651. https://doi.org/10.3390/su151914651

AMA Style

Xiao B, Xu C. Can Policy Instruments Achieve Synergies in Mitigating Air Pollution and CO2 Emissions in the Transportation Sector? Sustainability. 2023; 15(19):14651. https://doi.org/10.3390/su151914651

Chicago/Turabian Style

Xiao, Bowen, and Chengyao Xu. 2023. "Can Policy Instruments Achieve Synergies in Mitigating Air Pollution and CO2 Emissions in the Transportation Sector?" Sustainability 15, no. 19: 14651. https://doi.org/10.3390/su151914651

APA Style

Xiao, B., & Xu, C. (2023). Can Policy Instruments Achieve Synergies in Mitigating Air Pollution and CO2 Emissions in the Transportation Sector? Sustainability, 15(19), 14651. https://doi.org/10.3390/su151914651

Note that from the first issue of 2016, this journal uses article numbers instead of page numbers. See further details here.

Article Metrics

Back to TopTop