Evaluation of the Methane (CH4) Generation Rate Constant (k Value) of Municipal Solid Waste (MSW) in Mogadishu City, Somalia
Abstract
1. Introduction
2. Methodology
2.1. Research Location and Sampling Procedure
- ▪ Jilaal: December to March—Warm, sunny, and dry.
- ▪ Gu: March to June—Heavy rains.
- ▪ Haggai: July to September—Cool, and cloudy with rain showers.
- ▪ Deyr: September–December—Short rains.
2.2. MSW Daily Generation Assessment
2.3. Characterization of MSW
2.3.1. Waste Sorting
- ➢
- Putrescible materials (Food remnants, leaves, grasses etc.);
- ➢
- Plastics;
- ➢
- Paper (cartons and other paper to be separated);
- ➢
- Metals (ferrous and non-ferrous to be separated);
- ➢
- Glass;
- ➢
- Textiles;
- ➢
- Fines (Ash, dust etc.);
- ➢
- Miscellaneous (wood, discarded hardware, discarded shoes, and other footwear, dry cells, batteries etc.).
2.3.2. Bulk Density
2.3.3. Moisture Content
2.3.4. Statistical Analysis
2.4. Evaluation of Methane Generation Rate Constant (k Value)
3. Results and Discussion
3.1. MSW Daily Generation Assessment
3.2. Characterization of MSW
3.2.1. Bulk Density
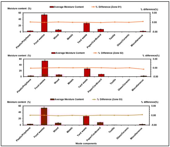
3.2.2. Moisture Content
3.2.3. Statistical Analysis
3.3. Evaluation of Methane Generation Rate Constant (k Value)
4. Conclusions
Author Contributions
Funding
Institutional Review Board Statement
Informed Consent Statement
Data Availability Statement
Acknowledgments
Conflicts of Interest
References
- USEPA. LFG Energy Project Development Handbook, Chapter 2: Landfill Gas Modeling; US Environmental Protection Agency: Washington, DC, USA, 2017.
- Wangyao, K.; Yamada, M.; Endo, K.; Ishigaki, T.; Naruoka, T.; Towprayoon, S.; Chiemchaisri, C.; Sutthasil, N. Methane Generation Rate Constant in Tropical Landfill. J. Sustain. Energy Environ. 2010, 1, 181–184. [Google Scholar]
- Ahsan, A.; Alamgir, M.; El-Sergany, M.M.; Shams, S.; Rowshon, M.K.; Daud, N.N.N. Assessment of Municipal Solid Waste Management System in a Developing Country. Chin. J. Eng. 2014, 2014, 561935. [Google Scholar] [CrossRef]
- Mohsen, R.A.; Abbassi, B. Prediction of greenhouse gas emissions from Ontario’s solid waste landfills using fuzzy logic based model. Waste Manag. 2020, 102, 743–750. [Google Scholar] [CrossRef]
- Dhaqane, A.I.; Fared Murshed, M.; Mourad, K.A.; Sabariah, T.; Manan, B.A. Assessment of the Streamflow and Evapotranspiration at Wabiga Juba Basin Using a Water Evaluation and Planning (WEAP) Model. Water 2023, 15, 2594. [Google Scholar] [CrossRef]
- Emkes, H.; Coulon, F.; Wagland, S. A decision support tool for landfill methane generation and gas collection. Waste Manag. 2015, 43, 307–318. [Google Scholar] [CrossRef]
- Amini, H.R.; Reinhart, D.R.; Mackie, K.R. Determination of first-order landfill gas modeling parameters and uncertainties. Waste Manag. 2012, 32, 305–316. [Google Scholar] [CrossRef]
- Miezah, K.; Obiri-Danso, K.; Kádár, Z.; Fei-Baffoe, B.; Mensah, M.Y. Municipal solid waste characterization and quantification as a measure towards effective waste management in Ghana. Waste Manag. 2015, 46, 15–27. [Google Scholar] [CrossRef]
- Collivignarelli, C.; Vaccari, M.; Di Bella, V.; Giardina, D. Techno-economic evaluation for the improvement of MSW collection in Somaliland and Puntland. Waste Manag. Res. 2011, 29, 521–531. [Google Scholar] [CrossRef]
- Earle, L. Mogadishu: City Scoping Study. 2021. Available online: https://www.african-cities.org/wp-content/uploads/2021/12/ACRC_Mogadishu_City-Scoping-Study.pdf (accessed on 1 January 2022).
- Kawai, K.; Tasaki, T. Revisiting estimates of municipal solid waste generation per capita and their reliability. J. Mater. Cycles Waste Manag. 2016, 18, 1–13. [Google Scholar] [CrossRef]
- Kabil, A.; Deria, M.; Jiir, H.; Ahmed, A.; Burburshe, A. Environmental Health Situation Analysis in Somalia 2010; WHO: Geneva, Switzerland, 2010; Available online: https://applications.emro.who.int/dsaf/EMROPUB_2011_EN_735.pdf (accessed on 18 May 2014).
- Assefa, M.; Mohammed, M. Solid Waste Generation Rate and Characterization Study for Laga Tafo Laga Dadi Town, Oromia, Ethiopia. Int. J. Environ. Prot. Policy 2017, 5, 84–93. [Google Scholar] [CrossRef]
- Ndum, A.E. Bottom-Up Approach to Sustainable Solid Waste Management in African Countries. Ph.D. Thesis, Brandenburg University of Technology, Cottbus, Germany, 2013; pp. 1–180. [Google Scholar]
- Tsheleza, V.; Ndhleve, S.; Kabiti, H.M.; Nakin, M.D.V. Household solid waste quantification, characterisation and management practices in Mthatha City, South Africa Household solid waste quantification, characterisation and management practices in Mthatha City, South Africa Vuyayo Tsheleza Simbarashe Ndhl. Int. J. Environ. Waste Manag. 2022, 207–229. [Google Scholar] [CrossRef]
- Ferejaa, W.M.; Chemeda, D.D. Status, characterization, and quantification of municipal solid waste as a measure towards effective solid waste management: The case of Dilla Town, Southern Ethiopia. J. Air Waste Manag. Assoc. 2022, 72, 187–201. [Google Scholar] [CrossRef]
- Nikuze, M.J.; Munderere, E.; Uliho, A.; Munyensanga, P.; Niyigaba, V. Quantification of Solid Waste Destined in Kigali City Nduba Dumpsite. Open Access Libr. J. 2021, 8, 106679. [Google Scholar] [CrossRef]
- Nyumah, F.; Charles, J.F.; Bamgboye, I.A.; Aremu, A.K.; Eisah, J.S. Generation, Characterization and Management Practices of Household Solid Wastes in Cowfield, Paynesville City, Liberia. J. Geosci. Environ. Prot. 2021, 09, 113–127. [Google Scholar] [CrossRef]
- Pathak, D.R.; Mainali, B.; Abo, H.; Naga, E.; Angove, M.; Kong, I. Quantification and characterization of the municipal solid waste for sustainable waste management in newly formed municipalities of Nepal. Waste Manag. Res. 2020, 38. [Google Scholar] [CrossRef]
- Noufal, M.; Yuanyuan, L.; Maalla, Z.; Adipah, S. Determinants of Household Solid Waste Generation and Composition in Homs City, Syria. J. Environ. Public Health 2020, 2020, 7460356. [Google Scholar] [CrossRef]
- Asgari, A.R.; Ghorbanian, T.; Dadashzadeh, D.; Khalili, F.; Yari, A.R.; Bagheri, A.; Yousefi, N.; Ghadiri, S.K. Solid Waste Characterization and Management Practices in Rural Communities, Tehran and Alborz (Iran). J. Solid Waste Technol. Manag. 2019, 45, 111–118. [Google Scholar] [CrossRef]
- Dikole, R.; Letshwenyo, M.W. Household Solid Waste Generation and Composition: A Case Study in Palapye, Botswana. J. Environ. Prot. 2020, 11, 110–123. [Google Scholar] [CrossRef]
- Rawat, S.; Daverey, A. Characterization of household solid waste and current status of municipal waste management in Rishikesh, Uttarakhand. Environ. Eng. Res. 2018, 23, 323–329. [Google Scholar] [CrossRef]
- Tassie Wegedie, K. Households solid waste generation and management behavior in case of Bahir Dar City, Amhara National Regional State, Ethiopia. Cogent Environ. Sci. 2018, 4, 1471025. [Google Scholar] [CrossRef]
- Douti, N.B.; Abanyie, S.K.; Ampofo, S.; Nyarko, S.K. Solid Waste Management Challenges in Urban Areas of Ghana: A Case Study of Bawku Municipality. Int. J. Geosci. 2017, 8, 494–513. [Google Scholar] [CrossRef]
- Abera Kebede, A. Household Solid Waste Generation Rate and Onsite Handling Practices in Debre Berhan Town, Ethiopia. Sci. J. Public Health 2017, 5, 31–40. [Google Scholar] [CrossRef]
- Moftah, W.A.S.; Marković, D.; Moftah, O.A.S.; Nesseef, L. Characterization of Household Solid Waste and Management in Tripoli City—Libya. Open J. Ecol. 2016, 06, 435–442. [Google Scholar] [CrossRef]
- Ephantus, M.; Robert, K.; Paul, N. An Analysis of Solid Waste Generation and Characterization in Thika Municipality of Kiambu County, Kenya. J. Environ. Sci. Eng. B. 2015, 4, 5. [Google Scholar] [CrossRef][Green Version]
- Teshome, Y.M.; Habtu, N.G.; Molla, M.B.; Ulsido, M.D. Municipal solid wastes quantification and model forecasting. Global J. Environ. Sci. Manage 2023, 9, 227–240. [Google Scholar] [CrossRef]
- Lemma, E.; Tekilu, H. Characterization and Disposal of Municipal Solid Waste, Case Study, Hosanna Town. Am. J. Environ. Eng. 2014, 4, 162–168. [Google Scholar] [CrossRef]
- EASO. Somalia Actors: Country of Origin Information Report; EU: Geneva, Switzerland, 2021; ISBN 978-92-9465-186-0. [Google Scholar]
- Hoornweg, D.; Bhada-Tata, P. What a Waste?: A Global Review of Solid Waste Management. 2012. Available online: https://documents1.worldbank.org/curated/en/302341468126264791/pdf/68135-REVISED-What-a-Waste-2012-Final-updated.pdf (accessed on 18 May 2014).
- UNFPA. Population Estimation Survey 2014 for the 18 Pre-War Regions of Somalia. 2014. Available online: https://reliefweb.int/report/somalia/population-estimation-survey-2014-18-pre-war-regions-somalia (accessed on 18 May 2014).
- Victoire, A.; Martin, N.V.; Abias, M.; Pacifique, U.; Claude, M.J. Solid Waste Management Challenges and Its Impacts on People’s Livelihood, Case of Kinyinya in Kigali City. J. Geosci. Environ. Prot. 2020, 8, 82–96. [Google Scholar] [CrossRef]
- Abd Manan, T.S.B.; Beddu, S.; Mohamad, D.; Mohd Kamal, N.L.; Wan Mohtar, W.H.M.; Khan, T.; Jusoh, H.; Sarwono, A.; Ali, M.M.; Che Muda, Z.; et al. Physicochemical and Leaching Properties of Coal Ashes from Malaysian Coal Power Plant. Chem. Phys. Lett. 2021, 769, 138420. [Google Scholar] [CrossRef]
- Gauthier, T.D.; Hawley, M.E. Statistical Methods. In Introduction to Environmental Forensics: Third Edition; Academic Press: Cambridge, MA, USA, 2015; ISBN 9780124046962. [Google Scholar]
- Chowdhury, J.; Dutta, S.; Arellano-Valle, R.B.; Genton, M.G. Sub-dimensional Mardia measures of multivariate skewness and kurtosis. J. Multivar. Anal. 2022, 192, 105089. [Google Scholar] [CrossRef]
- Mou, Z.; Scheutz, C.; Kjeldsen, P. Evaluating the methane generation rate constant (k value) of low-organic waste at Danish landfills. Waste Manag. 2015, 35, 170–176. [Google Scholar] [CrossRef]
- Umer, N.; Shimelis, G.; Ahmed, M.; Sema, T. Solid Waste Generation Rate and Management Practices in the Case of Chiro Solid Waste Generation Rate and Management Practices in the Case of Chiro Town, West Hararghe Zone, Ethiopia. Am. J. Environ. Prot. 2019, 8, 87. [Google Scholar] [CrossRef]
- Lu, W.; Yuan, L.; Xue, F. Investigating the bulk density of construction waste: A big data-driven approach. Resour. Conserv. Recycl. 2021, 169, 105480. [Google Scholar] [CrossRef]
- Qi, Y.P.; He, P.J.; Lan, D.Y.; Xian, H.Y.; Lü, F.; Zhang, H. Rapid determination of moisture content of multi-source solid waste using ATR-FTIR and multiple machine learning methods. Waste Manag. 2022, 153, 20–30. [Google Scholar] [CrossRef]
- Ermolaev, E.; Sundberg, C.; Pell, M.; Smårs, S.; Jönsson, H. Effects of moisture on emissions of methane, nitrous oxide and carbon dioxide from food and garden waste composting. J. Clean. Prod. 2019, 240, 118165. [Google Scholar] [CrossRef]
- Adama, M.; State, A.; Technology, B.E.; Mubi, F.P.; State, A. Evaluation of Energy Potentials from Municipal Solid Waste: A Case Study. FUTY J. Environ. 2019, 13, 36–45. [Google Scholar]
- Jahani, H.; Jain, R.; Ivanov, D. Data science and big data analytics: A systematic review of methodologies used in the supply chain and logistics research. Ann. Oper. Res. 2023. [Google Scholar] [CrossRef]
- Nassar, S.O.A.; Yusoff, M.S.; Halim, H.; Mokhtar Kamal, N.H.; Bashir, M.J.K.; Manan, T.S.B.A.; Aziz, H.A.; Mojiri, A. Ultrasonic (US)-Assisted Electrocoagulation (EC) Process for Oil and Grease (O&G) Removal from Restaurant Wastewater. Separations 2023, 10, 61. [Google Scholar] [CrossRef]
- Erdal, N.B.; Hakkarainen, M. Degradation of Cellulose Derivatives in Laboratory, Man-Made, and Natural Environments. Biomacromolecules. 2022, 23, 2713. [Google Scholar] [CrossRef]
- Mazibuko, M.; Ndumo, J.; Low, M.; Ming, D.; Harding, K. Investigating the natural degradation of textiles under controllable and uncontrollable environmental conditions. Procedia Manuf. 2019, 35, 719–724. [Google Scholar] [CrossRef]
- Royer, S.J.; Wiggin, K.; Kogler, M.; Deheyn, D.D. Degradation of synthetic and wood-based cellulose fabrics in the marine environment: Comparative assessment of field, aquarium, and bioreactor experiments. Sci. Total Environ. 2021, 791, 148060. [Google Scholar] [CrossRef]
- Harmsen, P.; Scheffer, M.; Bos, H. Textiles for Circular Fashion: The Logic behind Recycling Options. Sustainability 2021, 13, 9714. [Google Scholar] [CrossRef]
- Abushammala, M.F.M.; Basri, N.E.A.; Kadhum, A.A.H.; Basri, H.; El-Shafie, A.H.; Sharifah Mastura, S.A. Evaluation of methane generation rate and potential from selected landfills in Malaysia. Int. J. Environ. Sci. Technol. 2014, 11, 377–384. [Google Scholar] [CrossRef][Green Version]
- Sun, W.; Wang, X.; DeCarolis, J.F.; Barlaz, M.A. Evaluation of optimal model parameters for prediction of methane generation from selected U.S. landfills. Waste Manag. 2019, 91, 120–127. [Google Scholar] [CrossRef]
- Melissa, W.; Coburn, J.B.; Salinas, E.; Weitz, M.; Coburn, J.B. Estimating National Landfill Methane Emissions: An Application of the 2006 Intergovernmental Panel on Climate Change Waste Model in Panama. J. Air Waste Manag. Assoc. 2008, 58, 636–640. [Google Scholar] [CrossRef][Green Version]





| Research Focus | Methodology | Sample Size | Country/City/Study Area | Findings | References |
|---|---|---|---|---|---|
| SWM practice, MSW characterization and generation | Direct measurement technique (Miezah et al., 2015). | 250 households from the two settlements | Mthatha City, South Africa | Solution for WM strategy | [15] |
| SWM practice, MSW characterization and generation | Waste source sorting and separation | 152 households | Dilla Town, Southern Ethiopia | Important for legislators and town municipals | [16] |
| The composition and quantification of solid waste | Random sampling methodology | 60 households | Kigali | Establish solution faced by Kigali city in terms of SW | [17] |
| SWM practice, MSW characterization and generation | Multistage sampling technique (Bobeck, 2010; EPA, 2002). | Total of 60 households of four zones (A, B, C and D) | Paynesville City, Liberia | Findings show an alarming state | [18] |
| To set up a new reference line for municipal solid waste quantification and characterization | Questionnaire and waste quantification and characterization. | 60 municipalities | Nepal | Encouraged the local governments to think about tactical collaborators, | [19] |
| MSW characterization and generation | Stratified random sampling method | 300 families | Homs City, Syria | Results to serve as a reliable database for SWM | [20] |
| MSW characterization and generation | Stratified sampling method | 250 households | Ibadan metropolis, Nigeria | Reveals stench associated with HW | [21] |
| MSW characterization and generation in rural communities | ASTM D5231-92 | 70 households were randomly selected | Tehran and Alborz (Iran) | Source segregation of waste for separation | [22] |
| MSW characterization and generation | Botswana Waste Management Strategy (BWMS) | Samples ranged from 3 to 5 persons per household | Palapye, Botswana | WM planning by the Administrative Board of the region | [23] |
| The key issues in SWM in the city | Sample collection was carried out | 329 solid waste samples from 47 households | Sunder Nagar, Himachal Pradesh, India | Solid waste management is very inadequate | [24] |
| Factors that might influence MSW generation and SWM behavior of households | Stratified and systematic random sampling techniques | 196 samples | Bahir Dar City, Ethiopia | Very low environmental awareness among the residents | [25] |
| The MSW composition and generation | Formal survey using structured questionnaire was conducted | 157 samples | Laga Tafo Laga Dadi Town, Oromia, Ethiopia | Convert the waste to organic fertilizer complete composting | [26] |
| MSW generation rate and onsite handling practices | Cross-sectional study, face-to-face interview | 211 households | Debre Berhan Town, Ethiopia | 90% household store waste a one container | [27] |
| MSW characterization and generation | Annex 2.1 of: WHO 1996 | 150 Libyan families of 947 people | Tripoli city, Libya | Insufficient MSW | [28] |
| MSW characterization and generation within Thika municipality | Site-specific study methodology was used | Different sources which are coded from C1 up to C8 | Thika District of Kiambu County. Kenya | SW by converting it to energy | [29] |
| Technical and regulatory arrangements and characterization of MSW | Measurement, direct observation | 140 samples | Aksum and Shire-Endaslassie, North Ethiopia | SW is under stress | [30] |
| The MSW generation in Hosanna town | Sampling method, door to door data collection | Representative samples were selected | Hosanna Town, Ethiopia | Landfill of ten year is compulsory for the dumping | [31] |
| MSW characterization, generation and evaluation on k values | Waste source sorting, separation and sampling method | 300 households randomly selected | Mogadishu-Somalia | Presented in this paper | Current Research |
| Zones | Study Districts | Sampling Coordinates | Population in the Study Districts | Selected Sample Size | |
|---|---|---|---|---|---|
| Latitude | Longitude | ||||
| Zone 1 | Abdulaziz | 2.042995 | 45.355955 | 56,800 | 12 |
| Bondere | 2.043950 | 45.344310 | 156,720 | 12 | |
| Shangani | 2.037263 | 45.345502 | 62,479 | 12 | |
| Karan | 2.050990 | 45.363817 | 315,810 | 12 | |
| Shibis | 2.045693 | 45.353688 | 204,481 | 12 | |
| Hamar Weyne | 2.035612 | 45.338810 | 111,010 | 12 | |
| Zone 2 | Hamar Jijab | 2.031226 | 45.331399 | 93,152 | 12 |
| Waberi | 2.030347 | 45.317108 | 130,400 | 12 | |
| Heliwaa | 2.075538 | 45.371455 | 111,328 | 12 | |
| Hodan | 2.041902 | 45.312415 | 183,556 | 12 | |
| Wardigley | 2.043398 | 45.340840 | 137,479 | 12 | |
| Hal-Wadaag | 2.048143 | 45.326343 | 100,246 | 12 | |
| Zone 3 | Yaqshid. | 2.065382 | 45.350973 | 329,400 | 12 |
| Dayniile | 2.062808 | 45.294690 | 84,019 | 12 | |
| Wadajir, | 2.024782 | 45.282862 | 128,420 | 12 | |
| Dharkenley | 2.031838 | 45.271925 | 105,000 | 12 | |
| Kahda | 2.045252 | 45.243363 | 77,700 | 12 | |
| Total | 2,388,000 | 204 | |||
| Country | Model | k Value (yr−1) | Waste Degradation/Landfill (LF) | t½ * |
|---|---|---|---|---|
| France | E-PRTR | 0.5 | Fast | 1.5 |
| 0.1 | Moderate | 7 | ||
| 0.04 | Slow | 17 | ||
| USA | LandGEM | 0.7 | Wet area LF | 10 |
| 0.04–0.05 | Conventional LF | 14–17 | ||
| 0.02 | Arid area LF | 35 | ||
| International | IPCC | 0.185 | Food, sludge | 4 |
| 0.10 | Garden, disposable nappies | 7 | ||
| 0.09 | Industrial waste | 8 | ||
| 0.06 | Textile, paper | 12 | ||
| 0.03 | Wood, straw | 23 | ||
| UK | GasSim | 0.116 | Fast | 6 |
| 0.076 | Moderate | 9 | ||
| 0.046 | Slow | 15 | ||
| Holland | Afvalzorg | 0.187 | Fast | 3.7 |
| 0.099 | Moderate | 7 | ||
| 0.030 | Slow | 23 |
| N | Minimum | Maximum | Mean | Std. Deviation | Variance | Skewness | Kurtosis | |||
|---|---|---|---|---|---|---|---|---|---|---|
| Statistic | Statistic | Statistic | Statistic | Statistic | Statistic | Statistic | Std. Error | Statistic | Std. Error | |
| Weight_Z1 | 9 | 0.29 | 47.45 | 11.1111 | 14.61028 | 213.460 | 2.307 | 0.717 | 5.873 | 1.400 |
| Weight_Z2 | 9 | 0.21 | 51.46 | 11.1111 | 15.96583 | 254.908 | 2.455 | 0.717 | 6.502 | 1.400 |
| Weight_Z3 | 9 | 0.16 | 56.94 | 11.1111 | 17.95015 | 322.208 | 2.565 | 0.717 | 6.916 | 1.400 |
| MC_Z1 | 9 | 0.00 | 55.39 | 11.1111 | 18.67171 | 348.633 | 2.093 | 0.717 | 4.170 | 1.400 |
| MC_Z2 | 9 | 0.00 | 55.48 | 11.1111 | 18.18332 | 330.633 | 2.252 | 0.717 | 5.112 | 1.400 |
| MC_Z3 | 9 | 0.00 | 49.88 | 11.1111 | 17.43537 | 303.992 | 1.815 | 0.717 | 2.553 | 1.400 |
| (a) Weights | Z1 | Z2 | Z3 | |
| Z1 | Pearson Correlation | 1 | 0.978 ** | 0.999 ** |
| Sig. (2-tailed) | 0.000 | 0.000 | ||
| Z2 | Pearson Correlation | 0.978 ** | 1 | 0.976 ** |
| Sig. (2-tailed) | 0.000 | 0.000 | ||
| Z3 | Pearson Correlation | 0.999 ** | 0.976 ** | 1 |
| Sig. (2-tailed) | 0.000 | 0.000 | ||
| (b) Weights and Moisture Content | MC_Z1 | MC_Z2 | MC_Z3 | |
| Weight_Z1 | Pearson Correlation | 0.891 ** | 0.918 ** | 0.849 ** |
| Sig. (2-tailed) | 0.001 | 0.000 | 0.004 | |
| Weight_Z2 | Pearson Correlation | 0.889 ** | 0.917 ** | 0.842 ** |
| Sig. (2-tailed) | 0.001 | 0.001 | 0.004 | |
| Weight_Z3 | Pearson Correlation | 0.869 ** | 0.899 ** | 0.817 ** |
| Sig. (2-tailed) | 0.002 | 0.001 | 0.007 | |
Disclaimer/Publisher’s Note: The statements, opinions and data contained in all publications are solely those of the individual author(s) and contributor(s) and not of MDPI and/or the editor(s). MDPI and/or the editor(s) disclaim responsibility for any injury to people or property resulting from any ideas, methods, instructions or products referred to in the content. |
© 2023 by the authors. Licensee MDPI, Basel, Switzerland. This article is an open access article distributed under the terms and conditions of the Creative Commons Attribution (CC BY) license (https://creativecommons.org/licenses/by/4.0/).
Share and Cite
Araye, A.A.; Yusoff, M.S.; Awang, N.A.; Abd Manan, T.S.B. Evaluation of the Methane (CH4) Generation Rate Constant (k Value) of Municipal Solid Waste (MSW) in Mogadishu City, Somalia. Sustainability 2023, 15, 14531. https://doi.org/10.3390/su151914531
Araye AA, Yusoff MS, Awang NA, Abd Manan TSB. Evaluation of the Methane (CH4) Generation Rate Constant (k Value) of Municipal Solid Waste (MSW) in Mogadishu City, Somalia. Sustainability. 2023; 15(19):14531. https://doi.org/10.3390/su151914531
Chicago/Turabian StyleAraye, Abdulkadir A., Mohd Suffian Yusoff, Nik Azimatolakma Awang, and Teh Sabariah Binti Abd Manan. 2023. "Evaluation of the Methane (CH4) Generation Rate Constant (k Value) of Municipal Solid Waste (MSW) in Mogadishu City, Somalia" Sustainability 15, no. 19: 14531. https://doi.org/10.3390/su151914531
APA StyleAraye, A. A., Yusoff, M. S., Awang, N. A., & Abd Manan, T. S. B. (2023). Evaluation of the Methane (CH4) Generation Rate Constant (k Value) of Municipal Solid Waste (MSW) in Mogadishu City, Somalia. Sustainability, 15(19), 14531. https://doi.org/10.3390/su151914531

