Antioxidants and Shelf-Life of ‘Changbang’ Peaches as Affected by Coating after Cooling
Abstract
1. Introduction
2. Materials and Methods
2.1. Fruit Collection and Treatments
2.2. Fruit Quality
2.3. Mineral Nutrients and Antioxidants
2.4. Data Analysis
3. Results and Discussion
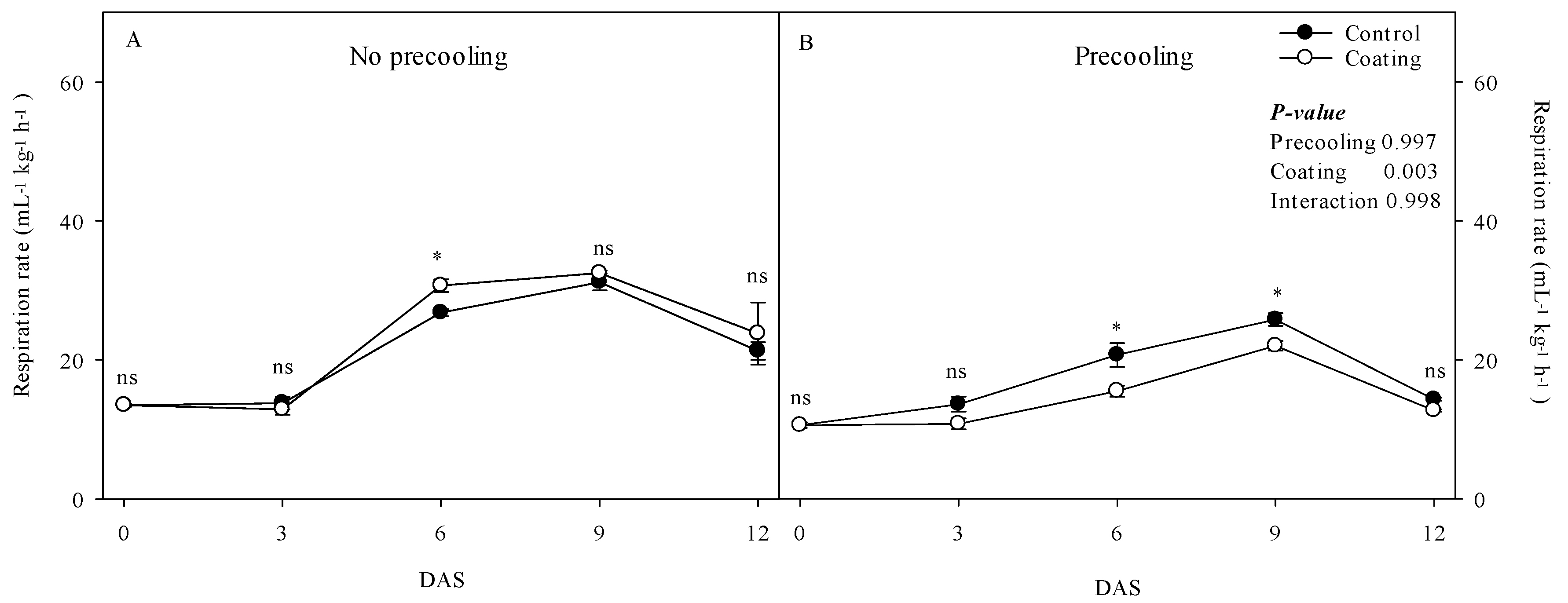
3.1. Fruit SEM Analysis and CO2
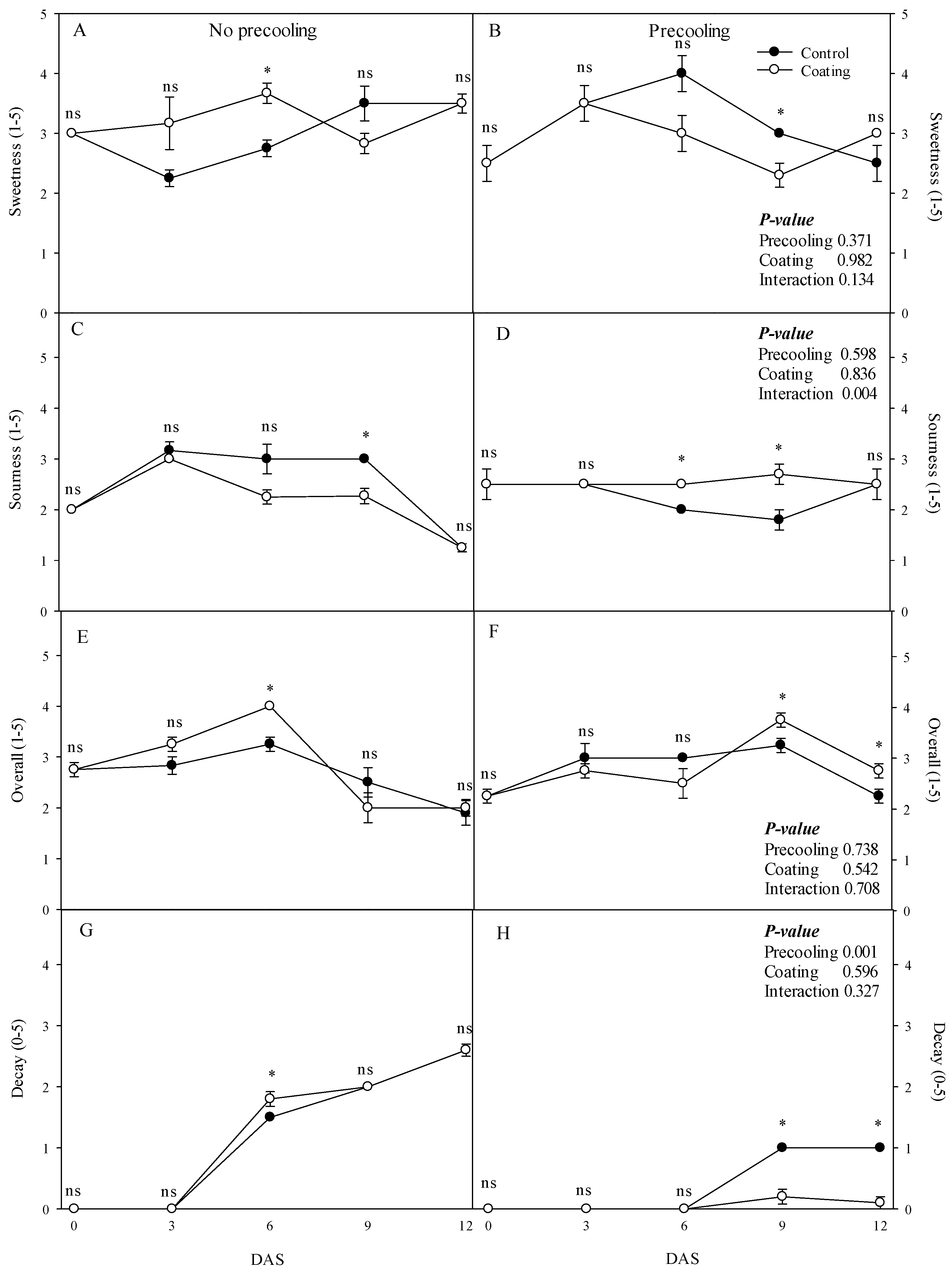
3.2. Fruit Quality
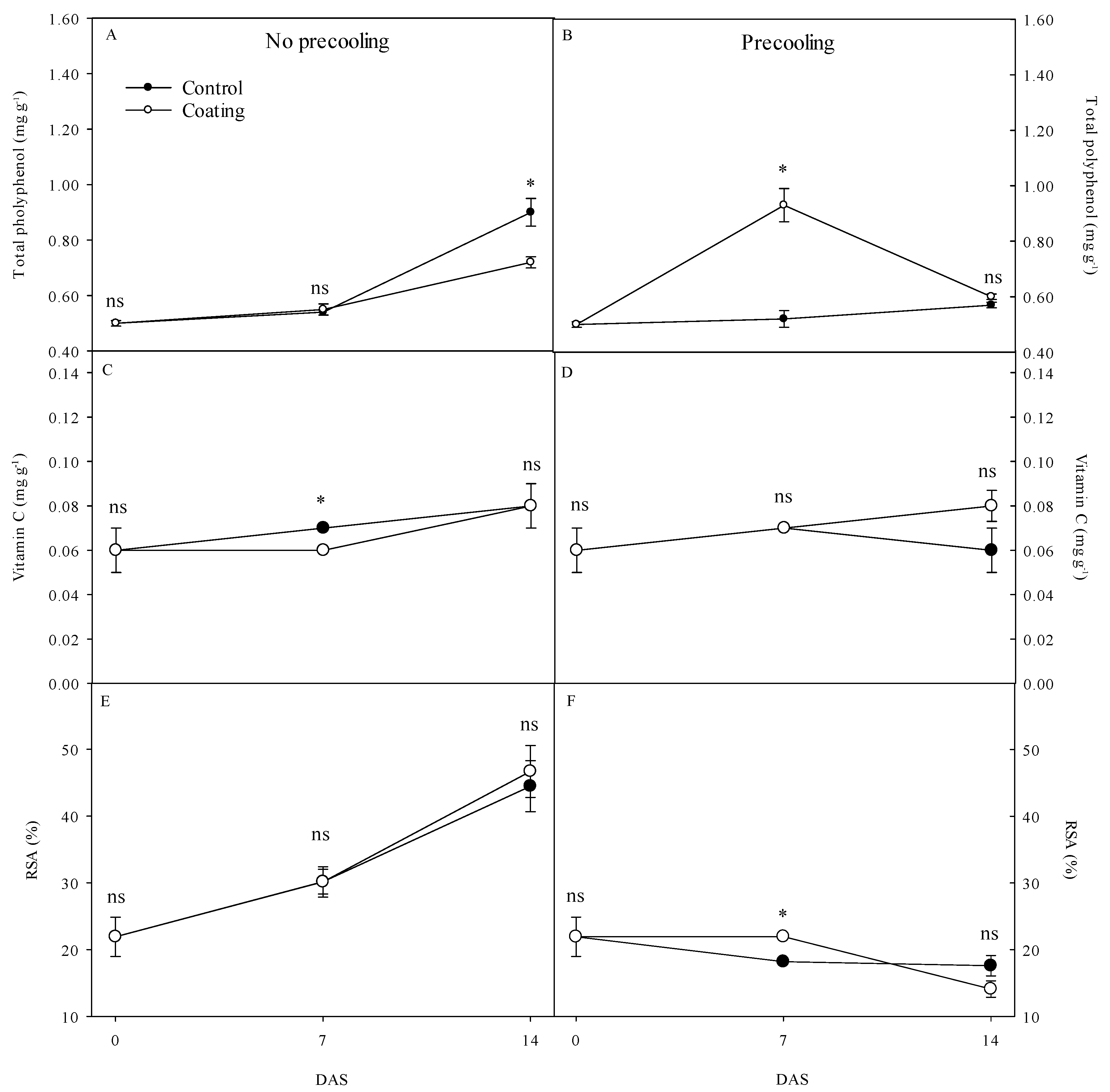
3.3. Mineral Nutrients and Antioxidants
4. Conclusions
Author Contributions
Funding
Conflicts of Interest
References
- Kim, W.S.; Jeong, J.H.; Ryu, S.H.; Lee, S.K.; Han, J.H.; Cho, J.G. Structural change in peach production and dynamic relationship between its production and area using time series analysis. Hortic. Sci. Technol. 2021, 39, 263–275. [Google Scholar] [CrossRef]
- Cantín, M.C.; Moreno, M.A.; Gogorcena, Y. Evaluation of the antioxidant capacity, phenolic compounds, and vitamin C content of different peach and nectarine [Prunus persica (L.) Batsch] breeding progenies. J. Agric. Food Chem. 2009, 57, 4586–4592. [Google Scholar] [CrossRef] [PubMed]
- Kant, R.; Shukla, R.K.; Shukla, A. A Review on Peach (Prunus persica): An asset of medicinal phytochemicals. Int. J. Res. Appl. Sci. Eng. Technol. 2018, 6, 2186–2200. [Google Scholar] [CrossRef]
- Lee, J.Y.; Park, H.D.; Choi, S.W. Physicochemical characteristics of various peach cultivars. J. Food Sci. Nutr. 2001, 6, 107–111. [Google Scholar]
- Duan, Y.; Wang, G.B.; Fawole, O.A.; Verboven, P.; Zhang, X.R.; Wu, D. Postharvest precooling of fruit and vegetables: A review. Trends Food Sci. Technol. 2020, 100, 278–291. [Google Scholar] [CrossRef]
- Garg, C.; Thakur, K.S.; Kaushal, B.B.L. Effect of various postharvest treatments on the storage quality of peach cv. July Elberta. Acta Hortic. 2005, 696, 509–517. [Google Scholar] [CrossRef]
- Kim, B.S.; Kim, M.J.; Choi, J.H. Effects of precooling treatments on the quality of peaches (Mibaek). Korean J. Food Sci. Technol. 2003, 35, 1233–1236. [Google Scholar]
- Lee, E.J. Chilling injury and phytochemical composition of peach fruits as affected by high carbon dioxide treatment before cold storage. Hort. Environ. Biotechnol. 2014, 55, 190–195. [Google Scholar] [CrossRef]
- Sortino, G.; Saletta, F.; Puccio, S.; Scuderi, D.; Allegra, A.; Inglese, P.; Farina, V. Extending the shelf life of white peach fruit with 1-Methylcyclopropene and Aloe arborescens edible coating. Agriculture 2020, 10, 151. [Google Scholar] [CrossRef]
- Bai, E. Postharvest application of chitosan and low temperature storage affect respiration rate and quality of plum fruits. J. Agr. Sci. Techol. 2013, 15, 1219–1230. [Google Scholar]
- Bhardwaj, C.L.; Jones, H.F.; Smith, L.H. A study of the migration of externally applied sucrose esters of fatty acids through the skin of banana, apple and pear fruits. J. Sci. Food Agric. 1984, 35, 322–331. [Google Scholar] [CrossRef]
- Dhall, R.K. Advances in edible coatings for fresh fruits and vegetables: A review. Crit. Rev. Food Sci. Nutr. 2013, 53, 435–450. [Google Scholar] [CrossRef] [PubMed]
- Drake, S.R.; Fellman, J.K.; Nelson, J.W. Postharvest use of sucrose polyesters for extending the shelf-life of stored ‘Golden Delicious’ apples. J. Food Sci. 1987, 52, 1283–1285. [Google Scholar] [CrossRef]
- Flores-López, M.L.; Cerqueira, M.A.; de Rodríguez, D.J.; Vicente, A.A. Perspectives on utilization of edible coatings and nano-laminate coatings for extension of postharvest storage of fruits and vegetables. Food Eng. Rev. 2016, 8, 292–305. [Google Scholar] [CrossRef]
- Jung, S.K.; Choi, H.S. Fruit quality and antioxidant activities of yellow-skinned apple cultivars coated with natural sucrose monoesters. Sustainability 2021, 13, 2423. [Google Scholar] [CrossRef]
- Jung, S.K.; Choi, H.S. Assessing the effectiveness of natural coating application in prolonging shelf-life in plumcot fruits. Sustainability 2021, 13, 10737. [Google Scholar] [CrossRef]
- Khaliq, G.; Mohamed, M.T.M.; Ghazali, H.M.; Ding, P.; Ali, A. Influence of gum arabic coating enriched with calcium chloride on physiological, biochemical and quality responses of mango (Mangifera indica L.) fruit stored under low temperature stress. Postharvest Biol. Technol. 2016, 111, 362–369. [Google Scholar] [CrossRef]
- Khorram, F.; Ramezanian, A.; Hosseini, S.M.H. Effect of different edible coatings on postharvest quality of Kinnow mandarin. J. Food Meas. Charact. 2017, 11, 1827–1833. [Google Scholar] [CrossRef]
- Zhou, W.; He, Y.; Liu, F.; Liao, L.; Huang, X.; Li, R.; Zou, Y.; Zhou, L.; Zou, L.; Liu, Y.; et al. Carboxymethyl chitosan-pullulan edible films enrichedwithgalangal essential oil:Characterizationandapplicationinmango preservation. Carbohydr. Polym. 2021, 256, 117579. [Google Scholar] [CrossRef]
- Lee, J.H.; Min, S.C.; Song, K.B. Effects of edible coating on the quality change in ‘Hongro’ apples during storage. J. Appl. Biol. Chem. 2015, 58, 61–64. [Google Scholar] [CrossRef][Green Version]
- Lin, D.; Zhao, Y. Innovations in the development and application of edible coatings for fresh and minimally processed fruits and vegetables. Compr. Rev. Food Sci. Food Saf. 2007, 6, 60–75. [Google Scholar] [CrossRef]
- Lustriane, C.; Dwivany, F.M.; Suendo, V.; Reza, M. Effect of chitosan and chitosan-nanoparticles on post harvest quality of banana fruits. J. Plant Biotechnol. 2018, 45, 36–44. [Google Scholar] [CrossRef]
- Momen, M.N.; Tatsumi, Y.; Shimokawa, K. Effects of coating treatment with sucrose fatty acid esters on the ripening of Cavendish banana. Food Preserv. Sci. 1997, 6, 315–320. [Google Scholar] [CrossRef][Green Version]
- Novianti, C.; Dwivany, F.M. Chitosan-based edible coating prolongs Musa troglodytarum L. (‘Pisang Tongkat Langit’) fruit shelf-life and changes the ACS1 and ACO1 gene expression profile. Pertanika J. Trop. Agric. Sci. 2020, 43, 563–581. [Google Scholar] [CrossRef]
- Riva, S.C.; Opara, U.O.; Fawole, O.A. Recent developments on postharvest application of edible coatings on stone fruit: A review. Sci. Hortic. 2020, 262, 109074. [Google Scholar] [CrossRef]
- Thakur, R.; Pristijono, P.; Golding, J.B.; Stathopoulos, C.E.; Scarlett, C.J.; Bowyer, M.; Singh, S.P.; Vuong, Q.V. Development and application of rice starch based edible coating to improve the postharvest storage potential and quality of plum fruit (Prunus salicina). Sci. Hortic. 2018, 237, 59–66. [Google Scholar] [CrossRef]
- Valero, D.; Díaz-Mula, H.M.; Zapata, P.J.; Guilléna, F.; Martínez-Romero, D.; Castillo, S.; Serrano, M. Effects of alginate edible coating on preserving fruit quality in four plum cultivars during postharvest storage. Postharvest Biol.Technol. 2013, 77, 1–6. [Google Scholar] [CrossRef]
- Zhang, S.; Li, Y.; Pei, F. Carbon monoxide fumigation improved the quality, nutrients, and antioxidant activities of postharvest peach. Int. J. Food Sci. 2014, 2014, 834150. [Google Scholar] [CrossRef]
- RDA. Agricultural Science and Technology; Rural Development Adminstration: Jeonju, Republic of Korea; Sammi Press: Suwon, Republic of Korea, 2003.
- Chang, C.C.; Yang, M.H.; Wen, H.M.; Chern, J.C. Estimation of total flavonoid content in propolis by two complementary colorimetric methods. J. Food Drug Anal. 2002, 10, 178–182. [Google Scholar]
- Lee, J.M.; Durst, R.W.; Wrolstad, R.E. Determination of total monomeric anthocyanin pigment content of fruit juices, beverages, natural colorants, and wines by the pH differential method: Collaborative study. J. AOAC Int. 2005, 88, 1269–1278. [Google Scholar] [CrossRef]
- Paul, V.; Pandey, R.; Srivastava, G.C. The fading distinctions between classical patterns of ripening in climacteric and non-climacteric fruit and the ubiquity of ethylene—An overview. J. Food Sci. Technol. 2012, 49, 1–21. [Google Scholar] [PubMed]
- Yan, J.; Song, Y.; Li, J.; Jiang, W. Forced-air precooling treatment enhanced antioxidant capacities of apricots. J Food Process Preserv. 2017, 42, e13320. [Google Scholar] [CrossRef]
- Crisosto, C.H.; Crisosto, G.; Neri, F. Understanding Tree fruit quality based on consumer acceptance. Acta Hortic. 2006, 712, 183–189. [Google Scholar] [CrossRef]
- Zhang, H.; Li, R.; Liu, W. Effects of chitin and its derivative chitosan on postharvest decay of fruits: A review. Int. J. Mol. Sci. 2011, 12, 917–934. [Google Scholar] [CrossRef] [PubMed]
- Antunes, M.D.C.; Sfakiotakis, E.M. Changes in fatty acid composition and electrolyte leakage of ‘Hayward’ kiwifruit during storage at different temperatures. Food Chem. 2008, 110, 891–896. [Google Scholar] [CrossRef] [PubMed]
- Marangoni, A.G.; Palma, T.; Stanley, D.W. Membrane effects in postharvest physiology. Postharvest Biol. Technol. 1996, 7, 193–217. [Google Scholar] [CrossRef]
- Martín-Diana, A.B.; Rico, D.; Frías, J.M.; Barat, J.M.; Henehan, G.T.M.; Barry-Ryan, C. Calcium for extending the shelf life of fresh whole and minimally processed fruits and vegetables: A review. Trends Food Sci. Technol. 2007, 18, 210–218. [Google Scholar] [CrossRef]
- Ali, A.; Ong, M.K.; Forney, C.F. Effect of ozone pre-conditioning on quality and antioxidant capacity of papaya fruit during ambient storage. Food Chem. 2014, 142, 19–26. [Google Scholar] [CrossRef]
- Kumar, L.; Ramakanth, D.; Akhila, K.; Gaikwad, K.K. Edible films and coatings for food packaging applications: A review. Environ. Chem. Lett. 2022, 20, 875–900. [Google Scholar] [CrossRef]
- Tavassoli-Kafrani, E.; Gamage, M.A.; Dumée, L.F.; Kong, L.; Zhao, S. Edible films and coatings for shelf life extension of mango: A review. Crit. Rev. Food Sci. Nutr. 2022, 62, 2432–2459. [Google Scholar] [CrossRef]










Disclaimer/Publisher’s Note: The statements, opinions and data contained in all publications are solely those of the individual author(s) and contributor(s) and not of MDPI and/or the editor(s). MDPI and/or the editor(s) disclaim responsibility for any injury to people or property resulting from any ideas, methods, instructions or products referred to in the content. |
© 2023 by the authors. Licensee MDPI, Basel, Switzerland. This article is an open access article distributed under the terms and conditions of the Creative Commons Attribution (CC BY) license (https://creativecommons.org/licenses/by/4.0/).
Share and Cite
Jung, S.-K.; Lee, J.-K.; Choi, H.-S. Antioxidants and Shelf-Life of ‘Changbang’ Peaches as Affected by Coating after Cooling. Sustainability 2023, 15, 14242. https://doi.org/10.3390/su151914242
Jung S-K, Lee J-K, Choi H-S. Antioxidants and Shelf-Life of ‘Changbang’ Peaches as Affected by Coating after Cooling. Sustainability. 2023; 15(19):14242. https://doi.org/10.3390/su151914242
Chicago/Turabian StyleJung, Seok-Kyu, Jong-Kug Lee, and Hyun-Sug Choi. 2023. "Antioxidants and Shelf-Life of ‘Changbang’ Peaches as Affected by Coating after Cooling" Sustainability 15, no. 19: 14242. https://doi.org/10.3390/su151914242
APA StyleJung, S.-K., Lee, J.-K., & Choi, H.-S. (2023). Antioxidants and Shelf-Life of ‘Changbang’ Peaches as Affected by Coating after Cooling. Sustainability, 15(19), 14242. https://doi.org/10.3390/su151914242
