Abstract
Ultrasonic technology (US) can be considered a very sustainable and efficient method to remove bisphenol A (BPA) from water. Compared with other methods, the proposed method has some advantages: a simple implementation on existing water treatment and purification facilities, it does not generate residual compounds that produce sludge, a relatively fast time is required for degradation (1–2 h), and high degradation efficiencies. In this work, we present the results regarding BPA degradation efficiency using the ultrasonic technique. The influence of frequency and of some additional compounds, such as carbon tetrachloride (CCl4), FeSO4 7H2O (FS), and ethyl anthraquinone (EAC), were studied. Three different frequencies were used: 1146 kHz, 864 kHz, and 580 kHz, at 50 W. The sampling, performed every 15 min, revealed that the highest BPA degradation was achieved after 60 min. Using the liquid chromatography tandem mass spectrometry (LC-MS/MS) technique, the degradation compounds were identified. Pathways of BPA degradation were also proposed. The use of additives such as CCl4, FS, and EAC proved to have a positive effect on the BPA degradation process assisted by ultrasound. After 60 min of exposure, the degradation capacities reached values of between 50% and 75%, while the mineralization capacities were situated between 20% and 35%. CCl4 and EAC had a more pronounced stimulating action than FS, with the EAC having the highest mineralization capacity, representing around 75% of the degradation capacity.
1. Introduction
Bisphenol A (BPA) represents an important co-monomer for obtaining polycarbonate, epoxy resins, flame retardants, paint, and other chemical products [1,2]. Products containing BPA are widely used, and, thus, we can find it in the environment: in the air, soil, natural surface waters and sediments, underground water in landfills, and in wastewater [2]. BPA has the potential to disturb wildlife health and human health [3,4,5,6]. It can influence enzymatic, androgenic, neurological, liver, and reproductive systems at different stages of human life, such as in foetal, child and adult stages [7,8]. Affecting the reproductive system (in both women and men), BPA can cause various health problems such as infertility, abortions, polycystic ovaries, endometrial hyperplasia, etc. [9]. Considering all its negative effects, finding fast and efficient methods for BPA removal from water matrices has become a crucial objective for the scientific community. Ultrasonic technology can be considered as a very sustainable and efficient method to remove BPA from water. Some advantages include easy implementation on existing water treatment and purification facilities, it does not generate residual compounds that produce sludge, it obtains faster results (1–2 h), and high degradation efficiency [2,10]. Ultrasound (US) treatment of wastewater is considered an advanced treatment process [11], with high energy consumption. Unlike other processes, ultrasound treatment does not require the addition of catalysts or oxidants. However, combining US and different catalysts, oxidants and/or additional compounds, can generate more favorable results [12]. Among the various proceses, the sonochemical process is used for the degradation of organic pollutants, due to its eco-friendly properties and free hazardous by-products generated during the cavitation process. Its efficiency depends on the hydrophobicity of the pollutants, BPA being suitable for US treatment due to its hydrophobic properties [13].
The ultrasonic mechanism is mainly achieved by acoustic cavitation. It includes the formation of bubbles, and the rapid growth and violent collapse of bubbles in the liquid. At this point, temperatures rise to 5000 K, and pressures of 100 Pa are generated causing the decomposition of organic pollutants and water [2]. Through the decomposition of water molecules, highly reactive radical species such as hydroxyl, hydrogen and hydroperoxide radicals are formed, which oxidize the organic matrix [14] and destroy the molecular structure of pollutants, to achieve the degradation effect [15]. Organic pollutants are attacked by radicals with a high oxidation potential, forming compounds with lower molecular weight [16].
According to Equations (1)–(6), the reactive radical species produced by the ultrasonic cavitation phenomenon are [17]:
H2O + US → HO• + H•
O2 + US → 2O•
H• + O2 → •OOH
O• + H2O → 2HO•
HO• + HO• → H2O2
H2O2 + US → 2HO•
In addition to radicals, the implosion of the collapsing bubbles generates strong pressure waves, which are used for physical and chemical processes in wastewater treatment [16]. The diversification of free radical species can be achieved by adding sonocatalysts [15]. Previous studies have questioned its economic viability, based on energy consumption calculations [13]. The effect of US wastewater treatment is limited by the disadvantage of energy consumption [15]. The possibility and efficiency of US application for BPA degradation has been investigated in various studies, but most of the research has used the sonochemical process as auxiliary technology to assist the photocatalytic, Fenton, UV, and electrochemical processes [13]. Combining the US process with peroxydisulfate was reported as a promising advanced oxidation method for the removal of organic pollutants from aqueous solutions [18].
Using a combination of US treatment with different material, with sonocatalytic activity, represents an effective way to improve the US treatment method, increasing the degradation rate and the treatment efficiency. The US treatment principle is based on the attack of free radicals on organic pollutants, while the input of active sonocatalytic materials improves the generation and enrichment of free radical species, so that the degradation process can be continuously enriched, in a natural way [15]. A Fenton-like catalyst used in combination with US technology for BPA degradation is Schwertmannite (Sch), an iron (III) oxyhydroxysulfate mineral, with a general chemical formula of [Fe8O8(OH)(8−2x)(SO4)x, 1 ≤ x ≤ 1.75]. BPA degradation was significantly enhanced (98.0%) when the catalytic system was coupled with US (US/Sch/H2O2), indicating that there is a synergistic effect between US and Sch on H2O2 activation [17]. Due to the limited efficiency of BPA degradation by the single system with US, or by oxidants without US assistance, researchers investigated the activation of four different common oxidants by US. Following the analyses, they found that US and the investigated oxidants have a synergistic effect, obtaining the following synergy indices of the systems US-S2O82−, US-H2O2, US-HSO5−, and US-IO4−, of 1.13, 1.16, 1.25, and 2.22, respectively [14]. The study [17] indicated that the degradation reaction of BPA in the presence of US and Sch occurred in two stages, consisting of an induction period, followed by a rapid degradation period, according to a pseudo first-order kinetic process. The degradation efficiency was affected by several operating parameters, especially pH, catalyst dosage, temperature, and H2O2 concentration. The optimum pH was 3, the lower or higher values leading to decreased degradation efficiency. Increasing the dosage of Sch from 0.1 to 1 g/L was effective, but an increase to 2 g/L did not lead to an improvement of the process. The increase in temperature led to the increase in the reaction rate in stage II, and the concentration of H2O2 was maximally effective at 15 mM. Lower values were not effective, and higher values inhibited degradation.
Another study examined the degradation of bisphenol A using a CuS/BaWO4 catalyst and ultrasound. Potassium persulfate (K2S2O8) was added to increase the BPA degradation capacity. It was found that by degrading it with US, new radical species of the •SO4− type were introduced into the system—a free radical more effective than •OH. In addition, •SO4− attracts electrons from hydroxyl ions in water, and forms more •OH radicals, see Equations (7) and (8) [19].
•SO4− + H2O → HSO4− + OH•
•SO4− + OH− → SO42− + OH•
Previous studies have reported that ultrasonic degradation was effective at a higher frequency. Investigating the factors affecting the US degradation rate of BPA [12], it was observed that dissolved oxygen, higher ultrasonic frequency (300–500 kHz [2]) and higher power favored BPA degradation. The presence of HCO3− and humic acid (HA) prevented BPA degradation, while Cl- showed a minor influence. Investigating the effect of operating parameters on BPA degradation efficiency, it was found [7] that degradation was stimulated by increasing ultrasound power (38.87–97.17 W), temperature (30–70 °C), and an initial peroxydisulfate (PDS) concentration of 1.71–17.11 mM. Determining the significance of these operational parameters in BPA degradation, their importance was estimated in the following order: temperature—46.83%, initial PDS concentration—40.54%, and ultrasound power—12.63%. Other studies have demonstrated that US irradiation is a promising way to effectively treat BPA in aqueous solution under optimal operating conditions—US frequency, power intensity, addition of oxidants, and impact of different additives—quickly and without negative side effects.
The aim of this study was to achieve higher degradation efficiencies of BPA in aqueous solutions, using ultrasound under air atmosphere. The novelty of the data obtained in this paper are related to the very promising results of BPA treatment using different ultrasound frequencies and the effect of adding additional compounds (CCl4, FeSO4 7H2O, and ethyl anthraquinone—EAC), on BPA degradation and mineralization, in a very short time (60 min). Three different frequencies were studied: 1146 kHz, 864 kHz, and 580 kHz, at a power of 50 W. The liquid chromatography with tandem mass spectrometry/mass spectrometry (LC-MS/MS) technique was used (for both BPA quantification and possible degradation compounds’ identification). Based on the results, BPA degradation pathways were proposed.
2. Materials and Methods
2.1. Chemicals and Equipments
Chemical reagents used for experiments, namely, bisphenol A (purity > 99.9%), ethanol (99%), carbon tetrachloride (purity > 99.9%, CCl4,) ferrous sulphate heptahydrate (FeSO4 7H2O), methanol (high-performance liquid chromatography grade), acetic acid, ethyl anthraquinone, and sulphuric acid, were acquired from Sigma-Aldrich (Darmstadt, Germany). All other reagents were of analytical grade quality. High purity water was obtained in-house, using an ultrapure water system, from Merk Millipore (Burlington, MA, USA).
Ultrasonic System
A Meinhardt multifrequency ultrasound system was used, composed of a frequency generator (580, 864, and 1146 kHz), a power applicator, and an ultrasonic transducer, with a diameter of 75 mm. The ultrasound absorbed power, was determined by calorimetry, as 50 W. The metal reactor with a volume of 100 mL was connected to the transducer through a flange and was provided with a jacket, through which coolant from a thermostat circulated. The temperature was maintained at approx. 30 °C during the process. The ultrasonic transducer was operable with continuous sound. The system diagram is presented in Figure 1.
Figure 1.
Schematic diagram of the experimental apparatus (Meinhardt multifrequency system): 1—US reactor, water jacketed; 2—ultrasonic transducer; 3—power amplifier; 4—frequency generator 580, 864, and 1146 kHz.
2.2. Analytical Methods Used for BPA and Intermediates Resulted
2.2.1. Analytical Conditions Used for BPA Determination
The experiments for BPA quantification were carried out using an Agilent 1260 series liquid chromatograph system (Agilent, Waldbronn, Germany), coupled with an Agilent 6410B triple–quadrupole mass spectrometer, MS, with an electrospray ionization source (ESI). A Luna C18 type (150 mm× 2.0 mm; 3.0-μm particle size) chromatographic column, maintained at 35 °C, was used. The mobile phase consisted of 0.01% acetic acid in ultrapure water (A) and methanol (B) 30/70 v/v, in isocratic mode, at a flow rate of 0.15 mL/min. The injection volume was 1 µL. BPA detection was performed in MRM (multiple reaction monitoring) mode, monitoring two mass transitions: 227 → 212 and 227 → 133. MS parameters established for the BPA quantification were cell accelerator voltage (1 V), fragmentor voltage (150 V), collision energy (15 V), and dwell time (250 msec). The BPA elution was performed in less than 6 min. ESI operational parameters were capillary voltage (6000 V), drying gas temperature (300 °C), drying gas flow (7 L/min), and nebulizer pressure (40 psi).
2.2.2. Analytical Conditions Used for the Identification of the Degradation Products
Determination of unknown degradation products of BPA was executed using the LC-MS/MS technique. The injection volume was 5 μL. The Luna C18 chromatographic column temperature was set at 20 °C. The mobile phase consisted of 0.01% acetic acid in ultrapure water (A) and methanol (B) 40/60 v/v, in isocratic mode, at a flow rate of 0.15 mL/min and a stop time of 15 min. Data were gathered in the enhanced mass spectra mode, between 50 and 350 Da. Full-scan chromatograms were registered, using the ESI source in negative mode. ESI operational parameters were capillary voltage (6000 V), drying gas temperature (300 °C), drying gas flow (7 L/min), and nebulizer pressure (40 psi). For each chromatographic peak of the scan chromatograms, the MS spectra were extracted. The degradation products were identified based on the deprotonated species [M-H]− combined with the literature data.
2.2.3. Quality Assurance and Quality Control
All samples were analysed in triplicate. An etalon and a blank sample were injected at each test sequence. The method linearity was evaluated between 0.015 and 25 mg/L, using six calibration points (0.015, 0.01, 0.5, 5.0, 10, and 25 mg/L), with a high correlation coefficient value being obtained, R2 = 0.998. Recovery was not evaluated because sample preparation required only a dilution step. The relative standard deviation (RSD) values for intra-day and inter-day precision were 3.2% and 5.7%, respectively. The method accuracy was 0.92%. Limit of detection (LOD) was 0.005 mg/L, and limit of quantitation (LOQ) was 0.015 mg/L. The measured uncertainty was determined to be 22.6%. Samples were diluted using ultra-purified water, to fit in the calibration domain. The degradation level of the BPA was determined using chemical oxygen demand analysis, COD, according to SR ISO 6060:19962 [20].
2.3. Work Methods
All experiments were performed in triplicate. The results represent the meaning of the obtained values. Volumes of 100 mL of synthetic solution with 25 mg/L initial BPA concentration were introduced into the ultrasonic reactor under air atmosphere. The ultrasonic reactor was inserted into a cooling bath that usually maintained a relatively constant temperature, of around 30 °C. The influence of frequency and doses of some additional compounds such as CCl4, FS, and EAC on the efficiency of BPA degradation were studied. Three different frequencies were used, 1146 kHz, 864 kHz, and 580 kHz, at 50 W, in the absence and in the presence of the additional compounds.
CCl4 was used in three different initial doses, 6 µL, 12 µL and 25 µL, into 100 mL initial solution. The degradation efficiency was studied for each of the three frequencies, for 15 min. FeSO4 7H2O, with 0.1 mg/L concentration, was used in two doses: 5 mL/95 mL initial solution, and 20 mL/80mL initial solution. The variation of BPA degradation in time, for 60 min, at a frequency of 580 kHz, was studied. In the end, the BPA degradation efficiency was studied for 60 min at 580 kHz for EAC with doses of 0.1, 0.2, and 0.3 mL/100 mL initial solution, respectively. All experiments were performed in triplicate; the values used in the paper represent the average value. For optimization of the process, a comparison was performed between all methods, all doses used a frequency of 580 kHz, and after 15 min.
To establish the effects of the process applied, the efficiency of BPA degradation, E, was determined using the equation:
where is the initial concentration of BPA in initial solution, mg/L, and is the concentration of BPA at the t moment in the system, mg/L.
The efficiency of BPA mineralization, Em, was determined using the equation:
where is the initial chemical oxygen demand, COD, concentration for BPA in initial solution, mg/L; and is the COD concentration of BPA solution at the t moment in the system, mg/L.
3. Results and Discussions
3.1. BPA Degradation Efficiency
3.1.1. Influence of US Frequency
The results showed that for frequencies of 580 kHz and 864 kHz, BPA degradation efficiency was around 38%. Degradation efficiency increased from 23% and 26%, respectively, after the first 15 min, to aproximately 32% after 30 min, and then remained constant. Thus, exposure periods longer than 30 min did not justify the energy consumption. For 1146 kHz frequency, the maximum degradation efficiency obtained was only 7% after 60 min. This meant that the use of very high frequencies was also not justified. BPA degradation efficiency in time under US exposure at the three frequencies is given in Figure 2.
Figure 2.
Influence of the US frequencies on BPA degradation efficiency.
The MRM chromatogram corresponding to the variation of BPA concentration in time, at the three frequencies, is given in Figure 3. The BPA chromatographic signal intensity decreased over time to comparable values for the first two frequencies. At 1146 kHz, the chromatographic peak intensities changed very little, proving the poor efficiency of high frequencies for BPA degradation. For the SCAN chromatograms recorded at 60 min after the start of the experiment, a single chromatographic peak (the BPA peak) was observed, at the retention time of 7.42 min (Figure S1). The MS spectra showed a single chemical species with [M-H]− of 243.1 (Figure S2).
Figure 3.
The MRM chromatograms superimposed at US exposure for frequencies: (a) 580 kHz, (b) 864 kHz, and (c) 1146 kHz, in the range 0–60 min.
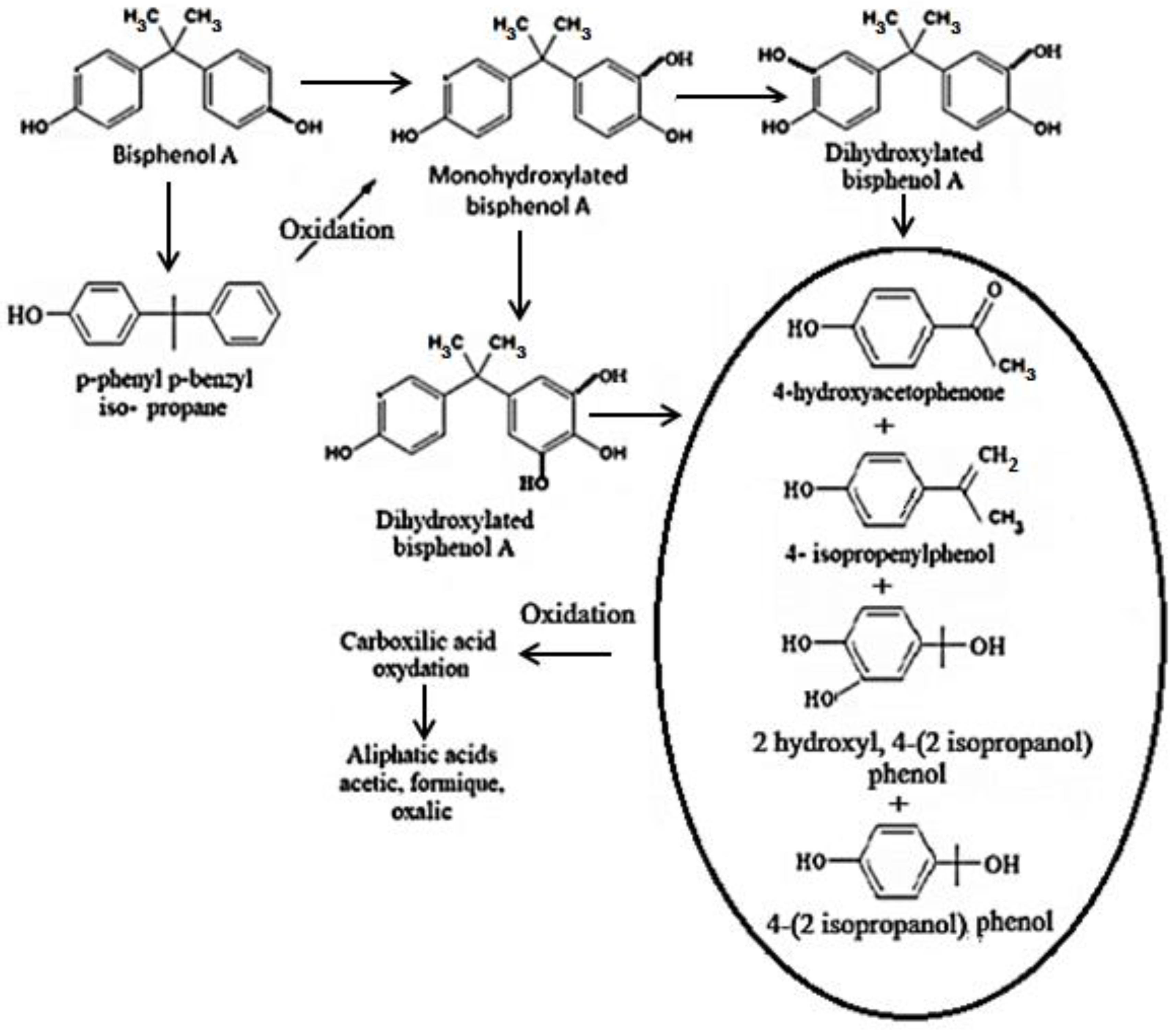
The LC-MS/MS analysis highlighted the chemical species that appeared after exposure to US. The proposed pathway for BPA degradation using US at frequencies of 580 kHz and 864 kHz, for an exposure of 60 min, is shown in Figure 4. Experiments conducted at 580 kHz and 864 kHz were very similar. After the first 15 min of exposure to US, compounds such as monohydroxylated bisphenol A and dihydroxylated bisphenol A appeared in the system, which proved the oxidizing action of the hydroxyl radical. Hydroxyl radical adds to the aromatic nucleus, forming vicinal di hydroxides or tri hydroxides [21], then vicinal carbonyl compounds and hydroperoxides, following the splitting of the aromatic nucleus. It results in dicarboxylic acids that fragment to carboxylic acids, with small chains of carbon atoms such as acetic acid, formic acid, oxalic acid [22]. Another compound that resulted in the first 15 min was p-benzyl, p-phenyl isopropane, which is toxic for the environment [23] and which must be subjected to advanced oxidation. After 30 min of exposure to US, fragments such as 4 isoprophenyl phenol and 4-hydroxyacetophenone appeared. These compounds are toxic compounds, relatively difficult to biodegrade in the environment [24,25,26].
Figure 4.
The proposed pathway to BPA degradation using US at frequencies of 580 kHz and 864 kHz, for an exposure of 60 min.
3.1.2. Influence of CCl4 as Additional Compound
The use of CCl4 as an additional substance at US exposure with frequencies of 580 kHz and 864 kHz, and power of 50 W, for 15 min, had a positive effect on the degradation efficiency of BPA. The BPA degradation efficiency increased from 25% (obtained in experiments without CCl4), to 55% at 6 µL CCl4 per 100 mL BPA solution, and up to 70% at 25 µL CCL4 per 100 mL BPA solution (Figure 5). The degradation efficiency of BPA was compared with the efficiency of the mineralization process (Figure 6). It was observed that only 35% of the initial amount of BPA—which represented half the degraded quantity—managed to mineralize carbon dioxide and water in the first 15 min of exposure to US with a frequency of 580 kHz and P = 50 W.
Figure 5.
Efficiency of BPA degradation at US exposure at 580 kHz and 864 kHz, in the presence of CCl4, for 15 min.
Figure 6.
Efficiency of BPA degradation and mineralization at US exposure at 580 kHz, in the presence of CCl4, for 15 min.
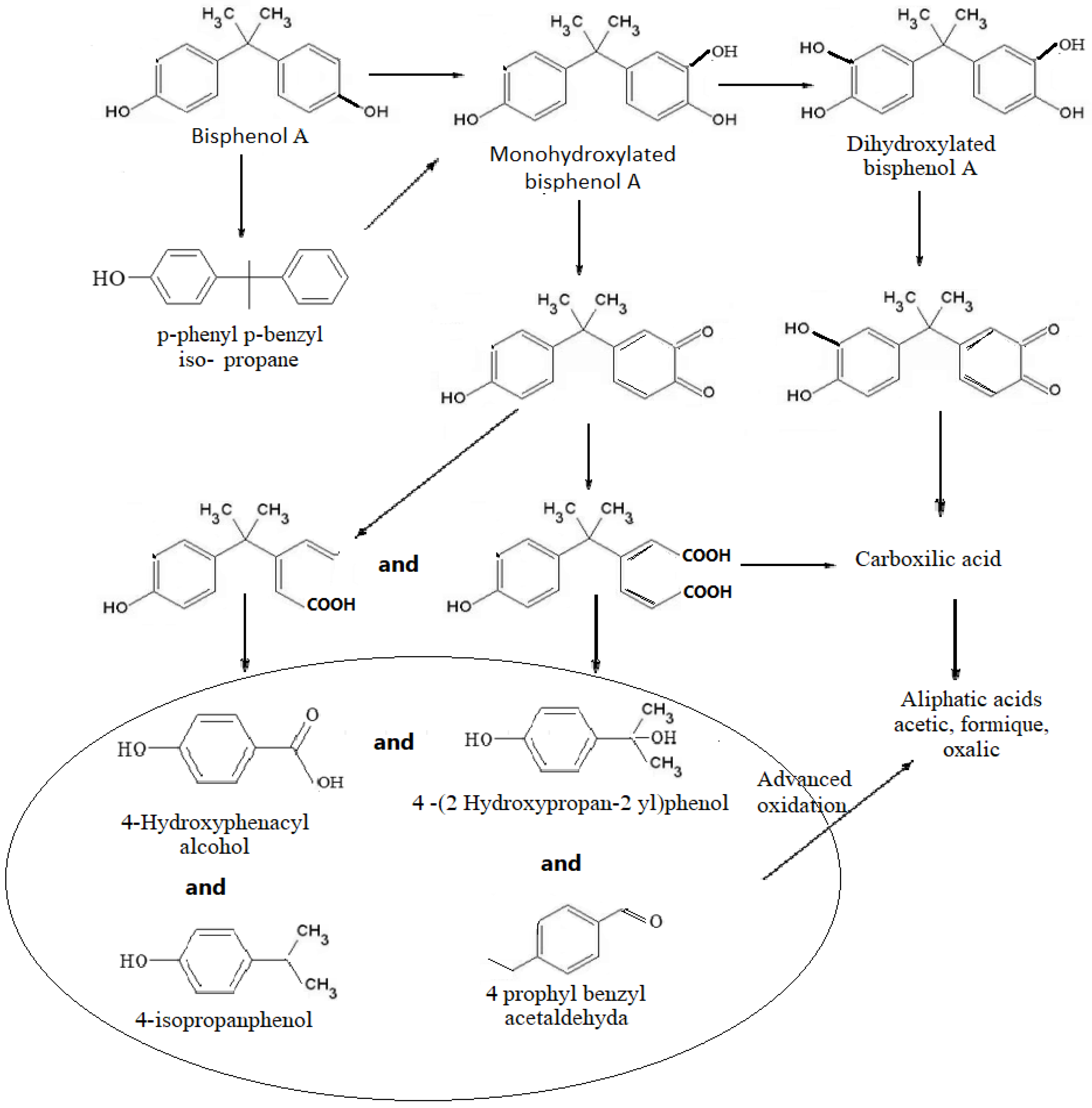
The proposed pathway of BPA degradation using US at frequencies of 580 kHz and 864 kHz, for an exposure of 15 min in the presence of CCl4, is given in Figure 7.
Figure 7.
The proposal pathway to BPA degradation using US at frequencies of 580 kHz and 864 kHz, for an exposure of 15 min in presence of CCl4.
The experiment involving CCl4 as an additional substance at US exposure with frequencies of 580 kHz, and 864 kHz generated 10 possible degradation products of BPA. The retention times, m/z values and the proposed chemical structures are given in Table S1.
It was identified that exposure to US radiation in the presence of CCl4 favoured the formation of hydroxyl and hydroperoxyl oxidizing species. In the first 15 min, oxidized species such as monohydroxylated bisphenol A [27], dihydroxylated bisphenol A [28], vicinal dihydroxy and dicarbonyl compounds [29], and mono- or di-carboxylic compounds [30], were formed, resulting from the split of one of the aromatic rings. They were degraded into carboxylic acids step by step, with a small number of carbon atoms, and other components such as 4-Hydroxyphenacyl alcohol, 4-(2Hysroxypropan-2yl)phenol, 4-isopropanephenol, 4-prophyl benzyl acetaldehyde, and partially oxidized compounds, with lower or higher toxicity [21,23,29,31], which require further oxidization. Additionally, P-phenyl-p-benzyl-isopropane was formed—a reduced, very toxic compound [32]. The positive effect of CCl4 was highlighted by the fact that, in the resulting mixture of compounds, more species with a more advanced level of oxidation were formed in a shorter time, than in the case of US exposure without additional compounds.
3.1.3. Influence of FeSO4 7H2O, FS, Additional Compounds
BPA degradation efficiency after 60 min of exposure to US, at 580 kHz and at different doses of FeSO4 7H2O with a concentration of 0.1 mg/L, is shown in Figure 8.
Figure 8.
Efficiency of BPA degradation at US exposure in the presence of FS, as the additional compound, with a concentration of 0.1 mg/L, in time.
The degrees of BPA degradation reached around 60% and 72%, for a dose of 5 mL/95 mL and 20 mL/80 mL initial solution, respectively, in 60 min. After 30 min, the degradation capacity was up to 50% and 70% for the two doses, respectively. This proves that FS had a beneficial effect on BPA degradation. The mineralization efficiency increased to values of around 9% in the absence of the additional compound, at 14% and 24%, respectively, for the two doses of FS, after 15 min of exposure (see Figure 9).
Figure 9.
Efficiency of BPA transformation at US exposure in the presence of FS, the additional compound, after 15′.
The SCAN chromatogram recorded after 15 min, for the experiment which involved the addition of FS at 0/100 mL of initial solution, five chromatographic peaks, at approximatively 3.81, 3.98, 4.66, 5.54 and 7.26 min (Figure S18). The MS spectrum (Figures S18–S23) extracted for each peak showed six chemical species with the abundant [M-H]− as 133, 151, 135, 227, 117 and 243. For the second experiment (with FS at 5/95 mL of the initial solution), six chromatographic peaks were observed in the SCAN chromatograms recorded after 15 min of exposure (Figure S25), at the retention times of 3.82, 3.98, 4.67, 5.88, 7.81 and 9.17 min, respectively, corresponding to degradation products with m/z of 133, 151, 135, 227, 241, 243 and 211 (Figures S26–S31). For the last experiment of these series, the formation of only two degradation products were observed, at the retention times of 7.23 and 9.18 min, corresponding to m/z 243 and 211, respectively (Figures S32–S34).
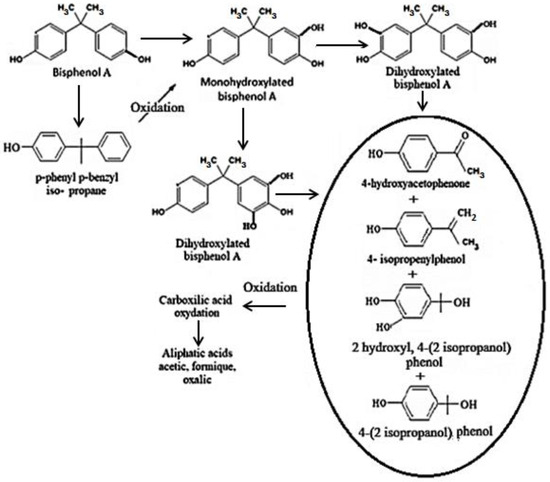
Figure 10 shows a proposed pathway to BPA degradation, using US and FeSO4 7H2O as the additional compound at frequencies of 580 kHz. The presence of FS increased the US effects. The BPA degradation pathway in the first steps involved the formation of the same compounds as in the presence of CCl4; the difference appeared in terms of intermediate degradation compounds that were formed after the first 15 min of contact and in greater numbers.
Figure 10.
The proposed pathway to BPA degradation, using US and FeSO4 7H2O with concentration 0.1 mg/L, as an additional compound at different doses, and at frequency of 580 kHz, for an exposure of 60 min.
3.1.4. Influence of EAC as Additional Compound
Doses of 0.1, 0.2, and 0.3 mL of EAC were added over the 100 mL of BPA solution with a concentration of 25 mg/L. The US effect was amplified by EAC at 580 kHz. Thus, as the doses increased, the degradation efficiency of BPA also increased, from approximately 39% in the absence of EAC, after 60 min, to over 64%, 68% and 72%, respectively (Figure 11).
Figure 11.
Efficiency of BPA degradation at US exposure in presence of EAC, in time.
The stimulatory effect of EAC on BPA degradation after 15 min of exposure was compared with the mineralization capacity (Figure 12). Increasing the dose of EAC caused the mineralization efficiency to increase to 32%, for a dose of 0.3 mL of EAC, while the degradation capacity remained relatively constant, around 45%, for the first 15 min of exposure.
Figure 12.
Efficiency of BPA transformation at US exposure in presence of EAC after 15′ exposure.
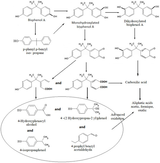
The SCAN chromatograms for each of the three experiments showed identical results, with five chromatographic peaks being observed after 15 min of exposure (with the exception of BPA) at the retention times of approximately 3.69, 4.54, 5.71, 7.10 and 13.03 min (Figures S35, S42 and S49). The MS spectrums showed six [M-H]− chemical species with m/z of 133, 151, 227, 241, 243 and 275 (Figures S36–S41, S43–S48 and S50–S54). The proposed BPA degradation pathway is given in Figure 13.
Figure 13.
The proposed pathway to BPA degradation using US and EAC as additional compounds at different doses, and at a frequency of 580 kHz for an exposure of 60 min.
This showed that approximately 70% of the intermediate compounds that were formed had been mineralized. The presence of EAC favoured the formation of larger amounts of oxidizing species that supported the mineralization.
The proposed pathway to BPA degradation using US and EAC as an additional compound at 580 kHz was similar to the previous proposed pathway, because LC-MS/MS methods identified the same [M-H]− species as in this case.
3.1.5. Comparative Analyses of the BPA Transformations
To optimize the process, the use of US with a frequency of 580 kHz, after a 15-min exposure, was chosen as a comparison term. Figure 14 and Figure 15 show the comparative values of the degradation efficiency and the mineralization efficiency for all the situations presented previously.
Figure 14.
The comparison between the degradation efficiency of BPA at 15 min of US exposure and different additional compounds.
Figure 15.
The comparison between the mineralisation efficiency of BPA at 15 min of US exposure and different additional compounds.
The use of ultrasound with high frequencies of 580 and 864 kHz, and at P = 50 W, determined degradation efficiencies of up to 23%, and mineralization percentages of up to 9% for BPA in solutions, with an initial concentration of 25 mg/L. The best degradation efficiency was obtained using CCl4, and the efficiency increased with the increase of the doses used, of up to 70%. In this situation, the demineralization capacity increased from 28% to 36%, which meant that usually, almost half of the amount that degraded reached mineralization.
The use of FS increased the efficiency of BPA degradation and mineralization as the used dose increased, reaching values of up to 54% and 24%, respectively. The mineralization capacity was also almost half of the degradation capacity.
For EAC, it was observed that the increase of the EAC dose did not cause a sharp increase of the degradation degree, achieving a constant value, of up to 45%, while the mineralization capacity increased up to 35%. It seemed that the use of 0.3 mL EAC caused an increase in the mineralization degree to approximately 75% of the degradation capacity.
4. Conclusions
This study demonstrates the reliability of the ultrasonic method for the degradation of organic compounds in general, and BPA in particular, because ultrasound devices can easily be installed on existing treatment/purification installations. As a result of the degradation processes, there was no sludge that affected the subsequent stages of the treatment/purification process.
The use of additives such as CCl4, FS, and EAC had a positive effect on the BPA degradation process assisted by ultrasound. After 60 min of exposure, the degradation capacities reached values of between 50% and 75%, and mineralization capacities between 20% and 35%. The presence of organic compounds such as CCl4 and EAC had a more pronounced stimulating action than FS, and EAC had the highest mineralization capacity, which represented around 75% of the degradation capacity.
The results obtained in this study demonstrated very good degradation efficiencies of BPA, of over 70%, obtained using ultrasound at relatively low frequencies, 580 kHz, at 30 °C, US intensity of 50 W/cm, pH in the range of 3.00–5.50, and very short exposure time (of 15 min to a maximum of one hour). Better results were obtained using small amounts of additional compounds such as FS, CCl4 and EAC, as process initiators. The compounds obtained by US method biodegraded most easily in the presence of acetyl coenzyme, through the beta-oxidation process. More than 75% of the compounds resulting from degradation were mineralized.
The obtained BPA degradation efficiency can be compared with those of photocatalytic oxidation processes, which achieve efficiencies of up to 70% (or more), but require a much longer exposure time, in the presence of strong oxidizing compounds (hydrogen peroxide and ozone) and catalysts (TiO2, Ce-ZnO, Cu-TiO2, etc., incorporated in very complex structures), which are usually very expensive compounds. It can also be compared with irradiation with ultraviolet light for initial BPA concentration in same range [33].
The efficiencies of the biodegradation processes of BPA in aerobic or anaerobic conditions are much lower; they last for much longer periods, namely, more than 10 days, starting from much lower concentrations than those used in the presented study [34].
Supplementary Materials
The following supporting information can be downloaded at: https://www.mdpi.com/article/10.3390/su151914058/s1.
Author Contributions
Conceptualization, I.C. and D.S.S. methodology, F.L.C. and D.S.S.; software, D.S.S.; validation, F.L.C. and M.S.; formal analysis, A.M.P. and A.M.D. investigation, A.M.P. and I.C., resources, D.S.S.; writing—original draft preparation, D.S.S. and M.S.; writing—review and editing, D.S.S., F.L.C. and A.M.D.; visualization, F.L.C. and M.S.; supervision, D.S.S., I.C. and M.S.; project administration, A.M.P.; funding acquisition, D.S.S. and A.M.P. All authors have read and agreed to the published version of the manuscript.
Funding
European Social Fund from the Sectoral Operational Programme Human Capital 2014–2020, through the Financial Agreement with the title “Training of PhD students and postdoctoral researchers in order to acquire applied research skills—SMART”, Contract no. 13530/16.06.2022—SMIS code: 153734.
Institutional Review Board Statement
Not applicable.
Informed Consent Statement
Not applicable.
Data Availability Statement
Not applicable.
Acknowledgments
This work has been funded by the European Social Fund from the Sectoral Operational Programme Human Capital 2014–2020, through the Financial Agreement with the title “Training of PhD students and postdoctoral researchers in order to acquire applied research skills—SMART”, Contract no. 13530/16.06.2022—SMIS code: 153734.
Conflicts of Interest
The authors declare no conflict of interest.
References
- Dura-Pahontu, A.M.; Draganescu, R.; Stefan, D.S.; Stefan, M. Preliminary study regarding the influence of BPA on some microorganisms. U.P.B. Sci. Bull. 2022, 84, 73–82. [Google Scholar]
- Inoue, M.; Masuda, Y.; Okada, F.; Sakurai, A.; Takahashi, I.; Sakakibara, M. Degradation of bisphenol A using sonochemical reactions. Water Res. 2008, 42, 1379–1386. [Google Scholar] [CrossRef] [PubMed]
- Loganathan, B.G.; Lam, P.K.S. Global Contamination Trends of Persistent Organic Chemicals, 1st ed.; CRC Press: Boca Raton, FL, USA, 2012; pp. 3–32. [Google Scholar]
- González-Mille, D.J.; Ilizaliturri-Hernández, C.A.; Espinosa-Reyes, G.; Cruz-Santiago, O.; Cuevas-Díaz, M.D.C.; Martín Del Campo, C.C.; Flores-Ramírez, R. DNA damage in different wildlife species exposed to persistent organic pollutants (POPs) from the delta of the Coatzacoalcos Ver, Mexico. Ecotoxicol. Environ. Saf. 2019, 180, 403–411. [Google Scholar] [CrossRef] [PubMed]
- Ghassabian, A.; Vandenberg, L.; Kannan, K.; Trasande, L. Endocrine-Disrupting Chemicals and Child Health. Annu. Rev. Pharmacol. Toxicol. 2022, 62, 573–594. [Google Scholar] [CrossRef]
- Mahmad, A.; Zango, Z.U.; Noh, T.U.; Usman, F.; Aldaghiri, O.A.; Ibnaouf, K.H.; Shaharun, M.S. Response surface methodology and artificial neural network for prediction and validation of bisphenol a adsorption onto zeolite imidazole framework. Groundw. Sustain. Dev. 2023, 21, 100925. [Google Scholar] [CrossRef]
- Preethi, S.; Sandhya, K.; Lebonah, D.E.; Prasad, C.V.; Sreedevi, B.; Chandrasekhar, K.; Kumari, J.P. Toxicity of bisphenol a on humans: A review. Int. Lett. Nat. Sci. 2014, 22, 32–46. [Google Scholar] [CrossRef]
- Suresh, S.; Singh, S.A.; Vellapandian, C. Bisphenol A exposure links to exacerbation of memory and cognitive impairment: A systematic review of the literature. Neurosci. Biobehav. Rev. 2022, 143, 104939. [Google Scholar] [CrossRef] [PubMed]
- Nikfar, E.; Dehghani, M.H.; Mahvi, A.H.; Rastkari, N.; Asif, M.; Tyagi, I.; Agarwal, S.; Gupta, V.K. Removal of Bisphenol A from aqueous solutions using ultrasonic waves and hydrogen peroxide. J. Mol. Liq. 2016, 213, 332–338. [Google Scholar] [CrossRef]
- Zhang, K.; Gao, N.; Deng, Y.; Lin, T.F.; Ma, Y.; Li, L.; Sui, M. Degradation of bisphenol-A using ultrasonic irradiation assisted by low-concentration hydrogen peroxide. J. Environ. Sci. 2011, 23, 31–36. [Google Scholar] [CrossRef]
- Chu, K.H.; Al-Hamadani, Y.A.J.; Park, C.M.; Lee, G.; Jang, M.; Jang, A.; Her, N.; Son, A.; Yoon, Y. Ultrasonic treatment of endocrine disrupting compounds, pharmaceuticals, and personal care products in water: A review. Chem. Eng. J. 2017, 327, 629–647. [Google Scholar] [CrossRef]
- Gao, Y.; Zhang, J.; Zhou, J.; Chu, W.; Gao, N. An expected formation of TCNM from chlorination of bisphenol A with ultrasonic pretreatment: A new nitrogen source for N-DBP from N2 in air. J. Chem. Eng. 2021, 429, 132326. [Google Scholar] [CrossRef]
- Meng, L.; Gan, L.; Gong, H.; Su, J.; Wang, P.; Li, W.; Chu, W.; Xu, L. Efficient degradation of bisphenol A using High-Frequency Ultrasound: Analysis of influencing factors and mechanistic investigation. J. Clean. Prod. 2019, 232, 1195–1203. [Google Scholar] [CrossRef]
- Sun, S.; Ren, Y.; Guo, F.; Zhou, Y.; Cui, M.; Ma, J.; Han, Z.; Khim, J. Comparison of effects of multiple oxidants with an ultrasonic system under unified system conditions for bisphenol A degradation. Nati. Libr. Med. 2023, 329, 138526. [Google Scholar] [CrossRef] [PubMed]
- Nath, A.; Biswas, S.; Pal, A. A comprehensive review on BPA degradation by heterogeneous Fenton-like processes. Water Sci. Tech. 2022, 86, 714–745. [Google Scholar] [CrossRef] [PubMed]
- Deggelmann, M.; Nöpel, J.A.; Rüdiger, F.; Paustian, D.; Braeutigam, P. Hydrodynamic cavitation for micropollutant degradation in water–Correlation of bisphenol A degradation with fluid mechanical properties. Ultrason. Sonochem. 2022, 83, 105950. [Google Scholar] [CrossRef]
- Li, X.; Zhang, Y.; Xie, Y.; Zeng, Y.; Li, P.; Xie, T.; Wang, Y. Ultrasonic-enhanced Fenton-like degradation of bisphenol A using a bio-synthesized schwertmannite catalyst. J. Hazard. Mater. 2018, 344, 689–697. [Google Scholar] [CrossRef] [PubMed]
- Chu, J.H.; Kang, J.K.; Park, S.J.; Lee, C.G. Ultrasound-activated peroxydisulfate process with copper film to remove bisphenol A: Operational parameter impact and back propagation-artificial neural network modeling. J. Water Process Eng. 2021, 44, 102326. [Google Scholar] [CrossRef]
- Liu, Y.C.; Liu, X.; Zhang, G.-H.; Liu, W.; Wang, J.-Q.; Wang, X.; Chen, C.L.; Wang, Y.; Xiang, Z. Performance and mechanism of a novel S-scheme heterojunction sonocatalyst CuS/BaWO4 for degradation of bisphenol A by ultrasonic activation. Environ. Res. 2023, 216, 14720. [Google Scholar] [CrossRef]
- ISO 6060:19962; Water Quality-Determination of the Chemical Oxygen Demand. International Standard ISO: Geneva, Switzerland, 1989.
- Jonathan, N.B.; Steinmetz, R. Xenoestrogens: The emerging story of bisphenol a. Trends. Endocrinol. Metab. 1998, 9, 124–128. [Google Scholar] [CrossRef]
- Torres, R.A.; Pétrier, C.; Combet, E.; Carrier, M.; Pulgarin, C. Ultrasonic cavitation applied to the treatment of bisphenol A. Effect of sonochemical parameters and analysis of BPA by-products. Ultrason. Sonochem. 2008, 15, 605–611. [Google Scholar] [CrossRef]
- Widhiastuti, F.; Fan, L.; Paz-Ferreiro, J.; Chiang, K. Oxidative treatment of bisphenol A by Fe(VI) and Fe(VI)/H2O2 and identification of the degradation products. Environ. Technol. Innov. 2022, 28, 102643. [Google Scholar] [CrossRef]
- Kang, J.H.; Kondo, F. Effects of bacterial counts and temperature on the biodegradation of bisfenol A in river water. Chemosphere 2002, 49, 493–498. [Google Scholar] [CrossRef]
- Zhang, W.; Yin, K.; Chen, L. Bacteria-mediated bisphenol A degradation. Appl. Microbiol. Biotechnol. 2013, 97, 5681–5689. [Google Scholar] [CrossRef] [PubMed]
- Kyrila, G.; Katsoulas, A.; Schoretsaniti, V.; Rigopoulos, A.; Rizou, E.; Doulgeridou, S.; Sarli, V.; Samanidou, V.; Touraki, M. Bisphenol A removal and degradation pathways in microorganisms with probiotic properties. J. Hazard. Mater. 2021, 413, 125363. [Google Scholar] [CrossRef] [PubMed]
- Zühlke, M.K.; Schlüter, R.; Mikolasch, A.; Henning, A.K.; Giersberg, M.; Lalk, M.; Kunze, G.; Schweder, T.; Urich, T.; Schauer, F. Biotransformation of bisphenol A analogues by the biphenyl-degrading bacterium Cupriavidusbasilensis-a structure-biotransformation relationship. Appl. Microbiol. Biotechnol. 2020, 104, 3569–3583. [Google Scholar] [CrossRef] [PubMed]
- Stack, D.E.; Mahmud, B. Efficient access to bisphenol A metabolites: Synthesis of monocatechol, mono-o-quinone, dicatechol, and di-o-quinone of bisphenol A. Synt. Commun. 2018, 48, 161–167. [Google Scholar] [CrossRef]
- Wua, Q.; Fanga, J.; Li, S.; Wei, J.; Yang, Z.; Zhao, H.; Zhao, C.; Cai, Z. Interaction of bisphenol A 3,4-quinone metabolite with glutathione and ribonucleosides/deoxyribonucleosides in vitro. J. Hazard. Mater. 2017, 323 Pt A, 195–202. [Google Scholar] [CrossRef]
- Deborde, M.; Rabouan, S.; Mazellier, P.; Duguet, J.P.; Legube, B. Oxidation of bisphenol A by ozone in aqueous solution. Water Res. 2008, 42, 4299–4308. [Google Scholar] [CrossRef] [PubMed]
- Gao, C.; Zeng, Y.H.; Li, C.Y.; Li, L.; Cai, Z.H.; Zhou, J. Bisphenol A biodegradation by Sphingonomas sp. YK5 is regulated by acyl-homoserine lactone signaling molecules. Sci. Total Environ. 2022, 802, 149898. [Google Scholar] [CrossRef]
- Yue, W.; Yin, C.F.; Sun, L.; Zhang, J.; Xu, Y.; Zhou, N.Y. Biodegradation of bisphenol-A polycarbonate plastic by Pseudoxanthomonas sp. strain NyZ600. J. Hazard. Maert. 2021, 416, 125775. [Google Scholar] [CrossRef]
- Reddy, P.V.L.; Kim, K.H.; Kavitha, B.; Kumar, V.; Raza, N.; Kalagara, S. Photocatalytic degradation of bisphenol A in aqueous media: A review. J. Environ. Manag. 2018, 213, 189–205. [Google Scholar] [CrossRef]
- Kang, J.H.; Kondo, F. Bisphenol A Degradation by Bacteria Isolated from River Water. Arch. Environ. Contam. Toxicol. 2002, 43, 265–269. [Google Scholar] [CrossRef]
Disclaimer/Publisher’s Note: The statements, opinions and data contained in all publications are solely those of the individual author(s) and contributor(s) and not of MDPI and/or the editor(s). MDPI and/or the editor(s) disclaim responsibility for any injury to people or property resulting from any ideas, methods, instructions or products referred to in the content. |
© 2023 by the authors. Licensee MDPI, Basel, Switzerland. This article is an open access article distributed under the terms and conditions of the Creative Commons Attribution (CC BY) license (https://creativecommons.org/licenses/by/4.0/).














