Next Article in Journal
MAT-WGCN: Traffic Speed Prediction Using Multi-Head Attention Mechanism and Weighted Adjacency Matrix
Previous Article in Journal
Utilization of Food Waste for the Development of Composite Bread
 
 
Font Type:
Arial Georgia Verdana
Font Size:
Aa Aa Aa
Line Spacing:
Column Width:
Background:
Article

Calculation Method of Deceleration Lane Length and Slope Based on Reliability Theory

Highway Academy, Chang’an University, Xi’an 710064, China
*
Author to whom correspondence should be addressed.
Sustainability 2023, 15(17), 13081; https://doi.org/10.3390/su151713081
Submission received: 12 July 2023 / Revised: 23 August 2023 / Accepted: 29 August 2023 / Published: 30 August 2023

Abstract

:
The deceleration lane is an important part of the freeway, and the rationality of its design parameters affects the exit accident rate. The traditional calculation method is based on the design of speed and vehicle parameters using deterministic methods, ignoring the randomness of the driver’s deceleration behavior. It is necessary to calculate the length and slope of the deceleration lane in detail according to the deceleration characteristics of the driver in the deceleration section by using the uncertainty method. This paper describes a study on the maximum longitudinal slope of the downhill section of the deceleration lane, where the safety of diverging vehicles is unfavorable. By collecting deceleration lane data from interchanges around Xi’an (Shaanxi Province, China, Coordinates: 108.95, 34.27) and analyzing the deceleration characteristics of vehicles, we propose a new deceleration model. In addition, the limit-state functions of the length and slope of the deceleration lane have been established based on the reliability theory. Finally, according to the deceleration characteristics, we determined the probability distribution of key parameters in the vehicle deceleration process. We used the Monte Carlo Simulation (MCS) and the Improved First-Order Second Moments (IFOSM) calculation model to calculate the length and slope of the deceleration lane, respectively. Finally, we propose the recommended values for the length and slope of the deceleration lane. The results of the study showed that: (1) The movement process of the vehicle on the deceleration section adopts a uniform deceleration, and the truck and the car start to decelerate from the starting of the taper section and diverging point, respectively. (2) The control vehicle in the deceleration lane calculation model is the compact car. (3) The reliability theory has good applicability in calculating freeway alignment indexes. It fully considers the probability of driver deceleration behavior in the calculation model, which provides a more suitable method for the calculation of deceleration lane indexes.

1. Introduction

With the development of the transportation industry, the speed of freeway construction is accelerating, and people’s transportation needs are growing. Interchanges are important traffic transfer facilities in freeways that play a role in connecting freeways with local roads, and their number is increasing rapidly.
The interchange serves as the hub of the entire freeway, and its operation determines the efficiency of the freeway [1]. However, due to the unique operating characteristics and complex traffic conditions in the diverging area, the behavior of vehicles changing lanes and decelerating here interferes with the mainline vehicles [2]. This interference can turn it into an accident-prone area with major safety problems [3]. The US Fatal Analysis Reporting System (FARS) data shows that 83% of accidents at interchanges occur in the diverging and emerging area [4]. Additionally, the diverging area has the highest accident rate on the freeway, according to studies [2,5]. Properly designed deceleration lanes can ensure an efficient divergence process as well as the safety of vehicle operation [6].
By categorizing and analyzing the accidents in the diverging area, we can conclude that the high speed of vehicles when they exit the freeway is the main reason for most of the accidents. Vehicles cannot fully decelerate to the design speed of the ramp within the limited length of the deceleration lane. As a result, the linear index decreases rapidly once the vehicle enters the ramp, resulting in the vehicle being unable to follow the established trajectory and losing control. This is especially so when the deceleration lane is downhill, and the deceleration occurs in the most unfavorable situation. Therefore, it is necessary to limit the length and slope of the deceleration lane. By reasonably determining the design indexes of the deceleration lane, the economy, design flexibility, and practical applicability can be improved.
The length and slope of deceleration lanes are critical parameters that significantly influence the safety of the diverging area. Previous studies have primarily focused on determining the lengths of deceleration lanes through deterministic calculations based on flat slopes. Subsequently, adjustments have been made to account for the impact of slope on deceleration. However, there have been limited separate investigations into the slope of deceleration lanes. In fact, the length of the deceleration lane has a high correlation with the slope, and the increase in the slope will inevitably lead to an increase in length when the length is determined. However, there is currently no research on the maximum slope value of the deceleration lane, which will lead to an unlimited increase in the length of the deceleration lane. Therefore, it is unreasonable to calculate one of the indexes alone, as this would not meet the requirements of continuous design.
At present, the selection of key parameter values in the study of deceleration lanes only considers design indexes and vehicle performance, ignoring the real situation of the driver and vehicle operation. As a result, parameter values such as vehicle deceleration do not match today’s vehicle performance. It is necessary to obtain the relevant calculation parameters close to the actual driving situation based on the analysis of the driver’s deceleration characteristics. Based on this analysis, the length and slope of the deceleration lane need to be recalculated. Therefore, this study introduces a reliability calculation model that considers the randomness of drivers’ operating behavior in the deceleration lane.
The main objective of this study is to investigate the deceleration characteristics of drivers in the deceleration section. This will be achieved by analyzing the speed variation of vehicles in the deceleration lane. Based on the reliability method, the uncertainty calculation was carried out, calculating the slope and length of the deceleration lane, considering human factors, and quantifying their safety.
The rest of this paper is organized as follows: Section 2 summarizes the previous studies; Section 3 details problems with existing calculation methods and the data analysis; Section 4 presents the establishment of the reliability calculation model of the deceleration lane based on deceleration characteristics; Section 5 obtains the model calculation results and performs sensitivity analysis; conclusions are drawn in Section 6.

2. Literature Review

2.1. Driver Characteristics in Diverging Area

To improve freeway safety, researchers have made efforts in various aspects, such as traffic safety facilities [7] and geometric design [8,9], etc. However, driving safety largely depends on human factors [10,11]. By analyzing the driver’s driving behavior, it is possible to obtain accurate and reasonable driving parameters. This, in turn, allows for the optimization of relevant design indexes.
Drivers who need to diverge will perform a series of operations, such as sign recognition, decision making, lane changing, and decelerating to exit when they see the diverging warning signs. These tasks require intensive judgment and operation on the part of the driver [10,12]. When the traffic volume is large, there are more trucks in the outermost lane, or the driver does not notice the exit warning signs, etc., drivers cannot change lanes to enter the taper section. Instead, they may be forced to change lanes at the end of the deceleration lane, which is prone to cause traffic accidents [13,14]. Furthermore, approaching from the end of the deceleration lane can lead to hazards as vehicles are unable to decelerate sufficiently.
In the past, the calculations for the deceleration lane index were based on vehicle dynamics, neglecting the deceleration characteristics of the driver. In the process of studying the driving characteristics of drivers in the diverging area, some scholars found that the subjective decisions made by drivers in the process of diverging often deviate from the intended design concept of the diverging area. It has been observed that drivers typically begin to decelerate in the taper section. Furthermore, there are significant differences in deceleration characteristics among different groups of drivers. Skilled and male drivers tended to drive at higher speeds in the deceleration zone [15,16], and the speed of vehicles entering the exit ramp was significantly higher than the design speed [16]. This phenomenon occurs because the mainline design speed is high and the driver has speed adaptation after driving at high speed for a long time. In addition, in order to solve the safety problem in the deceleration lane from the perspective of driving behavior, a real-time coaching program was proposed for real-time feedback on driving behavior. And this program ensures a high level of safety when driving in the deceleration lane [17].
Some scholars have researched the illusions of road alignment and analyzed the intrinsic causes of accidents in diverging areas from the perspective of traffic psychology. When driving in the downhill section for a long time, ramp awareness is weakened. When driving into the deceleration with a slower slope, the driver will have the illusion of entering the uphill section. As a result, they may accelerate to climb the slope, which can easily lead to the vehicle becoming out of control because of the high speed. This phenomenon is commonly referred to as the ramp illusion [18]. The direction of the curve radius connecting the deceleration lane and the ramp can also interfere with the driver’s maneuver [19]. Bidulka proposed that the curve illusion phenomenon can lead to frequent steering maneuvers by the driver, resulting in increased psychological tension [20].
In addition, the presence of trucks will have an impact on the surrounding traffic flow. Specifically, the impact is observed in the operating characteristics of cars, including operating speed, headway, reaction time, and lane-changing distance [21,22,23]. On the one hand, it is reflected in the dynamic performance, as trucks’ operating speed is low. When a car follows a truck, in order to achieve the driver’s desired speed, the car’s driver will produce the intention to change lanes. When the traffic volume is large, lane-changing behavior will lead to a deceleration and queuing phenomenon. On the other hand, the impact of trucks is also reflected in the driver’s psychological factors. In the presence of trucks, drivers often take the initiative to slow down and keep a safe distance from the truck. Additionally, drivers also actively look for opportunities to change lanes and move away from the vicinity of the truck.

2.2. Deceleration Lane

Chen [24] established a simulation model considering exit types, design speeds, and exit traffic volumes. From the perspectives of safety and operation, Chen proposed recommended and maximum values of deceleration lane lengths corresponding to different exit lane numbers. Xu [25] focused on the unfavorable alignment combination of B-type trumpets as a research object. The model considered the two factors of different ramp design speeds and driver reaction times, and put forward a recommended value for the deceleration lane length. And the results showed that the corresponding length in the “Specification” could not meet the requirements of vehicle deceleration. A new method for calculating deceleration lane length was proposed, which gives the length of the deceleration lane at 120 km/h by establishing the relationship between the deceleration lane length and the safety and comfort of the driver [26]. Kay questioned the deceleration parameters on the exit deceleration lane, and the relevant parameters were recalibrated by the measured data [27]. Kim [28] conducted a study to investigate the effect of speed change lane length on safety in service areas.
In addition, in a study of the number of deceleration lanes, it was found that drivers diverge with lower speeds and greater deceleration on single-lane deceleration lanes [29]. Studies of parallel and direct deceleration lanes have found that lane type has a significant effect on vehicle speed [30,31].
Scholars from various countries have focused on the study of deceleration lane length. They believe that by increasing the length of the deceleration lane they can reduce the driving load, increase the fault tolerance during driving, and improve the safety of the diverging area [32]. However, excessively long deceleration lanes usually have negative impacts. Studies have found that vehicles accelerate when the deceleration lane is too long and do not brake until they enter the ramp [33]. Because the effective deceleration zone is too long, the result is low utilization of the deceleration lane. This can lead the driver to expect to quickly enter the ramp and drive at high speed. In addition, through the analysis of the accident data of the deceleration lane, Chen proposed the recommended lengths of different types of deceleration lanes based on safety and accident rates. According to his findings, when the length of the deceleration lane exceeds 700 feet, the increase in the length of the deceleration lane may lead to a decrease in safety [24], and will weaken the marginal effect of deceleration lanes [34].
The reliability concept is widely used in structural engineering, such as bridges and buildings, as well as in aerospace and other fields. In recent years, scholars have introduced reliability methods into freeway design, such as the study of flat curve design parameters from the aspects of vehicle slip and sight distance [35]; calculation of the longitudinal slope length in the case of the most unfavorable combination of slope and length [36]; determination of the basic number of lanes on the freeway [37]. It can be seen that the reliability analysis has good applicability in the geometric design of the freeway.

2.3. Summary

The literature review shows that most of the existing studies are deterministic studies on deceleration lane length, and there is a lack of comprehensive studies that consider the coupling of deceleration lane length and slope.
This paper aims to improve the safety of the freeway diverging area from the source. To achieve this, it determines the value of key parameters of the deceleration lane and establishes a deceleration model for the vehicle. This was done by investigating and analyzing the deceleration characteristics of drivers, and fully considering the various factors that affect the deceleration lane. We used the MCS and IFOSM methods to establish the calculation model of the length and slope of the deceleration lane, and put forward the recommended values with a clear safety degree. It provides methods and solutions for the flexible selection of deceleration lane indexes and the rational design of traffic safety measures.

3. Existing Issues and Data Processing

3.1. Problem Statement

There are several problems with traditional deterministic design methods.
First of all, it is more difficult to determine the value of calculation parameters. Roads serve as carriers for transportation, and individuals are the users of these road networks. Hence, it is essential to take into account both human factors and road characteristics during the design process. The traditional method of designing freeway geometry is based on deterministic parameters [38], such as design speed, deceleration, etc., which is a deterministic design method. However, in reality, the vehicle may deviate from the specified parameters due to human factors, such as “driving proficiency, gender, driving habits”, and other influencing factors. From the perspective of human factors, in order to ensure safe driving, more conservative design parameters are usually adopted, resulting in a design index surplus. From the perspective of saving engineering quantity, smaller design parameters are preferred, but the safety of the calculated index cannot be quantified.
Secondly, the safety of the conclusions obtained using deterministic calculation methods cannot be quantified. Especially for cases such as the design of the length and slope of the deceleration lane, there is a large empirical effect. The design of deceleration lanes usually requires consideration of parameters such as the initial speed at the diverging point, the end speed at the diverging nose, and the deceleration. The specification of these parameters in each country is based on survey data, such as the choice of 85th-percentile operating speed or the average speed; the reliability of this design is unknown [39].
Finally, the deterministic calculation method does not fit well with the actual area. In the design of deceleration lanes, the initial speed at the diverging point is not determined in accordance with the design speed of the freeway, but is determined by combining the actual measurement data. Although the parameter values have taken into consideration the actual operating conditions, they do not simulate the randomness of the driver.
The proposed reliability calculation method in this paper converts the deterministic problem into a probabilistic one, successfully addressing various issues present in the aforementioned deterministic approach. Moreover, this method is well-suited for real-world driving situations. And the computer is used to carry out a large number of calculations with high accuracy.
If the deceleration lane is downhill, especially when the slope is large, the vehicle will accelerate under the effect of gravity. Therefore, when considering the combination of the deceleration lane and downhill section, there can be unfavorable conditions for high-speed vehicles decelerating in the downhill section. Vehicles may not decelerate sufficiently in the deceleration lane and enter the ramp too fast. They may unable to adapt to the ramp’s smaller linear indexes, which can increase the risk of accidents. China’s “Design Specification for Highway Alignment” [40] and “Guidelines for Design of Highway Grade -separated Intersections” [41] stipulate that when the slope of a downhill deceleration lane is greater than 2%, it is generally recommended to amend the length of the deceleration lane to ensure safe deceleration for vehicles. If the deceleration lane is an uphill section that is conducive to vehicle deceleration, the required length is shortened accordingly.
At present, the vehicle manufacturing industry is developing rapidly, and the performance of vehicles in all aspects has been greatly improved. The formulation of national specifications is mainly based on earlier vehicle performance data [42], such as deceleration, which plays a crucial role in theoretical calculations. In addition, calculations using design parameters tend to be less compatible with the actual conditions. Therefore, it is necessary to study the deceleration characteristics of the diverging area to obtain more accurate practical parameters.
In summary, this paper combines design parameters with actual measurement results to study the length and slope of the deceleration lane in the most unfavorable situation of the downhill section.

3.2. Data Collection

The deceleration characteristics of a driver can be observed through their behaviors, such as changes in speed. Accurately collecting vehicle operation data is crucial for analyzing deceleration characteristics in the deceleration lane and selecting key parameters in calculation models. The traffic data collection in this paper is aimed at the Xi’an Ring Freeway and its surrounding interchanges. This choice of location is motivated by several factors that make it suitable for data collection purposes. These factors include: large amount of diverging traffic, abundance of data, good terrain, and open line of sight conditions. Due to the limitation of article length, only single-lane deceleration lanes are studied in this paper. The details of each interchange are shown in Table 1.
The data collection was carried out in the absence of traffic congestion, road maintenance, and construction, in good weather conditions and with no traffic accidents. The acquisition instrument is a tracking radar to measure vehicle speed. For interchanges where radar cannot be placed, we used the UAV to photograph the deceleration lanes. Subsequently, the tracker software was used to extract the operating speed of each vehicle. According to the statistics of AutoNavi Traffic Big Data on traffic conditions in Xi’an, the traffic congestion index in Xi’an on November 2022 is shown in Figure 1. It can be seen from Figure 1 that the traffic volume in the morning peak period is 7:00–9:00, and in the evening peak period is 17:00–19:00. The maximum traffic volume occurs in the evening peak, so this study selected the evening peak period for data collection.
Radar was used to collect data on the diverging situation of the mainline at three design speeds of 80 km/h, 100 km/h, and 120 km/h. The radar placement site was chosen on the hard shoulder about 40 m before the start of the taper section. This ensured that the entire length of the deceleration lane was within the radar’s measurement range. According to the distance between the radar and each characteristic section, the operating speed of different vehicle types at each characteristic section within the diverging area was measured. Figure 2 shows the arrangement of the radar and the location of the characteristic section.
The data collected included the following information:
  • The operating speed of each vehicle at each characteristic section in the deceleration lane;
  • The vehicle types of the diverted vehicles.
By investigating the changes in operating speed and deceleration of trucks and cars in the diverging area, this paper provides a basis for analyzing the deceleration characteristics of vehicles and the selection of key parameters.

3.3. Data Analysis

The operation behavior of drivers and vehicle deceleration characteristics in the deceleration lane play an important role in the research and analysis of the deceleration lane. Therefore, conducting an in-depth study is crucial in this regard.
In fact, cars and trucks exhibit different driving characteristics, braking performance, and deceleration processes. Therefore, it is necessary to adopt the most unfavorable model as a representative model for accurate analysis.
When studying slopes, the truck is typically chosen as the most unfavorable model due to its significant mass, inadequate braking performance, and consequently, increased deceleration time and distance. However, trucks traveling in the outermost lane and operating at a lower speed can flow directly into the taper section without changing lanes. Cars travel at a higher speed, and the speed may not be reduced in time during the diverging.
The vehicle deceleration characteristics in the diverging area are special, and it is not possible to simply designate a specific vehicle type for research purposes. Therefore, this paper selects both cars and trucks as representative models.

3.3.1. Diverging Area Operating Speed

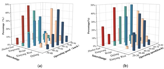
Through the statistics of the collected operating speed data of vehicles of each section, the operating speed statistics of trucks and cars at design speeds of 80 km/h, 100 km/h, and 120 km/h are plotted in Figure 3. The horizontal axes of the figure are the characteristic section number, the average speed, and the 85th-percentile operating speed, respectively, and the vertical axis is the operating speed of the vehicle.
According to Figure 3, the following information can be obtained:
1.
In freeways with different design speeds, the operating speed of each vehicle type at the diverging point is lower than the design speed of the mainline.
In the upstream of the diverging area, the outermost lane of the mainline is affected by vehicle diverging. For cars that are ready to divert, drivers will change lanes to the outermost lane after noticing the diverging sign. Vehicles traveling in the outermost lane will be affected by lane changes, and the speed will be reduced, while drivers will actively decelerate to prepare for the diverging.
2.
The operating speed of the trucks in each characteristic section is lower than that of cars.
This is because of the Chinese freeway regulations that restrict trucks to the outermost lane and the speed limit. Additionally, truck drivers start using the brakes to decelerate as soon as they enter the deceleration lane to ensure a smooth deceleration and diverging process.
3.
Vehicle deceleration behavior exists within the taper section range.
For cars, the deceleration range is 2–5 km/h, but it tends to be stable overall, and the speed change is not significant. For trucks, the speed decreases greatly from the beginning of the taper section to the diverging point, and it can be assumed that the trucks start to decelerate from the beginning of the taper section.
4.
The operating speed of vehicles at the diverging nose is higher than the design speed of the ramp.
This is due to the speed inertia generated by the driver’s high-speed driving, and this part is the transition part between the ramp and the mainline. The design index of this transition part is specifically tailored to accommodate the high speed, which can ensure the safety of the vehicle being driven. Therefore, when determining the end speed at the diverging nose, the value cannot be simply taken according to the design speed of the ramp. Instead, the driver’s expected operating speed at this time should be considered.
In summary, the speed of the vehicle at the diverging point is lower than the mainline design speed, and the speed at the diverging nose is higher than the ramp design speed. Using the design speed calculations will cause the results to be too large and unrealistic, with too large a safety margin. We conducted tests to investigate the actual operating speed of vehicles at the diverging point and diverging nose. This serves as the basis for calculating the design value of the deceleration lane length and slope. By doing so, we can ensure that the vehicles can safely and comfortably exit the freeway.

3.3.2. Deceleration

At present, there are two types of deceleration models; one is the secondary deceleration model proposed in the U.S.: “A Policy on Geometric Design of Highways and Streets” [43], and the other is the uniform deceleration model, also known as the primary deceleration model. The secondary deceleration model considers that cars maintain a constant speed due to inertia after entering the taper section, and the first deceleration after entering the deceleration section is also known as engine deceleration. At this stage, drivers typically anticipate a higher speed due to the well alignment. They achieve this by gradually reducing the throttle input, causing the engine speed to go down. As a result, the deceleration is small, and the vehicle’s speed decreases slowly.
The second deceleration is called brake deceleration. When the deceleration section is about to end, the driver, for the purpose of deceleration and due to the psychological factors of urgency, reduces the speed of the vehicle. To achieve this, they apply the brakes, resulting in a higher deceleration. At this stage, the speed will decrease fast until it is reduced to a safe speed.
The uniform deceleration model considers that the vehicle maintains a constant speed in the taper section, and the deceleration remains constant after entering the deceleration section.
Based on the operating speed data measured by radar, the operating speed variation trend of vehicles at each characteristic section is plotted in Figure 4.
It can be seen that the speed of the vehicle in the deceleration section decreases in steps, without obvious secondary deceleration characteristics. Instead, it follows a linear change. Therefore, further study is required to examine the speed change phenomenon in greater detail.
According to kinematic theory, the initial speed, end speed, deceleration, and deceleration section length satisfy Equation (1):
v t 2 = v 0 2 2 a l
where l denotes the distance traveled by the vehicle (m), V0 denotes the initial speed at diverging point (m/s), Vt denotes the end speed at diverging nose (m/s), a denotes deceleration (m/s2).
To perform linear fitting, we consider the driving distance during the deceleration process as the independent variable and the square of the operating speed as the dependent variable. Regression analysis is conducted to obtain a linear function. The fit is shown in Figure 5.
The results of each curve fitting are shown in Table 2.
In Table 2, R2 denotes the Coefficient of Determination, also known as goodness-of-fit. In statistics, when analyzing a variable by regression, R2 is used to indicate the regression accuracy. The closer the R2 is to 1, the higher the accuracy of the regression model and the better the regression effect. When R2 is greater than 0.8, the goodness-of-fit of the model is considered to be good.
The goodness-of-fit of the five interchanges measured is greater than 0.95, close to 1. The fitting effect is good, and it is considered that the square of the vehicle operating speed on the deceleration lane has a linear relationship with the driving distance. This implies the uniform deceleration pattern.
Therefore, the deceleration model of the vehicles in the deceleration lane is the uniform deceleration model, which is closer to the actual situation.
From the previous analysis, it can be seen that the operating speed of the car from the beginning of the taper section to the diverging point is basically unchanged. The linear fit for the car in both the taper section and the deceleration section is unsatisfactory. However, the accuracy is higher when the deceleration section is chosen. Therefore, it is considered that the car maintains a constant speed in the taper section, and drives at a uniform speed from the deceleration section. Based on the analysis conducted, trucks exhibit a high level of goodness-of-fit within the deceleration lane range. Therefore, it is considered that the trucks initiate a uniform deceleration movement starting from the beginning of the taper section. The vehicle deceleration model is shown in Figure 6.
Based on the above analysis of the vehicle deceleration process, the deceleration of different models is calculated according to the actual measured data of vehicle operating speeds. The resulting distribution is shown in Figure 7.
The statistical results show that the deceleration of trucks is mainly distributed in the range of [0.5, 1.5], and the deceleration of cars is mainly distributed in the range of [0.8–2.0]. Trucks exhibit a slightly lower average deceleration compared to cars. This can be attributed to trucks starting their deceleration earlier than cars, resulting in a longer deceleration distance within the deceleration lane. Therefore, the adopted deceleration is correspondingly smaller.
Cars employ a greater deceleration rate due to their superior dynamic performance. Moreover, it is essential for cars to ensure a safe deceleration within a limited distance.

4. Calculation Method

4.1. Constructing Limit-State Functions

One of the keys in reliability analysis is identifying the failure state. In structural engineering, failure means the structure cannot work normally. The limit-state function that consists of the supply value provided by the freeway alignment indexes and the demand value of safe driving is [36]:
Z = g ( X 1 , X 2 , , X n ) = S D
where Xi denotes random variables affecting the design of geometric indicators, S denotes supply values provided by road alignment indicators, D denotes the value of the driver’s needs for safe driving.
The minimum length of the deceleration lane required to safely exit the freeway is recorded as LD, and the design length of the deceleration lane provided by the road is recorded as LS. When the design length of the deceleration lane is less than the demand length, it is considered to be in a failed state.
According to the previous analysis of the vehicle deceleration characteristics on the deceleration lane, both the car and the truck exhibit uniform deceleration. Then, the minimum length of the deceleration lane required by cars and trucks is shown in Equation (3):
L = v t 2 v 0 2 25.92 ( a g sin α ) = v t 2 v 0 2 25.92 ( a g i )
where L denotes deceleration length (m), vt denotes end speed at diverging nose (km/h), v0 denotes the initial speed at diverging point (km/h), a denotes deceleration (m/s2), g denotes gravitational acceleration, g = 9.8 m/s2, α denotes the angle of slope to the ground (°) ( tan α = i = sin α cos α , because α is smaller than cos α 1 , so sin α i ), i denotes longitudinal slope (%).
Substituting Equation (3) into Equation (2), the limit-state function is obtained:
Z = g ( X 1 , X 2 , , X n ) = L S L D = L S v t 2 v 0 2 25.92 ( a g i )
where LS denotes the supply value of the deceleration lane length (m), LD denotes the requirement value of deceleration lane length (m).

4.2. Analysis of Basic Variables

This section is based on the analysis of the parameters during the specific deceleration process of vehicles in the deceleration lane. The purpose is to calculate the demand and supply values that will be used in the subsequent limit-state function. The main factors affecting the length of the deceleration lane are the initial speed at the diverging point, the end speed at the diverging nose, the deceleration, and the slope. The greater the initial speed of the vehicle at the diverging point, and the smaller the end speed at the diverging nose, the greater the speed difference is between the two points. Consequently, there is a need for higher requirements for the slope and length of the deceleration lane during deceleration. Therefore, it is necessary to test the actual operating speeds of the vehicle at different characteristic sections, as well as the change in deceleration.

4.2.1. Initial Speed at Diverging Point

There are many factors that affect the initial speed at the diverging point, such as the design speed of the mainline, the alignment index, traffic volume and driving habits, etc. However, the initial speed at the diverging point is still largely dependent on the mainline design speed.
To observe vehicles’ speed at the characteristic sections more intuitively, the initial speed of cars and trucks at the diverging point is plotted. The design speed of the mainline ranges from 80 to 120 km/h; see Figure 8.
There is a comparison of diverging point speeds between different interchanges in Figure 8. It can be seen that the vehicle speed at the diverging point varies with the mainline design speed. However, the overall trend of change remains consistent. Furthermore, the speed distribution for all design speeds approximately obeys the normal distribution. However, there is a small proportion of vehicles with speeds that are too high or too low. Both the average speed and the 85th-percentile operating speed at the diverging point are lower than the design speed of the mainline. Only a small portion of the operating speed is close to or exceeds the design speed of the mainline.
We considered that there may have been better external conditions during the test speed measurement, and that the driver may have been less disturbed, so the V85 was higher. If we adopt the average speed as the initial speed at the diverging point, although the lower initial speed is beneficial for deceleration, there are still more vehicles with speeds higher than the average speed. If we adopt the 85th-percentile operating speed as the initial speed at the diverging point, although some vehicles cannot reach it, from the safety point of view, it can leave a larger safety reserve for the deceleration lane length index.
In addition, domestic and foreign research on deceleration lanes uses cars as representative vehicles, and there is a lack of research on the operating speed of trucks in the characteristic section at the diverging area. Therefore, this text considers the operating speed of trucks based on the 85th-percentile operating speed and the average speed.
In summary, based on the principle of using the speed that most vehicles can achieve and ensuring the safety of diverging, it is recommended that the initial speed at the diverging point be determined according to Table 3.
It can be seen from Figure 8 that the trend of the initial speed distribution of the vehicles at the diverging point is similar to the normal distribution. Therefore, we imported the measured operating speed at the diverging point into the SPSS software and assumed that it would obey the normal distribution. The data was then subjected to a K-S (Kolmogorov–Smirnov) test, and the test results are shown in Table 4.
It can be seen from Table 4 that the significance of the initial speed at the diverging point under different mainline design speeds is greater than 0.05. As a result, the original hypothesis is accepted, indicating that the initial speed at the diverging point obeys a normal distribution.

4.2.2. End Speed at Diverging Nose

We studied the length and slope of the downhill section of the deceleration lane under the most unfavorable conditions. It is necessary to consider the situation with the largest difference between the initial speed at the diverging point and the end speed at the diverging nose. In this case, the end speed at the diverging nose should be as low as possible.
In fact, the end speed at the diverging nose is mainly affected by the design speed of the ramp. Therefore, we selected multiple loop ramps with a design speed of 40 km/h as test objects; this form of the ramp is the most unfavorable for diverging. We measured vehicle operating speeds at the end of the deceleration lane of the interchanges, and the results are shown in Figure 9.
Analysis of Figure 9 shows that both the 85th-percentile operating speed and the average operating speed at the diverging nose exceed the corresponding ramp design speed by 10–20 km/h. And the lower the design speed of the ramp, the more it exceeds the design speed. However, it is inappropriate to use the 85th-percentile operating speed as the end speed at the diverging nose here, because 85% of the vehicles at the diverging nose have a speed less than V85. These vehicles require longer deceleration lanes, so we selected the 15th-percentile operating speed as the end speed at the diverging nose (as shown in Table 5).
From a design perspective, when the speed difference between the diverging point and the diverging nose is small, the deceleration lane design can reduce the length or increase the slope, so that there is more choice in the design process. This requires that the end speed at the diverging nose is slightly larger, which is conducive to saving on the cost of the project. However, when the diverging nose speed is higher, resulting in a considerable difference between the end speed at the diverging nose and the ramp design speed, it leaves the exit extremely vulnerable to traffic accidents. This situation is not conducive to safe driving. Therefore, from the safety point of view, the end speed at the diverging nose should be as small as possible.
We combined the above research and investigation results with the ramp alignment design principle. The alignment index of the ramp entrance part is high, and we selected the 15th-percentile operating speed as the end speed at the diverging nose, which is lower than the ramp design speed. In fact, the vehicle can still drive safely even if it exceeds the design speed of the ramp by a certain range. Therefore, the upper limit of the speed control of the end speed at the diverging nose for both cars and trucks is taken as the design speed of the ramp plus 10 km/h.
To achieve consistency in recommended values for the length and slope of the deceleration lane, and to accommodate various ramps’ design speeds, the end speed at the diverging nose was no longer subdivided. When calculating the supply value of the length of the deceleration lane, the end speed was taken directly from the design speed of the loop ramp (40 km/h) plus 10 km/h.
Similarly, the measured operating speed at the diverging nose was imported into the SPSS software, and we assumed that it follows the normal distribution. Subsequently, a K-S test was performed, and the results are shown in Table 6.
It can be seen from Table 6 that the significance of the end speed at the diverging nose is greater than 0.05. This implies the acceptance of the null hypothesis, indicating that the end speed at the diverging nose follows a normal distribution.

4.2.3. Deceleration

With the improvement in vehicle performance, when studying stopping sight distance, researchers have found that the maximum deceleration of cars and trucks can reach 7.5 m/s2 and 6.5 m/s2, respectively, when braking in an emergency [44]. Some scholars also use 1.96 m/s2, that is, 20% of the acceleration of gravity, as the deceleration [45]. Studies suggest that a relatively comfortable deceleration speed of cars is 3.4 m/s2 [46]. Another study proposed that deceleration should not exceed 3 m/s2 under non-emergency braking situations [47].
In fact, when the driver is driving at high speed, in order to avoid rear-end collisions, they will not use the maximum deceleration. Usually, they use the deceleration that is more comfortable for passengers, and the deceleration is relatively small. After investigation, it is believed that the most relatively comfortable deceleration for driving is 1.475 m/s2 [48].
Taking existing research on deceleration into account, there are two aspects to consider. Firstly, utilizing a deceleration that is too low no longer meets the improved performance of modern vehicles. Secondly, it will lead to an excess safety margin for the calculated deceleration lane index. From a humane standpoint, excessive deceleration also cannot be used. Excessive deceleration will inevitably lead to nervousness and uncomfortable feelings for passengers, and emergency braking may cause rear-end collisions with vehicles following behind. Therefore, based on the measured values and combined with relevant research, when calculating the demand value of the length of the deceleration lane, the deceleration of the car and the truck is 1.5 m/s2 and 1.3 m/s2, respectively.
Due to the effect of gravity, the deceleration of the vehicle will reduce to a certain extent when driving downhill. By analyzing the forces on vehicles on downhill roads, deceleration can be expressed as:
a 1 i = a 1 g sin α = a 1 Δ a
where a1i denotes the deceleration at a slope of i, a1 denotes the deceleration at flat slope, g denotes the gravity acceleration (9.8 m/s2), α denotes the angle between the slope and the ground.

4.3. The Supply Value of the Length of the Deceleration Lane

We calculated the length of the deceleration lane under different slope values according to Equation (4), and rounded up by 5 m, and include the calculation results in Table 7.
If one uses the length of the deceleration lane in Table 7 for calculation, although the reliability calculation results can meet the accuracy requirements, the large design value will lead to a redundant design index. The reliability theory should be distinguished from structural engineering when analyzing road design indexes. Structural engineering requires high accuracy of the reliability. A failure in any component can render the entire structure unusable, making the requirements for failure probability extremely high. However, when calculating freeway design indexes, it is important to consider that even in a failed state, drivers will make timely adjustments to the driving situation to avoid accidents.
Considering the safety and scale of the project, in order to get a reasonable length and slope of the deceleration lane, it is considered safe to meet the 95% confidence level. This implies ensuring that the failure probability is less than 5%. In addition, we extended the calculation range based on the calculation results in Table 7, and used two reliability calculation models for different lengths and slopes of deceleration lanes, as shown in Table 8.

5. Reliability Theory Model and Calculation Results

5.1. Monte Carlo Simulation Calculation Model

MCS is a stochastic simulation method that uses random numbers to solve a problem by finding the probability distribution of the random variables in the problem, then using a computer to sample a large number of them to obtain an approximate solution to the problem. The main principle of the MCS for solving a problem is: sampling the variables (initial speed, end speed) that affect the limit-state function, and then substituting the extracted variable values into the limit-state function to determine whether or not the failure occurs. Finally, the failure probability can be obtained. This method becomes more accurate when the number of simulation runs increases [35,49].
MCS has several advantages. Firstly, there is no requirement for the probability distribution of variables and there is no limit to the number of variables. Secondly, the error of the method is independent of the dimensionality of the problem. Finally, MCS leverages computer technology, making it a more efficient and scalable approach. However, the deterministic problem needs to be transformed into a stochastic one.
MCS is applicable when the problem involves random variables with known probability distributions. In this paper, the distribution of operating speed is obtained by investigation. Moreover, in the field of freeway design, MCS is commonly used [35,50,51], so this article uses MCS to study the length and slope of the deceleration lane.
By using MATLAB software to program the calculation process, the flow chart shown in Figure 10 was prepared.
The detailed calculation steps are as follows:
Step1: Select N = 100,000 for the number of samples and enter the design value of LS (supply value) for the length and slope value of the deceleration lane;
Step2: Determine the probability distribution of the initial speed at the diverging point and the end speed at the diverging nose;
Step3: Generate random values by sampling from the probability distribution of the variables and calculate the demand value LD for the length of the deceleration lane in combination with Equation (3);
Step4: Record the number n of times LSLD < 0 and calculate the failure probability n T .

5.2. Improved First-Order Second Moments Calculation Model

The FOSM model is more widely used in engineering, and the IFOSM and JC methods have been derived according to its shortcomings.
In cases where the distribution of the variable is not clear, FOSM uses two statistical indicators, the mean and the standard deviation. It linearizes the function by expanding it with a Taylor series at the mean point. This leads to a new mathematical model to solve for reliability. However, for nonlinear functions, the larger the linearization point is from the failure boundary, the larger the error becomes. This error is due to the omission of the higher-order terms after performing the Taylor series expansion. However, although the mean points tend to be within the reliability zone, the selection of mean points as linearization points can lead to large errors. IFOSM selects the design checkpoint corresponding to the maximum probability of failure of the limit-state function. This approach addresses the limitation of the traditional method and provides more reliable calculation results [35,36].
IFOSM is suitable for the case wherein the random variables are independent and obey normal distribution. This assumption helps ensure high accuracy in the calculation results.
The previous section has established a limit-state function Z based on n variables xi (i = 1, 2, …, n) that affect the length of the deceleration lane.
Z = g x x 1 , x 2 , , x n
Expand the Taylor series of the function at the design checkpoint p*(x1, x2, …, xn), keeping only the linear term.
Z = g x 1 , x 2 , , x n + i = 1 n g X i X i = p X i x i
Assuming that the initial design checkpoint is the mean of each variable ( x i = μ X i ), then obtain the mean μ Z and standard deviation σ Z of the limit-state function.
μ Z = g x 1 , x 2 , , x n + i = 1 n g X i p μ X i x i
σ Z = i = 1 n g X i 2 p σ X i 2 1 2
Calculate the reliability index β and sensitivity coefficient cos θ X i of the limit-state function by Equations (10) and (11):
β = μ Z σ Z
cos θ X i = g X i p σ X i i = 1 n g X i 2 p σ X i 2 1 2
From the calculated mean value μ , standard deviation σ , and sensitivity coefficient cos θ X i of the function, a new design checkpoint is calculated.
x i = μ X i + σ X i β cos θ X i
The design checkpoint is the closest point to the failure boundary, and in order to find the point accurately, a calculation accuracy e needs to be given. Therefore, after calculating the reliability index, use Equation (13) to determine whether the accuracy is satisfied.
β β 0 β 0 e
When the reliability index does not meet the accuracy, the IFOSM algorithm iteratively repeats to determine the final design verification point. Subsequently, the reliability index is obtained. The algorithm of the IFOSM model is shown in Figure 11.
Finally, calculate the failure probability of the limit-state function by Equation (14).
P f = ϕ β = 1 ϕ β
where ϕ denotes the probability density function of the standard normal distribution.

5.3. Sensitivity Analysis and Results

Since the calculation results of the MCS and the IFOSM are similar, we only plot the calculation results of the MCS in Figure 12. Figure 12 illustrates the calculation of failure probability for different mainline design speeds, lengths, and slopes of the deceleration lane using the two methods mentioned above.
Figure 12a shows that the failure probabilities are 34.47% and 51.29% for a 100 m length of the deceleration lane when the slopes are 0% and 4%, respectively. It can be seen that the failure probability of the length of the deceleration lane is greatly affected by the slope. With a constant length, the failure probability increases as rapidly as the increase of slope.
In addition, for the length of 240 m, the failure probabilities are 0.65% and 5.54% for the slopes of 0% and 4%, respectively. It can be observed that the effect of slope on the failure probability gradually decreases as the length of the deceleration lane increases.
Figure 12a,b are basically the same, that is, the failure probability is basically the same for the 120 km/h and 100 km/h cases because they are similar at the initial and end speeds.
Figure 12c,f show the failure probability of cars and trucks at the design speed of 80 km/h for the mainline.
In the case of a 6% slope and 100 m length of the deceleration lane, the failure probabilities for cars and trucks are 28.44% and 87.78% respectively. The same is true for the rest of the length and slope combinations, indicating that the truck is more sensitive to the slope.
To ensure that the calculation results have a 95% guarantee rate, the corresponding minimum length of the deceleration lane and its failure probability are listed in Table 9 and Table 10.
From Table 9 and Table 10, the following conclusions can be drawn:
1.
The car is the dominant model in calculating the length of the deceleration lane.
Through the calculation of the deceleration lane lengths for both cars and trucks, we found that at mainline design speeds of 120 km/h and 100 km/h, when the slope of the deceleration lane is ≤3%, the requirement for the deceleration lane length of the car is greater than the truck. When the slope of the deceleration lane exceeds 3%, the braking performance of the truck becomes worse under the influence of the slope. In this situation, the truck demands a longer deceleration lane length than the car. When the design speed is 80 km/h, the operating speeds of cars and trucks are similar. However, due to the poorer braking performance of trucks, they need a longer length for the deceleration lane compared to cars. Therefore, the deceleration lane length mainly considers the truck. This conclusion can be verified by the Chinese “Design Specification for Highway Alignment” [40]. It states that when the slope is ≤3%, the impact on the speed of trucks is small.
However, according to the analysis in Section 3, the truck actually starts to decelerate from the beginning of the taper section, and the range of the deceleration length of the truck in Table 10 is the sum of the taper section and the deceleration section. Therefore, as long as the deceleration lane length for cars is ensured, the safe deceleration of trucks can be ensured.
2.
Vehicles can adapt to larger slopes on downhill deceleration lanes
The slope of the vehicle can reach 4%, 5%, and 6%, respectively, when the mainline design speed is 120 km/h, 100 km/h, and 80 km/h. However, as the slope increase, the deceleration lane length needs to be extended accordingly. Consequently, the larger the slope, the greater the increase in value of the deceleration lane length. The maximum slope proposed in this paper is the same as the limiting slope of the basic section on freeways in China’s “Design Specification for Highway Alignment” [40].
3.
The MCS and the IFOSM models have good applicability in calculating the deceleration lane length.
From the calculation results of the two reliability models in Table 9 and Table 10, it can be obtained that the results of the MCS and the IFOSM are similar, and both calculation models are reasonable. However, we found that the MCS requires a high number of operations in the calculation; otherwise, the results will fluctuate.
Through the comprehensive comparison of the MCS and the IFOSM for the calculation of deceleration lane length, we propose the recommended length of the deceleration lane at different design speeds and slopes (Table 11).
Table 12 shows the Chinese specifications for deceleration lane length. It can be seen that when the design speed is 80 km/h, the deceleration section length recommended in this paper is basically the same as the specification value. For the design speeds of 100 km/h and 120 km/h, the deceleration section lengths proposed in this paper exceed the standard values. This is due to the high requirements for failure probability for the results of reliability calculations. Furthermore, the reliability calculation method used in this paper considers various combinations of initial and end speeds, resulting in a significant number of unfavorable combinations. In order to ensure driver comfort and safety, a comfortable deceleration is adopted, which results in a longer deceleration section length.
However, it can be observed that the length of the deceleration section proposed in this paper is similar to the sum of the deceleration section and the taper section in the specification. Therefore, it is possible to set up traffic signs to remind drivers to start decelerating in the taper section, and the standardized value can meet the recommended value proposed in this paper.
In addition, the maximum slope of the deceleration lane specified in the specifications is less than the recommended value in Table 11. A reasonable increase in the deceleration lane slope provides a greater improvement for the design. For the design of mountainous interchanges, in order to overcome the height differences in ramp design, it is usually chosen to extend the length of the ramp. However, this leads to an increase in the project cost. Additionally, the extensive filling and excavation required for these longer sections can cause significant damage to the mountainous environment. Therefore, using the standard slope value for design purposes poses a significant disadvantage.
The length and slope of the deceleration section proposed in this paper are well applicable, which can effectively improve the current situation of terrain limitations in mountain interchange design. By specifying the failure probability at a small value and increasing the deceleration lane length, the slope of the deceleration lane can be appropriately increased within the safety range. The recommended values of deceleration lane length and slope proposed in this paper quantify the safety degree, which can effectively ensure the safety of mountainous interchange design.

6. Conclusions

The traditional calculation method of freeway indexes is mainly based on the design speed, and overlooks the actual driving situation of the driver. Specifically, it fails to account for speed uncertainty, resulting in a large difference between the design index and the driver’s demand value.
In this study, an uncertainty calculation method based on reliability theory is proposed for determining the length and slope of the deceleration lane. Through the analysis of the vehicle operating speed at the starting point of the taper section, diverging point, and diverging nose, a uniform deceleration model different from the traditional theory is proposed. We established MCS and IFOSM calculation models. By analyzing the probability distributions of operating speeds, we used the MCS to sample the operating speeds so that the randomness of drivers could be implemented in the calculation model. Subsequently, the results were compared using the IFOSM. The results of this study are as follows:
  • The accuracy of the MCS and FOSM models is good, and both methods produce the same results for the length of the deceleration lane, which is a reliable uncertainty calculation method. The recommended length of the deceleration lane proposed in this paper considers the distribution of different vehicle speeds in the diverging area. By controlling the reliability probability at 95%, the recommended length can ensure the safe deceleration of most vehicles.
  • In the deceleration section, vehicles exhibit uniform deceleration movement. However, the deceleration starting points of the car and the truck are different. The deceleration starting points of the car and the truck are the diverging point, and the starting point of the taper section, respectively. In addition, the deceleration of cars is higher than trucks.
  • When the design speed of the mainline is 120 km/h, 100 km/h, and 80 km/h, the maximum slope of the deceleration lane can reach 4%, 5%, and 6%. However, large slopes should be avoided. This mainly considers that the deceleration lane, as the additional lane of the mainline, should be consistent with the slope of the mainline, which may affect the driving safety of the mainline vehicles.
  • Try to avoid the use of shorter deceleration lane lengths for downhill conditions in the design, especially in combination with larger slopes, where the failure probability is high, up to 80%.
The reliability calculation model proposed in this paper can also be used to calculate other freeway indexes. It considers human factors and aligns with the actual situation.
This study applies the reliability theory to freeway design, utilizing actual measurement data of deceleration behavior in the diverging area. Through the application of the uncertainty method, it accurately calculates the deceleration lane index, which well simulates the randomness of drivers. The established reliability calculation model is intuitive and reliable, with high calculation accuracy, and is more consistent with the actual driving situation.
In addition, this study innovatively considers the coupling effect of the length and slope of the deceleration lane. It concurrently calculates both length and slope, unlike the traditional method, which only calculates a single index.
Due to space limitations, this article only considers the length and slope of single-lane deceleration lanes. With the increase in traffic demand, it is necessary to study the design indexes of two-lane or even three-lane deceleration lanes. It is necessary to conduct a detailed investigation of their traffic data to determine the corresponding length and slope. The authors will focus on these issues in future research.

Author Contributions

Conceptualization, X.T. and B.P.; methodology, X.T. and M.S. (Mengmeng Shi); software, X.T. and M.S. (Mengmeng Shi); formal analysis, X.T. and M.S. (Mengmeng Shi); investigation, X.T., M.S. (Mengmeng Shi) and M.S. (Mengyu Shao); data curation, X.T. and M.S. (Mengyu Shao); writing—original draft preparation, X.T.; writing—review and editing, X.T. and B.P.; visualization, X.T., M.S. (Mengmeng Shi) and B.P.; project administration, B.P.; funding acquisition, B.P. All authors have read and agreed to the published version of the manuscript.

Funding

This research was supported by the Scientific Research Program funded by the Shaanxi Provincial Education Department (Program No. 21JK0908).

Institutional Review Board Statement

Not applicable.

Informed Consent Statement

Not applicable.

Data Availability Statement

Not applicable.

Acknowledgments

The authors would like to acknowledge the scientific research program funded by the Shaanxi provincial education department for partially funding this work.

Conflicts of Interest

The authors declare no conflict of interest.

References

  1. Munoz, J.C.; Daganzo, C.F. The bottleneck mechanism of a freeway diverge. Transp. Res. Part A Policy Pract. 2002, 36, 483–505. [Google Scholar] [CrossRef]
  2. Li, Z.; Wang, W.; Liu, P.; Bai, L.; Du, M. Analysis of Crash Risks by Collision Type at Freeway Diverge Area Using Multivariate Modeling Technique. J. Transp. Eng. 2015, 141, 6. [Google Scholar] [CrossRef]
  3. Gu, X.; Abdel-Aty, M.; Xiang, Q.; Cai, Q.; Yuan, J. Utilizing UAV video data for in-depth analysis of drivers’ crash risk at interchange merging areas. Accid. Anal. Prev. 2019, 123, 159–169. [Google Scholar] [CrossRef] [PubMed]
  4. McCartt, A.T.; Northrup, V.S.; Retting, R.A. Types and characteristics of ramp-related motor vehicle crashes on urban interstate roadways in Northern Virginia. J. Saf. Res. 2004, 35, 107–114. [Google Scholar] [CrossRef] [PubMed]
  5. Zhang, X.; Wang, J.; Li, T.; Sun, J. Safety factors of exit slip roads on China’s urban motorways. Proc. Inst. Civ. Eng. 2017, 170, 276–286. [Google Scholar] [CrossRef]
  6. Alyamani, M.; Hassan, Y. Driver Behavior on Exit Freeway Ramp Terminals Based on the Naturalistic Driving Study. J. Transp. Eng. Part A Syst. 2023, 149, 1. [Google Scholar] [CrossRef]
  7. Xiang, W.; He, Y.; Peng, Q.; Li, X.; Xue, Q.; Xu, G. Optimizing the guiding sign system to improve drivers’ lane-changing behavior at freeway exit ramp. J. Transp. Saf. Secur. 2022. [Google Scholar] [CrossRef]
  8. Pan, B.H.; Xie, Z.J.; Liu, S.R.; Shao, Y.; Cai, J.J. Evaluating Designs of a Three-Lane Exit Ramp Based on the Entropy Method. IEEE Access 2021, 9, 53436–53451. [Google Scholar] [CrossRef]
  9. Liu, Y.; Pan, B.; Zhang, Z.; Zhang, R.; Shao, Y. Evaluation of Design Method for Highway Adjacent Tunnel and Exit Connection Section Length Based on Entropy Method. Entropy 2022, 24, 1794. [Google Scholar] [CrossRef]
  10. Wang, R.; Hu, J.; Zhang, X. Analysis of the Driver’s Behavior Characteristics in Low Volume Freeway Interchange. Math. Probl. Eng. 2016, 2016, 2679516. [Google Scholar] [CrossRef]
  11. Guo, Z.; Wan, H.; Zhao, Y.; Wang, H.; Li, Z. Driving Simulation Study on Speed-change Lanes of the Multi-lane Freeway Interchange. Procedia Soc. Behav. Sci. 2013, 96, 60–69. [Google Scholar] [CrossRef]
  12. Fatema, T.; Ismail, K.; Hassan, Y. Validation of Probabilistic Model for Design of Freeway Entrance Speed Change Lanes. In Proceedings of the Transportation Research Board Meeting, Washington, DC, USA, 12–16 January 2014. [Google Scholar]
  13. Hao, W.; Zhang, Z.; Gao, Z.; Yi, K.; Liu, L.; Wang, J. Research on Mandatory Lane-Changing Behavior in Highway Weaving Sections. J. Adv. Transp. 2020, 2020, 3754062. [Google Scholar] [CrossRef]
  14. Ali, Y.; Zheng, Z.; Haque, M.M.; Yildirimoglu, M.; Washington, S. CLACD: A complete LAne-Changing decision modeling framework for the connected and traditional environments. Transp. Res. Part C Emerg. Technol. 2021, 128, 103162. [Google Scholar] [CrossRef]
  15. Lyu, N.; Wang, Y.; Wu, C.; Wu, H.; Wen, J. Exploring longitudinal driving behaviour on a freeway deceleration lane using field operational test data. Iet Intell. Transp. Syst. 2021, 15, 1401–1413. [Google Scholar] [CrossRef]
  16. Lyu, N.; Cao, Y.; Wu, C.; Xu, J.; Xie, L. The effect of gender, occupation and experience on behavior while driving on a freeway deceleration lane based on field operational test data. Accid. Anal. Prev. 2018, 121, 82–93. [Google Scholar] [CrossRef] [PubMed]
  17. Orsini, F.; Tagliabue, M.; De Cet, G.; Gastaldi, M.; Rossi, R. Highway Deceleration Lane Safety: Effects of Real-Time Coaching Programs on Driving Behavior. Sustainability 2021, 13, 9089. [Google Scholar] [CrossRef]
  18. Appelt, V. New approaches to the assessment of the spatial alignment of rural roads—Apparent radii and visual distortion. In Proceedings of the 2nd International Symposium on Highway Geometric Design, Mainz, Germany, 14–17 June 2000. [Google Scholar]
  19. Portera, A.; Bassani, M. Experimental Investigation into Driver Behavior along Curved and Parallel Diverging Terminals of Exit Interchange Ramps. Transp. Res. Rec. 2021, 2675, 254–267. [Google Scholar] [CrossRef]
  20. Bidulka, S.; Sayed, T.; Hassan, Y. Influence of Vertical Alignment on Horizontal Curve Perception: Phase I: Examining the Hypothesis. Transp. Res. Rec. J. Transp. Res. Board 2002, 1796, 12–23. [Google Scholar] [CrossRef]
  21. Li, C.Z.; Chen, H.; Xiong, Y.Z.; Chen, Y.F.; Zhao, S.L.; Duan, J.L.; Li, K.Q. Analysis of Chinese Typical Lane Change Behavior in Car-Truck Heterogeneous Traffic Flow from UAV View. Electronics 2022, 11, 1398. [Google Scholar] [CrossRef]
  22. Kong, D.W.; Guo, X.C. Analysis of vehicle headway distribution on multi-lane freeway considering car-truck interaction. Adv. Mech. Eng. 2016, 8, 1–12. [Google Scholar] [CrossRef]
  23. Aghabayk, K.; Sarvi, M.; Young, W. A State-of-the-Art Review of Car-Following Models with Particular Considerations of Heavy Vehicles. Transp. Rev. 2015, 35, 82–105. [Google Scholar] [CrossRef]
  24. Chen, H.; Zhou, H.; Lin, P.-S. Freeway deceleration lane lengths effects on traffic safety and operation. Saf. Sci. 2014, 64, 39–49. [Google Scholar] [CrossRef]
  25. Xu, G.; Xu, J. Research on Deceleration Lane Length for B-type trumpet Interchange. In Proceedings of the International Conference on Smart Transportation and City Engineering, Chongqing, China, 26–28 October 2021. [Google Scholar]
  26. Hu, J.B.; Ma, W.Q.; Wang, M. Study on the Length of Speed-Change Lane in Freeway Trumpet Interchange. In Proceedings of the International Conference on Materials, Transportation and Environmental Engineering (CMTEE 2013), Taichung, Taiwan, 21–23 August 2013; pp. 946–953. [Google Scholar]
  27. Fitzpatrick, K.; Chrysler, S.T.; Brewer, M. Deceleration Lengths for Exit Terminals. J. Transp. Eng. Asce 2012, 138, 768–775. [Google Scholar] [CrossRef]
  28. Kim, H.; Kwon, K.; Park, N.; Park, J.; Abdel-Aty, M. Crash- and Simulation-Based Safety Performance Evaluation of Freeway Rest Area. Sustainability 2021, 13, 4963. [Google Scholar] [CrossRef]
  29. Calvi, A.; Bella, F.; D’Amico, F. Evaluating the effects of the number of exit lanes on the diverging driver performance. J. Transp. Saf. Secur. 2018, 10, 105–123. [Google Scholar] [CrossRef]
  30. Calvi, A.; Bella, F.; D’Amico, F. Diverging Driver Performance Along Deceleration Lanes: Driving Simulator Study. Transp. Res. Rec. J. Transp. Res. Board 2015, 2518, 95–103. [Google Scholar] [CrossRef]
  31. Brewer, M.A.; Fitzpatrick, K.; Stanley, J. Driver Behavior on Speed-Change Lanes at Freeway Ramp Terminals. Transp. Res. Rec. 2011, 2223, 54–62. [Google Scholar] [CrossRef]
  32. Wang, Z.; Chen, H.; Lu, J. Exploring Impacts of Factors Contributing to Injury Severity at Freeway Diverge Areas. Transp. Res. Rec. J. Transp. Res. Board 2009, 2102, 43–52. [Google Scholar] [CrossRef]
  33. Garcia, A.; Romero, M.A. Experimental Observation of Vehicle Evolution on Deceleration Lanes with Different Lengths. In Proceedings of the Transportation Research Board 85th Annual Meeting, Washington, DC, USA, 22–26 January 2006. [Google Scholar]
  34. Chen, C.; Lin, Z.; Zhang, S.; Chen, F.; Chen, P.; Zhang, L. The Compatibility between the Takeover Process in Conditional Automated Driving and the Current Geometric Design of the Deceleration Lane in Highway. Sustainability 2021, 13, 13403. [Google Scholar] [CrossRef]
  35. Alsaleh, R.; Lanzaro, G.; Sayed, T. Incorporating design consistency into risk-based geometric design of horizontal curves: A reliability-based optimization framework. Transp. A Transp. Sci. 2023, in press. [Google Scholar] [CrossRef]
  36. Wang, L.; Cheng, J.C.; Zhang, Y.L. Reliability-Based Specification on Critical Length of Highway Sections with Near-Maximum Grade. Ksce J. Civ. Eng. 2018, 22, 1406–1417. [Google Scholar] [CrossRef]
  37. Musunuru, A.; Porter, R.J. Reliability-Based Geometric Design Approach for Selecting Basic Number of Freeway Lanes. Transp. Res. Rec. 2014, 2436, 70–80. [Google Scholar] [CrossRef]
  38. Abdelnaby, A.; Hassan, Y. Probabilistic Analysis of Freeway Deceleration Speed-Change Lanes. Transp. Res. Rec. 2014, 2404, 27–37. [Google Scholar] [CrossRef]
  39. Shewkar El-Bassiouni Ibrahim, T.S. Developing safety performance functions incorporating reliability-based risk measure. Accid. Anal. Prev. 2011, 43, 2153–2159. [Google Scholar] [CrossRef]
  40. JTG D20-2017; Design Specification for Highway Alignment. National Standard of the People’s Republic of China: Beijing, China, 2017.
  41. JTG/T D21-2014; Guidelines for Design of Highway Grade-Separated Intersections. National Standard of the People’s Republic of China: Beijing, China, 2014.
  42. Hassan, Y.; Sarhan, M.; Salehi, M. Probabilistic Model for Design of Freeway Acceleration Speed-Change Lanes. Transp. Res. Rec. 2012, 2309, 3–11. [Google Scholar] [CrossRef]
  43. American Association of State Highway and Transportation Officials. A Policy on Geometric Design of Highways and Streets; AASHTO: Washington, DC, USA, 2018. [Google Scholar]
  44. Fambro, D.B.; Fitzpatrick, K.; Koppa, R.J. Determination of Stopping Sight Distances; Transportation Research Board: Washington, DC, USA, 1997. [Google Scholar]
  45. Lee, J. Acceleration and Deceleration Rates in Interrupted Flow Based on Empirical Digital Tachograph Data. Sustainability 2022, 14, 11165. [Google Scholar] [CrossRef]
  46. Fambro, D.; Fitzpatrick, K.; Koppa, R. New Stopping Sight Distance Model for Use in Highway Geometric Design. Transp. Res. Rec. J. Transp. Res. Board 2000, 1701, 1–8. [Google Scholar] [CrossRef]
  47. Xia, R.X.; Wu, D.H.; He, J.; Liu, Y.; Shi, D.F. A New Model of Stopping Sight Distance of Curve Braking Based on Vehicle Dynamics. Discret. Dyn. Nat. Soc. 2016, 2016, 4260705. [Google Scholar] [CrossRef]
  48. Aycin, M.F. Comparison of car-following models for simulations. Transp. Res. Rec. 1999, 1678, 116–127. [Google Scholar] [CrossRef]
  49. Hwang, H.; Lansey, K.; Jung, D. Accuracy of First-Order Second-Moment Approximation for Uncertainty Analysis of Water Distribution Systems. J. Water Resour. Plan. Manag. 2018, 144. [Google Scholar] [CrossRef]
  50. Jiang, Z.H.; Wang, T. Intergreen Time Calculation Method of Signalized Intersections Based on Safety Reliability Theory: A Monte-Carlo Simulation Approach. J. Adv. Transp. 2019, 2019, 1941405. [Google Scholar] [CrossRef]
  51. Tang, K.S.; Kuwahara, M.; Tanaka, S. Design of Intergreen Times Based on Safety Reliability. Transp. Res. Rec. 2011, 2259, 213–222. [Google Scholar] [CrossRef]
Figure 1. The congestion index in Xi’an November 2022.
Figure 1. The congestion index in Xi’an November 2022.
Sustainability 15 13081 g001
Figure 2. Radar placement and characteristic section position. (Diverging point indicates the location where the deceleration lane forms one lane width through the taper section; diverging nose indicates the location where the deceleration lane completely separates from the mainline, which is the end point of the deceleration lane).
Figure 2. Radar placement and characteristic section position. (Diverging point indicates the location where the deceleration lane forms one lane width through the taper section; diverging nose indicates the location where the deceleration lane completely separates from the mainline, which is the end point of the deceleration lane).
Sustainability 15 13081 g002
Figure 3. The Operating speed of each interchange characteristic section under different mainline design speeds: (a) 80 km/h; (b) 100 km/h; (c) 120 km/h (characteristic section numbers 1–4 are: beginning of taper section; beginning of deceleration section; middle of deceleration section; diverging nose).
Figure 3. The Operating speed of each interchange characteristic section under different mainline design speeds: (a) 80 km/h; (b) 100 km/h; (c) 120 km/h (characteristic section numbers 1–4 are: beginning of taper section; beginning of deceleration section; middle of deceleration section; diverging nose).
Sustainability 15 13081 g003
Figure 4. Trends in vehicle operating speed. (a) Cars; (b) trucks.
Figure 4. Trends in vehicle operating speed. (a) Cars; (b) trucks.
Sustainability 15 13081 g004
Figure 5. Speed squared–distance linear fit at the characteristic section. (a) Cars; (b) trucks.
Figure 5. Speed squared–distance linear fit at the characteristic section. (a) Cars; (b) trucks.
Sustainability 15 13081 g005aSustainability 15 13081 g005b
Figure 6. Deceleration lane length calculation model. (To promote consistency and clarity in the terminology used, the following narrative will continue to refer to the taper section and deceleration section).
Figure 6. Deceleration lane length calculation model. (To promote consistency and clarity in the terminology used, the following narrative will continue to refer to the taper section and deceleration section).
Sustainability 15 13081 g006
Figure 7. Vehicle braking deceleration distribution.
Figure 7. Vehicle braking deceleration distribution.
Sustainability 15 13081 g007
Figure 8. Measured results of the initial speed at diverging point. (a) Cars; (b) trucks.
Figure 8. Measured results of the initial speed at diverging point. (a) Cars; (b) trucks.
Sustainability 15 13081 g008
Figure 9. Measured results of the end speed at diverging nose. (a) Cars; (b) trucks.
Figure 9. Measured results of the end speed at diverging nose. (a) Cars; (b) trucks.
Sustainability 15 13081 g009
Figure 10. Flow chart of Monte Carlo Simulation calculation.
Figure 10. Flow chart of Monte Carlo Simulation calculation.
Sustainability 15 13081 g010
Figure 11. Calculation flow chart of IFOSM.
Figure 11. Calculation flow chart of IFOSM.
Sustainability 15 13081 g011
Figure 12. Failure probability distribution under length–slope combination of the deceleration lane; (a) 120 km/h—car; (b) 100 km/h—car; (c) 80 km/h—car; (d) 120 km/h—truck; (e) 100 km/h—truck; (f) 80 km/h—truck. X and Y denote the length and slope of the deceleration lane, and Z denotes the failure probability at the corresponding length and slope.
Figure 12. Failure probability distribution under length–slope combination of the deceleration lane; (a) 120 km/h—car; (b) 100 km/h—car; (c) 80 km/h—car; (d) 120 km/h—truck; (e) 100 km/h—truck; (f) 80 km/h—truck. X and Y denote the length and slope of the deceleration lane, and Z denotes the failure probability at the corresponding length and slope.
Sustainability 15 13081 g012
Table 1. List of interchanges.
Table 1. List of interchanges.
Design Speed (km/h)NameNumber of
Deceleration Lanes
Taper Section Length/mDeceleration Section Length/m
MainlineRamp
8040Zhashui EastSingle lane80110
10040Weiqu 90100
10060Xiangwang7090
12060Qujiang100125
12040Xianyang West7080
Table 2. Linear regression results of interchange deceleration lane speed squared versus travel distance.
Table 2. Linear regression results of interchange deceleration lane speed squared versus travel distance.
NameVehicle TypeFitting EquationInterceptGradientR2 (COD)
Zhashui EastCarY = a + bx441.02−1.640.984
Truck332.29−1.170.989
XiangwangCar582.36−1.940.974
Truck369.92−1.070.970
WeiquCar651.85−2.470.989
Truck397.63−1.460.976
QujiangCar853.74−2.870.991
Truck443.69−1.170.987
Xianyang WestCar699.13−1.220.976
Truck423.99−0.800.985
Table 3. Recommended value of initial speed at diverging point (km/h).
Table 3. Recommended value of initial speed at diverging point (km/h).
Mainline design speed12010080
Recommended value for cars959075
Recommended value for trucks858070
Table 4. K-S test results of the operating speed at diverging point.
Table 4. K-S test results of the operating speed at diverging point.
Design Speed (km/h)Vehicle TypeNormal ParametersTest StatisticsSignificance
MeanStandard Deviation
120Car85.9311.7710.0660.494
Truck74.3210.1150.0530.661
100Car78.5012.5050.0710.393
Truck71.039.2210.0740.776
80Car64.768.4250.0610.509
Truck65.395.2470.0840.501
Table 5. The 15th-percentile operating speed at the diverging nose.
Table 5. The 15th-percentile operating speed at the diverging nose.
NameVehicle TypeRamp Design Speed (km/h)V15 (km/h)
Zhashui EastCar4043.88
Truck36.77
WeiquCar4039.75
Truck35.73
XiangwangCar6048.48
Truck42.38
QujiangCar6057.88
Truck48.49
Xianyang WestCar4043.87
Truck30.78
Table 6. K-S test results of the operating speed at the diverging nose.
Table 6. K-S test results of the operating speed at the diverging nose.
Design Speed (km/h)Vehicle TypeNormal ParametersTest StatisticsSignificance
MeanStandard Deviation
120Car66.618.5050.0510.764
Truck57.858.9130.0320.765
100Car57.6910.4830.0640.377
Truck51.588.6520.0730.439
80Car50.897.1710.0300.877
Truck42.274.6710.0740.870
Table 7. The design value of the length of the deceleration lane.
Table 7. The design value of the length of the deceleration lane.
Design Speed/SlopeVehicle Type0123456
120Car195210230250280//
Truck185205230260300
100Car165180195215240270/
Truck150170190215250295
80Car70808595105115130
Truck95105115130155185225
Table 8. The length and slope of the deceleration calculation combination.
Table 8. The length and slope of the deceleration calculation combination.
ItemValue
The length of deceleration (m)100/110/120/130/140/150/160/170/180/190/200/210/220/230/240/250/260/270/280
The slope of deceleration (m)0/1/2/3/4/5/6
Table 9. Calculation results of length and slope of deceleration lane for cars.
Table 9. Calculation results of length and slope of deceleration lane for cars.
Design Speed (km/h)Slope (%)Demand Value of the
Deceleration Lane Length (m)
Failure Probability (%)
MCSFOSM
12001854.624.39
12004.934.13
22104.404.73
32303.984.40
42454.774.96
10001754.394.68
11904.464.53
22004.954.99
32204.784.63
42404.724.57
52604.134.89
8001004.834.89
11104.174.18
21153.734.90
31253.884.76
41353.854.96
51504.524.62
61703.794.05
Table 10. Calculation results of length and slope of deceleration lane for trucks.
Table 10. Calculation results of length and slope of deceleration lane for trucks.
Design Speed (km/h)Slope (%)Demand Value of the
Deceleration Lane Length (m)
Failure Probability (%)
MCSFOSM
12001754.944.43
11904.184.51
22053.934.95
32304.504.63
42553.874.93
10001653.704.88
11904.344.82
22004.254.47
32204.424.68
42454.124.89
52804.144.76
8001252.814.41
11353.264.78
21504.034.25
31653.264.56
41853.254.66
52104.424.68
62503.383.63
Table 11. Recommended lengths of the deceleration lane (m).
Table 11. Recommended lengths of the deceleration lane (m).
Design Speed (km/h)Slope (%)
0−1−2−3−4−5−6
120185200210230245//
100175190200220240260/
80100110115125135150170
Table 12. Deceleration lane length specification values.
Table 12. Deceleration lane length specification values.
Design Speed (km/h)DecelerationSlope (%)
0−1−2−3−4−5−6
120deceleration section145145145////
taper section100
100deceleration section125125125140///
taper section90
80deceleration section110110110120135//
taper section80
Disclaimer/Publisher’s Note: The statements, opinions and data contained in all publications are solely those of the individual author(s) and contributor(s) and not of MDPI and/or the editor(s). MDPI and/or the editor(s) disclaim responsibility for any injury to people or property resulting from any ideas, methods, instructions or products referred to in the content.

Share and Cite

MDPI and ACS Style

Tian, X.; Shi, M.; Shao, M.; Pan, B. Calculation Method of Deceleration Lane Length and Slope Based on Reliability Theory. Sustainability 2023, 15, 13081. https://doi.org/10.3390/su151713081

AMA Style

Tian X, Shi M, Shao M, Pan B. Calculation Method of Deceleration Lane Length and Slope Based on Reliability Theory. Sustainability. 2023; 15(17):13081. https://doi.org/10.3390/su151713081

Chicago/Turabian Style

Tian, Xin, Mengmeng Shi, Mengyu Shao, and Binghong Pan. 2023. "Calculation Method of Deceleration Lane Length and Slope Based on Reliability Theory" Sustainability 15, no. 17: 13081. https://doi.org/10.3390/su151713081

APA Style

Tian, X., Shi, M., Shao, M., & Pan, B. (2023). Calculation Method of Deceleration Lane Length and Slope Based on Reliability Theory. Sustainability, 15(17), 13081. https://doi.org/10.3390/su151713081

Note that from the first issue of 2016, this journal uses article numbers instead of page numbers. See further details here.

Article Metrics

Back to TopTop