Super-Resolution Reconstruction of Remote Sensing Images of the China–Myanmar Pipeline Based on Generative Adversarial Network
Abstract
:1. Introduction
2. Data and Methods
2.1. Constructing Remote Sensing Image Dataset of the China–Myanmar Pipeline
2.2. Remote Sensing Image Super-Resolution Network of China–Myanmar Pipeline
2.2.1. Generator Design
2.2.2. Discriminator Design
2.2.3. Loss Function
2.3. Evaluation Indicators
3. Experiment and Discussion
3.1. Training Equipment and Parameter Settings
3.2. Experimental Result
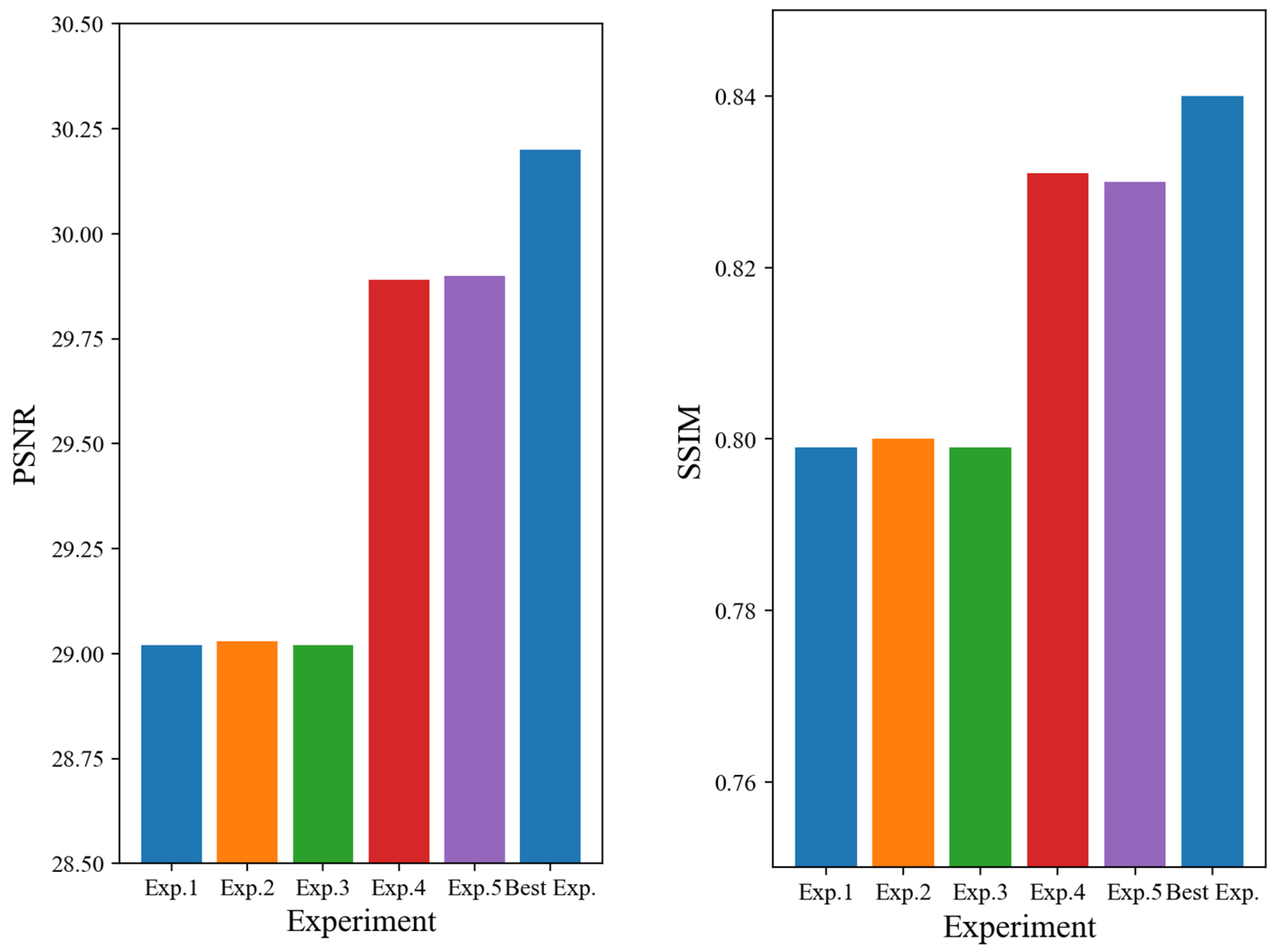
3.3. Ablation Experiments
4. Conclusions
- The adversus-generation network is applied to the super resolution reconstruction of remote sensing images; the network based on SRGAN has been improved by implementing a dense residual structure instead of the original generator structure, resulting in an improved network depth that better fits the image features in remote sensing images;
- The Softsign activation function has been implemented, addressing the problems of network saturation and gradient disappearance;
- The RRNL dense perceptual field module is proposed, enhances gradient propagation, and is combined with a Nonlocal mechanism to extract deep features of the image without being limited to neighboring points. Finally, the RFB mechanism is introduced to extract global image features;
- By considering adversarial loss, perceptual loss, image mean square error loss, and total variance loss during training, the network training is more stable.
Author Contributions
Funding
Institutional Review Board Statement
Informed Consent Statement
Data Availability Statement
Conflicts of Interest
References
- Duchon, C.E. Lanczos Filtering in One and Two Dimensions. J. Appl. Meteorol. Climatol. 1979, 18, 1016–1022. [Google Scholar] [CrossRef]
- Qin, F.; He, X.; Wu, W.; Yang, X. Image super-resolution reconstruction based on sub-pixel registration and iterative back projection. In International Conference on Information Computing and Automation; University of Electric Power Technology: Hefei, China, 2008; pp. 277–280. [Google Scholar]
- Stark, H.; Oskoui, P. High-resolution image recovery from image-plane arrays, using convex projections. J. Opt. Soc. America. A Opt. Image Sci. 1989, 6, 1715–1726. [Google Scholar] [CrossRef] [PubMed]
- Freeman, W.T.; Pasztor, E.C. Learning low-level vision. In Proceedings of the Seventh IEEE International Conference on Computer Vision, Kerkyra, Greece, 20–27 September 1999; Volume 2, pp. 1182–1189. [Google Scholar]
- Dong, C.; Loy, C.C.; He, K.; Tang, X. Learning a Deep Convolutional Network for Image Super-Resolution. In Proceedings of the Computer Vision–ECCV 2014: 13th European Conference, Zurich, Switzerland, 6–12 September 2014; Proceedings, Part IV 13. Fleet, D., Pajdla, T., Schiele, B., Tuytelaars, T., Eds.; Springer International Publishing: Cham, Switzerland, 2014; pp. 184–199. [Google Scholar]
- Shi, W.; Caballero, J.; Huszar, F.; Totz, J.; Aitken, A.P.; Bishop, R.; Rueckert, D.; Wang, Z. Real-Time Single Image and Video Super-Resolution Using an Efficient Sub-Pixel Convolutional Neural Network. In Proceedings of the 2016 IEEE Conference on Computer Vision and Pattern Recognition (CVPR), Seattle, WA, USA, 27–30 June 2016; pp. 1874–1883. [Google Scholar]
- Zhang, Y.; Li, K.; Li, K.; Wang, L.; Zhong, B.; Fu, Y. Image Super-Resolution Using Very Deep Residual Channel Attention Networks. In Proceedings of the European Conference on Computer Vision (ECCV), Munich, Germany, 8–14 September 2018; Ferrari, V., Hebert, M., Sminchisescu, C., Weiss, Y., Eds.; Springer International Publishing: Cham, Switzerland, 2018; pp. 294–310. [Google Scholar]
- Wang, Z.; Gao, G.; Li, J.; Yu, Y.; Lu, H. Lightweight Image Super-Resolution with Multi-Scale Feature Interaction Network. In Proceedings of the 2021 IEEE International Conference on Multimedia and Expo (ICME), Shenzhen, China, 5–9 July 2021; pp. 1–6. [Google Scholar]
- Kim, J.; Lee, J.K.; Lee, K.M. Accurate Image Super-Resolution Using Very Deep Convolutional Networks. In Proceedings of the 2016 IEEE Conference on Computer Vision and Pattern Recognition (CVPR), Las Vegas, NV, USA, 27–30 June 2016; pp. 1646–1654. [Google Scholar]
- Lim, B.; Son, S.; Kim, H.; Nah, S.; Lee, K.M. Enhanced Deep Residual Networks for Single Image Super-Resolution. In Proceedings of the 2017 IEEE Conference on Computer Vision and Pattern Recognition Workshops (CVPRW), Honolulu, HI, USA, 21–26 July 2017; pp. 1132–1140. [Google Scholar]
- Li, J.; Fang, F.; Mei, K.; Zhang, G. Multi-scale Residual Network for Image Super-Resolution. In Proceedings of the European Conference on Computer Vision (ECCV), Munich, Germany, 8–14 September 2018; Ferrari, V., Hebert, M., Sminchisescu, C., Weiss, Y., Eds.; Springer International Publishing: Cham, Switzerland, 2018; pp. 527–542. [Google Scholar]
- Ledig, C.; Theis, L.; Huszár, F.; Caballero, J.; Cunningham, A.; Acosta, A.; Aitken, A.; Tejani, A.; Totz, J.; Wang, Z.; et al. Photo-Realistic Single Image Super-Resolution Using a Generative Adversarial Network. In Proceedings of the 2017 IEEE Conference on Computer Vision and Pattern Recognition Workshops (CVPRW), Honolulu, HI, USA, 21–26 July 2017; pp. 105–114. [Google Scholar]
- Wang, X.; Yu, K.; Wu, S.; Gu, J.; Liu, Y.; Dong, C.; Qiao, Y.; Loy, C.C. ESRGAN: Enhanced Super-Resolution Generative Adversarial Networks. In Proceedings of the European Conference on Computer Vision (ECCV), Munich, Germany, 8–14 September 2018; Leal-Taixé, L., Roth, S., Eds.; Springer International Publishing: Cham, Switzerland, 2019; pp. 63–79. [Google Scholar]
- Prajapati, K.; Chudasama, V.; Patel, H.; Upla, K.; Ramachandra, R.; Raja, K.; Busch, C. Unsupervised Single Image Super-Resolution Network (USISResNet) for Real-World Data Using Generative Adversarial Network. In Proceedings of the 2020 IEEE/CVF Conference on Computer Vision and Pattern Recognition Workshops (CVPRW), Seattle, WA, USA, 14–19 June 2020; pp. 1904–1913. [Google Scholar]
- Zhang, K.; Liang, J.; Gool, L.V.; Timofte, R. Designing a Practical Degradation Model for Deep Blind Image Super-Resolution. In Proceedings of the 2021 IEEE/CVF International Conference on Computer Vision (ICCV), Montreal, BC, Canada, 10–17 October 2021; pp. 4771–4780. [Google Scholar]
- Lu, W.; Wang, J. Survey of super resolution processing method of remote sensing image. Sci. Surv. Mapp. 2016, 41, 53–58, 69. [Google Scholar]
- Li, F.; Jia, X.; Fraser, D.; Lambert, A. Super Resolution for Remote Sensing Images Based on a Universal Hidden Markov Tree Model. IEEE Trans. Geosci. Remote Sens. 2010, 48, 1270–1278. [Google Scholar]
- Suyu, W.; Li, Z.; Xiaoguang, L. Spectral imagery super resolution by using of a high resolution panchromatic image. In Proceedings of the 2010 3rd International Conference on Computer Science and Information Technology, Chengdu, China, 9–11 July 2010; pp. 220–224. [Google Scholar]
- Rohith, G.; Vasuki, A. A Novel approach to super resolution image reconstruction algorithm from low resolution panchromatic images. In Proceedings of the 2015 3rd International Conference on Signal Processing, Communication and Networking (ICSCN), Chennai, India, 26–28 March 2015; pp. 1–8. [Google Scholar]
- Zhang, H.; Huang, B. Scale conversion of multi sensor remote sensing image using single frame super resolution technology. In Proceedings of the 2011 19th International Conference on Geoinformatics, Shanghai, China, 24–26 June 2011; pp. 1–5. [Google Scholar]
- Jiang, K.; Wang, Z.; Yi, P.; Wang, G.; Lu, T.; Jiang, J. Edge-Enhanced GAN for Remote Sensing Image Superresolution. IEEE Trans. Geosci. Remote Sens. 2019, 57, 5799–5812. [Google Scholar] [CrossRef]
- Kang, X.; Deng, B.; Duan, P.; Wei, X.; Li, S. Self-Supervised Spectral–Spatial Transformer Network for Hyperspectral Oil Spill Mapping. IEEE Trans. Geosci. Remote Sens. 2023, 61, 1–10. [Google Scholar] [CrossRef]
- Wang, X.; Girshick, R.; Gupta, A.; He, K. Non-local Neural Networks. In Proceedings of the 2018 IEEE/CVF Conference on Computer Vision and Pattern Recognition, Salt Lake City, UT, USA, 18–23 June 2018; pp. 7794–7803. [Google Scholar]
- Liu, S.; Huang, D.; Wang, Y. Receptive Field Block Net for Accurate and Fast Object Detection. In Proceedings of the European Conference on Computer Vision (ECCV), Munich, Germany, 8–14 September 2018; Ferrari, V., Hebert, M., Sminchisescu, C., Weiss, Y., Eds.; Springer International Publishing: Cham, Switzerland, 2018; pp. 404–419. [Google Scholar]
- Goodfellow, I.J.; Pouget-Abadie, J.; Mirza, M.; Xu, B.; Warde-Farley, D.; Ozair, S.; Courville, A.; Bengio, Y. Generative Adversarial Nets. In Proceedings of the 28th Conference on Neural Information Processing Systems (NIPS), Montreal, BC, Canada, 8–13 December 2014; pp. 2672–2680. [Google Scholar]
- Szegedy, C.; Wei, L.; Yangqing, J.; Sermanet, P.; Reed, S.; Anguelov, D.; Erhan, D.; Vanhoucke, V.; Rabinovich, A. Going deeper with convolutions. In Proceedings of the 2015 IEEE Conference on Computer Vision and Pattern Recognition (CVPR), Boston, MA, USA, 7–12 June 2015; pp. 1–9. [Google Scholar]
- He, K.; Zhang, X.; Ren, S.; Sun, J. Deep Residual Learning for Image Recognition. In Proceedings of the 2016 IEEE Conference on Computer Vision and Pattern Recognition (CVPR), Las Vegas, NV, USA, 27–30 June 2016; pp. 770–778. [Google Scholar]
- Johnson, J.; Alahi, A.; Fei-Fei, L. Perceptual Losses for Real-Time Style Transfer and Super-Resolution. In Proceedings of the Computer Vision–ECCV 2016: 14th European Conference, Amsterdam, The Netherlands, 11–14 October 2016; Leibe, B., Matas, J., Sebe, N., Welling, M., Eds.; Springer International Publishing: Cham, Switzerland, 2016; pp. 694–711. [Google Scholar]
- Rudin, L.I.; Osher, S.; Fatemi, E. Nonlinear total variation based noise removal algorithms. Phys. D Nonlinear Phenom. 1992, 60, 259–268. [Google Scholar] [CrossRef]
- Simonyan, K.; Zisserman, A.J.C. Very Deep Convolutional Networks for Large-Scale Image Recognition. arXiv 2014, arXiv:1409.1556. [Google Scholar]










| Name | Version |
|---|---|
| OPERATING SYSTEM | Windows 11 |
| GPU | NVIDIA GeForce GTX 3080 |
| VIDEO MEMORY | 10G |
| CUDA | 11.6 |
| Python | 3.9 |
| PyTorch | 1.12.0 |
| Method | PSNR | SSIM |
|---|---|---|
| Bicubic | 21.87 | 0.762 |
| Nearest | 24.54 | 0.623 |
| SRCNN | 28.79 | 0.781 |
| SRGAN | 29.99 | 0.834 |
| Ours | 30.20 | 0.840 |
| Module Name | Module Composition |
|---|---|
| Residual block1 | CN + BN + PReLu + CN + BN |
| Residual block2 | CN + CN + CN + CN + CN + LeakyReLU |
| RRDB | Residual block2 + Residual block2 + Residual block2 |
| Nonlocal | CN + CN + Softmax + CN + CN |
| BasicCn | CN + (BN) + ReLu |
| RFB | 3 × BasicCn + 3 × BasicCn + 4 × BasicCn + BasicCn + BasicCn + ReLu |
| RRNL | RRDB + Nonlocal |
| Experiment Name | Models | PSNR | SSIM |
|---|---|---|---|
| Exp. 1 | Residual block1(3) + RRDB(2) + Nonlocal | 29.02 | 0.799 |
| Exp. 2 | Residual block1(2) + RRDB(3) + Nonlocal | 29.03 | 0.800 |
| Exp. 3 | RRDB(5) + Nonlocal | 29.02 | 0.799 |
| Exp. 4 | Residual block1(1) + Residual block2(1) + RRDB(3) + Nonlocal | 29.89 | 0.831 |
| Exp. 5 | Residual block1(1) + Residual block2(1) + RRDB(3) + RFB | 29.90 | 0.830 |
| Exp. BEST | Residual block1(1) + RRNL(3) + RFB | 30.20 | 0.840 |
Disclaimer/Publisher’s Note: The statements, opinions and data contained in all publications are solely those of the individual author(s) and contributor(s) and not of MDPI and/or the editor(s). MDPI and/or the editor(s) disclaim responsibility for any injury to people or property resulting from any ideas, methods, instructions or products referred to in the content. |
© 2023 by the authors. Licensee MDPI, Basel, Switzerland. This article is an open access article distributed under the terms and conditions of the Creative Commons Attribution (CC BY) license (https://creativecommons.org/licenses/by/4.0/).
Share and Cite
Jiang, Y.; Ren, Q.; Ren, Y.; Liu, H.; Dong, S.; Ma, Y. Super-Resolution Reconstruction of Remote Sensing Images of the China–Myanmar Pipeline Based on Generative Adversarial Network. Sustainability 2023, 15, 13068. https://doi.org/10.3390/su151713068
Jiang Y, Ren Q, Ren Y, Liu H, Dong S, Ma Y. Super-Resolution Reconstruction of Remote Sensing Images of the China–Myanmar Pipeline Based on Generative Adversarial Network. Sustainability. 2023; 15(17):13068. https://doi.org/10.3390/su151713068
Chicago/Turabian StyleJiang, Yuanliang, Qingying Ren, Yuan Ren, Haipeng Liu, Shaohua Dong, and Yundong Ma. 2023. "Super-Resolution Reconstruction of Remote Sensing Images of the China–Myanmar Pipeline Based on Generative Adversarial Network" Sustainability 15, no. 17: 13068. https://doi.org/10.3390/su151713068
APA StyleJiang, Y., Ren, Q., Ren, Y., Liu, H., Dong, S., & Ma, Y. (2023). Super-Resolution Reconstruction of Remote Sensing Images of the China–Myanmar Pipeline Based on Generative Adversarial Network. Sustainability, 15(17), 13068. https://doi.org/10.3390/su151713068
