Global Research Landscape of Climate Change, Vulnerability, and Islands
Abstract
:1. Introduction
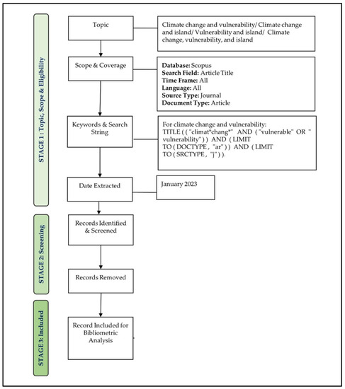
2. Materials and Methods
2.1. Data Collection
2.2. Bibliometric Analysis
2.3. Science Mapping
3. Results
3.1. Annual Publications
3.2. Publications by Subject
3.3. Most Productive Authors
3.4. Publications by Institutions
3.5. Publications by Journal
3.6. Citation Metrics
3.7. Highly Cited Documents
3.8. Co-Authorship Analysis by Countries
3.9. Co-Occurrence Analysis of Keywords
4. Discussion
5. Conclusions
Supplementary Materials
Author Contributions
Funding
Institutional Review Board Statement
Informed Consent Statement
Data Availability Statement
Acknowledgments
Conflicts of Interest
References
- Kopec, R.J. Global Climate Change and the Impact of a Maximum Sea Level on Coastal Settlement. J. Geog. 1971, 70, 541–550. [Google Scholar] [CrossRef]
- Lazrus, H. Sea Change: Island Communities and Climate Change. Annu. Rev. Anthropol. 2012, 41, 285–301. [Google Scholar] [CrossRef]
- Mariano, C.; Marino, M.; Pisacane, G.; Sannino, G. Sea Level Rise and Coastal Impacts: Innovation and Improvement of the Local Urban Plan for a Climate-Proof Adaptation Strategy. Sustainability 2021, 13, 1565. [Google Scholar] [CrossRef]
- Ehsan, S.; Ara Begum, R.; Ghani Md Nor, N.; Nizam Abdul Maulud, K. Current and Potential Impacts of Sea Level Rise in the Coastal Areas of Malaysia. IOP Conf. Ser. Earth Environ. Sci. 2019, 228, 012023. [Google Scholar] [CrossRef]
- Pei, Y.; Qiu, H.; Yang, D.; Liu, Z.; Ma, S.; Li, J.; Cao, M.; Wufuer, W. Increasing Landslide Activity in the Taxkorgan River Basin (Eastern Pamirs Plateau, China) Driven by Climate Change. Catena 2023, 223, 106911. [Google Scholar] [CrossRef]
- Zhu, G.; Liu, Y.; Wang, L.; Sang, L.; Zhao, K.; Zhang, Z.; Lin, X.; Qiu, D. The Isotopes of Precipitation Have Climate Change Signal in Arid Central Asia. Glob. Planet. Chang. 2023, 225, 104103. [Google Scholar] [CrossRef]
- Bhattacharjee, A.; Anadón, J.D.; Lohman, D.J.; Doleck, T.; Lakhankar, T.; Shrestha, B.B.; Thapa, P.; Devkota, D.; Tiwari, S.; Jha, A.; et al. The Impact of Climate Change on Biodiversity in Nepal: Current Knowledge, Lacunae, and Opportunities. Climate 2017, 5, 80. [Google Scholar] [CrossRef]
- Wyllie de Echeverria, V.R.; Thornton, T.F. Using Traditional Ecological Knowledge to Understand and Adapt to Climate and Biodiversity Change on the Pacific Coast of North America. Ambio 2019, 48, 1447–1469. [Google Scholar] [CrossRef]
- Gravitiani, E.; Fitriana, S.N.; Bernadeta, R.; Pratiwi, S.R. Climate Change Impact to Socio-Economy Vulnerability in Northern Java Coastal Area. IOP Conf. Ser. Earth Environ. Sci. 2018, 200, 012058. [Google Scholar] [CrossRef]
- Přívara, A.; Přívarová, M. Nexus between Climate Change, Displacement and Conflict: Afghanistan Case. Sustainability 2019, 11, 5586. [Google Scholar] [CrossRef]
- Tabe, T. Climate Change Migration and Displacement: Learning from Past Relocations in the Pacific. Soc. Sci. 2019, 8, 218. [Google Scholar] [CrossRef]
- Ligsay, A.; Telle, O.; Paul, R. Challenges to Mitigating the Urban Health Burden of Mosquito-Borne Diseases in the Face of Climate Change. Int. J. Environ. Res. Public Health 2021, 18, 5035. [Google Scholar] [CrossRef]
- Ford, J.D.; Sherman, M.; Berrang-Ford, L.; Llanos, A.; Carcamo, C.; Harper, S.; Lwasa, S.; Namanya, D.; Marcello, T.; Maillet, M.; et al. Preparing for the Health Impacts of Climate Change in Indigenous Communities: The Role of Community-Based Adaptation. Glob. Environ. Chang. 2018, 49, 129–139. [Google Scholar] [CrossRef]
- Galappaththi, E.K.; Ford, J.D.; Bennett, E.M.; Berkes, F. Adapting to Climate Change in Small-Scale Fisheries: Insights from Indigenous Communities in the Global North and South. Environ. Sci. Policy 2021, 116, 160–170. [Google Scholar] [CrossRef]
- Savage, A.; Schubert, L.; Huber, C.; Bambrick, H.; Hall, N.; Bellotti, B. Adaptation to the Climate Crisis: Opportunities for Food and Nutrition Security and Health in a Pacific Small Island State. Weather. Clim. Soc. 2020, 12, 745–758. [Google Scholar] [CrossRef]
- Maiti, S.; Jha, S.K.; Garai, S.; Nag, A.; Bera, A.K.; Paul, V.; Upadhaya, R.C.; Deb, S.M. An Assessment of Social Vulnerability to Climate Change among the Districts of Arunachal Pradesh, India. Ecol. Indic. 2017, 77, 105–113. [Google Scholar] [CrossRef]
- Thornton, P.K.; Ericksen, P.J.; Herrero, M.; Challinor, A.J. Climate Variability and Vulnerability to Climate Change: A Review. Glob. Chang. Biol. 2014, 20, 3313–3328. [Google Scholar] [CrossRef]
- Hare, W.L.; Cramer, W.; Schaeffer, M.; Battaglini, A.; Jaeger, C.C. Climate Hotspots: Key Vulnerable Regions, Climate Change and Limits to Warming. Reg. Environ. Chang. 2011, 11, 1–13. [Google Scholar] [CrossRef]
- Otto, I.M.; Reckien, D.; Reyer, C.P.O.; Marcus, R.; Le Masson, V.; Jones, L.; Norton, A.; Serdeczny, O. Social Vulnerability to Climate Change: A Review of Concepts and Evidence. Reg. Environ. Chang. 2017, 17, 1651–1662. [Google Scholar] [CrossRef]
- Mack, E.A.; Theuerkauf, E.; Bunting, E. Coastal Typology: An Analysis of the Spatiotemporal Relationship between Socioeconomic Development and Shoreline Change. Land 2020, 9, 218. [Google Scholar] [CrossRef]
- Hay, J.E.; Forbes, D.L.; Mimura, N. Understanding and Managing Global Change in Small Islands. Sustain. Sci. 2013, 8, 303–308. [Google Scholar] [CrossRef]
- Zhou, J.; Wang, L.; Zhong, X.; Yao, T.; Qi, J.; Wang, Y.; Xue, Y. Quantifying the Major Drivers for the Expanding Lakes in the Interior Tibetan Plateau. Sci. Bull. 2022, 67, 474–478. [Google Scholar] [CrossRef] [PubMed]
- Li, H.; Hui, Y.; Pan, J. Evolution and Influencing Factors of Social-Ecological System Vulnerability in the Wuling Mountains Area. Int. J. Environ. Res. Public Health 2022, 19, 11688. [Google Scholar] [CrossRef] [PubMed]
- Metcalf, S.J.; van Putten, E.I.; Frusher, S.; Marshall, N.A.; Tull, M.; Caputi, N.; Haward, M.; Hobday, A.J.; Holbrook, N.J.; Jennings, S.M.; et al. Measuring the Vulnerability of Marine Social-Ecological Systems: A Prerequisite for the Identification of Climate Change Adaptations. Ecol. Soc. 2015, 20, 35. [Google Scholar] [CrossRef]
- Zeleňáková, M.; Blistan, P.; Purcz, P. Assessment of Flood Vulnerability in the Bodva Catchment Using Multicriteria Analysis and Geographical Information Systems. River Basin Manag. VIII 2015, 1, 51–59. [Google Scholar] [CrossRef]
- Veron, S.; Mouchet, M.; Govaerts, R.; Haevermans, T.; Pellens, R. Vulnerability to Climate Change of Islands Worldwide and Its Impact on the Tree of Life. Sci. Rep. 2019, 9, 14471. [Google Scholar] [CrossRef]
- Mimura, N. Vulnerability of Island Countries in the South Pacific to Sea Level Rise and Climate Change. Clim. Res. 1999, 12, 137–143. [Google Scholar] [CrossRef]
- Rovisham, J.; Doorga, S. Climate Change and the Fate of Small Islands: The Case of Mauritius. Environ. Sci. Policy 2022, 136, 282–290. [Google Scholar] [CrossRef]
- Song, W. Climate Change and Tourism Sustainability in Jeju Island Landscape. Sustainability 2023, 15, 88. [Google Scholar] [CrossRef]
- Pathmanandakumar, V.; Chenoli, S.N.; Goh, H.C. Linkages between Climate Change and Coastal Tourism: A Bibliometric Analysis. Sustainability 2021, 13, 10830. [Google Scholar] [CrossRef]
- Fan, J.; Liu, G.; Xia, Z.; Cai, S. A Bibliometric Analysis of Climate Change Risk Perception: Hot Spots, Trends and Improvements. Front. Environ. Sci. 2022, 10, 917469. [Google Scholar] [CrossRef]
- Nalau, J.; Verrall, B. Mapping the Evolution and Current Trends in Climate Change Adaptation Science. Clim. Risk Manag. 2021, 32, 100290. [Google Scholar] [CrossRef]
- Wang, B.; Pan, S.Y.; Ke, R.Y.; Wang, K.; Wei, Y.M. An Overview of Climate Change Vulnerability: A Bibliometric Analysis Based on Web of Science Database. Nat. Hazards 2014, 74, 1649–1666. [Google Scholar] [CrossRef]
- Echchakoui, S. Why and How to Merge Scopus and Web of Science during Bibliometric Analysis: The Case of Sales Force Literature from 1912 to 2019. J. Mark. Anal. 2020, 8, 165–184. [Google Scholar] [CrossRef]
- Donthu, N.; Kumar, S.; Mukherjee, D.; Pandey, N.; Lim, W.M. How to Conduct a Bibliometric Analysis: An Overview and Guidelines. J. Bus. Res. 2021, 133, 285–296. [Google Scholar] [CrossRef]
- Jan van Eck, N.; Waltman, L. VOSviewer Manual. 2022. Available online: https://www.vosviewer.com/documentation/Manual_VOSviewer_1.6.18.pdf (accessed on 1 March 2023).
- Zakaria, R.; Ahmi, A.; Ahmad, A.H.; Othman, Z. Worldwide Melatonin Research: A Bibliometric Analysis of the Published Literature between 2015 and 2019. Chronobiol. Int. 2021, 38, 27–37. [Google Scholar] [CrossRef]
- Moher, D.; Liberati, A.; Tetzlaff, J.; Altman, D.G. Preferred Reporting Items for Systematic Reviews and Meta-Analyses: The PRISMA Statement. BMJ 2009, 339, 332–336. [Google Scholar] [CrossRef]
- Van Der Laan, E.; Pedro, J.; Filipe, L.; Carvalho, S.; Mendonça, F. Assessing the Climate Change Adaptability of Sustainable Land Management Practices Regarding Water Availability and Quality: A Case Study in the Sorraia Catchment, Portugal. Sci. Total Environ. 2023, 897, 165438. [Google Scholar] [CrossRef]
- Yuan, L.; Wu, X.; He, W.; Mulugeta, D.; Kong, Y.; Yang, Y.; Xu, S.; Stephen, T. Utilizing the Strategic Concession Behavior in a Bargaining Game for Optimal Allocation of Water in a Transboundary River Basin during Water Bankruptcy. Environ. Impact Assess. Rev. 2023, 102, 107162. [Google Scholar] [CrossRef]
- Vörösmarty, C.J.; Green, P.; Salisbury, J.; Lammers, R.B. Global Water Resources: Vulnerability from Climate Change and Population Growth. Science 2016, 289, 284–288. [Google Scholar] [CrossRef]
- Lindner, M.; Maroschek, M.; Netherer, S.; Kremer, A.; Barbati, A.; Garcia-Gonzalo, J.; Seidl, R.; Delzon, S.; Corona, P.; Kolstrom, M.; et al. Climate Change Impacts, Adaptive Capacity, and Vulnerability of European Forest Ecosystems. For. Ecol. Manag. 2010, 259, 698–709. [Google Scholar] [CrossRef]
- Kelly, P.M.; Adger, W.N. Theory and Practice in Assessing Vulnerability to Climate Change and Facilitating Adaptation. Clim. Chang. 2000, 47, 325–352. [Google Scholar] [CrossRef]
- Füssel, H.-M. Vulnerability: A Generally Applicable Conceptual Framework for Climate Change Research. Glob. Environ. Chang. 2007, 17, 155–167. [Google Scholar] [CrossRef]
- Brien, K.O.; Leichenko, R.; Kelkar, U.; Venema, H.; Aandahl, G.; Tompkins, H.; Javed, A.; Bhadwal, S.; Barg, S.; Nygaard, L.; et al. Mapping Vulnerability to Multiple Stressors: Climate Change and Globalization in India. Glob. Environ. Chang. 2004, 14, 303–313. [Google Scholar] [CrossRef]
- Barnett, J. Adapting to Climate Change in Pacific Island Countries: The Problem of Uncertainty. World Dev. 2001, 29, 977–993. [Google Scholar] [CrossRef]
- Uyarra, M.C.; Cote, I.M.; Gill, J.A.; Tinch, R.R.; Viner, D.; Watkinson, A.R. Island-Specific Preferences of Tourists for Environmental Features: Implications of Climate Change for Tourism-Dependent States. Environ. Conserv. 2005, 32, 11–19. [Google Scholar] [CrossRef]
- Hiwasaki, L.; Luna, E.; Shaw, R. International Journal of Disaster Risk Reduction Process for Integrating Local and Indigenous Knowledge with Science for Hydro-Meteorological Disaster Risk Reduction and Climate Change Adaptation in Coastal and Small Island Communities. Int. J. Disaster Risk Reduct. 2014, 10, 15–27. [Google Scholar] [CrossRef]
- Weigelt, P.; Steinbauer, M.J.; Cabral, J.S.; Kreft, H. Late Quaternary Climate Change Shapes Island Biodiversity. Nature 2016, 532, 99–102. [Google Scholar] [CrossRef]
- Briguglio, L. Small Island Developing States and Their Economic Vulnerabilities. World Dev. 1995, 23, 1615–1632. [Google Scholar] [CrossRef]
- Pelling, M.; Uitto, J.I. Small Island Developing States: Natural Disaster Vulnerability and Global Change. Environ. Hazards 2002, 3, 49–62. [Google Scholar] [CrossRef]
- Woodroffe, C.D. Reef-Island Topography and the Vulnerability of Atolls to Sea-Level Rise. Glob. Planet. Chang. 2008, 62, 77–96. [Google Scholar] [CrossRef]
- Mercer, J.; Dominey-howes, D.; Kelman, I.; Lloyd, K. The Potential for Combining Indigenous and Western Knowledge in Reducing Vulnerability to Environmental Hazards in Small Island Developing States. Environ. Hazards 2007, 7, 245–256. [Google Scholar] [CrossRef]
- Schwarz, A.-M.; Bene, C.; Bennett, G.; Boso, D.; Hilly, Z.; Paul, C.; Posala, R.; Sibiti, S.; Andrew, N. Vulnerability and Resilience of Remote Rural Communities to Shocks and Global Changes: Empirical Analysis from Solomon Islands’ Ne. Glob. Environ. Chang. 2011, 21, 1128–1140. [Google Scholar] [CrossRef]
- Mciver, L.; Kim, R.; Woodward, A.; Hales, S.; Spickett, J.; Katscherian, D. Health Impacts of Climate Change in Pacific Island Countries: A Regional Assessment of Vulnerabilities and Adaptation Priorities. Environ. Health Perspect. 2016, 124, 1707–1714. [Google Scholar] [CrossRef]
- Lebouvier, M.; Laparie, M.; Hulle, M.; Maraus, A.; Lalouette, L.; Vernon, P.; Candresse, T.; Frenot, Y.; Renault, D. The Significance of the Sub-Antarctic Kerguelen Islands for the Assessment of the Vulnerability of Native Communities to Climate Change, Alien Insect Invasions and Plant Viruses. Biol. Invasions 2011, 13, 1195–1208. [Google Scholar] [CrossRef]
- Kelman, I. No Change from Climate Change: Vulnerability and Small Island Developing States. Geogr. J. 2013, 180, 120–129. [Google Scholar] [CrossRef]
- Rasmussen, K.; May, W.; Birk, T.; Mataki, M.; Mertz, O.; Yee, D. Climate Change on Three Polynesian Outliers in the Solomon Islands: Impacts, Vulnerability and Adaptation. Geogr. Tidsskr. Danish J. Geogr. 2009, 109, 1–13. [Google Scholar] [CrossRef]
- Wu, H.; Wang, Y.; Tong, L.; Yan, H.; Sun, Z. Global Research Trends of Ferroptosis: A Rapidly Evolving Field With Enormous Potential. Front. Cell Dev. Biol. 2021, 9, 646311. [Google Scholar] [CrossRef]
- Uddin, S.; Hossain, L.; Abbasi, A.; Rasmussen, K. Trend and Efficiency Analysis of Co-Authorship Network. Scientometrics 2012, 90, 687–699. [Google Scholar] [CrossRef]
- Crary, A.P.; Kulp, J.L.; Marshall, E.W. Evidences of Climatic Change from Ice Island Studies. Science 1955, 122, 1171–1173. [Google Scholar] [CrossRef]
- Birkmann, J.; Jamshed, A.; McMillan, J.M.; Feldmeyer, D.; Totin, E.; Solecki, W.; Ibrahim, Z.Z.; Roberts, D.; Kerr, R.B.; Poertner, H.O.; et al. Understanding Human Vulnerability to Climate Change: A Global Perspective on Index Validation for Adaptation Planning. Sci. Total Environ. 2022, 803, 150065. [Google Scholar] [CrossRef] [PubMed]
- Ahmed, S. Assessment of Urban Heat Islands and Impact of Climate Change on Socioeconomic over Suez Governorate Using Remote Sensing and GIS Techniques. Egypt. J. Remote Sens. Sp. Sci. 2018, 21, 15–25. [Google Scholar] [CrossRef]
- Liu, Z.; Xu, J.; Liu, M.; Yin, Z.; Liu, X.; Yin, L.; Zheng, W. Remote Sensing and Geostatistics in Urban Water-Resource Monitoring: A Review. Mar. Freshw. Res. 2023, 74, 747–765. [Google Scholar] [CrossRef]
- Marzouk, M.; Attia, K.; Azab, S. Assessment of Coastal Vulnerability to Climate Change Impacts Using GIS and Remote Sensing: A Case Study of Al-Alamein New City. J. Clean. Prod. 2021, 290, 125723. [Google Scholar] [CrossRef]




| Topic | Search String | Record Identified | Records Included |
|---|---|---|---|
| Climate change AND vulnerability | “climat* chang*” AND vulnerab* | 1768 | 1768 |
| Climate change AND island | “climat* chang*” AND island | 508 | 501 |
| Vulnerability AND Island | vulnerab* AND island | 289 | 270 |
| Climate change AND island AND vulnerability | “climat* chang*” AND vulnerab* AND island | 37 | 37 |
| Climate Change and Vulnerability | Climate Change and Islands | Vulnerability and Islands | Climate Change, Vulnerability, and Islands | ||||||||
|---|---|---|---|---|---|---|---|---|---|---|---|
| Subject | TP | % | Subject | TP | % | Subject | TP | % | Subject | TP | % |
| Environmental Science | 1181 | 67% | Environmental Science | 267 | 53% | Environmental Science | 155 | 57% | Environmental Science | 18 | 49% |
| Social Sciences | 570 | 32% | Social Sciences | 186 | 37% | Social Sciences | 102 | 38% | Social Sciences | 16 | 43% |
| Agricultural and Biological Sciences | 467 | 26% | Earth and Planetary Sciences | 165 | 33% | Earth and Planetary Sciences | 90 | 33% | Earth and Planetary Sciences | 14 | 38% |
| Earth and Planetary Sciences | 400 | 23% | Agricultural and Biological Sciences | 133 | 27% | Agricultural and Biological Sciences | 74 | 27% | Agricultural and Biological Sciences | 11 | 30% |
| Engineering | 110 | 6% | Arts and Humanities | 36 | 7% | Engineering | 26 | 10% | Biochemistry, Genetics and Molecular Biology | 4 | 11% |
| Climate Change and Vulnerability | Country | Climate Change and Islands | Country | Vulnerability and Islands | Country | Climate Change, Vulnerability and Islands | Country | ||||
|---|---|---|---|---|---|---|---|---|---|---|---|
| Author | TP | Author | TP | Author | TP | Author | TP | ||||
| Ford, James D. | 19 | United Kingdom | Nunn, Patrick D. | 11 | Australia | Blancard, Stéphane | 4 | France | Birk, Thomas | 2 | Denmark |
| Pandey, Rajiv | 13 | India | Kelman, Ilan | 8 | Norway | Hoarau, Jean François | 4 | France | Mimura, Nobuo | 2 | Japan |
| Pearce, Tristan | 9 | Canada | Robinson, Stacy Ann | 6 | United States | Mimura, Nobuo | 4 | Japan | Mukherjee, Nabanita | 2 | India |
| Finch, Deborah M. | 7 | United States | Borges, Paulo A.V. | 5 | Portugal | Adrianto, Luky | 3 | Indonesia | Siddique, Giyasuddin | 2 | India |
| Scheffran, Jürgen | 7 | Germany | McNamara, Karen E. | 5 | Australia | Alam, G.M.M. | 3 | Bangladesh | Ahmed, Zobaer | 1 | United States |
| Climate Change and Vulnerability | |||
|---|---|---|---|
| Institution | Country | TP | Percentage |
| Chinese Academy of Sciences | China | 66 | 2.5% |
| USDA Forest Service | United States | 40 | 1.6% |
| Universidad Nacional Autónoma de México | Mexico | 32 | 1.5% |
| Université McGill | Canada | 25 | 1.4% |
| CNRS Centre National de la Recherche Scientifique | France | 25 | 1.4% |
| Climate Change and Islands | |||
| Institution | TP | Percentage | |
| University of the South Pacific | Oceania | 19 | 3.8% |
| The Australian National University | Australia | 14 | 2.8% |
| CNRS Centre National de la Recherche Scientifique | France | 13 | 2.6% |
| Universidad de la Laguna | Spain | 12 | 2.4% |
| University of the Sunshine Coast | Australia | 12 | 2.4% |
| Vulnerability and Islands | |||
| Institution | TP | Percentage | |
| CNRS Centre National de la Recherche Scientifique | France | 13 | 4.8% |
| Université de La Réunion | France | 7 | 2.6% |
| East China Normal University | China | 5 | 1.9% |
| Ibaraki University | Japan | 4 | 1.5% |
| Hellenic Centre for Marine Research | Greece | 4 | 1.5% |
| Climate Change, Vulnerability, and Islands | |||
| Institution | TP | Percentage | |
| CNRS Centre National de la Recherche Scientifique | France | 4 | 10.8% |
| Universidad de la Laguna | Spain | 2 | 5.4% |
| The University of Burdwan | India | 2 | 5.4% |
| Københavns Universitet | Denmark | 2 | 5.4% |
| Universidad Nacional Autónoma de México | Mexico | 2 | 5.4% |
| Climate Change and Vulnerability | ||||||||||
|---|---|---|---|---|---|---|---|---|---|---|
| Source Title | TP | % | Publisher | Cite Score | SJR 2021 | SNIP 2021 | NCP | TC | C/P | C/CP |
| Climatic Change | 81 | 4.6% | Springer Nature | 7.4 | 1.357 | 1.519 | 80 | 4839 | 59.7 | 60.5 |
| Sustainability (Switzerland) | 53 | 3.0% | Multidisciplinary Digital Publishing Institute (MDPI) | 5 | 0.664 | 1.31 | 47 | 584 | 11.0 | 12.4 |
| Global Change Biology | 33 | 1.9% | Wiley-Blackwell | 17.9 | 3.685 | 3.032 | 33 | 2354 | 71.3 | 71.3 |
| Mitigation And Adaptation Strategies For Global Change | 33 | 1.9% | Springer Nature | 7 | 0.81 | 1.109 | 32 | 1922 | 58.2 | 60.1 |
| Regional Environmental Change | 33 | 1.9% | Springer Nature | 8.1 | 1.143 | 1.453 | 32 | 1329 | 40.3 | 41.5 |
| Climate Change and Islands | ||||||||||
| Source Title | TP | % | Publisher | Cite Score | SJR 2021 | SNIP 2021 | NCP | TC | C/P | C/CP |
| Regional Environmental Change | 14 | 2.8% | Springer Nature | 8.1 | 1.143 | 1.453 | 14 | 493 | 35.2 | 35.2 |
| Climatic Change | 12 | 2.4% | Springer Nature | 7.4 | 1.357 | 1.519 | 12 | 392 | 32.7 | 32.7 |
| Climate And Development | 10 | 2.0% | Taylor & Francis | 7.3 | 1.326 | 1.502 | 9 | 181 | 18.1 | 20.1 |
| Climate Research | 7 | 1.4% | Inter-Research Science Publishing | 3.3 | 0.497 | 0.638 | 7 | 454 | 64.9 | 64.9 |
| Environmental Science And Policy | 7 | 1.4% | Elsevier | 10 | 1.683 | 1.916 | 7 | 62 | 8.9 | 8.9 |
| Vulnerability and Islands | ||||||||||
| Source Title | TP | % | Publisher | Cite Score | SJR 2021 | SNIP 2021 | NCP | TC | C/P | C/CP |
| Water (Switzerland) | 8 | 3.0% | Multidisciplinary Digital Publishing Institute (MDPI) | 4.8 | 0.716 | 1.128 | 7 | 90 | 11.3 | 12.9 |
| Ocean And Coastal Management | 7 | 2.6% | Elsevier | 6.2 | 0.969 | 1.383 | 7 | 221 | 31.6 | 31.6 |
| Natural Hazards | 6 | 2.2% | Springer Nature | 4.9 | 0.7 | 1.192 | 6 | 246 | 41.0 | 41.0 |
| Ecological Indicators | 5 | 1.9% | Elsevier | 8.4 | 1.284 | 1.665 | 5 | 114 | 22.8 | 22.8 |
| Environmental Earth Sciences | 5 | 1.9% | Springer Nature | 4.8 | 0.623 | 1.138 | 5 | 43 | 8.6 | 8.6 |
| Climate change, vulnerability, and islands | ||||||||||
| Source Title | TP | % | Publisher | Cite Score | SJR 2021 | SNIP 2021 | NCP | TC | C/P | C/CP |
| Geografisk Tidsskrift | 2 | 5.4% | Taylor & Francis | 4.4 | 0.414 | 0.765 | 2 | 60 | 30.0 | 30.0 |
| Arctic Science | 1 | 2.7% | Canadian Science Publishing | 2.6 | 0.607 | 0.749 | 0 | 0 | 0.0 | 0 |
| Atmosfera | 1 | 2.7% | Universidad Nacional Autonoma de Mexico | 2.4 | 0.404 | 0.76 | 1 | 2 | 2.0 | 2.0 |
| Biological Conservation | 1 | 2.7% | Elsevier | 9.9 | 2.14 | 2.197 | 1 | 11 | 11.0 | 11.0 |
| Biological Invasions | 1 | 2.7% | Springer Nature | 5.5 | 0.981 | 1.291 | 1 | 86 | 86.0 | 86.0 |
| Metrics | Climate Change and Vulnerability | Climate Change and Islands | Vulnerability and Islands | Climate Change, Vulnerability and Islands |
|---|---|---|---|---|
| Papers | 1768 | 501 | 270 | 37 |
| Number of Citations | 67,085 | 11,746 | 6563 | 916 |
| Years | 38 | 68 | 37 | 28 |
| Citations per Year | 1765.39 | 172.74 | 177.38 | 32.71 |
| Citations per Paper | 37.94 | 23.45 | 24.31 | 24.76 |
| Citations per Author | 24,009.85 | 5222.07 | 3119.86 | 448.03 |
| Papers per Author | 630.37 | 220.29 | 104.97 | 17.47 |
| Authors per Paper | 4.05 | 3.67 | 3.84 | 3.59 |
| h-index | 114 | 55 | 38 | 17 |
| g-index | 202 | 81 | 70 | 30 |
| No. | First Author and Year | Country | Title | Citations | Citations per Year |
|---|---|---|---|---|---|
| 1 | Charles J. Vörösmarty (2000) [41] | United States | Global water resources: Vulnerability from climate change and population growth | 3243 | 141 |
| 2 | Marcus Lindner, (2010) [42] | Germany | Climate change impacts, adaptive capacity, and vulnerability of European forest ecosystems | 1497 | 115.15 |
| 3 | P.M. Kelly (2000) [43] | United Kingdom | Theory and practice in assessing vulnerability to climate change and facilitating adaptation | 1035 | 45 |
| 4 | Hans-Martin Füssel (2007) [44] | Germany | Vulnerability: A generally applicable conceptual framework for climate change research | 983 | 61.44 |
| 6 | Karen O’Brien (2004) [45] | United States | Mapping vulnerability to multiple stressors: Climate change and globalisation in India | 807 | 42.47 |
| No. | First Author and Year | Country | Title | Citations | Citations per Year |
|---|---|---|---|---|---|
| 1 | Jon Barnett (2001) [46] | Australia | Adapting to climate change in Pacific Island countries: The problem of uncertainty | 285 | 12.95 |
| 2 | Maria C. Uyarra (2005) [47] | Spain | Island-specific preferences of tourists for environmental features: Implications of climate change for tourism-dependent states | 185 | 10.28 |
| 3 | Lisa Hiwasaki (2014) [48] | United States | Process for integrating local and indigenous knowledge with science for hydro-meteorological disaster risk reduction and climate change adaptation in coastal and small island communities | 171 | 19 |
| 4 | Patrick Weigelt, (2016) [49] | Germany | Late quaternary climate change shapes island biodiversity | 160 | 22.86 |
| 5 | Nobuo Mimura (1999) [27] | Japan | Vulnerability of island countries in the South Pacific to sea level rise and climate change | 154 | 6.42 |
| No. | First Author and Year | Country | Title | Citations | Citations per Year |
|---|---|---|---|---|---|
| 1 | Lino Briguglio (1995) [50] | Malta | Small island developing states and their economic vulnerabilities | 627 | 22.39 |
| 2 | Mark Pelling (2001) [51] | United Kingdom | Small island developing states: Natural disaster vulnerability and global change | 420 | 19.09 |
| 3 | Colin D. Woodroffe (2008) [52] | Australia | Reef-island topography and the vulnerability of atolls to sea-level rise | 240 | 16 |
| 4 | Jessica Mercer (2007) [53] | Australia | The potential for combining indigenous and western knowledge to reduce vulnerability to environmental hazards in small island developing states | 189 | 11.81 |
| 5 | Anne-Maree Schwarz (2011) [54] | New Zealand | Vulnerability and resilience of remote rural communities to shocks and global changes: Empirical analysis from Solomon Islands | 165 | 13.75 |
| No. | First Author and Year | Country | Title | Citations | Citations per Year |
|---|---|---|---|---|---|
| 1 | Nobuo Mimura (1999) [27] | Japan | Vulnerability of island countries in the South Pacific to sea level rise and climate change | 154 | 6.42 |
| 2 | Lachlan McIver (2016) [55] | Australia | Health impacts of climate change in Pacific Island countries: A regional assessment of vulnerabilities and adaptation priorities | 95 | 13.57 |
| 3 | M. Lebouvier (2011) [56] | France | The significance of the sub-Antarctic Kerguelen Islands for the assessment of the vulnerability of native communities to climate change, alien insect invasions and plant viruses | 86 | 7.17 |
| 4 | Ilan Kelman (2013) [57] | United Kingdom | No change from climate change: Vulnerability and small island developing states | 80 | 8.89 |
| 5 | Kjeld Rasmussen (2009) [58] | Denmark | Climate change on three Polynesian outliers in the Solomon Islands: Impacts, vulnerability and adaptation | 50 | 3.57 |
Disclaimer/Publisher’s Note: The statements, opinions and data contained in all publications are solely those of the individual author(s) and contributor(s) and not of MDPI and/or the editor(s). MDPI and/or the editor(s) disclaim responsibility for any injury to people or property resulting from any ideas, methods, instructions or products referred to in the content. |
© 2023 by the authors. Licensee MDPI, Basel, Switzerland. This article is an open access article distributed under the terms and conditions of the Creative Commons Attribution (CC BY) license (https://creativecommons.org/licenses/by/4.0/).
Share and Cite
Zulhaimi, N.A.; Pereira, J.J.; Muhamad, N. Global Research Landscape of Climate Change, Vulnerability, and Islands. Sustainability 2023, 15, 13064. https://doi.org/10.3390/su151713064
Zulhaimi NA, Pereira JJ, Muhamad N. Global Research Landscape of Climate Change, Vulnerability, and Islands. Sustainability. 2023; 15(17):13064. https://doi.org/10.3390/su151713064
Chicago/Turabian StyleZulhaimi, Nurul Ain, Joy Jacqueline Pereira, and Nurfashareena Muhamad. 2023. "Global Research Landscape of Climate Change, Vulnerability, and Islands" Sustainability 15, no. 17: 13064. https://doi.org/10.3390/su151713064
APA StyleZulhaimi, N. A., Pereira, J. J., & Muhamad, N. (2023). Global Research Landscape of Climate Change, Vulnerability, and Islands. Sustainability, 15(17), 13064. https://doi.org/10.3390/su151713064

