Characteristics of Fluctuating Wind Speed Spectra of Moving Vehicles under the Non-Stationary Wind Field
Abstract
:1. Introduction
2. Time History of Non-Stationary Fluctuating Wind Speed of the Moving Vehicle
2.1. Time Histories of Non-Stationary Fluctuating Wind Speed at Fixed Points
2.2. Time History of Non-Stationary Fluctuating Wind Speed at the Moving Point
3. Influencing Factors on Time-Varying Correlation Function of Fluctuating Wind Speed at the Moving Point
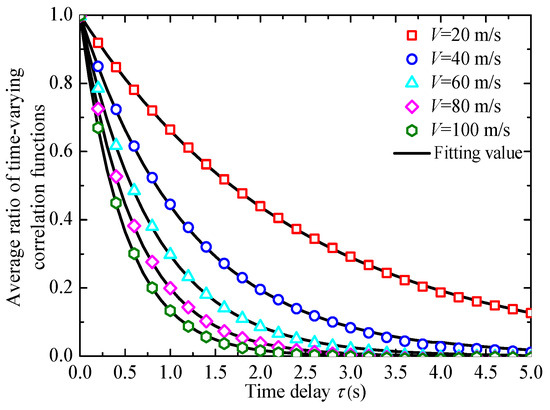
3.1. Effects of Different Mean Wind Speeds
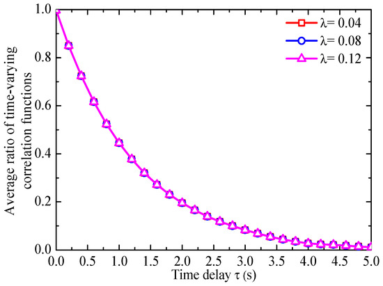
3.2. Effects of Different Ground Clearances
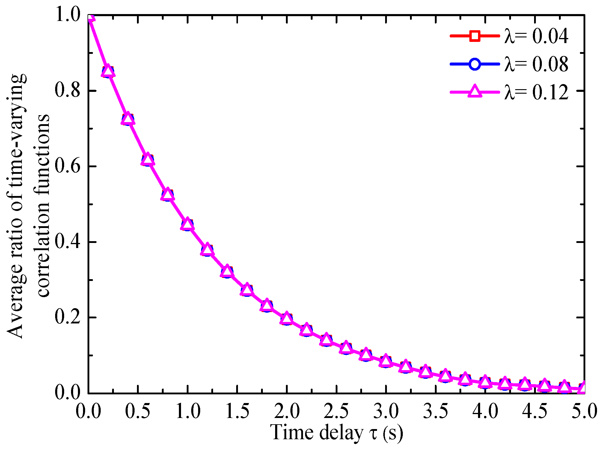
3.3. Effects of Different Temporal Modulation Function Parameters
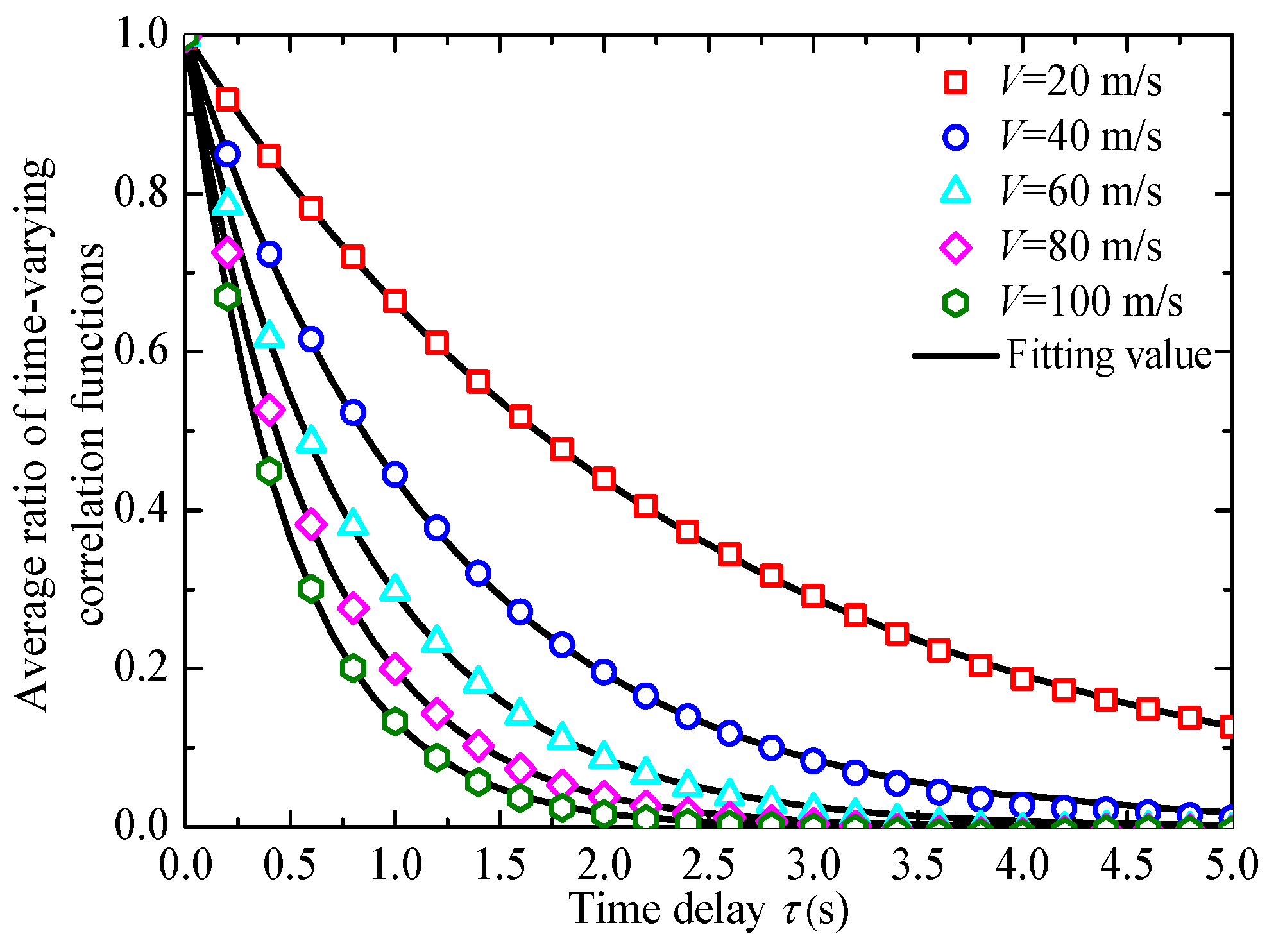
3.4. Effects of Different Vehicle’s Moving Speeds
4. Correlation Function Analysis and Fluctuating Wind Speed Spectra Model of the Moving Point under the Non-Stationary Wind Field
4.1. Correlation Function Expression of the Moving Point under the Non-Stationary Wind Field
4.2. Fluctuating Wind Speed Spectra of the Moving Point under the Non-Stationary Wind Field
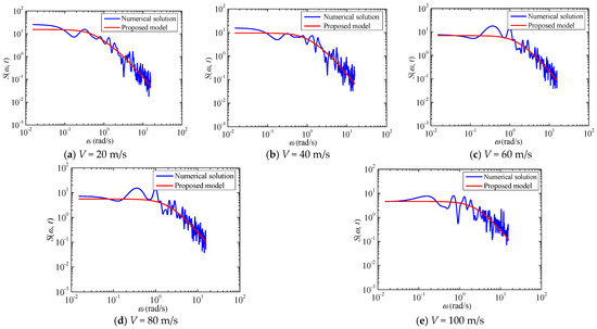
4.3. Verification of Fluctuating Wind Speed Spectra of the Moving Point under the Non-Stationary Wind Field
5. Comparison between the Fluctuating Wind Speed Spectra of the Moving Point under Stationary and Non-Stationary Wind Fields
5.1. Fluctuating Wind Speed Spectra Model of the Moving Point under the Stationary Wind Field
5.2. Fluctuating Wind Speed Spectra Model of the Moving Point under the Non-Stationary Wind Field with Different Modulation Functions
6. Conclusions
- (1)
- Compared with different mean wind speeds, ground clearances, and temporal modulation function parameters, different vehicles’ moving speeds are more sensitive to the time-varying correlation function ratios of moving and fixed points under the non-stationary wind field.
- (2)
- Based on the analysis of the time-varying correlation function ratios between moving and fixed points, the relational expression of the time-varying correlation functions of the time history of fluctuating wind speed at the moving and fixed points are established and the expression of the time-varying correlation function of the moving point under the non-stationary wind field is derived. Furthermore, the fluctuating wind speed spectra model of the moving point under the non-stationary wind field is proposed.
- (3)
- The comparison supports the accuracy of the proposed fluctuating wind speed spectra model at the moving point under the non-stationary wind field by demonstrating good agreement between the calculated values of the fluctuating wind speed spectra model at different vehicle moving speeds and the corresponding target numerical solutions.
- (4)
- The temporal modulation function of the fluctuating wind speed spectra at the moving point is found to be identical to that at fixed points under the non-stationary wind field.
Author Contributions
Funding
Institutional Review Board Statement
Informed Consent Statement
Data Availability Statement
Conflicts of Interest
References
- Szuzki, M.; Tanemoto, K.; Maeda, T. Aerodynamic Characteristics of Train/Vehicles under Cross Winds. J. Wind Eng. Ind. Aerodyn. 2003, 91, 209–218. [Google Scholar] [CrossRef]
- Ge, S.C.; Jiang, F.Q. Analyses of the Causes for Wind Disaster in Strong Wind Area Along Lanzhou-Xinjiang Railway and the Effect of Wind-break. J. Railw. Eng. Soc. 2009, 128, 1–4. [Google Scholar]
- Ge, S.C.; Yin, Y.S. Field Test Study on Train Safety Operation Standard in Xinjiang Railway Wind Area. Railw. Qual. Control 2006, 34, 9–11. [Google Scholar]
- Baker, C.J. A framework for the consideration of the effects of crosswinds on trains. J. Wind Eng. Ind. Aerodyn. 2013, 123, 130–142. [Google Scholar] [CrossRef]
- Montenegro, P.; Carvalho, H.; Ortega, M.; Millanes, F.; Goicolea, J.; Zhai, W.; Calçada, R. Impact of the train-track-bridge system characteristics in the runnability of high-speed trains against crosswinds—Part I: Running safety. J. Wind Eng. Ind. Aerodyn. 2022, 224, 104974. [Google Scholar] [CrossRef]
- Yan, N.; Chen, X.; Li, Y. Assessment of overturning risk of high-speed trains in strong crosswinds using spectral analysis approach. J. Wind Eng. Ind. Aerodyn. 2018, 174, 103–118. [Google Scholar] [CrossRef]
- Zhou, Y.; Chen, S. Fully coupled driving safety analysis of moving traffic on long-span bridges subjected to crosswind. J. Wind Eng. Ind. Aerodyn. 2015, 143, 1–18. [Google Scholar] [CrossRef]
- Zheng, Q.P. Jing hu high-speed railway and environment at protection. J. Railw. Eng. Soc. 1998, 1, 12–19. [Google Scholar]
- Xu, X.C.; Liu, J.M.; Ma, J.; Zhang, C.; Zhang, J.Y.; Li, G. Discussion of environment impacts characters of the high speed railway. Railw. Energy Sav. Environ. Prot. Occup. Saf. Health 2012, 2, 117–121. [Google Scholar]
- Cornet, Y.; Dudley, G.; Banister, D. High Speed Rail: Implications for carbon emissions and biodiversity. Case Stud. Transp. Policy 2018, 6, 376–390. [Google Scholar] [CrossRef]
- Su, X.C.; Ma, Y.F.; Wang, L.; Guo, Z.Z.; Zhang, J.R. Fatigue life prediction for prestressed concrete beams under corrosion deterioration process. Structures 2022, 43, 1704–1715. [Google Scholar] [CrossRef]
- Ma, Y.F.; Peng, A.Y.; Wang, L.; Zhang, C.Z.; Li, J.; Zhang, J.R. Fatigue performance of an innovative shallow-buried modular bridge expansion joint. Eng. Struct. 2020, 221, 111107. [Google Scholar] [CrossRef]
- Davenport, A.G.; Agnew, R.; Harris, R.I.; Sachs, P. The application of statistical concepts to the wind loading of structures. Proc. Inst. Civil. Eng. Lond. 1961, 19, 449–472. [Google Scholar] [CrossRef]
- Davenport, A.G. The spectrum of horizontal gustiness near the ground in high winds. Q. J. R. Meteorol. Soc. 1962, 88, 197–198. [Google Scholar] [CrossRef]
- Balzer, L.A. Atmospheric turbulence encountered by high-speed ground transport vehicles. J. Mech. Eng. Sci. 1977, 19, 227–235. [Google Scholar] [CrossRef]
- Cooper, R.K. Atmospheric turbulence with respect to moving ground vehicles. J. Wind Eng. Ind. Aerodyn. 1984, 17, 215–238. [Google Scholar] [CrossRef]
- Wu, M.; Li, Y.; Chen, X.; Hu, P. Wind spectrum and correlation characteristics relative to vehicles moving through cross wind field. J. Wind Eng. Ind. Aerodyn. 2014, 133, 92–100. [Google Scholar] [CrossRef]
- Li, X.-Z.; Xiao, J.; Liu, D.-J.; Wang, M.; Zhang, D.-Y. An analytical model for the fluctuating wind velocity spectra of a moving vehicle. J. Wind Eng. Ind. Aerodyn. 2017, 164, 34–43. [Google Scholar] [CrossRef]
- Hu, P.; Han, Y.; Cai, C.S.; Cheng, W.; Lin, W. New analytical models for power spectral density and coherence function of wind turbulence relative to a moving vehicle under crosswinds. J. Wind Eng. Ind. Aerodyn. 2019, 188, 384–396. [Google Scholar] [CrossRef]
- Chen, L.; Letchford, C.W. A deterministic–stochastic hybrid model of downbursts and its impact on a cantilevered structure. Eng. Struct. 2004, 26, 619–629. [Google Scholar] [CrossRef]
- Holmes, J.D.; Oliver, S.E. An empirical model of a downburst. Eng. Struct. 2000, 22, 1167–1172. [Google Scholar] [CrossRef]
- Wood, G.S.; Kwok, K.C.S.; Motteram, N.A.; Fletcher, D.F. Physical and numerical modelling of thunderstorm downdraft. J. Wind Eng. Ind. Aerodyn. 2001, 89, 535–552. [Google Scholar] [CrossRef]
- Wang, H.; Wu, T.; Tao, T.; Li, A.; Kareem, A. Measurements and analysis of non-stationary wind characteristics at Sutong Bridge in Typhoon Damrey. J. Wind Eng. Ind. Aerodyn. 2016, 151, 100–106. [Google Scholar] [CrossRef]
- Wang, H.; Li, A.Q.; Niu, J.; Zong, Z.; Li, J. Long-term monitoring of wind characteristics at Su Tong Bridge site. J. Wind Eng. Ind. Aerodyn. 2013, 115, 39–47. [Google Scholar] [CrossRef]
- Ding, Y.L.; Zhou, G.D.; Li, W.H.; Wang, X.J.; Yan, X. Nonstationary analysis of wind-induced responses of bridges based on evolutionary spectrum theory. China J. Highw. Transport. 2013, 26, 54–61. [Google Scholar]
- Huang, G.; Zheng, H.; Xu, Y. Spectrum models for nonstationary extreme winds. J. Struct. Eng. 2015, 141, 04015010. [Google Scholar] [CrossRef]
- Priestley, M.B. Evolutionary spectra and non-stationary processes. J. R. Stat. Soc. B 1965, 27, 204–237. [Google Scholar] [CrossRef]
- Li, Y.; Kareem, A. Simulation of multivariate nonstationary random processes by FFT. J. Eng. Mech ASCE 1991, 117, 1037–1058. [Google Scholar] [CrossRef]
- Huang, G. An efficient simulation approach for multivariate random process: Hybrid of wavelet and spectral representation method. Probab. Eng. Mech. 2014, 37, 74–83. [Google Scholar] [CrossRef]
- Zhao, N.; Huang, G. Fast simulation of multivariate nonstationary process and its application to extreme winds. J. Wind Eng. Ind. Aerodyn. 2017, 170, 118–127. [Google Scholar] [CrossRef]
- Huang, G. Application of proper orthogonal decomposition in fast Fourier transform-assisted multivariate nonstationary process simulation. J. Eng. Mech. ASCE 2015, 141, 04015015. [Google Scholar] [CrossRef]
- Huang, G.; Liao, H.; Li, M. New formulation of Cholesky decomposition and applications in stochastic simulation. Probab. Eng. Mech. 2013, 34, 40–47. [Google Scholar] [CrossRef]
- Shiotani, M. Correlations of wind velocities in relation to the gust loadings. In Proceedings of the Third International Conference on Wind Effects on Buildings and Structures; Saikon, Co.: Tokyo, Japan, 1971. [Google Scholar]
- Hu, P.; Lin, W.; Yang, D.; Yan, H.; Cong, Y. Fluctuation wind speed spectrum of a moving vehicle under crosswinds. China J. Highw. Transp. 2018, 31, 101–109. [Google Scholar]
- Bendat, J.S.; Piersol, A.G. Random Data: Analysis and Measurement Procedures; Wiley: New York, NY, USA, 2000. [Google Scholar]
- Originlab Corporation. Origin Reference for Origin 8.5 SR1; Originlab Corporation: Northampton, UK, 2010. [Google Scholar]
- Chen, X. Analysis of alongwind tall building response to transient nonstationary winds. J. Struct. Eng. 2008, 134, 782–791. [Google Scholar] [CrossRef]
- Zhao, N.; Huang, G. Wind velocity field simulation based on enhanced closed-form solution of Cholesky decomposition. J. Eng. Mech. 2020, 146, 04019128. [Google Scholar] [CrossRef]




















Disclaimer/Publisher’s Note: The statements, opinions and data contained in all publications are solely those of the individual author(s) and contributor(s) and not of MDPI and/or the editor(s). MDPI and/or the editor(s) disclaim responsibility for any injury to people or property resulting from any ideas, methods, instructions or products referred to in the content. |
© 2023 by the authors. Licensee MDPI, Basel, Switzerland. This article is an open access article distributed under the terms and conditions of the Creative Commons Attribution (CC BY) license (https://creativecommons.org/licenses/by/4.0/).
Share and Cite
Hu, P.; Zhang, F.; Han, Y.; Yan, N. Characteristics of Fluctuating Wind Speed Spectra of Moving Vehicles under the Non-Stationary Wind Field. Sustainability 2023, 15, 12901. https://doi.org/10.3390/su151712901
Hu P, Zhang F, Han Y, Yan N. Characteristics of Fluctuating Wind Speed Spectra of Moving Vehicles under the Non-Stationary Wind Field. Sustainability. 2023; 15(17):12901. https://doi.org/10.3390/su151712901
Chicago/Turabian StyleHu, Peng, Fei Zhang, Yan Han, and Naijie Yan. 2023. "Characteristics of Fluctuating Wind Speed Spectra of Moving Vehicles under the Non-Stationary Wind Field" Sustainability 15, no. 17: 12901. https://doi.org/10.3390/su151712901
APA StyleHu, P., Zhang, F., Han, Y., & Yan, N. (2023). Characteristics of Fluctuating Wind Speed Spectra of Moving Vehicles under the Non-Stationary Wind Field. Sustainability, 15(17), 12901. https://doi.org/10.3390/su151712901

