Abstract
To address the problem that the hydraulic turbine governing system (HTGS) exhibits poor anti-disturbance ability and instability phenomena under traditional PID control, an improved new integral sliding mode control strategy based on a nonlinear disturbance observer (NISMC-NDO) is designed for the HTGS. This study first establishes a nonlinear mathematical model of HTGS and analyzes its dynamic characteristics. The uncertain disturbances of the system are then accurately estimated using a disturbance observer, and a suitable nonlinear gain function is designed to achieve feedforward compensation of the controller by ensuring that the disturbance observation error converges. To design the controller, a proportional-integral sliding mode surface is selected, and the sliding mode exponential convergence law is improved by using the nonlinear power combination function instead of or . This improves the system’s stability, convergence speed, and tracking accuracy. The simulation results demonstrate that the equilibrium point can be quickly reached and stabilized by the HTGS with chaotic phenomena under the influence of NISMC-NDO. Furthermore, this paper also verifies that the designed controller has good dynamic performance. The findings of this study can serve as a valuable reference for optimizing the operation of hydraulic turbine regulation systems in control applications.
1. Introduction
With the rapid development of today’s society and economy, there has been a significant increase in people’s demand for energy. However, the traditional reliance on fossil energy, primarily coal, not only leads to energy shortages but also exacerbates the global greenhouse effect. This puts immense pressure on the environment and human society. In the context of global carbon neutrality, there is an urgent need to establish a green, low-carbon, clean, and efficient renewable energy system [1,2,3]. Among the various renewable energy sources, hydropower is the most widely utilized, accounting for over 70% of the total renewable energy [4]. In comparison to wind and solar energy, hydropower is more flexible and reliable [5]. Consequently, many countries have prioritized the development of hydropower energy, with China’s energy strategy giving it a crucial role [6,7,8].
The hydraulic turbine governor system (HTGS) is a complex nonlinear dynamical system and a key component of the hydropower energy development process. It plays a central role in realizing hydropower energy production. Under normal operating conditions, the HTGS is in a steady state [9]. However, during transitional operating conditions, the HTGS enters a non-steady state, and the dynamic response process occurs in each state variable. This implies that the system needs to rapidly adapt to different working conditions and load changes in order to ensure smooth operation. The governor is the core component of the control system. Based on the governor control strategy, HTGS can operate under specific requirements [10,11]. However, it should be noted that the regulating capability of the governor control strategy is limited. Currently, the most widely adopted control strategy is the proportional integral differential (PID) control strategy [12,13,14,15]. However, PID mostly provides good regulation quality only for linear systems. The nonlinear coupling characteristics of HTGS and the changing load make it difficult to design gain scheduling for the PID controller. Additionally, the PID controller has relatively poor adaptive ability and cannot handle larger perturbations, leading to deviations from the design operating point. As a result, it cannot adapt to the complex operating conditions of the hydraulic turbine and meet the control index requirements [16]. Therefore, there are still some limitations to PID control in the hydraulic turbine regulation system.
In addition, the HTGS can exhibit chaotic behavior in certain cases. When the values of the PID parameters are not reasonable, the HTGS can become chaotic [17]. Chaotic motion leads to instability and disorder in the HTGS, making it highly dangerous. Therefore, it is crucial to effectively regulate and control chaotic behavior in the HTGS. The PID control strategy alone is not sufficient to achieve this. It is necessary to introduce a suitable nonlinear control strategy [18] in addition to the PID control strategy to effectively address and resolve the issue.
Among the nonlinear strategies, the sliding mode control strategy (SMC) is a commonly used control strategy for controlling chaotic behavior, which can effectively overcome the uncertainty of the system [19,20] and has strong robustness to unknown disturbances. In this paper, the sliding mode control problem of HTGS is studied, and the design of SMC is expected to realize the effective regulation of the chaotic behavior of HTGS. The authors of [21] developed a fourth-order nonlinear mathematical model of HTGS with uncertain perturbations. They investigated the occurrence of chaos phenomena in HTGS under the influence of these perturbations. To address this issue, the authors employed the method of state-feedback linearization to establish the relationship between the governor output and the generator speed in the mathematical model of HTGS. They then designed a sliding-mode controller to achieve speed control of the chaotic HTGS, thereby ensuring its stability. However, it is important to note that while this method effectively controls the generator speed, it may not provide the same level of stability for the other state variables of the HTGS, potentially leading to a phenomenon of ‘false stability’. To address this limitation, several scholars have made improvements. The authors of [22], introduce the concept of guide vane opening in the design of the sliding mode surface. This approach defines a new sliding mode surface and effectively mitigates the issue of ‘false stability’ that is commonly observed in traditional sliding mode control. However, to enhance the robustness of the process from the initial time instant [23], some researchers have replaced the linear sliding mode surfaces with integral sliding mode surfaces. The authors of [24,25] have confirmed that the HTGS exhibits chaotic behavior when the PID parameter value is unreasonable. Building upon this, an integral sliding mode control law is designed for each state variable of the system as part of the design step of the integral sliding mode controller. The simulation results demonstrate that the designed controller effectively achieves quick and smooth control of the HTGS state variables, bringing them to equilibrium. This control approach successfully eliminates chaotic behavior and enhances the quality of regulation. However, a limitation of the above method is that it relies solely on the strong robustness of the SMC to overcome the uncertainty perturbations in the system. This approach is not optimal. To further enhance convergence speed and reduce the jitter caused by disturbances, it becomes necessary to estimate or observe the uncertainty disturbances and incorporate the estimated or observed values into the sliding mode controller.
In current research, various measures have been employed to predict or observe uncertain perturbations. These measures primarily involve two methods. The first method involves predicting the upper bound of uncertain perturbations through the use of adaptive laws in conjunction with adaptive control. The second method involves observing the tracking of uncertain perturbations through the design of perturbation observers [26]. The authors of [27] present a nonlinear mathematical model of HTGS, taking into account the uncertainty of energy loss as an internal disturbance. To enhance the efficiency and power stability of the HTGS, a non-singular fast terminal sliding mode controller (NFTSMC) based on the adaptive backstepping method is proposed. This controller designs the adaptive rate to anticipate the upper bound of the uncertainty disturbance. However, it should be noted that this method assumes linearity and time invariance against external disturbances, which may limit its applicability in the real operating environment of HTGS. In contrast, the authors of [28] focus on investigating the backstepping sliding-mode fault-tolerant tracking control of HTGS in the presence of external disturbances. To mitigate the impact of unknown random disturbances, a nonlinear disturbance observer is designed to identify and estimate the disturbance term. This approach effectively improves the regulatory performance of the HTGS.
However, it should be noted that sliding mode control has some drawbacks. The traditional sliding mode convergence law includes a discontinuous function, which leads to jittering of the controller. This results in lower control accuracy, high heat loss in the circuit, and wear and tear on moving parts [29]. To address this issue, previous authors have made improvements by selecting a suitable convergence law that considers the dynamic quality of the convergence process and reduces system vibration. The authors of [21,30], used a continuous saturation function () instead of the function in the convergence law, effectively reducing the jitter phenomenon of HTGS. Additionally, the authors of [31] introduced a tangent function into the traditional power convergence law to develop a new composite sliding mode convergence law. This method is applied to the magnetic levitation system of synchronous motors and significantly eliminates the dynamic process of the system while attenuating the jitter vibration.
In summary, in order to stabilize the HTGS where chaotic behavior occurs, a novel integral sliding mode control method based on nonlinear disturbance observer compensation is investigated in this paper. The main contributions are as follows: (1) Modeling HTGS and conducting an in-depth analysis of its dynamic behavior under PID control revealed that the traditional PID controller has poor anti-interference ability. The Lyapunov exponential spectrum plot clearly indicates the occurrence of chaotic phenomena in HTGS when there are changes in PID parameters; (2) An ISMC is proposed for the HTGS where chaotic instability occurs. Compared to traditional SMC, the ISMC approach enhances robustness from the very beginning of the process. It achieves invariance from the initial time instant, which is not guaranteed in traditional SMC; (3) in addition, the uncertainty perturbations present in the HTGS are accurately observed using a nonlinear disturbance observer, and the observed values are compensated into an integral sliding mode controller to achieve the purpose of shortening the convergence speed of the system and improving the transient response performance; and (4) To address the limitations of the previously described SMC, we propose an improvement to the sliding-mode exponential convergence law. This improvement involves the introduction of a nonlinear power combination function, referred to as ‘’, instead of the conventional or ‘’ functions. By using this new function, we are able to further reduce system jitter while achieving fast and high-precision convergence of the system.
The organization structure for the rest of this article is as follows. The paper provides a detailed description of the HTGS model in Section 2, followed by an analysis of its dynamic characteristics in Section 3. Section 4 proposes a controller design method for the HTGS, while Section 5 presents a simulation analysis to verify the proposed control strategy. The paper concludes with a summary of the full text in Section 6.
2. Nonlinear Mathematical Model of HTGS
In this section, we develop a nonlinear mathematical model of HTGS with perturbations and verify the poor immunity to perturbations as well as the occurrence of chaotic instability phenomena in HTGS under PID control. Chaotic motion, characterized by unpredictability and uncertainty, is detrimental to the operation of HTGS.
The schematic diagram of a hydroelectric power plant is shown in Figure 1. In a hydroelectric power plant, water from the upstream reservoir is first introduced into the penstock through gates and then reaches the turbine inlet gates. The water then flows into the worm gear, which drives the turbine blades to rotate. When the torque generated by the turbine deviates from the power demand of the synchronous generator, the HTGS controls the water flow into the turbine by changing the guide vane opening through the governor action, thus maintaining the stability and balance of the system. The HTGS consists of five parts: the penstock, hydraulic turbine, servo system, governor, and generator [32]. The block diagram of its system is shown in Figure 2.
Figure 1.
General layout of the hydropower station.
Figure 2.
Block diagram of the hydraulic turbine governing system.
2.1. Model of Penstock
In this paper, we examine the pipeline as incompressible and analyze its diversion system as a rigid water strike model. The relationship between the head () and flow rate () can be expressed as follows:
where denotes the time constant of water flow inertia.
2.2. Model of Hydraulic Turbine
For small disturbances near the rated operating point, the equation for the hydraulic turbine is usually described as follows:
where , , , , and denote the hydraulic turbine mechanical torque relative deviation, flow relative deviation, generator speed relative deviation, guide vane opening relative deviation, and head relative deviation, respectively; , , and are the transfer coefficients of torque to speed relative deviation, guide vane opening relative deviation, and head relative deviation, respectively; , , and are the transfer coefficients of flow to speed relative deviation, guide vane opening relative deviation, and head relative deviation, respectively [4].
2.3. Model of Servo System
A servo system amplifies the control signal and provides the power to operate the guide vanes. The model can be reduced to a first-order system and described as follows:
where is the servo motor reaction time constant and is the output of the governor.
The impact of hydraulic turbine speed on and is negligible in the context of the generator’s role in the distribution system; both and are approximated to zero.
The equation for the relative deviation of the hydraulic turbine mechanical torque can be derived using Equations (1)–(3) as follows:
where is the self-adjustment factor of the hydro generator. .
2.4. Model of Generator
In this paper, the second-order generator model is chosen, and the mathematical expression of the generator is as follows:
where is the relative deviation of generator rotor angle; is the relative deviation of generator speed; is the base value of angular frequency; is the generator inertia time constant; is the generator resistance coefficient; is the electromagnetic torque, which is equal to the electromagnetic power at smooth operation of HTGS, i.e., = .
The equation for the convex-pole permanent magnet synchronous generator is as follows:
where is the -axis transient potential; is the bus voltage; is the sum of -axis transient reactance; and is the sum of q-axis synchronous reactance. and are defined as follows:
where , , , and are the straight-axis transient reactance, quarter-axis reactance, transformer short-circuit reactance, and transmission line reactance, respectively [33].
2.5. Model of HTGS
In summary, the HTGS integrated model is created by combining mathematical models of the pressure pipeline, electro-hydraulic servo system, hydraulic turbine, and generator. To simplify the expression, we can represent the variables as , and the HTGS model can be obtained using this formula:
3. HTGS Dynamic Characteristics Analysis
Currently, the parallel PID control structure is commonly used as the main regulation strategy for HTGS control. Based on the literature [18,24] mentioned, the parallel PID control has the following form:
where , , and are all dimensionless parameters in the PID control law.
It is now assumed that the HTGS is subject to uncertain nonlinear perturbations from itself and the outside world, and the effect of the nonlinear perturbations on its convergence state is observed. Introducing the uncertain perturbations , , . Combining Equation (9), the model becomes as follows:
The dynamic characterization of HTGS under its PID control is conducted using MATLAB. The simulation time is set to 15 s, and the parameter list of the hydraulic turbine regulation system is provided in Table 1. The initial states of the system are all set to 0.01. The governors , , and are assigned values of 10, 0.5, and 1, respectively. The equilibrium point of the system is (0, 0, 0, 0). Initially, we observe the effect of PID in controlling the system without any perturbation (i.e., , , and are all set to 0). The simulation timing diagram is depicted in Figure 3. Immediately after this, we apply an uncertain perturbation to the system, which is defined as a delta function that varies with time t. The system is then subjected to an uncertain perturbation: , , and . At this time, the PID control effect on the turbine regulation system timing and phase diagrams are shown in Figure 4 and Figure 5. Comprehensive Figure 3, Figure 4 and Figure 5 demonstrate that the PID control can effectively stabilize the system’s state variables and bring them to equilibrium point 0 within a limited time. This control mechanism plays a significant role in controlling the system. However, when subjected to nonlinear disturbances, such as the relative deviation of the rotor angle , the relative deviation of the generator rotational speed , the relative deviation of the hydraulic turbine mechanical torque , and the relative deviation of the guide vane opening , there are noticeable nonlinear irregular oscillations near equilibrium point 0. This study demonstrates that while PID control can partially contribute to the control of highly nonlinear systems like HTGS, it exhibits limited anti-jamming capability and weak robustness when facing significant uncertain nonlinear perturbations. These limitations have a detrimental effect on the safe and stable operation of hydropower stations.
Table 1.
Turbine regulation system parameters table.
Figure 3.
Timing diagram of HTGS under PID control without perturbation.
Figure 4.
Timing diagram of HTGS under PID control with disturbance.
Figure 5.
Phase diagram of HTGS under PID control with disturbance.
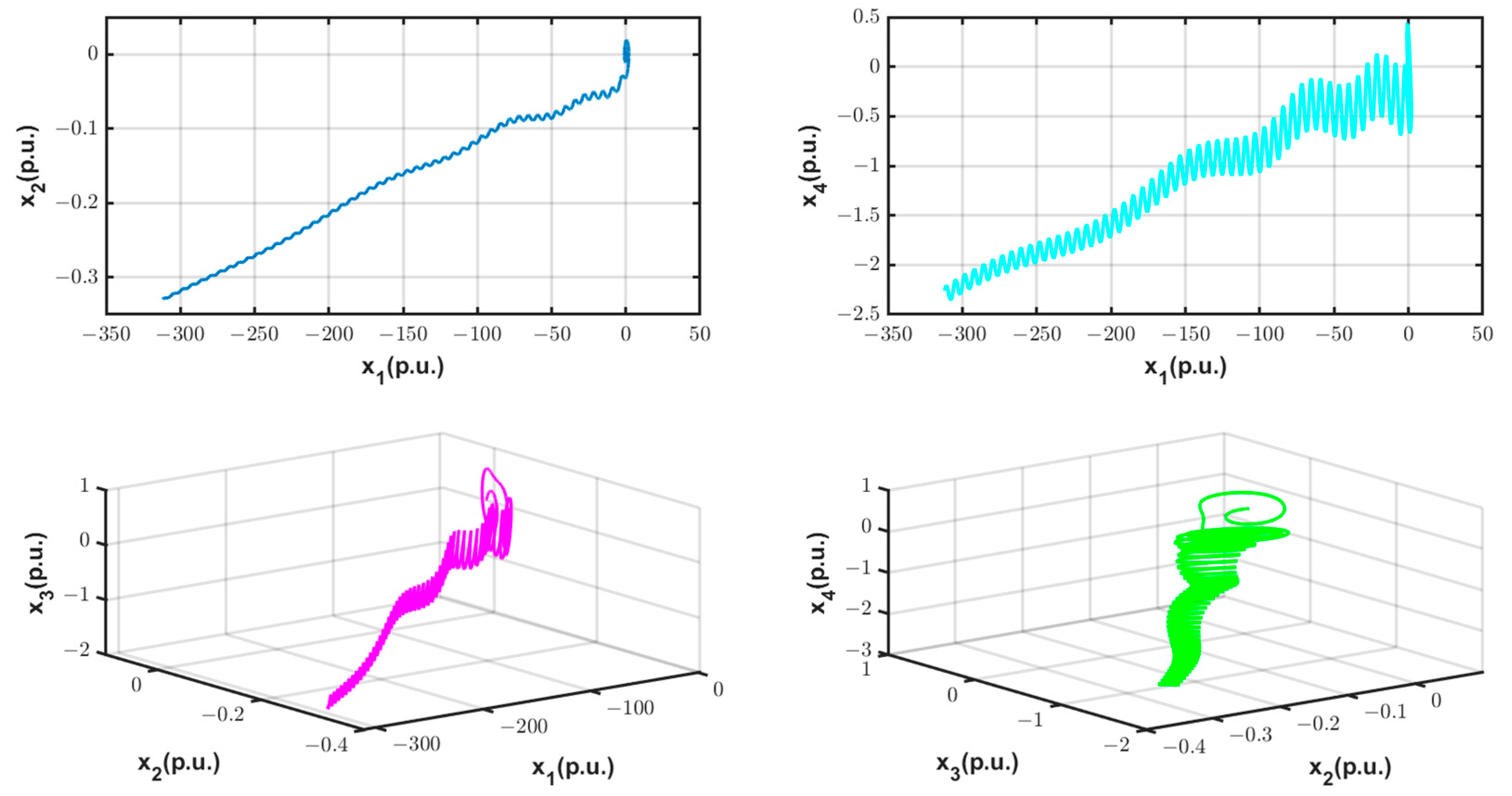
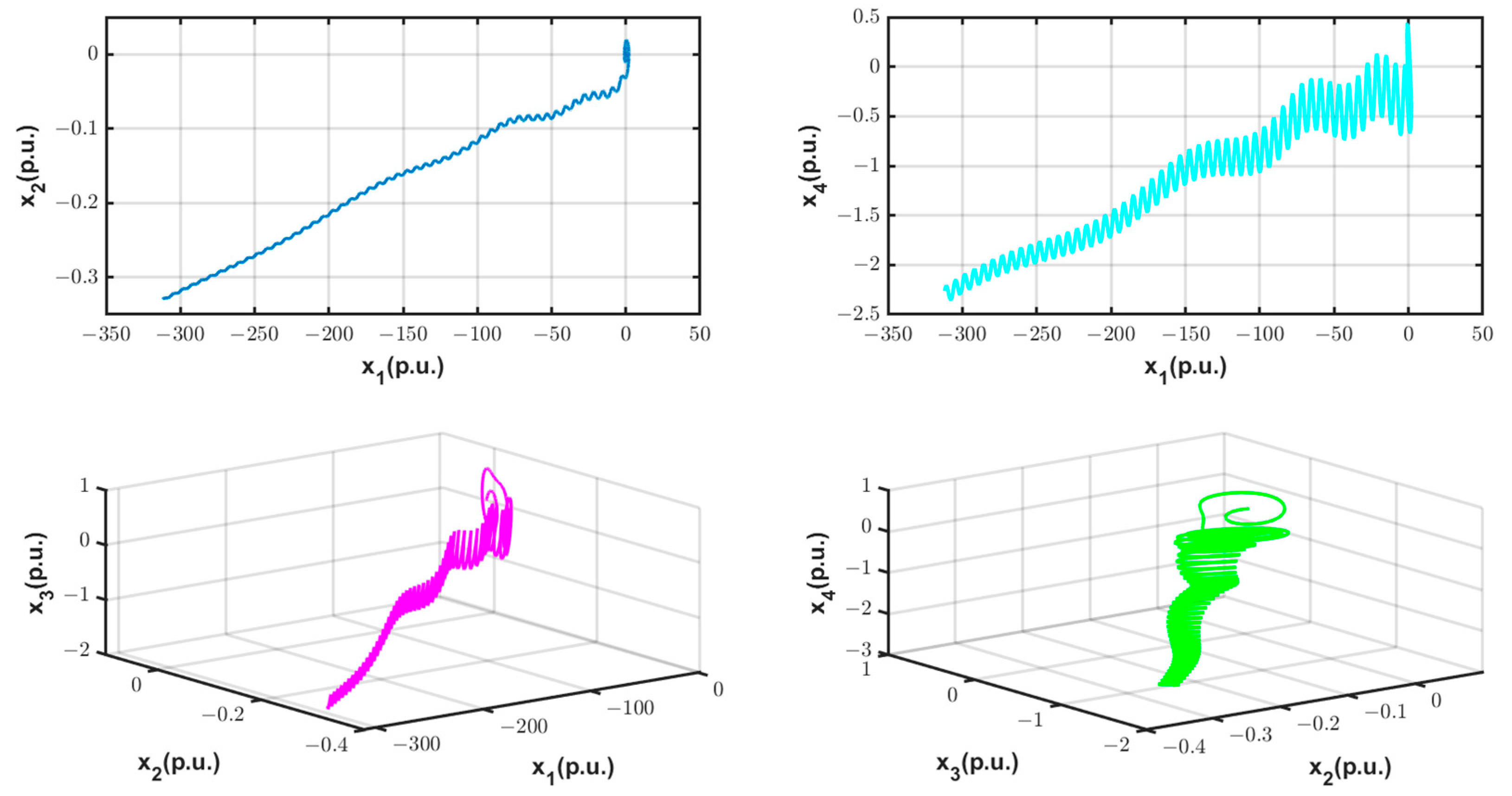
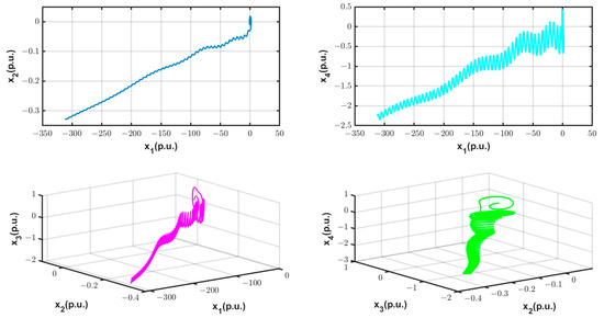
In addition, HTGS is affected by the PID parameters, and significant changes to them may cause the system to diverge and generate nonlinear oscillations. In this simulation, the governor parameters , , and are set to 2, 1, and 7, respectively, while the uncertainty perturbation remains unchanged. The simulation time is set to 10 s. The system timing diagram and phase diagram are illustrated in Figure 6 and Figure 7, respectively. Figure 6 indicates that the system tends to diverge instead of converging after the PID parameters are altered. Moreover, the two-dimensional and three-dimensional phase diagrams in Figure 7 reveal the existence of strange attractors, which leads to the initial judgment that the system exhibits chaotic behavior. To verify the theory, a calculation of the Lyapunov index is necessary. This index is crucial in measuring the system’s dynamics and determining its chaotic characteristics. By observing the maximum Lyapunov index, we can determine if the system has chaotic motion. The value of is changed within the range of [4, 7.5] and plotted in the Lyapunov exponent spectrum of the system, as depicted in Figure 8. By observing Figure 8, we can determine the presence of chaotic motion in the system based on its maximum Lyapunov exponent being positive. Furthermore, there are three positive Lyapunov exponents in the system, indicating the occurrence of hyperchaotic motion.
Figure 6.
HTGS timing diagram when PID parameters are changed.
Figure 7.
HTGS phase diagram when PID parameters are changed.
Figure 8.
Lyapunov exponent spectrum when varies.
This section establishes an accurate mathematical model and a reasonable analysis method to accurately and comprehensively reflect the dynamic behavior of the HTGS. The purpose of this paper’s research is to solve the chaotic phenomenon occurring in the HTGS. In the following section, a stabilization approach is proposed by designing an integral sliding mode controller based on a disturbance observer and an improved convergence law. This approach aims to stabilize the system at the equilibrium point and achieve better dynamic performance compared to the HTGS controlled by the traditional PID.
4. Control Method Design
This section presents the design of a new nonlinear controller aimed at addressing the limitations of PID control. The proposed HTGS improved integral sliding mode control system, which incorporates a nonlinear disturbance observer, is illustrated in Figure 9. The various functional components of the system work in unison to achieve closed-loop control.
Figure 9.
HTGS integral sliding mode control block diagram.
4.1. Perturbation Observer and Integral Sliding Mode Control Method Design
Based on the fundamental concept of sliding mode control, an Integral Sliding Mode Controller (ISMC) can be formulated for the HTGS model. The HTGS model, which is to be designed, can be represented as follows:
The purpose of ISMC is to find the appropriate expression for the controller output based on the HTGS model, with the objective of causing each state variable of the system to converge to a desired value of 0. Equation (11) can be expressed as follows:
where , , , and . is shown below:
let the equilibrium point , and let the error . Then we have the following equation:
The integral sliding surface used in the literature [24,25] is chosen as follows:
where and are slip surface coefficients, and , determine the quality of the final slip state. , Equation (14) can be written as follows:
The traditional exponential convergence law is as follows:
where . The role of is to improve the dynamic quality of the system; adjusting the parameter can change the convergence speed of the system to the sliding mode surface; the gain parameter of the sign function is the main parameter of the system to overcome uptake and external disturbances.
Take the first Lyapunov function as follows:
it is known that . Deriving it gives:
based on the Lyapunov stability condition, the system approaches the sliding mode plane throughout the state space when the condition is satisfied by nd arrives at the steady state asymptotically with the selected convergence law after entering the sliding mode. This condition is the basis for deriving the control law.
The preliminary design of the control law combined with the traditional exponential convergence law is as follows:
bringing into yields:
taking greater than the upper bound of , then , , and , are less than 0. That is, . The control law is reasonably designed.
When the value of ε exceeds the upper bound of , , thereby satisfying the Lyapunov finite-time stability condition. However, the existing literature [24,25] primarily relies on the robustness of ISMC itself to overcome uncertainty perturbations in the system, but this approach has certain limitations. When the value of is relatively large, it results in a larger selection of , which ultimately leads to significant sliding mode control jitter. The presence of large jitters not only decrease control accuracy but also causes frequent actuator startup and potential damage to the actuator. To address these shortcomings and further reduce sliding mode jitter, improve control accuracy, and enhance convergence speed, this paper proposes the use of a nonlinear disturbance observer to observe the integrated nonlinear disturbance . The observed value is then used to compensate for the nonlinear disturbance , and this compensated value is integrated into the ISMC.
Combining the disturbance observer and the integral sliding mode control, the control law can be designed as follows:
Additionally, to ensure tightness, the perturbation needs to satisfy the following conditions [34]:
Assumption 1.
The perturbed signal is bounded, and there exists , satisfying , .
Assumption 2.
The perturbed signal is slowly varying, so consider , .
Now design the nonlinear perturbation observer to estimate the uncertain perturbation in the system. Let , for the nonlinear system shown in Equation (12), design the nonlinear perturbation observer as follows:
where is the internal state of the nonlinear perturbation observer to be designed, and the design . is the nonlinear perturbation observer gain. is the internal state variable of the observer. is defined as:
Define the observation error as follows:
where .
According to Assumptions 1 and 2, the dynamic characteristics of its nonlinear perturbation observer can be described as follows:
take the second Lyapunov function as follows:
this gives . Deriving this gives:
From the above equation, if is a positive definite matrix, i.e., are greater than 0, then . It means that the nonlinear perturbed observer deviation will converge to 0 in finite time. This proves that the perturbed observer design is reasonable.
Based on the given Equation (28), if is a positive definite matrix with and greater than 0, then . This implies that the nonlinear perturbed observer deviation will converge to 0 within a finite time frame. Therefore, it can be concluded that the perturbed observer design is reasonable.
4.2. Improvement of the Convergence Law
The use of the sign function in conventional sliding mode control can result in control discontinuity due to its switching action, leading to severe jitter in the system. To address this issue, the authors of [5,21,30] proposed the use of a continuous saturation function as an alternative to the function. The saturation function is defined as follows:
where is called the boundary layer. is 0.1.
Using the conventional saturation function , the control law of the integral sliding mode controller (ISMC-NDO) based on nonlinear disturbance observer compensation is obtained as follows:
However, the approach used by the authors of [5,21,30] is not optimal. In order to improve the convergence speed of the sliding mode surface and further reduce the jitter of the motion trajectory before the state variables converge to the origin, this paper proposes an improvement to the traditional exponential convergence law. The controller uses a nonlinear power combination function, , to replace the or function, resulting in a smoother system. The expression for the function is as follows:
where are parameters to be designed, where is the constant affecting the tracking speed, and is the constant affecting the filtering effect [35].
In summary, the NISMC-NDO control rate can be obtained as follows:
substituting Equation (32) into (18) yields:
when, then,
since and , , i.e., .
Similarly, when,
since , , and , |, i.e., .
In conclusion, the system error will converge to 0 in finite time as . The nonlinear power-combined convergence law can guide the system to the sliding mode surface, and the amplitude of will gradually decay during the convergence of the system state trajectory to the sliding mode surface. The size of the system error will adaptively adjust the switching gain and quickly converge to stabilize the system at the equilibrium point. Therefore, the designed integral sliding mode controller with perturbation observer and improved convergence law is reasonably designed.
Equation (32) NISMC-NDO control law is as follows:
This is the final control law for controlling the overall system. Now, its simulation results will be discussed.
5. Simulation and Results
The NISMC-NDO is designed to control the chaotic system shown in Figure 6. The main parameters of HTGS are shown in Table 1, and the governors , , and are taken as 2, 1, and 7, respectively. , , , , and are 2, 0.2, 1, 0.5, 0.5, and 0.001, . The simulation time is set to 10 s.
5.1. Perturbation Observer Performance Verification
It is first necessary to verify the performance of the designed perturbation observer to track the perturbation. As mentioned before, the perturbation settings are as follows: , , and .
The simulation results presented in Figure 10 indicate that the nonlinear disturbance observer can effectively track the nonlinear disturbance in the chaotic system with a small tracking error. This suggests that the designed nonlinear disturbance observed is reasonable and that the observed perturbations can be compensated with the controller.
Figure 10.
Perturbation observation tracking curve.
5.2. NISMC-NDO Performance Analysis
To assess the effectiveness of NISMC-NDO, we compared its control performance with that of ISMC-NDO. The system’s initial state was set to 0.01, and the dynamic response curve for each state variable is depicted in Figure 11. Additionally, Figure 12 illustrates the output response curve for each controller. The nonlinear disturbance observer can accurately observe the uncertain disturbance and provide feedforward compensation to the controller. The various dynamic performance indicators listed for Figure 11 are shown in Table 2. Figure 11 and Table 2 show that both NISMC-NDO and ISMC-NDO can effectively control the chaotic HTGS to a steady state in a short time while suppressing nonlinear and chaotic vibrations. However, NISMC-NDO outperforms ISMC-NDO with a smaller overshoot and shorter regulation time in returning to equilibrium. It also exhibits stronger robustness in suppressing dynamic displacement fluctuations caused by uncertain perturbations, thereby demonstrating the improved power combination convergence law’s better performance over the traditional exponential convergence law. This improvement further enhances the system’s convergence speed and tracking accuracy, making it more stable.
Figure 11.
Dynamic response curve of each state variable.
Figure 12.
Controller output response curve.
Table 2.
Comparison of each dynamic performance indicator.
5.3. Synchronous Generator Three-Phase Short-Circuit Fault
This paper discusses the impact of a serious three-phase short-circuit fault that may occur at the generator end during the operation of a hydro generator set. This fault is considered to be one of the most severe faults in the power system, as it affects the balance between the turbine and the electromagnetic torque, leading to the whole unit going out of control. The fault results in a drop to zero in both the power and output voltage of the generator, causing significant changes in each state variable of the HTGS. To verify the situation, we simulated a three-phase short-circuit fault at the end of the generator at the 3rd second of operation, which was recovered in a short time. The simulation time is set to 8 s, and the results are presented in Figure 13. The study analyzed the effectiveness of NISMC-NDO and ISMC-NDO in suppressing nonlinear oscillations caused by three-phase short-circuit faults occurring at the generator end. Both methods were found to be effective, but NISMC-NDO demonstrated superior control performance with a smaller overshoot and shorter regulation time. These findings confirm that NISMC-NDO is more robust. The stability of the turbine regulation system is crucial for safe unit operation. By introducing a nonlinear disturbance observer and employing a suitable nonlinear gain function, NISMC-NDO is able to accurately estimate and compensate for the uncertainty caused by a three-phase short-circuit fault at the generator end. Meanwhile, the use of nonlinear power-combination functions instead of the traditional sliding-mode exponential convergence law improves the response speed and stability of the system. Therefore, the results of this paper further validate the effectiveness and superiority of NISMC-NDO in suppressing three-phase short-circuit faults at the generator end of the hydraulic turbine governing system.
Figure 13.
State response of HTGS during a three-phase short-circuit fault at the end of the synchronous generator.
5.4. Load Disturbance Working Condition
During the operation of a hydraulic turbine generator set, external load disturbances affect the system, leading to unbalanced turbines and electromagnetic torque. To better observe this effect, this paper considers the uncertain disturbances present in the system and pays special attention to the effect of external load disturbances on the HTGS. In order to simulate the multi-stage step disturbance, the simulation time is set to 15 s. We applied step changes at the 2nd, 6th, and 10th steps and performed the simulation analysis. Figure 14 shows the simulation results. By observing Figure 14, it can be found that both NISMC-NDO and ISMC-NDO can effectively suppress the load perturbation of HTGS and bring the system to a steady state. However, the HTGS under the control of NISMC-NDO is able to return to equilibrium with a smaller overshoot in a shorter period of time compared to ISMC-NDO. This result verifies that NISMC-NDO has stronger robustness and superior control performance. The simulation results in this paper further validate the superiority of NISMC-NDO in the turbine regulation system. By introducing a nonlinear disturbance observer and adopting a suitable nonlinear gain function, NISMC-NDO can accurately estimate the uncertain disturbances existing in the system and perform feedforward compensation. At the same time, a nonlinear power combination function is used to replace the sliding mode exponential convergence law, which improves the stability and response speed of the system. Therefore, the results of this paper further verify the effectiveness and superiority of NISMC-NDO in suppressing external load disturbances in the hydraulic turbine governing system.
Figure 14.
HTGS state response under load perturbation.
5.5. Wind Power Disturbance
This section analyzes the impact of continuous wind fluctuation on the system frequency, introducing the continuous wind power fluctuation depicted in Figure 15 and setting the simulation duration to 100 s. The simulation results in Figure 16 demonstrate that both NISMC-NDO and ISMC-NDO can effectively mitigate system frequency deviations caused by wind power. However, NISMC-NDO exhibits smaller dynamic fluctuations and superior control performance compared to ISMC-NDO. These findings provide compelling evidence of NISMC-NDO’s superiority in managing the effects of continuous wind fluctuations on the system frequency. The introduction of NISMC-NDO enables the system to suppress frequency deviations more effectively and exhibit better performance in the control of the system’s dynamic shifts. These results further support the effectiveness and superiority of the improved integral sliding mode control (NISMC-NDO) strategy based on nonlinear perturbation observer compensation proposed in this paper. By introducing a nonlinear disturbance observer in the system and combining it with a suitable nonlinear gain function, NISMC-NDO is able to accurately observe the uncertain disturbances present in the system and achieve feedforward compensation for the controller. Meanwhile, the nonlinear power-order combination function is used to replace the sliding mode exponential convergence law, which further improves the stability, convergence speed, and tracking accuracy of the system. Therefore, the simulation results in this paper further verify the effectiveness and superiority of NISMC-NDO in the turbine regulation system and provide an important theoretical and practical basis for improving the control performance of the hydraulic turbine governing system.
Figure 15.
Continuous wind power fluctuation.
Figure 16.
System frequency response.
6. Conclusions
HTGS is the core control unit of the hydropower unit, which undertakes the control task of accomplishing efficient, safe, and stable conversion of water energy. This paper proposes a method for designing an integral sliding mode controller using a nonlinear disturbance observer to address issues of poor anti-disturbance ability and possible chaos in HTGS under PID control. The stability of the controller and disturbance observer is proven using Lyapunov stability theory. This method allows for quick and accurate estimation of total uncertainty disturbance and provides feedforward compensation to eliminate modeling error and uncertainty perturbation. To ensure the robustness of the system, this paper selects the proportional-integral sliding mode surface and adopts the nonlinear power combination function function instead of the or function to improve the traditional exponential convergence law, which can make the system tracking error converge to the equilibrium point more rapidly in effective time while further weakening the system jitter problem. Even if harmful chaos occurs in HTGS, the designed controller can quickly eliminate the undesired chaos and make the system operate stably. The method is highly reliable, effective, and robust and has important theoretical and practical significance, providing a strong guarantee for the stable reliability of hydropower energy development and operation. However, it should be noted that this method requires a nonlinear perturbation observer to calculate the perturbation compensation amount in real time, but if the system’s computational ability is limited or there is a large delay, it will result in observation error, which affects the performance of the controller and the control effect, and in the future, in-depth research will be carried out in the aspect of reducing the observation error of the observer.
Author Contributions
Conceptualization, Q.Y.; methodology, Q.Y. and J.Q.; software, Q.Y. and Y.Z. (Yidong Zou); validation, J.Q. and Y.L.; formal analysis, J.L. and D.T.; investigation, Q.Y. and Y.Z. (Yidong Zou); resources, J.Q.; data curation, Q.Y. and Y.Z. (Yun Zeng); writing—original draft preparation, Q.Y. and Y.Z. (Yidong Zou); writing—review and editing, Q.Y. and J.Q.; visualization, J.L. and G.Z.; supervision, Q.Y.; project administration, Q.Y.; funding acquisition, J.Q. All authors have read and agreed to the published version of the manuscript.
Funding
This research was funded by the National Natural Science Foundation of China, grant number 52269020. This research was funded by the National Natural Science Foundation of China, grant number 52079059.
Institutional Review Board Statement
Not applicable.
Informed Consent Statement
Not applicable.
Data Availability Statement
Not applicable.
Conflicts of Interest
The authors declare no conflict of interest.
References
- Leng, Y.J.; Zhang, H. Comprehensive Evaluation of Renewable Energy Development Level Based on Game Theory and TOPSIS. Comput. Ind. Eng. 2023, 175, 108873. [Google Scholar] [CrossRef]
- Yu, B.; Fang, D.; Xiao, K.; Pan, Y. Drivers of Renewable Energy Penetration and Its Role in Power Sector’s Deep Decarbonization towards Carbon Peak. Renew. Sustain. Energy Rev. 2023, 178, 113247. [Google Scholar] [CrossRef]
- Wang, W.; Melnyk, L.; Kubatko, O.; Kovalov, B. Economic and Technological Efficiency of Renewable Energy Technologies Implementation. Sustainability 2023, 15, 8802. [Google Scholar] [CrossRef]
- Wu, F.; Ding, J.; Wang, Z. Robust Finite-Time Terminal Sliding Mode Control for a Francis Hydroturbine Governing System. J. Control Sci. Eng. 2016, 2016, 2518734. [Google Scholar] [CrossRef]
- Huang, S.; Wang, J. Robust Fixed-Time Integral Sliding Mode Control of a Nonlinear Hydraulic Turbine Regulating System. J. Comput. Nonlinear Dyn. 2020, 15, 031002. [Google Scholar] [CrossRef]
- Penghao, C.; Pingkuo, L.; Hua, P. Prospects of Hydropower Industry in the Yangtze River Basin: China’s Green Energy Choice. Renew. Energy 2019, 131, 1168–1185. [Google Scholar] [CrossRef]
- Görtz, J.; Aouad, M.; Wieprecht, S.; Terheiden, K. Assessment of Pumped Hydropower Energy Storage Potential along Rivers and Shorelines. Renew. Sustain. Energy Rev. 2022, 165, 112027. [Google Scholar] [CrossRef]
- Wu, L.; Qian, C.; Shen, Y. Assessment and Factor Diagnosis of Water Resource Vulnerability in Arid Inland River Basin: A Case Study of Shule River Basin, China. Sustainability 2023, 15, 9052. [Google Scholar] [CrossRef]
- Kishor, N.; Saini, R.P.; Singh, S.P. A Review on Hydropower Plant Models and Control. Renew. Sustain. Energy Rev. 2007, 11, 776–796. [Google Scholar] [CrossRef]
- Guo, W.; Yang, J. Hopf Bifurcation Control of Hydro-Turbine Governing System with Sloping Ceiling Tailrace Tunnel Using Nonlinear State Feedback. Chaos Solitons Fractals 2017, 104, 426–434. [Google Scholar] [CrossRef]
- Qu, F.; Guo, W. Robust H∞ Control for Hydro-Turbine Governing System of Hydropower Plant with Super Long Headrace Tunnel. Int. J. Electr. Power Energy Syst. 2021, 124, 106336. [Google Scholar] [CrossRef]
- Chen, Z.; Yuan, Y.; Yuan, X.; Huang, Y.; Li, X.; Li, W. Application of Multi-Objective Controller to Optimal Tuning of PID Gains for a Hydraulic Turbine Regulating System Using Adaptive Grid Particle Swam Optimization. ISA Trans. 2015, 56, 173–187. [Google Scholar] [CrossRef]
- Yu, X.; Yang, X.; Yu, C.; Zhang, J.; Tian, Y. Direct Approach to Optimize PID Controller Parameters of Hydropower Plants. Renew. Energy 2021, 173, 342–350. [Google Scholar] [CrossRef]
- Jiang, C.; Ma, Y.; Wang, C. PID Controller Parameters Optimization of Hydro-Turbine Governing Systems Using Deterministic-Chaotic-Mutation Evolutionary Programming (DCMEP). Energy Convers. Manag. 2006, 47, 1222–1230. [Google Scholar] [CrossRef]
- Chen, Z.; Yuan, X.; Ji, B.; Wang, P.; Tian, H. Design of a Fractional Order PID Controller for Hydraulic Turbine Regulating System Using Chaotic Non-Dominated Sorting Genetic Algorithm II. Energy Convers. Manag. 2014, 84, 390–404. [Google Scholar] [CrossRef]
- Yuan, X.; Chen, Z.; Yuan, Y.; Huang, Y. Design of Fuzzy Sliding Mode Controller for Hydraulic Turbine Regulating System via Input State Feedback Linearization Method. Energy 2015, 93, 173–187. [Google Scholar] [CrossRef]
- Wang, B.; Li, Z.; Li, F.; Zhu, D. Terminal Sliding Mode Control of Hydro-Turbine Governing System. J. Hydroelectr. Eng. 2015, 34, 103–111. [Google Scholar] [CrossRef]
- Bahloul, W.; Zdiri, M.A.; Marouani, I.; Alqunun, K.; Alshammari, B.M. A Backstepping Control Strategy for Power System Stability Enhancement. Sustainability 2023, 15, 9022. [Google Scholar] [CrossRef]
- Chen, Z.; Yuan, X.; Yuan, Y.; Lei, X.; Zhang, B. Parameter Estimation of Fuzzy Sliding Mode Controller for Hydraulic Turbine Regulating System Based on HICA Algorithm. Renew. Energy 2019, 133, 551–565. [Google Scholar] [CrossRef]
- Ullah, S.; Khan, Q.; Mehmood, A.; Bhatti, A.I. Robust Backstepping Sliding Mode Control Design for a Class of Underactuated Electro–Mechanical Nonlinear Systems. J. Electr. Eng. Technol. 2020, 15, 1821–1828. [Google Scholar] [CrossRef]
- Yuan, X.; Chen, Z.; Yuan, Y.; Huang, Y.; Li, X.; Li, W. Sliding Mode Controller of Hydraulic Generator Regulating System Based on the Input/Output Feedback Linearization Method. Math. Comput. Simul. 2016, 119, 18–34. [Google Scholar] [CrossRef]
- Wu, D.; Yan, B.; Liu, D.; Xiao, Z. Study on Improved Sliding Mode Control Strategy Suitable for Hydropower Units. J. Hydroelectr. Eng. 2020, 39, 82–91. [Google Scholar] [CrossRef]
- Ullah, S.; Mehmood, A.; Khan, Q.; Rehman, S.; Iqbal, J. Robust Integral Sliding Mode Control Design for Stability Enhancement of Under-Actuated Quadcopter. Int. J. Control Autom. Syst. 2020, 18, 1671–1678. [Google Scholar] [CrossRef]
- Chen, D.; Yang, P.; Ma, X.; Sun, Z. Chaos of Hydro-Turbine Governing System and Its Control. Proc. CSEE 2011, 31, 113–120. [Google Scholar] [CrossRef]
- Guo, W.; Xu, X. Sliding Mode Control of Regulating System of Pumped Storage Power Station Considering Nonlinear Pump-Turbine Characteristics. J. Energy Storage 2022, 52, 105071. [Google Scholar] [CrossRef]
- Chen, W.H. Disturbance Observer Based Control for Nonlinear Systems. IEEE/ASME Trans. Mechatron. 2004, 9, 706–710. [Google Scholar] [CrossRef]
- Lin, Y.C.; Chen, W.H.; Peng, J.Z. Adaptive Backstepping-Based Terminal Sliding Mode Control for Hydro-Turbine Governor Control Design Considering Energy Losses Minimization. In Proceedings of the 2019 IEEE 4th International Conference on Advanced Robotics and Mechatronics (ICARM), Toyonaka, Japan, 3–5 July 2019; pp. 196–201. [Google Scholar] [CrossRef]
- Yi, Y.; Chen, D. Disturbance Observer-Based Backstepping Sliding Mode Fault-Tolerant Control for the Hydro-Turbine Governing System with Dead-Zone Input. ISA Trans. 2019, 88, 127–141. [Google Scholar] [CrossRef]
- Mondal, S.; Mahanta, C. Nonlinear Sliding Surface Based Second Order Sliding Mode Controller for Uncertain Linear Systems. Commun. Nonlinear Sci. Numer. Simul. 2011, 16, 3760–3769. [Google Scholar] [CrossRef]
- Chen, Z.; Yuan, X.; Wu, X.; Yuan, Y.; Lei, X. Global Fast Terminal Sliding Mode Controller for Hydraulic Turbine Regulating System with Actuator Dead Zone. J. Frankl. Inst. 2019, 356, 8366–8387. [Google Scholar] [CrossRef]
- Lei, C.; Lan, Y.P.; Xu, Z.L.; Sun, Y.P.; Shi, X.L. Design and Analysis of a New Compound Sliding Mode Reaching Law. Kongzhi Yu Juece/Control Decis. 2023, 38, 435–440. [Google Scholar] [CrossRef]
- Li, J.; Chen, Q. Nonlinear Dynamical Analysis of Hydraulic Turbine Governing Systems with Nonelastic Water Hammer Effect. J. Appl. Math. 2014, 2014, 412578. [Google Scholar] [CrossRef]
- Zou, Y.; Hu, W.; Xiao, Z.; Wang, Y.; Chen, J.; Zheng, Y.; Qian, J.; Zeng, Y. Design of Intelligent Nonlinear Robust Controller for Hydro-Turbine Governing System Based on State-Dynamic-Measurement Hybrid Feedback Linearization Method. Renew. Energy 2023, 204, 635–651. [Google Scholar] [CrossRef]
- Xin, F.; Limei, W.; Kang, Z. High Order Nonsingular Fast Terminal Sliding Mode Control of Permanent Magnet Linear Motor Based on Disturbance Observer. Trans. China Electrotech. Soc. 2023, 38, 409–421. [Google Scholar] [CrossRef]
- Sun, G.F.; Zhao, E.Q.; Zhang, G.J.; Huang, M.Y. Non-Singular Fast Terminal Sliding Mode Control of Manipulator Based on Disturbance Observe Compensation. Control Theory Appl. Vol. 2022, 39, 1506–1515. [Google Scholar] [CrossRef]
Disclaimer/Publisher’s Note: The statements, opinions and data contained in all publications are solely those of the individual author(s) and contributor(s) and not of MDPI and/or the editor(s). MDPI and/or the editor(s) disclaim responsibility for any injury to people or property resulting from any ideas, methods, instructions or products referred to in the content. |
© 2023 by the authors. Licensee MDPI, Basel, Switzerland. This article is an open access article distributed under the terms and conditions of the Creative Commons Attribution (CC BY) license (https://creativecommons.org/licenses/by/4.0/).















