Numerical Simulations and Wind Tunnel Experiments to Optimize the Parameters of the Second Sand Fence and Prevent Sand Accumulation on the Subgrade of a Desert Railway
Abstract
:1. Introduction
2. Materials and Methods
2.1. Wind Tunnel Experiment
2.2. Numerical Simulation
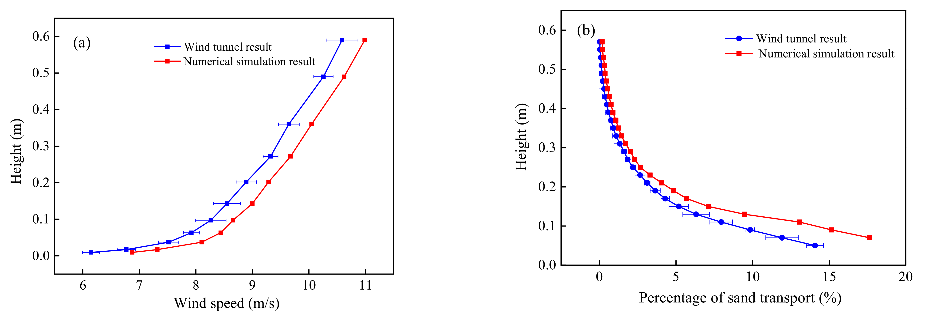
2.3. Verification of the Numerical Simulation Results
2.4. Evaluation Indicators
3. Results
3.1. Efficiency of the Subgrade and Sand Prevention System in Mitigating Sand Accumulation
3.2. Optimal Porosity of the Second Sand Fence
3.3. Optimal Opening Types of the Second Sand Fence
3.4. Wind Tunnel Experimental Results
4. Conclusions
- (1)
- The subgrade was found to accumulate sand on the windward side, thus reducing the amount of sand accumulation on the subgrade. The interception rate of the subgrade was 29.70%. Most of the sand was intercepted after the sand prevention system was installed, which increased the wind-blown-sand prevention efficiency to 88.55%.
- (2)
- The lower the porosity of the second sand fence, the lower the sand velocity on the windward side and the larger the sand accumulation. When the porosity exceeded 30%, the sand accumulation on the windward side decreased, and the sand accumulation on the leeward side and around the subgrade, as well as the risk of burying the subgrade, increased.
- (3)
- The second sand fence disrupted the sequential flow of particles coming from the first sand fence when the second sand fence had horizontal openings. Most sand accumulated on the leeward side and on the straw checkerboard barrier. The maximum wind-blown-sand prevention efficiency was 97.16% for the fence with horizontal openings and was 93.60% for the fence with vertical openings. As the height of the fence increased (above 20 cm), the sand prevention efficiencies of both approaches increased.
Author Contributions
Funding
Institutional Review Board Statement
Informed Consent Statement
Data Availability Statement
Conflicts of Interest
References
- Cheng, J.J.; Xue, C.X. The sand-damage-prevention engineering system for the railway in the desert region of the Qinghai-Tibet plateau. J. Wind. Eng. Ind. Aerodyn. 2014, 125, 30–37. [Google Scholar] [CrossRef]
- Wang, T.; Qu, J.J.; Niu, Q.H. Comparative study of the shelter efficacy of straw checkerboard barriers and rocky checkerboard barriers in a wind tunnel. Aeolian Res. 2020, 43, 100575. [Google Scholar] [CrossRef]
- Xu, B.; Zhang, J.; Huang, N.; Gong, K.; Liu, Y.S. Characteristics of turbulent aeolian sand movement over straw checkerboard barriers and formation mechanisms of their internal erosion form. J. Geophys. Res.-Atmos. 2018, 123, 6907–6919. [Google Scholar] [CrossRef]
- Bagnold, R. The Physics of Blown Sand and Desert Dunes; Dover Publication Inc.: Mineola, NY, USA, 1941; 265p. [Google Scholar]
- Martin, R.L.; Kok, J.F. Equal susceptibility and size-selective mobility in aeolian saltation. arXiv 2017, arXiv:1707.09964. [Google Scholar]
- Lorenzo, R.; Luca, B. Windblown sand mitigation along railway megaprojects: A comparative study. Struct. Eng. Int. 2020, 30, 355–364. [Google Scholar]
- Zhang, K.; Tian, J.J.; Qu, J.J.; Zhao, H.L.; Li, S. Sheltering effect of punched steel plate sand fences for controlling blown sand hazards along the Golmud-Korla Railway: Field observation and numerical simulation studies. J. Arid. Land. 2022, 14, 604–619. [Google Scholar] [CrossRef]
- Yang, X.M.; Jia, H.F.; Zhou, Y.L. Numerical analysis on formation mechanism of sand damage around culvert of Qinghai Tibet Railway. Railw. Eng. 2021, 61, 109–111+133. [Google Scholar]
- Chen, B.Y.; Cheng, J.J.; Xin, L.G.; Wang, R. Effectiveness of hole plate-type sand barriers in reducing aeolian sediment flux: Evaluation of effect of hole size. Aeolian Res. 2019, 38, 1–12. [Google Scholar] [CrossRef]
- Sarafrazi, V.; Talaee, M.R. Simulation of wall barrier properties along a railway track during a sandstorm. Aeolian Res. 2020, 46, 100626. [Google Scholar] [CrossRef]
- Li, B.; Zhou, X.; Huang, P.; Xu, X.; Wang, Z.; Zhang, C. Wind-blown sand damage and its control along the Shaquanzi section of the Lan-Xin railway. Arid. Zone Res. 1998, 15, 47–53. [Google Scholar]
- Wang, Q.Z.; Fengbao Fu, F.B.; Zhao, J.; He, F.Y. Numerical Simulation Research of Sand-Arresting Mechanism of Upright Fence. Adv. Geosci. 2017, 7, 376–382. [Google Scholar] [CrossRef]
- Pickard, J. Post and rail fences: Derivation, development, and demise of rural technology in colonial australia. Agric. Hist. 2005, 79, 27–49. [Google Scholar] [CrossRef]
- Raine, J.K.; Stevenson, D.C. Wind protection by model fences in a simulated atmospheric boundary layer. J. Wind. Eng. Ind. Aerodyn. 1977, 2, 159–180. [Google Scholar] [CrossRef]
- Raju, K.G.R.; Garde, R.J.; Singh, S.K.; Singh, N. Experimental study on characteristics of flow past porous fences. J. Wind. Eng. Ind. Aerodyn. 1988, 29, 155–163. [Google Scholar] [CrossRef]
- Cheng, J.J.; Lei, J.Q.; Li, S.Y.; Wang, H.W. Effect of hanging-type sand fence on characteristics of wind-sand flow fields. Wind Struct. 2016, 22, 555–571. [Google Scholar] [CrossRef]
- Cheng, J.J.; Pang, Q.D. Analysis on train aerodynamics characteristics under different types of windbreak structures at strong wind zone in gobi. J. Railw. Stand. Des. 2013, 1, 1–5. [Google Scholar]
- Xin, G.W.; Huang, N.; Zhang, J.; Dun, H.C. Investigations into the design of sand control fence for Gobi buildings. Aeolian Res. 2021, 49, 100662. [Google Scholar] [CrossRef]
- Cleugh, H.A.; Hughes, D.E. Impact of shelter on crop microclimates: A synthesis of results from wind tunnel and field experiments. Aust. J. Exp. Agric. 2002, 42, 679–701. [Google Scholar] [CrossRef]
- He, W.; Huang, N.; Xu, B.; Wang, W.B. 2018. Numerical simulation of wind-sand movement in the reversed flow region of a sand dune with a bridge built downstream. Eur. Phys. J. E 2018, 41, 53. [Google Scholar] [CrossRef]
- Lee, S.J.; Park, K.C.; Park, C.W. Wind tunnel observations about the shelter effect of porous fences on the sand particle movements. Atmos. Environ. 2002, 36, 1453–1463. [Google Scholar] [CrossRef]
- Hu, X.N.; Fang, G.S.; Yang, J.Y.; Ge, Y.J. Simplified models for uncertainty quantification of extreme events using Monte Carlo technique. Reliab. Eng. Syst. Safe 2023, 230, 108935. [Google Scholar] [CrossRef]
- Khier, W.; Breuer, M.; Durst, F. Flow structure around trains under side wind conditions: A numerical study. Comput. Fluids 2000, 29, 179–195. [Google Scholar] [CrossRef]
- Jamińska-Gadomska, P.; Lipecki, T.; Pieńko, M.; Podgórski, J. Wind velocity changes along the passage between two angled walls CFD simulations and full-scale measurements. Build. Environ. 2019, 157, 391–401. [Google Scholar] [CrossRef]
- Daneshfaraz, R.; Norouzi, R.; Abbaszadeh, H.; Kuriqi, A.; Francesco, S.D. Influence of sill on the hydraulic regime in sluice gates: An experimental and numerical analysis. Fluids 2022, 7, 244. [Google Scholar] [CrossRef]
- Daneshfaraz, R.; Norouzi, R.; Abbaszadeh, H.; Azamathulla, H.M. Theoretical and experimental analysis of applicability of sill with different widths on the gate discharge coefficients. Water Supply 2022, 22, 7767–7781. [Google Scholar] [CrossRef]

















Disclaimer/Publisher’s Note: The statements, opinions and data contained in all publications are solely those of the individual author(s) and contributor(s) and not of MDPI and/or the editor(s). MDPI and/or the editor(s) disclaim responsibility for any injury to people or property resulting from any ideas, methods, instructions or products referred to in the content. |
© 2023 by the authors. Licensee MDPI, Basel, Switzerland. This article is an open access article distributed under the terms and conditions of the Creative Commons Attribution (CC BY) license (https://creativecommons.org/licenses/by/4.0/).
Share and Cite
Xin, G.; Zhang, J.; Fan, L.; Deng, B.; Bu, W. Numerical Simulations and Wind Tunnel Experiments to Optimize the Parameters of the Second Sand Fence and Prevent Sand Accumulation on the Subgrade of a Desert Railway. Sustainability 2023, 15, 12761. https://doi.org/10.3390/su151712761
Xin G, Zhang J, Fan L, Deng B, Bu W. Numerical Simulations and Wind Tunnel Experiments to Optimize the Parameters of the Second Sand Fence and Prevent Sand Accumulation on the Subgrade of a Desert Railway. Sustainability. 2023; 15(17):12761. https://doi.org/10.3390/su151712761
Chicago/Turabian StyleXin, Guowei, Jie Zhang, Liqiang Fan, Bin Deng, and Wenjie Bu. 2023. "Numerical Simulations and Wind Tunnel Experiments to Optimize the Parameters of the Second Sand Fence and Prevent Sand Accumulation on the Subgrade of a Desert Railway" Sustainability 15, no. 17: 12761. https://doi.org/10.3390/su151712761
APA StyleXin, G., Zhang, J., Fan, L., Deng, B., & Bu, W. (2023). Numerical Simulations and Wind Tunnel Experiments to Optimize the Parameters of the Second Sand Fence and Prevent Sand Accumulation on the Subgrade of a Desert Railway. Sustainability, 15(17), 12761. https://doi.org/10.3390/su151712761

