The Spatiotemporal Variations in Soil Erosion and Its Dominant Influencing Factors in the Wenchuan Earthquake-Stricken Area
Abstract
:1. Introduction
2. Materials and Methods
2.1. Study Area
2.2. Data Source and Preprocessing
2.3. Methods
2.3.1. Soil Loss Equation of Earthquake-Stricken Area
- (1)
- R factor
- (2)
- Soil erodibility factor K
- (3)
- Slope length factor LS
- (4)
- Vegetation cover factor C
- (5)
- Soil and water conservation measures factor P
2.3.2. Soil Erosion Intensity Index
2.3.3. Gravity Center Model
2.3.4. Geodetector
3. Results
3.1. Spatial Distribution Pattern of Soil Erosion from 2000 to 2019
3.1.1. Spatial Distribution of Soil Erosion in Different Slope Zones
3.1.2. Spatial Distribution of Soil Erosion in Different Altitudes
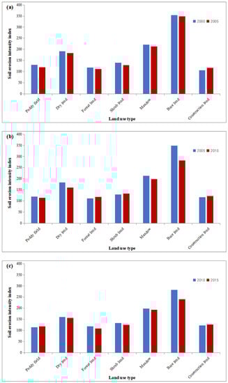
3.1.3. Spatial Distribution of Soil Erosion in Different Land Use Types
3.1.4. Spatial Distribution of Soil Erosion in Different Levels of Earthquake Risk Areas
3.2. Soil Erosion Change Intensity in the Wenchuan Earthquake Area from 2000 to 2019
3.2.1. Area Transfer of Soil Erosion Intensity of Different Grades
3.2.2. Gravity Center Mitigation Trajectory of Soil Erosion Intensity
3.3. Dominant Factor of Soil Erosion Change Wenchuan Earthquake Stricken Area in Different Historical Periods
3.3.1. Single Factor
3.3.2. Interactive Factor
4. Discussion
4.1. Causes of Spatial Distribution Pattern of Soil Erosion in Wenchuan Earthquake Stricken Area
4.2. Effects of Earthquake Hazards on Temporal and Spatial Changes in Soil Erosion
4.3. Effects of Human Activities on Temporal and Spatial Changes in Soil Erosion
5. Conclusions
Author Contributions
Funding
Institutional Review Board Statement
Informed Consent Statement
Data Availability Statement
Conflicts of Interest
References
- Wang, Z.L. Analyses of Affecting Factors of Soil Erosion and lts Harms in China. Trans. Chin. Soc. Agric. Eng. 2000, 16, 32–36. [Google Scholar] [CrossRef]
- Rehman, Z.U.; Khalid, U.; Ijaz, N.; Mujtaba, H.; Haider, A.; Farooq, K.; Ijaz, Z. Machine learning-based intelligent modeling of hydraulic conductivity of sandy soils considering a wide range of grain sizes. Eng. Geol. 2022, 311, 106899. [Google Scholar] [CrossRef]
- Chen, Y.; Zhang, K.L.; Luo, L.F.; Peng, W.Y. Study on beginning infiltration law of the being wild soil in loess plateau. J. Sediment Res. 2005, 5, 45–50. [Google Scholar] [CrossRef]
- Zhao, Y.X.; Zhang, W.S.; Wang, Y.; Wang, T.T. Soil Erosion Intensity Prediction Based on 3S Technology and the USLE: A Case from Qiankeng Reservoir Basin in Shenzhen. J. Subtrop. Resour. Environ. 2007, 2, 23–28. [Google Scholar] [CrossRef]
- Bircher, P.; Liniger, H.; Prasuhn, V. Comparing different multiple flow algorithms to calculate RUSLE factors of slope length (L) and slope steepness (S) in Switzerland. Geomorphology 2019, 346, 106850. [Google Scholar] [CrossRef]
- Fayas, M.C.; Abeysingha, S.N.; Nirmanee, S.G.K.; Samaratunga, D.; Mallawatantri, A. Soil loss estimation using rusle model to prioritize erosion control in KELANI river basin in Sri Lanka. Int. Soil Water Conserv. Res. 2019, 7, 130–137. [Google Scholar] [CrossRef]
- Chuenchum, P.; Xu, M.Z.; Tang, W.Z. Predicted trends of soil erosion and sediment yield from future land use and climate change scenarios in the Lancang–Mekong River by using the modified RUSLE model. Int. Soil Water Conserv. Res. 2020, 8, 213–227. [Google Scholar] [CrossRef]
- Liang, Y.; Wang, Y. Analysis of Soil Erosion Change in Loess Plateau Based on RUSLE Model—Take Yan’an City as an Example. Henan Sci. Technol. 2022, 41, 121–125. [Google Scholar] [CrossRef]
- Sun, C.J.; Lin, R.J.; Zhen, Z.J.; Wang, J.R.; Sun, J.L. Characteristic analysis of soil and water loss in typical small watersheds of the Middle Yellow River based on RUSLE model. Southwest China J. Agric. Sci. 2022, 35, 200–208. [Google Scholar] [CrossRef]
- Chen, C.L.; Zhao, G.J.; Mu, X.M.; Tian, P.; Liu, L.K. Spatial-Temporal Change of Soil Erosion in Huangshui Watershed Based on RUSLE Model. J. Soil Water Conserv. 2021, 35, 73–79. [Google Scholar] [CrossRef]
- Luetzenburg, G.; Bittner, J.M.; Calsamiglia, A.S.; Renschler, C.; Estrany, J.; Poeppl, R. Climate and land use change effects on soil erosion in two small agricultural catchment systems Fugnitz—Austria, Can Revull—Spain. Sci. Total Environ. 2020, 704, 135389. [Google Scholar] [CrossRef] [PubMed]
- Jiang, G.M.; Guo, B.; Mu, S.Z.; Liu, J.; Yin, L.Z. Spatial Pattern Analysis on Soil Erosion Intensity in Lushan Earthquake Stricken Zone after Earthquake Disaster. Subtrop. Soil Water Conserv. 2019, 31, 7–11+24. [Google Scholar]
- Xia, B.; Fan, M.X.; Guo, X.J.; Yang, F.; Zou, C.B.; Xiong, K.Y. Spatial distribution characteristics and analysis of soil erosion under earthquake effect: A case study of Jiuzhaigou earthquake. Sci. Soil Water Conserv. 2020, 18, 79–89. [Google Scholar] [CrossRef]
- Yin, Y.P. Researches on the Geo-Hazards triggered by Wenchuan earthquake, Sichuan. J. Eng. Geol. 2008, 16, 433–444. [Google Scholar]
- Jiang, L.; Bian, J.H.; Li, A.N.; Lei, G.B.; Nan, X.; Feng, W.L.; Li, G. Spatial-temporal Changes of Soil Erosion in the Upper Reaches of Minjiang River from 2000 to 2010. J. Soil Water Conserv. 2014, 28, 18–25+35. [Google Scholar] [CrossRef]
- Ijaz, N.; Ye, W.M.; Rehman, Z.U.; Dai, F.C.; Ijaz, Z. Numerical study on stability of lignosulphonate-based stabilized surficial layer of unsaturated expansive soil slope considering hydro-mechanical effect. Transp. Geotech. 2022, 32, 100697. [Google Scholar] [CrossRef]
- Xiang, M.S. Remote Sensing Based Dynamic Monitoring and Evaluation of Eco-Environmental Change in Earthquake-Striken Areas; Chengdu University of Technology: Chengdu, China, 2018. [Google Scholar]
- Lin, M.Y.; Wu, C.Z.; Hong, W.; You, W.B.; Chen, C.; Li, J.; Lin, S. Soil seed bank characteristics of different vegetations in typically affected regions of Wen chuan Earthquake—A case study in Subaohe and Weijiagou Basins. Chin. J. Eco-Agric. 2012, 20, 99–104. [Google Scholar]
- Chen, J.N.; Liu, Y.L.; Li, P.F.; Hu, J.F.; Gao, J.J.; Dang, T.M. Spatiotemporal Changes of Rainfall Erosivity on the Loess Plateau During 1901–2016. Res. Soil Water Conserv. 2022, 29, 39–46. [Google Scholar] [CrossRef]
- Liu, B.T.; Tao, H.P.; Song, C.F.; Guo, B.; Shi, Z. Temporal and Spatial Variations of Rainfall Erosivity in Southwest China from 1960 to 2009. Adv. Earth Sci. 2012, 27, 499–509. [Google Scholar]
- Pan, M.H.; Wu, Y.Q.; Ren, F.P.; Dong, Y.F.; Jiang, Y. Estimating Soil Erosion in the Dongjiang River Basin Based on USLE. J. Nat. Resour. 2010, 25, 2154–2164. [Google Scholar] [CrossRef]
- Cheng, L.; Yang, Q.K.; Xie, H.X.; Wang, C.M.; Liu, W.L. GIS and CSLE Based Quantitative Assessment of Soil Erosion in Shaanxi, China. J. Soil Water Conserv. 2009, 23, 61–66. [Google Scholar] [CrossRef]
- Qi, S.H.; Jiang, H.X.; Yu, X.B. Evaluating soil erosion in Jiangxi Province with USLE model and remote sensing technology during 1995~2005. China Environ. Sci. 2011, 31, 1197–1203. [Google Scholar]
- Cai, C.F.; Ding, S.W.; Shi, Z.H.; Huang, L.; Zhang, G.Y. Study of Applying USLE and Geographical lnformation System IDRISl to Predict Soil Erosion in Small Watershed. J. Soil Water Conserv. 2000, 14, 19–24. [Google Scholar] [CrossRef]
- Guo, B.; Lu, M.; Fan, Y.W.; Wu, H.W.; Yang, Y.; Wang, C.L. A novel remote sensing monitoring index of salinization based on three dimensional feature space model and its application in the Yellow River Delta. Geomat. Nat. Hazards Risk 2023, 14, 95–156. [Google Scholar] [CrossRef]
- Jing, H.C.; Liu, Y.H.; He, P.; Zhang, J.Q.; Dong, J.Y.; Wang, Y. Spatial heterogeneity of econsystem services and it’s influencing factors in typical areas of the Qinghai-Tibet Plateau: A case study of Nagqu City. Acta Ecol. Sin. 2022, 42, 2657–2673. [Google Scholar] [CrossRef]
- Luo, Q.H.; Sun, F.; Wu, J.Z.; Cui, Y.; Lin, Y.M.; Wu, C.Z. Community characteristics of vegetation restoration in 2 different climate areas of Wenchuan earthquake affected region. J. For. Environ. 2018, 38, 50–56. [Google Scholar] [CrossRef]
- Zhang, R.; Liu, Y.X.; Zhao, S.; Fu, B.J. Chinese urban residents’ willingness to pay for ecosystem service of the Tibetan Plateau: A case study of 27 cities in China. J. Nat. Resour. 2020, 35, 563–575. [Google Scholar] [CrossRef]
- Liu, J.; Ji, Y.H.; Zhou, G.S.; Zhou, L.; Lv, X.M.; Zhou, M.Z. Temporal and spatial variations of net primary productivity (NPP) and its climate driving effect in the Qinghai-Tibet Plateau, China from 2000 to 2020. Chin. J. Appl. Ecol. 2022, 33, 1533–1538. [Google Scholar] [CrossRef]
- Ma, C.; Hu, K.H.; Zhao, J.H.; Lei, F.H. Analysis of the Rainfall parameters of Debris Flows after Strong Earthquake—Example of Debris Flows after Wenchuan Earthquake and Chichi Earthquake. J. Catastrophol. 2013, 28, 89–94. [Google Scholar] [CrossRef]
- Xiong, J.N.; Zhang, H.; Peng, C.; Fan, C.K.; Zhu, J.L.; Gong, Y. Vegetation Variations and Correlations with Topographic Factors in Wenchuan Earthquake Area. Bull. Soil Water Conserv. 2018, 38, 24–31+37. [Google Scholar] [CrossRef]
- Si, B.Y.; Di, B.F.; Zhang, B.; Yu, B. Evaluation of Soil Erosion Based on GlS in a Small Watershed in Wenchuan Seismic Disaster Area—A Case Study of Longmen Mountain Areas in Pengzhou City. Mt. Res. 2011, 29, 433–441. [Google Scholar]
- Wang, J.N.; Sun, G.; Shi, F.S.; Xu, J.C.; Wu, Y.; Wu, N. Runoff and Soil Loss of a Typical Subtropical Forest Stricken by Wenchuan Earthquake. Chin. J. Appl. Environ. Biol. 2013, 19, 766–773. [Google Scholar] [CrossRef]
- Xiong, J.N.; Peng, C.; Fan, C.K.; Sun, M.; Liu, Z.Q.; Gong, Y. Dynamic Monitoring of Vegetation Fraction Change in Stricken area of Wenchuan Earthquake Based on MODIS Time-series Data. J. Basic Sci. Eng. 2018, 26, 60–69. [Google Scholar] [CrossRef]
- Xiao, Z.L.; Tian, X.Q.; Li, Y.J. The Study of the Relationship between Soil Erosion Change and the Human Activity based on Remote Sensing and GlS at the Regional Scale: A Case Study in Jiangxi Province. Remote Sens. Technol. Appl. 2022, 37, 971–981. [Google Scholar]
- Alfonso-Torreo, A.; Gómez-Gutiérrez, A.; Schnabel, S. Dynamics of Erosion and Deposition in a Partially Restored Valley-Bottom Gully. Land 2021, 10, 62. [Google Scholar] [CrossRef]
- Alfonso-Torreño, A.; Schnabel, S.; Gómez-Gutiérrez, Á.; Cavalli, M.; Crema, S. Changes in sediment load and runoff production after gully rehabilitation. Catena 2021, 10, 62. [Google Scholar]












| Classification of Erosion Intensity | Erosion Modulus/t·(km2·a)−1 |
|---|---|
| micro-erosion | <500 |
| mild erosion | 500~2500 |
| moderate erosion | 2500~5000 |
| intensive erosion | 5000~8000 |
| extreme erosion | 8000~15,000 |
| severe erosion | >15,000 |
| Erosion Intensity | Erosion Area/ 104 km2 | Erosion Modulus/ (t·(km2·a) −1) | Total Erosion/ (10,000 t·a −1) | Area Ratio/% | Erosion Rate/% |
|---|---|---|---|---|---|
| micro-erosion | 37.64 | 23.01 | 866.43 | 76.34 | 0.88 |
| mild erosion | 3.36 | 1568.71 | 5230.14 | 6.81 | 5.24 |
| moderate erosion | 2.94 | 3620.94 | 10,643.76 | 5.96 | 10.52 |
| intensive erosion | 1.86 | 6336.11 | 11,759.99 | 3.76 | 11.6 |
| extreme erosion | 1.84 | 10,903.37 | 20,102.10 | 3.74 | 19.9 |
| severe erosion | 1.67 | 31,173.59 | 51,880.38 | 3.38 | 51.88 |
| Slope/(°) | Erosion Area/km2 | Erosion Modulus/ (t·(km2·a) −1) | Total Erosion/ (10,000 t·a −1) | Area Ratio/% | Erosion Rate/% |
|---|---|---|---|---|---|
| 0~8 | 345,484 | 1826.55 | 631.04 | 70.63 | 61.68 |
| 8~15 | 97,852 | 2305.21 | 225.57 | 20 | 22.26 |
| 15~25 | 41,787 | 3262.76 | 136.34 | 8.54 | 13.56 |
| 25~35 | 3958 | 6167.41 | 24.41 | 0.81 | 2.44 |
| 35~45 | 66 | 10,359.52 | 0.68 | 0.01 | 0.07 |
| Altitude/m | Erosion Area/km2 | Erosion Modulus/ (t·(km2·a) −1) | Total Erosion/ (10,000 t· a−1) | Area Ratio/% | Erosion Amount Ratio/% |
|---|---|---|---|---|---|
| <2000 | 304,670 | 1489.40 | 453.78 | 61.81 | 43.56 |
| 2000~3000 | 72,491 | 1736.07 | 125.85 | 14.71 | 12.13 |
| 3000~4000 | 80,296 | 1606.73 | 129.01 | 16.29 | 12.69 |
| 4000~5000 | 34,872 | 8863.43 | 309.08 | 7.07 | 30.52 |
| 5000~6000 | 594 | 18,039.72 | 10.72 | 0.12 | 1.06 |
| >6000 | 8 | 39,429.6 | 0.32 | 0.002 | 0.03 |
| Land Use Type | Micro-Erosion/% | Mild Erosion/% | Moderate Erosion/% | Intensive Erosion/% | Extreme Erosion/% | Severe Erosion/% | Soil Intensity Index |
|---|---|---|---|---|---|---|---|
| Paddy fields | 86.15 | 9.62 | 2.49 | 0.97 | 0.59 | 0.18 | 120.77 |
| Dry land | 62.94 | 16.44 | 11.53 | 4.88 | 3.09 | 1.12 | 172.10 |
| Forested land | 96.49 | 0.14 | 0.40 | 0.45 | 0.75 | 1.78 | 114.16 |
| Shrub land | 92.09 | 0.45 | 1.09 | 1.20 | 1.79 | 3.38 | 130.31 |
| Meadow | 66.22 | 4.98 | 7.70 | 6.42 | 7.51 | 7.17 | 205.51 |
| Bare land | 27.54 | 13.13 | 23.74 | 17.56 | 13.16 | 6.76 | 301.56 |
| Construction land | 93.50 | 0.75 | 1.02 | 1.82 | 1.31 | 1.61 | 121.52 |
| Earthquake Risk | Erosion Area/km2 | Erosion Modulus/(t·(km2·a) −1) | Total Erosion/ (10,000 t·a −1) | Area Ratio/% | Erosion Rate/% |
|---|---|---|---|---|---|
| Level 1 | 103,861.44 | 976.26 | 10,139.54 | 35.65 | 17.17 |
| Level 2 | 130,468.86 | 2456.80 | 32,053.56 | 44.78 | 54.27 |
| Level 3 | 52,065.33 | 2623.44 | 13,659.03 | 17.87 | 23.13 |
| Level 4 | 4218.46 | 5900.32 | 2489.03 | 1.45 | 4.21 |
| Level 5 | 717.41 | 10,072.34 | 722.60 | 0.25 | 1.22 |
| Total | 291,332 | —— | 59,063.76 | 100 | 100 |
| Earthquake Risk | Erosion Area/km2 | Erosion Modulus/(t·(km2·a) −1) | Total Erosion/ (10,000 t·a −1) | Area Ratio/% | Erosion Rate/% |
|---|---|---|---|---|---|
| Level 1 | 103,862.56 | 529.35 | 5497.95 | 35.65 | 8.80 |
| Level 2 | 130,468.48 | 2565.39 | 33,470.24 | 44.78 | 53.57 |
| Level 3 | 52,065.36 | 3965.15 | 20,644.71 | 17.87 | 33.05 |
| Level 4 | 4218.49 | 5098.36 | 2150.74 | 1.45 | 3.44 |
| Level 5 | 717.40 | 9901.94 | 710.36 | 0.25 | 1.14 |
| Total | 291,332 | —— | 62,474.00 | 100 | 100 |
| Time | 2000 | 2005 | 2010 | 2015 | 2019 | |
|---|---|---|---|---|---|---|
| Factor | ||||||
| Landform | 0.168 | 0.283 | 0.165 | 0.3 | 0.294 | |
| Slope | 0.02 | 0.039 | 0.028 | 0.025 | 0.02 | |
| Land use | 0.126 | 0.269 | 0.098 | 0.123 | 0.168 | |
| GDP | 0.008 | 0 | 0.011 | 0.011 | 0.011 | |
| Population density | 0.022 | 0.076 | 0.048 | 0.062 | 0.003 | |
| Temperature | 0.064 | 0.092 | 0.067 | 0.09 | 0.095 | |
| Precipitation | 0.011 | 0.176 | 0.022 | 0.042 | 0.05 | |
| Vegetation | 0.428 | 0.554 | 0.372 | 0.356 | 0.484 | |
Disclaimer/Publisher’s Note: The statements, opinions and data contained in all publications are solely those of the individual author(s) and contributor(s) and not of MDPI and/or the editor(s). MDPI and/or the editor(s) disclaim responsibility for any injury to people or property resulting from any ideas, methods, instructions or products referred to in the content. |
© 2023 by the authors. Licensee MDPI, Basel, Switzerland. This article is an open access article distributed under the terms and conditions of the Creative Commons Attribution (CC BY) license (https://creativecommons.org/licenses/by/4.0/).
Share and Cite
Li, J.; Guo, B.; Yang, G.; Yu, K. The Spatiotemporal Variations in Soil Erosion and Its Dominant Influencing Factors in the Wenchuan Earthquake-Stricken Area. Sustainability 2023, 15, 12701. https://doi.org/10.3390/su151712701
Li J, Guo B, Yang G, Yu K. The Spatiotemporal Variations in Soil Erosion and Its Dominant Influencing Factors in the Wenchuan Earthquake-Stricken Area. Sustainability. 2023; 15(17):12701. https://doi.org/10.3390/su151712701
Chicago/Turabian StyleLi, Jialin, Bing Guo, Guang Yang, and Kun Yu. 2023. "The Spatiotemporal Variations in Soil Erosion and Its Dominant Influencing Factors in the Wenchuan Earthquake-Stricken Area" Sustainability 15, no. 17: 12701. https://doi.org/10.3390/su151712701
APA StyleLi, J., Guo, B., Yang, G., & Yu, K. (2023). The Spatiotemporal Variations in Soil Erosion and Its Dominant Influencing Factors in the Wenchuan Earthquake-Stricken Area. Sustainability, 15(17), 12701. https://doi.org/10.3390/su151712701

