Comparative Analysis of Thermodynamic Performances of a Linear Fresnel Reflector Photovoltaic/Thermal System Using Ag/Water and Ag-CoSO4/Water Nano-Fluid Spectrum Filters
Abstract
:1. Introduction
2. HPVT System
3. Preparation and Tests of NFSFs
4. Optical Characteristics Evaluation
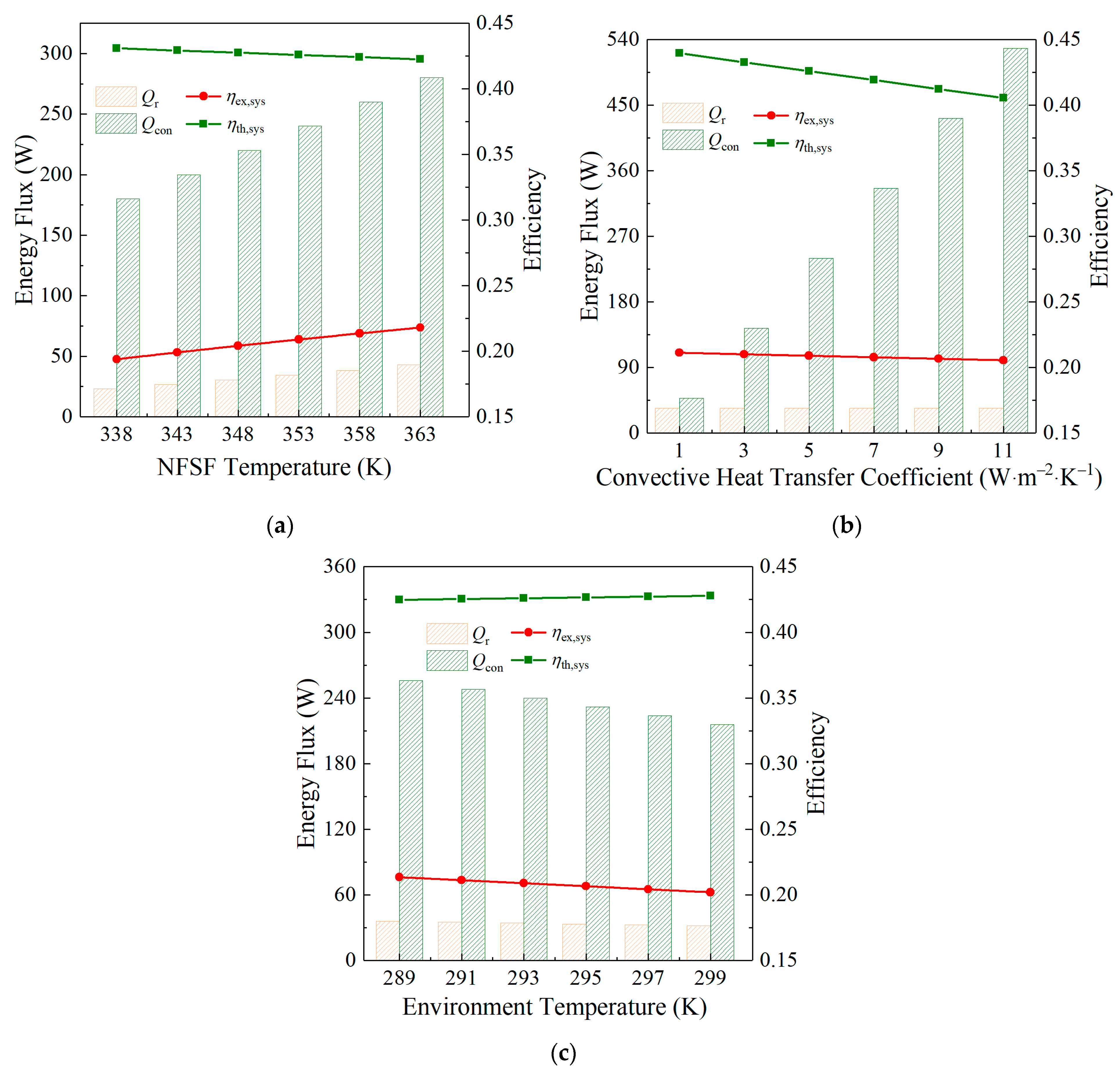
5. Thermodynamic Evaluation
6. Conclusions
Author Contributions
Funding
Institutional Review Board Statement
Informed Consent Statement
Data Availability Statement
Conflicts of Interest
Nomenclature
| Apv | total area of PVCM (m2) |
| CR | concentration ratio (-) |
| D | mirror width (mm) |
| Es | solar spectral irradiance (W/(m2∙nm)) |
| Eg | bandgap energy of the solar cells (eV) |
| e | charge of an electron (C) |
| FF | fill factor (-) |
| h | Planck constant (J·s) |
| Isc | short circuit current (A) |
| kB | Boltzmann constant (m2 kg/(s2∙K)) |
| nf | diode ideality factor of solar cell (-) |
| Ppv,c,bs,m | maximum power of the PV device (W) |
| QE | external quantum efficiency (-) |
| Qin | incident solar energy flux on the LFRC (W) |
| Qpv,bs | solar radiation flux delivered to the PVCM (W) |
| T0 | environment temperature (K) |
| Tnfsf | NFSF operating temperature (K) |
| Voc | open circuit voltage (V) |
| Greek symbols | |
| α | absorbance (-) |
| β | mirror tilt angle (deg) |
| εtrack | sun-tracking error (deg) |
| ηpv | photoelectric conversion efficiency (-) |
| ηth,sys | thermal efficiency of the PV/thermal system (-) |
| ηex,sys | exergy efficiency of the PV/thermal system (-) |
| λ | wavelength of solar radiation (nm) |
| ρlfrc | spectral reflectance of LFRC (-) |
| τ | transmittance (-) |
| Subscripts | |
| ave | average |
| bs | beam splitting condition |
| c | solar concentration condition |
| con | convective |
| glass | glass surface of the NFSF |
| i | serial number of a flat mirror |
| lfrc | LFRC |
| nfsf | NFSF |
| opt | optical |
| pv | PV |
| pvt | PV/thermal system |
| r | radiation |
| sys | system |
| Abbreviations | |
| CBS | coating beam splitter |
| CHT | convective heat transfer |
| HPVT | hybrid photovoltaic/thermal |
| LFRC | linear Fresnel reflector concentrator |
| NFSF | nano-fluid spectrum filter |
| PV | photovoltaic |
| PVCM | photovoltaic cell module |
| PVT | photovoltaic/thermal |
| STE | solar track error |
References
- Liao, K.; Lu, D.; Wang, M.; Yang, J. A low-pass virtual filter for output power smoothing of wind energy conversion systems. IEEE Trans. Ind. Electron. 2022, 69, 12874–12885. [Google Scholar] [CrossRef]
- Zhang, W.; Zheng, Z.; Liu, H. Droop control method to achieve maximum power output of photovoltaic for parallel inverter system. CSEE J. Power Energy Syst. 2022, 8, 1636–1645. [Google Scholar]
- Baharoon, D.A.; Rahman, H.A.; Omar, W.Z.W.; Fadhl, S.O. Historical development of concentrating solar power technologies to generate clean electricity efficiently-A review. Renew. Sust. Energy Rev. 2015, 41, 996–1027. [Google Scholar] [CrossRef]
- Tehrani, S.S.M.; Taylor, R.A.; Saberi, P.; Diarce, G. Design and feasibility of high temperature shell and tube latent heat thermal energy storage system for solar thermal power plants. Renew. Energy 2016, 96, 120–136. [Google Scholar] [CrossRef]
- Gu, Q.; Li, S.; Gong, W.; Ning, B.; Hu, C.; Liao, Z. L-SHADE with parameter decomposition for photovoltaic modules parameter identification under different temperature and irradiance. Appl. Soft Comput. 2023, 143, 110386. [Google Scholar] [CrossRef]
- Xu, K.; Liu, Y. Millimeter-wave on-chip bandpass filter using complementary-broadside-coupled structure. IEEE Trans. Circuits Syst. II 2023, 70, 2829–2833. [Google Scholar] [CrossRef]
- Wang, G.; Chao, Y.; Chen, Z. Promoting developments of hydrogen powered vehicle and solar PV hydrogen production in China: A study based on evolutionary game theory method. Energy 2021, 237, 121649. [Google Scholar] [CrossRef]
- Han, X.; Chen, X.; Wang, Q.; Alelyani, S.M.; Qu, J. Investigation of CoSO4-based Ag nanofluids as spectral beam splitters for hybrid PV/T applications. Sol. Energy 2019, 177, 387–394. [Google Scholar] [CrossRef]
- Chen, C.; Wang, M.; Chen, X.; Chen, X.; Fu, Q.; Deng, H. Recent progress in solar photothermal steam technology for water purification and energy utilization. Chem. Eng. J. 2022, 448, 137603. [Google Scholar] [CrossRef]
- Wang, G.; Dong, B.; Chen, Z. Design and behaviour estimate of a novel concentrated solar-driven power and desalination system using S-CO2 Brayton cycle and MSF technology. Renew. Energy 2021, 176, 555–564. [Google Scholar] [CrossRef]
- Jiang, S.; Hu, P.; Mo, S.; Chen, Z. Optical modeling for a two-stage parabolic trough concentrating photovoltaic/thermal system using spectral beam splitting technology. Sol. Energy Mater. Sol. Cells 2010, 94, 1686–1696. [Google Scholar] [CrossRef]
- Li, M.; Ji, X.; Li, G.; Wei, S.; Li, Y.; Shi, F. Performance study of solar cell arrays based on a trough concentrating photovoltaic/thermal system. Appl. Energy 2011, 88, 3218–3227. [Google Scholar] [CrossRef]
- Hassan, A.; Chen, J.; Abbas, S.; Wu, L.; Luo, Y. An experimental investigation on thermal and optical analysis of cylindrical and conical cavity copper tube receivers design for solar dish concentrator. Renew. Energy 2021, 179, 1849–1864. [Google Scholar] [CrossRef]
- Liang, K.; Xue, K.; Zhang, H.; Chen, H.; Ni, J. Design and performance analysis of an annular Fresnel solar concentrator. Energy 2020, 210, 118594. [Google Scholar] [CrossRef]
- Wang, G.; Zhang, Z.; Chen, Z. Design and performance evaluation of a novel CPV-T system using nano-fluid spectrum filter and with high solar concentrating uniformity. Energy 2023, 267, 126616. [Google Scholar] [CrossRef]
- Hjerrild, N.E.; Crisostomo, F.; Chin, R.L.; Scott, J.A.; Amal, R.; Taylor, R.A. Experimental Results for Tailored Spectrum Splitting Metallic Nanofluids for c-Si, GaAs, and Ge Solar Cells. IEEE J. Photovolt. 2019, 9, 385–390. [Google Scholar] [CrossRef]
- Brekke, N.; Dale, J.; DeJarnette, D.; Hari, P.; Orosz, M.; Roberts, K.; Tunkara, E.; Otanicar, T. Detailed performance model of a hybrid photovoltaic/thermal system utilizing selective spectral nanofluid absorption. Renew. Energy 2018, 123, 683–693. [Google Scholar] [CrossRef]
- Li, J.; Yang, Z.; Wang, Y.; Dong, Q.; Qi, S.; Huang, C.; Wang, X.; Lin, R. A novel non-confocal two-stage dish concentrating photovoltaic/thermal hybrid system utilizing spectral beam splitting technology: Optical and thermal performance investigations. Renew. Energy 2023, 206, 609–622. [Google Scholar] [CrossRef]
- Liu, Y.; Hu, P.; Zhang, Q.; Chen, Z. Thermodynamic and optical analysis for a CPV/T hybrid system with beam splitter and fully tracked linear Fresnel reflector concentrator utilizing sloped panels. Sol. Energy 2014, 103, 191–199. [Google Scholar] [CrossRef]
- Crisostomo, F.; Becker, J.; Mesgari, S.; Hjerrild, N.; Taylor, R.A. Design and on-sun testing of a hybrid PVT prototype using a nanofluid-based selective absorption filter. In Proceedings of the 12th International Conference on the European Energy Market, Lisbon, Portugal, 19–22 May 2015. [Google Scholar]
- Han, X.; Chen, X.; Sun, Y.; Qiu, J. Performance improvement of a PV/T system utilizing Ag/CoSO4-propylene glycol nanofluid optical filter. Energy 2020, 192, 116611. [Google Scholar] [CrossRef]
- Otanicar, T.P.; Taylor, R.A.; Telang, C. Photovoltaic/thermal system performance utilizing thin film and nanoparticle dispersion based optical filters. J. Renew. Sust. Energy 2013, 5, 062702. [Google Scholar] [CrossRef]
- Goel, N.; Taylor, R.A.; Otanicar, T. A review of nanofluid-based direct absorption solar collectors: Design considerations and experiments with hybrid PV/Thermal and direct steam generation collectors. Renew. Energy 2020, 145, 903–913. [Google Scholar] [CrossRef]
- An, W.; Wu, J.; Zhu, T.; Zhu, Q. Experimental investigation of a concentrating PV/T collector with Cu9S5 nanofluid spectral splitting filter. Appl. Energy 2016, 184, 197–206. [Google Scholar] [CrossRef]
- Hjerrild, N.E.; Mesgari, S.; Crisostomo, F.; Scott, J.A.; Amal, R.; Taylor, R.A. Hybrid PV/T enhancement using selectively absorbing Ag–SiO2/carbon nanofluids. Sol. Energy Mater. Sol. Cells 2016, 147, 281–287. [Google Scholar] [CrossRef]
- Parsa, S.M.; Yazdani, A.; Aberoumand, H.; Ansari, A.; Aberoumand, S.; Karimi, N.; Afrand, M.; Cheraghian, G.; Parsa, S.M.; Ali, H.M. A critical analysis on the energy and exergy performance of photovoltaic/thermal (PV/T) system: The role of nanofluids stability and synthesizing method. Sust. Energy Technol. Assess. 2022, 51, 101887. [Google Scholar]
- Zhang, C.; Shen, C.; Zhang, Y.; Pu, J. Feasibility investigation of spectral splitting photovoltaic/thermal systems for domestic space heating. Renew. Energy 2022, 192, 231–242. [Google Scholar] [CrossRef]
- Zhang, C.; Shen, C.; Wei, S.; Zhang, Y.; Sun, C. Flexible management of heat/electricity of novel PV/T systems with spectrum regulation by Ag nanofluids. Energy 2021, 221, 119903. [Google Scholar] [CrossRef]
- Abdelrazik, A.; Al-Sulaiman, F.; Saidur, R. Optical behavior of a water/silver nanofluid and their influence on the performance of a photovoltaic-thermal collector. Sol. Energy Mater. Sol. Cells 2019, 201, 110054. [Google Scholar] [CrossRef]
- Tang, S.; Hong, H.; Jin, H.; Xuan, Y. A cascading solar hybrid system for co-producing electricity and solar syngas with nanofluid spectrum selector. Appl. Energy 2019, 248, 231–240. [Google Scholar] [CrossRef]
- Du, M.; Tang, G.; Wang, T. Exergy analysis of a hybrid PV/T system based on plasmonic nanofluids and silica aerogel glazing. Sol. Energy 2019, 183, 501–511. [Google Scholar] [CrossRef]
- Chendo, M.A.C.; Osborn, D.E.; Swenson, R. Analysis of spectrally selective liquid absorption filters for hybrid solar energy conversion. In Proceedings of the 29th Annual Technical Symposium, San Diego, CA, USA, 23–25 October 1985. [Google Scholar]











| Items | Values |
|---|---|
| LFRC width | 4000 mm |
| LFRC length | 4000 mm |
| NFSF height | 1500 mm |
| PVCM width | 100 mm |
| Total number of plane mirrors | 40 |
| Geometric concentrating ratio of the LFRC | 31.31 |
| NFSF | Optical Property | <0.38 μm | 0.38~1.1 μm | >1.1 μm | 0.25~2.5 μm |
|---|---|---|---|---|---|
| Ag/water (1.2 mg/50 mL) | αave τave | 48.14% 51.86% | 37.64% 62.36% | 76.73% 23.27% | 45.74% 54.26% |
| Ag/water (1.2 mg/130 mL) | αave τave | 31.70% 68.30% | 28.40% 71.60% | 76.90% 23.10% | 38.24% 61.76% |
| Ag/water (1.2 mg/130 mL) + 0.5 gCoSO4 | αave τave | 32.04% 67.96% | 33.07% 66.93% | 79.13% 20.87% | 42.31% 57.69% |
| Ag/water (1.2 mg/130 mL) + 3 gCoSO4 | αave τave | 31.91% 68.09% | 45.29% 54.71% | 87.62% 12.38% | 53.52% 46.48% |
| STE | |||
|---|---|---|---|
| 0° | 82.70% | 98.93% | 91.38% |
| 0.075° | 81.02% | 97.17% | 89.66% |
| 0.15° | 79.27% | 95.04% | 87.71% |
| 0.225° | 77.41% | 92.79% | 85.64% |
| 0.3° | 75.56% | 90.53% | 83.57% |
Disclaimer/Publisher’s Note: The statements, opinions and data contained in all publications are solely those of the individual author(s) and contributor(s) and not of MDPI and/or the editor(s). MDPI and/or the editor(s) disclaim responsibility for any injury to people or property resulting from any ideas, methods, instructions or products referred to in the content. |
© 2023 by the authors. Licensee MDPI, Basel, Switzerland. This article is an open access article distributed under the terms and conditions of the Creative Commons Attribution (CC BY) license (https://creativecommons.org/licenses/by/4.0/).
Share and Cite
Jiang, T.; Zou, T.; Wang, G. Comparative Analysis of Thermodynamic Performances of a Linear Fresnel Reflector Photovoltaic/Thermal System Using Ag/Water and Ag-CoSO4/Water Nano-Fluid Spectrum Filters. Sustainability 2023, 15, 12538. https://doi.org/10.3390/su151612538
Jiang T, Zou T, Wang G. Comparative Analysis of Thermodynamic Performances of a Linear Fresnel Reflector Photovoltaic/Thermal System Using Ag/Water and Ag-CoSO4/Water Nano-Fluid Spectrum Filters. Sustainability. 2023; 15(16):12538. https://doi.org/10.3390/su151612538
Chicago/Turabian StyleJiang, Tieliu, Tianlin Zou, and Gang Wang. 2023. "Comparative Analysis of Thermodynamic Performances of a Linear Fresnel Reflector Photovoltaic/Thermal System Using Ag/Water and Ag-CoSO4/Water Nano-Fluid Spectrum Filters" Sustainability 15, no. 16: 12538. https://doi.org/10.3390/su151612538
APA StyleJiang, T., Zou, T., & Wang, G. (2023). Comparative Analysis of Thermodynamic Performances of a Linear Fresnel Reflector Photovoltaic/Thermal System Using Ag/Water and Ag-CoSO4/Water Nano-Fluid Spectrum Filters. Sustainability, 15(16), 12538. https://doi.org/10.3390/su151612538
