Risk Assessment of Single-Gully Debris Flow Based on Dynamic Changes in Provenance in the Wenchuan Earthquake Zone: A Case Study of the Qipan Gully
Abstract
1. Introduction
2. Study Area
3. Methods
3.1. Source of Multi-Scale Data of Debris Flow
3.2. Risk Assessment of Debris Flow
3.2.1. Entropy Method
3.2.2. Grey Relational Analysis Method (G1)
3.2.3. Game Theory Combination Weighing
3.2.4. Establishment of the Cloud Model of Hazard Assessment of Debris Flow
4. Variation in Debris Flow in the Qipan Gully
4.1. Vegetation Coverage of the Qipan Gully during 2005–2019
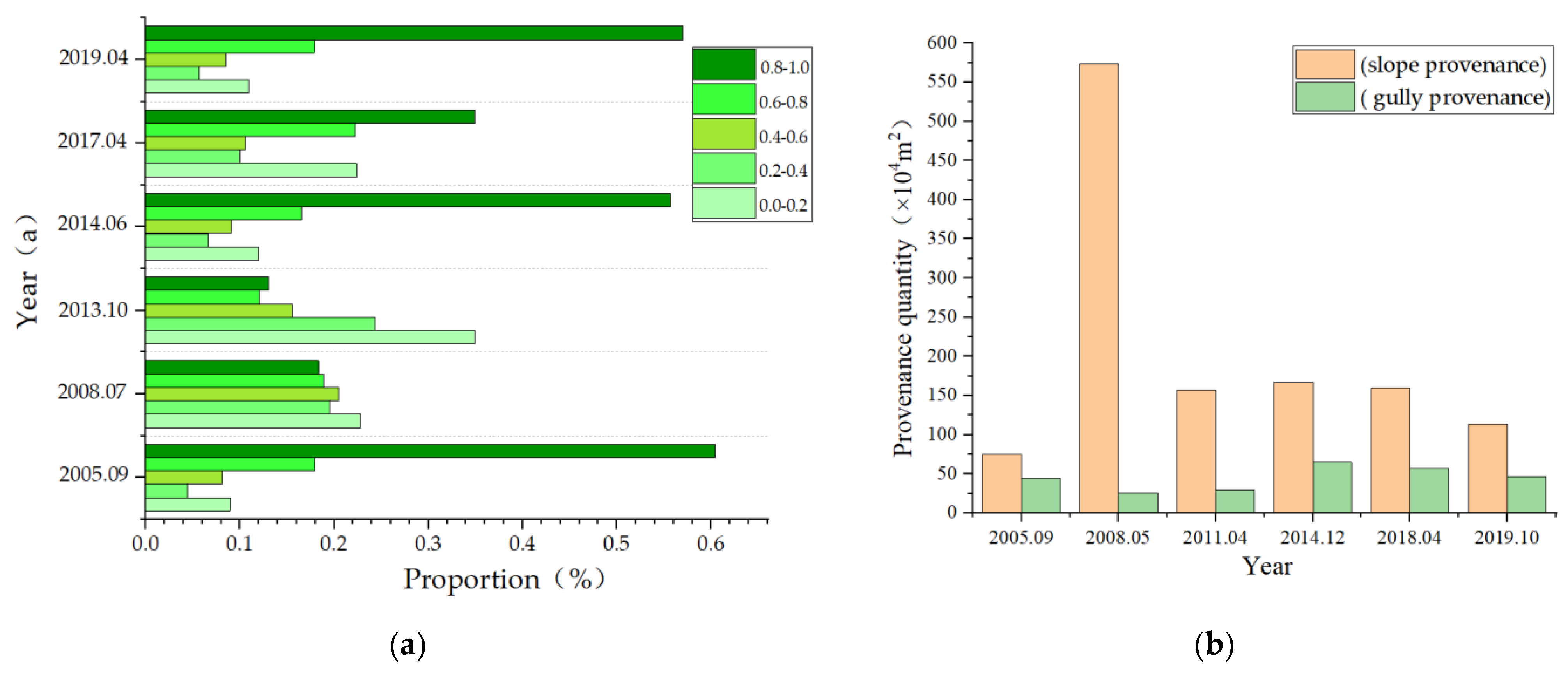
4.2. Spatiotemporal Evolution of Slope Provenance in the Qipan Gully
4.3. Evolution of Gully Provenance by Field Investigation
5. Results and Discussion
6. Conclusions
- In the early stage post-earthquake (2008–2013), the main material source of debris flow was slope provenance, and after 2018 it shifted to gully provenance. The absence of debris flow hazards from 2014 to 2018 was mainly due to the construction of block structures. In the assessment of the risk of debris flow, it is more realistic to take the blocking structures into account alongside significant factors such as dynamic variations in provenance and precipitation.
- Five blocking dams with a total storage capacity of 95.6 × 104 m3 were constructed in 2014 and the estimated annual dredging volume is 50.3 × 104 m3. Based on the field investigation and references, it is estimated that by 2019, within 11 years after the Wenchuan earthquake and through many outbreaks of debris flow and continuous dredging, about 781.3 × 104 m3 of the provenance of debris flow was discharged out of the gully mouth.
- Quickbird visual interpretation results indicate that the slope provenance pre-earthquake is 7.7 times that post-earthquake. Multi-type remote sensing information reveals that vegetation had recovered to the pre-earthquake level by 2019.
- It is more realistic to employ game theory combined with the cloud model to assess the hazard of debris flow in the Qipan gully, and this method could be used to dynamically assess hazards of the debris flow of a single gully.
Author Contributions
Funding
Institutional Review Board Statement
Informed Consent Statement
Data Availability Statement
Acknowledgments
Conflicts of Interest
References
- Dai, F.C.; Xu, C.; Yao, X.; Xu, L.; Tu, X.B.; Gong, Q.M. Spatial distribution of landslides triggered by the 2008 Ms. 8.0 Wenchuan earthquake, China. J. Asian Earth Sci. 2011, 40, 883–895. [Google Scholar] [CrossRef]
- Chang, M.; Tang, C.; Van Asch, T.W.; Cai, F. Hazard assessment of debris flows in the Wenchuan earthquake-stricken area South West China. Landslides 2017, 14, 1783–1792. [Google Scholar] [CrossRef]
- Fan, X.M.; Scaringi, G.; Domènech, G.; Yang, F.; Guo, X.J.; Dai, L.X.; He, C.Y.; Xu, Q.; Huang, R.Q. Two multi-temporal datasets that track the enhanced landsliding after the 2008 Wenchuan earthquake. Earth Syst. Sci. Data 2019, 11, 35–55. [Google Scholar] [CrossRef]
- Li, N.; Tang, C.; Zhang, X.Z.; Chang, M.; Shu, Z.L.; Bu, X.H. Characteristics of the disastrous debris flow of chediguan gully in yinxing town, Sichuan province, on August 20, 2019. Sci. Rep. 2021, 11, 23666. [Google Scholar] [CrossRef]
- Huang, R.Q. Geo-engineering lessons learned from the 2008 Wenchuan earthquake in Sichuan and their significance to reconstruction. J. Mt. Sci. 2011, 8, 176–189. [Google Scholar] [CrossRef]
- Yang, W.T.; Qi, W.W.; Zhou, J.X. Decreased post-seismic landslides linked to vegetation recovery after the 2008 Wenchuan earthquake. Ecol. Indic. 2018, 89, 438–444. [Google Scholar] [CrossRef]
- Fan, R.L.; Zhang, L.M.; Wang, H.J.; Fan, X.M. Evolution of debris flow activities in Gaojiagou Ravine during 2008–2016 after the Wenchuan earthquake. Eng. Geol. 2018, 235, 1–10. [Google Scholar] [CrossRef]
- Chen, M.; Tang, C.; Xiong, J.; Shi, Q.Y.; Li, N.; Gong, L.F.; Wang, X.D.; Tie, Y. The long-term evolution of landslide activity near the epicentral area of the 2008 Wenchuan earthquake in China. Geomorphology 2020, 367, 107317. [Google Scholar] [CrossRef]
- Yang, F.; Fan, X.; Siva Subramanian, S.; Dou, X.; Xiong, J.; Xia, B.; Yu, Z.; Xu, Q. Catastrophic debris flows triggered by the 20 August 2019 rainfall, a decade since the Wenchuan earthquake, China. Landslides 2021, 18, 3197–3212. [Google Scholar] [CrossRef]
- Fan, X.; Domènech, G.; Scaringi, G.; Huang, R.; Xu, Q.; Hales, T.C.; Dai, L.; Yang, Q.; Francis, O. Spatio-temporal evolution of mass wasting after the 2008 Mw 7.9 Wenchuan earthquake revealed by a detailed multi-temporal inventory. Landslides 2018, 15, 2325–2341. [Google Scholar] [CrossRef]
- Liu, J.F.; You, Y.; Chen, X.Q.; Chen, X.Z. Mitigation planning based on the prediction of river blocking by a typical large-scale debris flow in the Wenchuan earthquake area. Landslides 2016, 13, 1231–1242. [Google Scholar] [CrossRef]
- Wang, L.; Chang, M.; Le, J.; Xiang, L.L.; Ni, Z. Two multi-temporal datasets to track debris flow after the 2008 Wenchuan earthquake. Sci. Data 2022, 9, 525. [Google Scholar] [CrossRef]
- Tang, C.X.; Liu, X.L.; Cai, Y.H.; Van Westen, C.; Yang, Y.; Tang, H.; Yang, C.Z.; Tang, C. Monitoring of the reconstruction process in a high mountainous area affected by a major earthquake and subsequent hazards. Nat. Hazards Earth Syst. Sci. 2020, 20, 1163–1186. [Google Scholar] [CrossRef]
- Yuan, B.X.; Chen, W.J.; Zhao, J.; Li, L.J.; Liu, F.; Guo, Y.C.; Zhang, B.F. Addition of alkaline solutions and fibers for the reinforcement of kaolinite-containing granite residual soil. Appl. Clay Sci. 2022, 228, 106644. [Google Scholar] [CrossRef]
- Chen, M.; Tang, C.; Zhang, X.Z.; Xiong, J.; Chang, M.; Shi, Q.Y.; Wang, F.L.; Li, M.W. Quantitative assessment of physical fragility of buildings to the debris flow on 20 August 2019 in the Cutou gully, Wenchuan, southwestern China. Eng. Geol. 2021, 293, 106319. [Google Scholar] [CrossRef]
- Cui, P.; Xiang, L.Z.; Zou, Q. Risk assessment of highways affected by debris flows in Wenchuan earthquake area. J. Mt. Sci. 2013, 10, 173–189. [Google Scholar] [CrossRef]
- Li, Y.W.; Xu, L.R.; Gu, F.Y.; Su, N.; Zhang, L.L. Influence of disaster-pregnant factors on debris flow hazard. Earth Sci. 2022, 1–12. (In Chinese) [Google Scholar]
- Ouyang, C.J.; Wang, Z.W.; An, H.C.; Liu, X.R.; Wang, D.P. An example of a hazard and risk assessment for debris flows—A case study of Niwan Gully, Wudu, China. Eng. Geol. 2019, 263, 105351. [Google Scholar] [CrossRef]
- Yan, J.T.; Liu, S.G. Cloud model evaluation of autonomous capability of ground-attack UAV based on combined weighting. J. Beijing Univ. Aeronaut. Astronaut 2022, 1–14. [Google Scholar]
- Wang, M.W.; Wang, Y.; Shen, F.Q.; Jin, J.L. Projection pursuit method based on connection cloud model for assessment of debris flow disasters. J. Environ. Inform. 2023, 41, 118–129. [Google Scholar] [CrossRef]
- Yuan, B.X.; Chen, W.J.; Li, Z.H.; Zhao, J.; Luo, Q.Z.; Chen, W.W.; Chen, T.Y. Sustainability of the polymer SH reinforced recycled Granite Residual Soil: Properties, physicochemical mechanism and applications. J. Soils Sediments 2023, 23, 246–262. [Google Scholar] [CrossRef]
- Yin, L.Z.; Zhu, J.; Li, Y.; Zeng, C.; Zhu, Q.; Qi, H.; Liu, M.W.; Li, W.L.; Cao, Z.Y.; Yang, W.J.; et al. A virtual geographic environment for debris flow risk analysis in residential areas. ISPRS Int. J. Geo. Inf. 2017, 6, 377. [Google Scholar] [CrossRef]
- Xu, X.Y.; Wang, M.W.; Li, Y.F.; Zhang, L.B. Risk evaluation of debris flow hazard based on asymmetric connection cloud model. Math. Probl. Eng. 2017, 2017, 5348149. [Google Scholar] [CrossRef]
- Zhu, J.; Tang, C.; Chang, M.; Le, M.H.; Huang, X. Field Observations of the Disastrous 11 July 2013 Debris Flows in Qipan Gully, Wenchuan Area, Southwestern China. In Engineering Geology for Society and Territory—Volume 2; Springer: Berlin/Heidelberg, Germany, 2015; pp. 531–535. [Google Scholar]
- Hu, T.; Huang, R.Q. A catastrophic debris flow in the Wenchuan Earthquake area, July 2013: Characteristics, formation, and risk reduction. J. Mt. Sci. 2017, 14, 15–30. [Google Scholar] [CrossRef]
- Ding, M.T.; Huang, T. Vulnerability assessment of population in mountain settlements exposed to debris flow: A case study on Qipan gully, Wenchuan County, China. Nat. Hazards 2019, 99, 553–569. [Google Scholar] [CrossRef]
- Hu, X.D.; Yang, F.; Hu, K.H.; Ding, M.; Liu, S.; Wei, L. Estimating the debris-flow magnitude using landslide sediment connectivity, Qipan catchment, Wenchuan County, China. Catena 2023, 220, 106689. [Google Scholar] [CrossRef]
- Shi, Q.Y.; Tang, C.; Gong, L.F.; Chen, M.; Li, N.; Zhou, W.; Xiong, J.; Tang, H.; Wang, X.D.; Li, M.W. Activity evolution of landslides and debris flows after the Wenchuan earthquake in the Qipan catchment, Southwest China. J. Mt. Sci. 2021, 18, 932–951. [Google Scholar] [CrossRef]
- Investigation of Emergency Actions to Mitigate Debris Flow Hazards in the Qipan Gully, Wenchuan County, Aba Prefecture, Sichuan Province; Sichuan Shutong Geotechnical Engineering Co., Ltd.: Ya’an, China, 2013.
- Field Investigation Report on Emergency Management Project of Landslide and Debris Flow in the Qipan Gully in Wenchuan County, Aba Prefecture, Sichuan Province; Sichuan Huadi Construction Engineering Co., Ltd.: Chengdu, China, 2008.
- Yunus, A.P.; Fan, X.M.; Tang, X.L.; Jie, D.; Xu, Q.; Huang, R.Q. Decadal vegetation succession from MODIS reveals the spatio-temporal evolution of post-seismic landsliding after the 2008 Wenchuan earthquake. Remote Sens. Environ. 2020, 236, 111476. [Google Scholar] [CrossRef]
- Chen, M.; Tang, C.; Li, M.W.; Xiong, J.; Luo, Y.T.; Shi, Q.Y.; Zhang, X.Z.; Tie, Y.; Feng, Q. Changes of surface recovery at coseismic landslides and their driving factors in the Wenchuan earthquake-affected area. Catena 2022, 210, 105871. [Google Scholar] [CrossRef]
- Chen, C.-C.; Tseng, C.-Y.; Dong, J.-J. New entropy-based method for variables selection and its application to the debris-flow hazard assessment. Eng. Geol. 2007, 94, 19–26. [Google Scholar] [CrossRef]
- Li, J.Q.; Fan, T.C.; Zhou, Y.R.; Fang, Q. Comprehensive evaluation on capability of civil aviation supervisor team based on cloud model. J. Beijing Univ. Aeron. Astron 2022, 48, 2425–2433. (In Chinese) [Google Scholar]
- Tang, J.W.; Wang, D.; Ye, W.; Dong, B.; Yang, H.J. Safety Risk Assessment of Air Traffic Control System Based on the Game Theory and the Cloud Matter Element Analysis. Sustainability 2022, 14, 6258. [Google Scholar] [CrossRef]
- Zou, Q.; Liao, L.; Qin, H. Fast Comprehensive Flood Risk Assessment Based on Game Theory and Cloud Model Under Parallel Computation (P-GT-CM). Water Resour. Manag. 2020, 34, 1625–1648. [Google Scholar] [CrossRef]
- Cao, C.; Xu, P.H.; Chen, J.P.; Zheng, L.J.; Niu, C.C. Hazard assessment of debris-flow along the baicha river in Heshigten Banner, Inner Mongolia, China. Int. J. Environ. Res. Public Health 2017, 14, 30. [Google Scholar] [CrossRef]
- Zhang, X.Z.; Tang, C.X.; Li, N.; Xiong, J.; Chen, M.; Li, M.W.; Tang, C. Investigation of the 2019 Wenchuan County debris flow disaster suggests nonuniform spatial and temporal post-seismic debris flow evolution patterns. Landslides 2022, 19, 1935–1956. [Google Scholar] [CrossRef]
- Yuan, Y.D. Starting Mechanism of “Wide and Gentle” Channel Source in Strong Earthquake Zone and Research on Evaluation of Dynamic Reserves: Taking QiPan Ditch as an Example; Southwest University of Science and Technology: Mianyang, China, 2020. [Google Scholar]
- Egbueri, J.C.; Igwe, O. Development of a novel numerical indicator (DLPI) for assessing the detachability and liquefaction potentials of soils in erosion-prone areas. Model Earth Syst. Environ. 2021, 7, 2407–2429. [Google Scholar] [CrossRef]
- Zhang, W.T.; Liu, J.F.; You, Y.; Sun, H.; Yang, H.Q.; Lu, M. Damage evaluation of control works against debris flow: A case study in Wenchuan area. J. Geol. Hazard Control 2022, 33, 77–83. (In Chinese) [Google Scholar]
- Zhang, W.T.; Liu, J.F.; You, Y.; Sun, H.; Yang, H.Q.; Lu, M. Analysis and Evaluation of the Treatment Effect of the Geotechnical Engineering of Debris Flow: Case of Xingfu Gully in Wolong. J. Catastrophology 2021, 36, 208–214. (In Chinese) [Google Scholar]
- Fan, X.M.; Juang, C.H.; Wasowski, J.; Huang, R.Q.; Xu, Q.; Scaringi, G.; van Westend, C.J.; Havenith, H.B. What we have learned from the 2008 Wenchuan Earthquake and its aftermath: A decade of research and challenges. Eng. Geol. 2018, 241, 25–32. [Google Scholar] [CrossRef]









| Time | Daily Precipitation (mm) | Debris Flow Volume (104 m3) | Damage | General Situations of the Projects |
|---|---|---|---|---|
| 1933 | Missing data | Missing data | Destroyed 1 village (Xuehuatan). | / |
| 6 July 1961 | 79.9 | 13.5 | Destroyed 1 bridge, roadbed of 0.4 km; traffic interruption of 15 days. | / |
| 23 July 1964 | 41.7 | 9.1 | Destroyed 3 bridges, roadbed of 4 km; buried farmland of 4.0 hectares. | / |
| 28 July 1970 | 33.0 | 5.8 | Destroyed 4 bridges, roadbed of 5 km; buried farmland of 5.3 hectares. | / |
| 24 July 1971 | 53.4 | 8.4 | Destroyed 5 bridges, roadbed of 8 km; buried farmland of 8.0 hectares. | / |
| 29 July 1975 | 32.5 | 9.8 | Destroyed a roadbed of 4 km; buried farmland of 2.7 hectares. | / |
| 7 July 1977 | 39.4 | 5.8 | Destroyed 5 bridges, a roadbed of 4 km, and 1 drainage channel. | / |
| 15 July 1978 | 66.7 | 13.5 | Destroyed 4 km of forest road, 5 bridges, and the entire old drainage channel, endangered factory safety with a direct economic loss of 49,000 yuan. | / |
| 15 August 1979 | 30.8 | 3.8 | No damage. | / |
| 26 July 1980 | Missing data | 5.4 | No damage. | Drainage channel with a length of 3200 m |
| 12 August 1981 | 53.8 | 6.7 | No damage. | / |
| 19 July 1983 | 31.3 | 2.3 | No damage. | / |
| 12 May 2008 | Missing data | Missing data | Missing data | Forementioned drainage channel damaged |
| 11 July 2013 | 54.3 | 78.2 | 8 people died, 6 people went missing, and 90% of the houses of residents in the area downstream were completely devastated. | Forementioned projects destroyed |
| 2014-6 | / | / | / | 5 blocking dams and compound drainage channel |
| 5 July 2017 | 18.6 | 18.5 | No damage. | / |
| 22 August 2018 | 33.4 | 11.5 | No damage. | / |
| 20 August 2019 | 28.1 | 15 | No damage. | / |
| Year | X1 (104 km2) | X2 (104 km2) | X3 (104 m3) | X4 (times/50 years) | X5 (mm) | X6 (km2) | X7 (km) | X8 (km) | X9 (km·km−2) | X10 (%) | X11 (%) | X12 | X13 | X14 (Population/km2) |
|---|---|---|---|---|---|---|---|---|---|---|---|---|---|---|
| 2005 | 75 | 34 | 5 | 20 | 26 | 54.2 | 15.2 | 3.04 | 2.12 | 60 | 40 | 0 | 0 | 90 |
| 2008 | 574 | 26 | 8 | 22 | 34 | 54.2 | 15.2 | 3.04 | 2.12 | 18 | 9 | 0 | 0 | 65 |
| 2011 | 157 | 32 | 8 | 24 | 38.3 | 54.2 | 15.2 | 3.04 | 2.12 | 24 | 15 | 0 | 0 | 135 |
| 2013 | 581 | 54 | 78.2 | 25 | 54.3 | 54.2 | 15.2 | 3.04 | 2.12 | 13 | 17 | 0 | 0 | 135 |
| 2018 | 149 | 37 | 11.5 | 27 | 33.4 | 54.2 | 15.2 | 3.04 | 2.12 | 34 | 30 | 0.6 | 0.8 | 165 |
| 2019 | 114 | 33 | 15 | 28 | 28.1 | 54.2 | 15.2 | 3.04 | 2.12 | 57 | 37 | 0.6 | 0.7 | 185 |
| Category | I | II | III | IV | V |
|---|---|---|---|---|---|
| X1 | [0~25] | [25~50] | [50~100] | [100~250] | [250~1000] |
| X2 | [0~10] | [10~20] | [20~30] | [30~40] | [40~60] |
| X3 | [0~1] | [1~5] | [5~10] | [10~100] | [100~700] |
| X4 | [0~5] | [5~10] | [10~20] | [20~100] | [100~150] |
| X5 | [0~25] | [25~50] | [50~75] | [50~100] | [100~500] |
| X6 | [0~0.5] | [0.5~5] | [5~15] | [15~35] | [35~70] |
| X7 | [0~1] | [1~2] | [2~5] | [5~10] | [10~50] |
| X8 | [0~0.2] | [0.2~0.5] | [0.5~0.7] | [0.7~1.0] | [1.0~6.0] |
| X9 | [0~2] | [2~5] | [5~10] | [10~20] | [20~100] |
| X10 | [80~100] | [80~60] | [60~40] | [20~40] | [0~20] |
| X11 | [80~100] | [80~60] | [60~40] | [20~40] | [0~20] |
| X12 [41] * | [0.8~1] | [0.6~0.8] | [0.4~0.6] | [0.2~0.4] | [0~0.2] |
| X13 [42] * | [0.8~1] | [0.6~0.8] | [0.4~0.6] | [0.2~0.4] | [0~0.2] |
| X14 | [0~20] | [20~50] | [50~100] | [100~200] | [200~3000] |
| Year | Risk Assessment Value | Risk Grade | ||||
|---|---|---|---|---|---|---|
| Ⅰ | Ⅱ | Ⅲ | Ⅳ | Ⅴ | ||
| 2005 | 0.0009 | 0.0046 | 0.2282 | 0.1015 | 0.0237 | moderate risk |
| 2008 | 0.0002 | 0.0126 | 0.0489 | 0.0011 | 0.1572 | extremely high risk |
| 2011 | 0.0019 | 0.0019 | 0.0752 | 0.1430 | 0.0936 | high risk |
| 2013 | 0.0001 | 0.0002 | 0.0245 | 0.1327 | 0.1657 | extremely high risk |
| 2018 | 0.0235 | 0.1280 | 0.0000 | 0.2366 | 0.0006 | high risk |
| 2019 | 0.0007 | 0.3534 | 0.0084 | 0.1210 | 0.0005 | low risk |
Disclaimer/Publisher’s Note: The statements, opinions and data contained in all publications are solely those of the individual author(s) and contributor(s) and not of MDPI and/or the editor(s). MDPI and/or the editor(s) disclaim responsibility for any injury to people or property resulting from any ideas, methods, instructions or products referred to in the content. |
© 2023 by the authors. Licensee MDPI, Basel, Switzerland. This article is an open access article distributed under the terms and conditions of the Creative Commons Attribution (CC BY) license (https://creativecommons.org/licenses/by/4.0/).
Share and Cite
Su, N.; Xu, L.; Yang, B.; Li, Y.; Gu, F. Risk Assessment of Single-Gully Debris Flow Based on Dynamic Changes in Provenance in the Wenchuan Earthquake Zone: A Case Study of the Qipan Gully. Sustainability 2023, 15, 12098. https://doi.org/10.3390/su151512098
Su N, Xu L, Yang B, Li Y, Gu F. Risk Assessment of Single-Gully Debris Flow Based on Dynamic Changes in Provenance in the Wenchuan Earthquake Zone: A Case Study of the Qipan Gully. Sustainability. 2023; 15(15):12098. https://doi.org/10.3390/su151512098
Chicago/Turabian StyleSu, Na, Linrong Xu, Bo Yang, Yongwei Li, and Fengyu Gu. 2023. "Risk Assessment of Single-Gully Debris Flow Based on Dynamic Changes in Provenance in the Wenchuan Earthquake Zone: A Case Study of the Qipan Gully" Sustainability 15, no. 15: 12098. https://doi.org/10.3390/su151512098
APA StyleSu, N., Xu, L., Yang, B., Li, Y., & Gu, F. (2023). Risk Assessment of Single-Gully Debris Flow Based on Dynamic Changes in Provenance in the Wenchuan Earthquake Zone: A Case Study of the Qipan Gully. Sustainability, 15(15), 12098. https://doi.org/10.3390/su151512098

