Comparative Analysis of Helical Piles and Granular Anchor Piles for Foundation Stabilization in Expansive Soil: A 3D Numerical Study
Abstract
1. Introduction
2. Numerical Analysis
2.1. Plaxis Validation
- Triaxial Loading Stiffness (E50) represents the stiffness of the soil during triaxial loading conditions.
- Triaxial Unloading–Reloading Stiffness (Eur) represents the stiffness of the soil during the unloading and reloading phases in triaxial tests.
- Oedometer Loading Modulus (Eoed) represents the stiffness of the soil during oedometer loading tests.
2.1.1. Heave
- In the first phase, a borehole was created to facilitate the installation of the granular anchor pile. This entailed deactivating the corresponding soil volume and subsequently activating the anchor plate, anchor rod, and granular anchor material.
- The second phase involved the activation of the footing plate on the expansive soil within the model.
- Finally, in the third phase, a suitable volumetric strain was applied to the expansive soil volume to accurately simulate heave behavior.

- In the first phase, a borehole was created to facilitate the installation of the prefabricated model pile. This entailed deactivating the corresponding soil volume and subsequently activating the prefabricated model pile.
- In the second phase, the load of 500 N applied to the pile head was activated.
- Finally, in the third phase, a suitable volumetric strain (7.6%) was applied to the expansive soil volume from top to bottom to accurately simulate heave phenomena as it was in the laboratory.

2.1.2. Pullout
2.1.3. Compressive Behavior
- In the first phase, the helical pile was activated, involving deactivating the corresponding soil, followed by activating anchor plates, anchor rods, and disturbed soils of layer 1 and layer 2.
- In the second phase, a downward prescribed displacement of 40 mm on the pile head was activated.

2.2. Problem Description
2.3. Methodology
Boundary and Initial Conditions
- Phase 1: In this phase, a borehole is created to facilitate the installation of either the helical or granular anchor pile. The process involves deactivating the respective soil volume, followed by the activation of the anchor plate, anchor rod, and granular anchor material or disturbed sand and clay, as required.
- Phase 2: The footing plate is activated.
- Phase 3: The third phase entails applying a load of 40 kN to the footing.
- Phase 4: In the fourth phase, a suitable volumetric strain is applied to the expansive soil volume in the model input window, specifically from top to bottom, as demonstrated in Figure 15.
- Phase 5: The fifth phase commences after the third phase, where the same volumetric strain of 8% is applied in the reverse direction, i.e., from bottom to top, as depicted in Figure 15.
- Phase 6: Following the second phase, the sixth phase involves activating an upward prescribed displacement of 25 mm on the surface footing is activated to calculate the upward load.
- Phase 7: Lastly, in the seventh phase, which also commences after the second phase, a downward prescribed displacement of 25 mm on the surface footing is activated to calculate the downward load.

3. Results and Discussion
3.1. Effect of Pile Length (L) and Diameter (D)
3.1.1. Impact of Pile Length (L) and Diameter (D) on Pullout Behavior
3.1.2. Impact of Pile Length (L) and Diameter (D) on Compressive Load
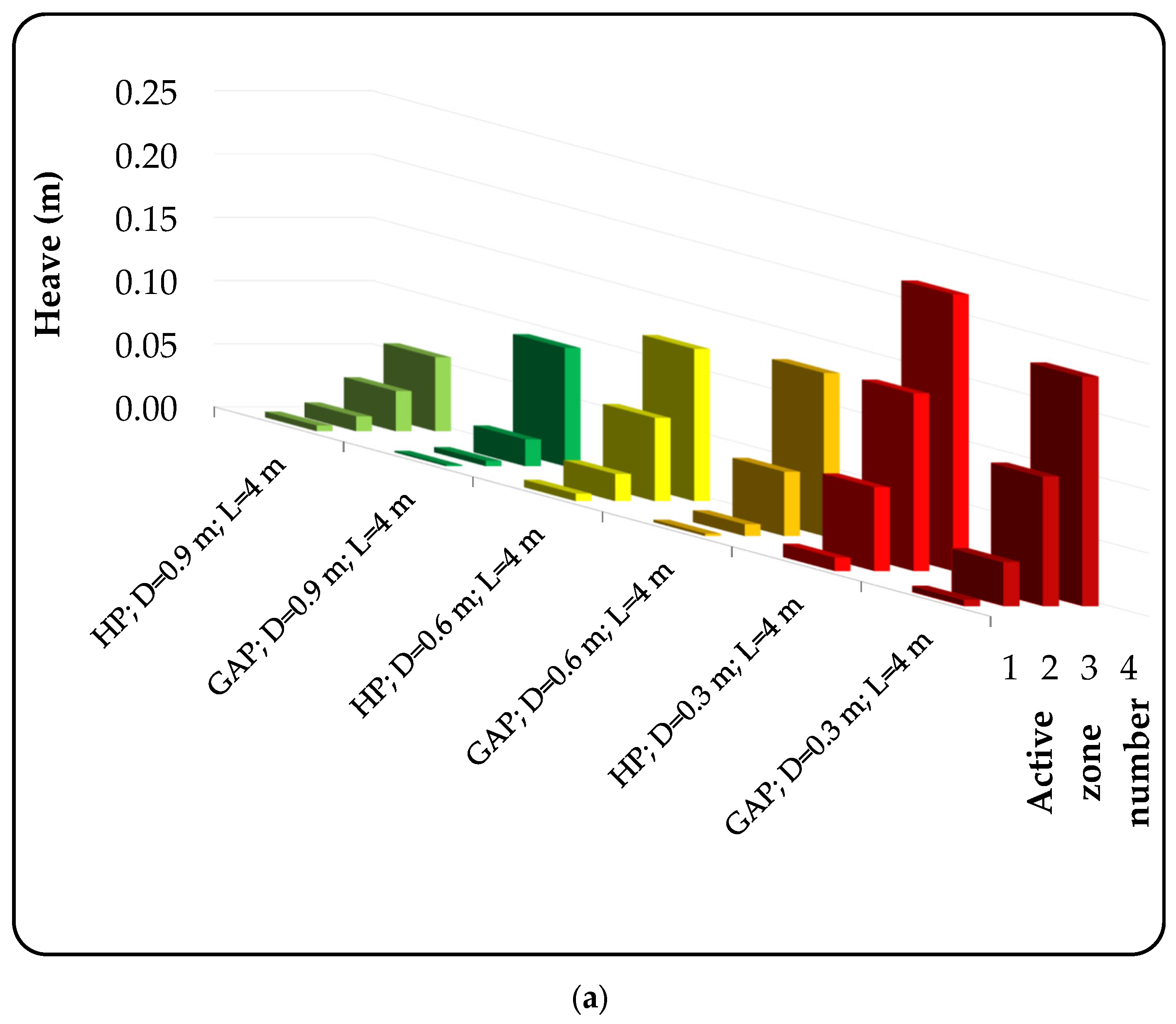
3.1.3. Impact of Pile Length (L) and Diameter (D) on Heave
Starting Saturation from the Top (Case 1)
Starting Saturation from the Bottom of Active Soil (Case 2)
3.2. Effect of Cap Width (B)
3.3. High-Rise Pile Cap
3.3.1. Influence of High-Rise Pile Cap on the Pull-Out Load
3.3.2. Effect of High-Rise Pile Cap on the Compressive Load
3.3.3. Effect of High-Rise Pile Caps on Heave
3.4. Effect of Relative Density of Granular Material on Granular Anchor Pile Behavior
3.4.1. Influence of Relative Density of Granular Material on the Pullout Load
3.4.2. Effect of Relative Density of Granular Material on the Compressive Load
3.4.3. Effect of Relative Density of Granular Material on the Heave
Starting Saturation from the Top (Case 1)
Starting Saturation from the Bottom of Active Soil (Case 2)
4. Conclusions
- Comparative Performance of Anchor Techniques:
- GAP outperformed HP in pullout and compressive load resistance, with improvements of 17–22.5% and 0.5–19%, respectively, depending on the specific pile length and diameters examined.
- Both GAP and HP were effective in reducing heave, with reductions exceeding 90% under certain conditions.
- High-rise cap piles exhibited significant reductions in heave compared to low-rise cap piles.
- Influence of Length, Diameter, and Cap Width:
- Increasing pile length improved pullout and compressive load resistance.
- Enlarging pile diameter enhanced frictional resistance, but beyond 0.6 m, further increases had diminishing returns.
- Increasing cap width improved pullout and compressive bearing capacities but led to elevated heave. To address the challenge of significant heave associated with large-sized pile caps or mats, a potential strategy involves elevating these caps above the expansive soil, known as a high-rise pile cap.
- Influence of Relative Density:
- Higher relative density of the granular material increased upward load capacity, with observed increases of 19% and 24% in 25 mm movement for pile lengths of 4 m and 7 m, respectively.
- Higher relative density slightly improved compressive load for both 4 m and 7 m pile lengths. The compressive load demonstrated marginal increments of 3% and 6.4% for the respective pile lengths.
- Higher relative densities are recommended for significant embedment depth.
Author Contributions
Funding
Informed Consent Statement
Conflicts of Interest
References
- Stoll, S.C.; Henning, S.R.; Bagley, A.D.; Wieghaus, K.T. Foundation Damage Assessments and Structural Repairs. In Forensic Engineering; American Society of Civil Engineers: Denver, CO, USA, 2022; pp. 166–174. ISBN 9780784484548. [Google Scholar]
- Baer, D.H. Building Losses from Natural Hazards: Yesterday, Today and Tomorrow; JH Wiggins Co.: Redondo Beach, CA, USA, 1978. [Google Scholar]
- Devkota, B.; Karim, M.R.; Rahman, M.M.; Nguyen, H.B.K. Accounting for Expansive Soil Movement in Geotechnical Design—A State-of-the-Art Review. Sustainability 2022, 14, 15662. [Google Scholar] [CrossRef]
- Bowles, J.E. Foundation Analysis and Design; McGraw-Hills Inc.: New York, NY, USA, 1988; ISBN 0070067767. [Google Scholar]
- McOmber, R.M.; Thompson, R.W. Verification of Depth of Wetting for Potential Heave Calculations. In Advances in Unsaturated Geotechnics; ASCE: Reston, VA, USA, 2000; pp. 409–422. [Google Scholar]
- Nelson, J.D.; Overton, D.D.; Durkee, D.B. Depth of Wetting and the Active Zone. In Expansive Clay Soils and Vegetative Influence on Shallow Foundations; ASCE: Reston, VA, USA, 2001; pp. 95–109. [Google Scholar]
- Walsh, K.D.; Colby, C.A.; Houston, W.N.; Houston, S.L. Method for Evaluation of Depth of Wetting in Residential Areas. J. Geotech. Geoenviron. Eng. 2009, 135, 169–176. [Google Scholar] [CrossRef]
- Teodosio, B.; Kristombu Baduge, K.S.; Mendis, P. A Review and Comparison of Design Methods for Raft Substructures on Expansive Soils. J. Build. Eng. 2021, 41, 102737. [Google Scholar] [CrossRef]
- Ijaz, N.; Ye, W.; ur Rehman, Z.; Dai, F.; Ijaz, Z. Numerical Study on Stability of Lignosulphonate-Based Stabilized Surficial Layer of Unsaturated Expansive Soil Slope Considering Hydro-Mechanical Effect. Transp. Geotech. 2022, 32, 100697. [Google Scholar] [CrossRef]
- Fulzele, U.G.; Ghane, V.R.; Parkhe, D.D. Study of Structures in Black Cotton Soil. In Proceedings of the IRF International Conferece on Advances Sciences Engineering & Technology, Pune, India, 16 October 2016; Volume 4. ISBN 978-93-86291-14-1. [Google Scholar]
- Zamin, B.; Nasir, H.; Mehmood, K.; Iqbal, Q. Field-Obtained Soil-Water Characteristic Curves of KPK Expansive Soil and Their Prediction Correlations. Adv. Civ. Eng. 2020, 2020, 4039134. [Google Scholar] [CrossRef]
- Dang, L.C.; Khabbaz, H.; Ni, B.J. Improving Engineering Characteristics of Expansive Soils Using Industry Waste as a Sustainable Application for Reuse of Bagasse Ash. Transp. Geotech. 2021, 31, 100637. [Google Scholar] [CrossRef]
- Medina-Martinez, C.J.; Sandoval-Herazo, L.C.; Zamora-Castro, S.A.; Vivar-Ocampo, R.; Reyes-Gonzalez, D. Natural Fibers: An Alternative for the Reinforcement of Expansive Soils. Sustainability 2022, 14, 9275. [Google Scholar] [CrossRef]
- Taleb, T.; Unsever, Y.S. Study on Strength and Swell Behavioral Change and Properties of the Clay—Fiber Mixtures. Sustainability 2022, 14, 6767. [Google Scholar] [CrossRef]
- Tiwari, N.; Satyam, N.; Puppala, A.J. Effect of Synthetic Geotextile on Stabilization of Expansive Subgrades: Experimental Study. J. Mater. Civ. Eng. 2021, 33, 04021273. [Google Scholar] [CrossRef]
- Tiwari, N.; Satyam, N. Coupling Effect of Pond Ash and Polypropylene Fiber on Strength and Durability of Expansive Soil Subgrades: An Integrated Experimental and Machine Learning Approach. J. Rock Mech. Geotech. Eng. 2021, 13, 1101–1112. [Google Scholar] [CrossRef]
- Tiwari, N.; Satyam, N.; Puppala, A.J. Strength and Durability Assessment of Expansive Soil Stabilized with Recycled Ash and Natural Fibers. Transp. Geotech. 2021, 29, 100556. [Google Scholar] [CrossRef]
- Li, H.; Wang, Y.; Yin, Z.; Al-Soudani, W.H.S.; Fattah, M.Y.; Ziyara, H.M.; Albusoda, B.S. An Experimental Study of the Load Carrying Capacity of Straight Shaft and Underreamed Piles in Expansive Soil. IOP Conf. Ser. Mater. Sci. Eng. 2021, 1067, 012050. [Google Scholar] [CrossRef]
- Onur, M.İ.; Bıçakcı, M.; Kardoğan, P.S.Ö.; Erdağ, A.; Aghlmand, M. Laboratory Model Design for Deep Soil Mixing Method. Adv. Civ. Archit. Eng. 2022, 13, 59–69. [Google Scholar] [CrossRef]
- El-Samea, A.; Hassan, W.; Mowafy, Y.M.; El-Naiem, A.; Abdo, M.; Towfeek, A.R. Numerical Analysis of Shallow Foundation on Expansive Soil. J. Al Azhar Univ. Eng. Sect. 2022, 17, 480–501. [Google Scholar] [CrossRef]
- Mansour, M.A.; El Naggar, M.H. Optimization of Grouting Method and Axial Performance of Pressure-Grouted Helical Piles. Can. Geotech. J. 2021, 59, 702–714. [Google Scholar] [CrossRef]
- Ziyara, H.M.; Albusoda, B.S. Experimental and Numerical Study of the Bulb’s Location Effect on the Behavior of under-Reamed Pile in Expansive Soil. J. Mech. Behav. Mater. 2022, 31, 90–97. [Google Scholar] [CrossRef]
- Roy, R.; Rao, C.N.; Mouli, S.S. Evaluation of Heave Behavior by Numerical Modeling of Granular Pile Anchor in Expansive Soil. Lect. Notes Civ. Eng. 2023, 297, 103–115. [Google Scholar]
- Department of the Army USA Technical Manual. TM 5–818–7, Foundations in Expansive Soils 1983. Available online: https://armypubs.army.mil/epubs/DR_pubs/DR_a/pdf/web/tm5_818_7.pdf (accessed on 30 December 2022).
- Das, B.M.; Shukla, S.K. Earth Anchors, 2nd ed.; J. Ross Publishing: Plantation, FL, USA, 2013; ISBN 978-1-60427-077-8. [Google Scholar]
- Li, W. Centrifuge Modeling and Large Deformation Analyses of Axially Loaded Helical Piles in Cohesive Soils. Ph.D. Thesis, University of Alberta, Edmonton, AB, Canada, 2022. [Google Scholar]
- Venkatesan, V.; Mayakrishnan, M. Behavior of Mono Helical Pile Foundation in Clays under Combined Uplift and Lateral Loading Conditions. Appl. Sci. 2022, 12, 6827. [Google Scholar] [CrossRef]
- Malhotra, H.; Sanjay; Singh, K. Effect of Load Inclination on the Uplift Capacity of the Granular Anchor Pile Foundation in Cohesive Soil. Arab. J. Geosci. 2022, 15, 1088. [Google Scholar] [CrossRef]
- Yu, H.; Zhou, H.; Sheil, B.; Liu, H. Finite Element Modelling of Helical Pile Installation and Its Influence on Uplift Capacity in Strain Softening Clay. Can. Geotech. J. 2022, 59, 2050–2066. [Google Scholar] [CrossRef]
- Aljorany, A.N.; Ibrahim, S.F.; Al-Adly, A.I. Heave Behavior of Granular Pile Anchor-Foundation System (GPA-Foundation System) in Expansive Soil. J. Eng. 2014, 20, 213–222. [Google Scholar] [CrossRef]
- Rao, A.S.; Phanikumar, B.R.; Babu, R.D.; Suresh, K. Pullout Behavior of Granular Pile-Anchors in Expansive Clay Beds in Situ. J. Geotech. Geoenvironmental Eng. 2007, 133, 531–538. [Google Scholar] [CrossRef]
- Phanikumar, B.R.; Srirama Rao, A.; Suresh, K. Field Behaviour of Granular Pile-Anchors in Expansive Soils. Proc. Inst. Civ. Eng. Ground Improv. 2008, 161, 199–206. [Google Scholar] [CrossRef]
- Phanikumar, B.R.; Sharma, R.S.; Rao, A.S.; Madhav, M.R. Granular Pile Anchor Foundation (GPAF) System for Improving the Engineering Behavior of Expansive Clay Beds. Geotech. Test. J. 2004, 27, 279–287. [Google Scholar] [CrossRef]
- Vashishtha, H.R.; Sawant, V.A. An Experimental Investigation for Pullout Response of a Single Granular Pile Anchor in Clayey Soil. Int. J. Geo. Eng. 2021, 12, 35. [Google Scholar] [CrossRef]
- Srirama Rao, A.; Phanikumar, B.R.; Suresh, K. Response of Granular Pile-Anchors under Compression. Proc. Inst. Civ. Eng. Ground Improv. 2008, 161, 121–129. [Google Scholar] [CrossRef]
- Ismail, M.; Shahin, M. Finite Element Analyses of Granular Pile Anchors as a Foundation Option for Reactive Soils. In Proceedings of the International Conference on Advances in Geotechnical Engineering, Perth, Australia, 7–9 November 2011; Australian Geomechanics Society: Perth, Australia, 2011; pp. 1047–1052. [Google Scholar]
- Sivakumar, V.; O’Kelly, B.C.; Madhav, M.R.; Moorhead, C.; Rankin, B. Granular Anchors under Vertical Loading–Axial Pull. Can. Geotech. J. 2013, 50, 123–132. [Google Scholar] [CrossRef]
- Krishna, P.H.; Murty, V.R. Pull-out Capacity of Granular Anchor Piles in Expansive Soils. IOSR J. Mech. Civ. Eng. 2013, 5, 24–31. [Google Scholar] [CrossRef]
- Johnson, N.; Sandeep, M.N. Ground Improvement Using Granular Pile Anchor Foundation. Procedia Technol. 2016, 24, 263–270. [Google Scholar] [CrossRef]
- Muthukumar, M.; Shukla, S.K. Comparative Study on the Behaviour of Granular Pile Anchors and Helical Pile Anchors in Expansive Soils Subjected to Swelling. Int. J. Geotech. Eng. 2017, 14, 49–54. [Google Scholar] [CrossRef]
- Muthukumar, M.; Shukla, S.K. Swelling Behaviour of Expansive Clay Beds Reinforced with Encased Granular Pile Anchors. Int. J. Geotech. Eng. 2016, 12, 109–117. [Google Scholar] [CrossRef]
- Abbas, H.O. Laboratory Study on Reinforced Expansive Soil with Granular Pile Anchors. Int. J. Eng. 2020, 33, 1167–1172. [Google Scholar] [CrossRef]
- Sharma, A.; Sharma, R.K. An Experimental Study on Uplift Behaviour of Granular Anchor Pile in Stabilized Expansive Soil. Int. J. Geotech. Eng. 2021, 15, 950–963. [Google Scholar] [CrossRef]
- Khan, H.A.; Gaddam, K. An Experimental Study on Heave and Uplift Behaviour of Granular Pile Anchor Foundation System. IOP Conf. Ser.: Earth Environ. Sci. 2021, 822, 012038. [Google Scholar] [CrossRef]
- Pack, J.S. Performance of Square Shaft Helical Pier Foundations in Swelling Soils. Geotech. Pract. Publ. 2007, 76–85. [Google Scholar] [CrossRef]
- Chao, K.C.; Nelson, J.D.; Overton, D.D. Factors Influencing Design of Deep Foundations on Expansive Soils. In Proceedings of the 5th Asia Pacific Conference on Unsaturated Soils, Pattaya, Thailand, 14–16 November 2011; Volume 2, pp. 829–834. [Google Scholar]
- Al-Busoda, B.S.; Abbase, H.O. Mitigation of Expansive Soil Problems by Using Helical Piles with Additives. J. Geotech. Eng. 2015, 2, 30–40. [Google Scholar]
- Al-Busoda, B.S.; Abbase, H.O. Helical Piles Embedded in Expansive Soil Overlaying Sandy Soil. Al Khwarizmi Eng. J. 2016, 12, 19–25. [Google Scholar]
- Albusoda, B.S.; Abbase, H.O. Performance Assessment of Single and Group of Helical Piles Embedded in Expansive Soil. Int. J. Geo. Eng. 2017, 8, 25. [Google Scholar] [CrossRef]
- Mulyanda, D.; Iqbal, M.M.; Dewi, R. The Effect Of Helical Size On Uplift Pile Capacity. Int. J. Sci. Technol. Res. 2020, 9, 4140–4145. [Google Scholar]
- Joseph, J.; Kumar, S.; Sawant, V.A.; Patel, J.B. An Experimental and Numerical Comparative Study on the Uplift Capacity of Single Granular Pile Anchor and Rough Pile in Sand. Int. J. Geotech. Eng. 2021, 16, 499–513. [Google Scholar] [CrossRef]
- Alwalan, M.; Alnuaim, A. Axial Loading Effect on the Behavior of Large Helical Pile Groups in Sandy Soil. Arab. J. Sci. Eng. 2022, 47, 5017–5031. [Google Scholar] [CrossRef]
- Mahmoudi-Mehrizi, M.E.; Ghanbari, A.; Sabermahani, M. The Study of Configuration Effect of Helical Anchor Group on Retaining Wall Displacement. Geomech. Geoengin. 2020, 17, 598–612. [Google Scholar] [CrossRef]
- Lin, Y.; Xiao, J.; Le, C.; Zhang, P.; Chen, Q.; Ding, H. Bearing Characteristics of Helical Pile Foundations for Offshore Wind Turbines in Sandy Soil. J. Mar. Sci. Eng. 2022, 10, 889. [Google Scholar] [CrossRef]
- Chaghameh, A.; Arjomand, M.; Adresi, M. Screw Pile and Its Application in Road’s Subgrade Improvement. Road 2022, 30, 197–206. [Google Scholar]
- Joseph, J.; Kumar, S.; Patel, J.B.; Sawant, V.; Tandel, Y. Model Tests on Granular Pile Anchor and Helical Anchor: A Comparative Study. Int. J. Geosynth. Ground Eng. 2022, 8, 44. [Google Scholar] [CrossRef]
- Sabatini, P.J.; Pass, D.G.; Bachus, R.C.; Consultants, G. Ground Anchors and Anchored Systems; Office of Bridge Technology, Federal Highway Administration: Washington, DC, USA, 1999. [Google Scholar]
- Al-Busoda, B.S.; Awn, S.H.A.; Abbase, H.O. Numerical Modeling of Retaining Wall Resting on Expansive Soil. Geotech. Eng. J. SEAGS AGSSEA 2017, 48, 116–121. [Google Scholar]
- Al-Busoda, B.S.; Abbas, H.O. Numerical Simulation of Mitigation of Soil Swelling Problem under Communication Tower Using Helical Piles. J. Geotech. Eng. 2017, 4, 35–46. [Google Scholar]
- Alsirawan, R.; Alnmr, A. Dynamic Behavior of Gravity Segmental Retaining Walls. Pollack Period. 2022, 18, 94–99. [Google Scholar] [CrossRef]
- Law, K.H.; Geotechnical, K.H.; Bhd, S. 3D Finite Element Analysis of a Deep Excavation Considering the Effect of Anisotropic Wall Stiffness Impact. In Proceedings of the 19th Southeast Asian Geotechnical Conference & 2nd AGSSEA Conference (19SEAGC & 2AGSSEA), Kuala Lumpur, Malaysia, 31 May–3 June 2016; 6p. [Google Scholar]
- Al-Ani, W.; Wanatowski, D.; Chan, S.H. Numerical Analysis of Piled Embankments on Soft Soils. In Proceedings of the Geo. Shanghai, Shanghai, China, 5 May 2014; American Society of Civil Engineers (ASCE): Reston, VA, USA; pp. 30–39. [Google Scholar]
- Hsiung, B.C.B.; Yang, K.H.; Aila, W.; Ge, L. Evaluation of the Wall Deflections of a Deep Excavation in Central Jakarta Using Three-Dimensional Modeling. Tunn. Undergr. Space Technol. 2018, 72, 84–96. [Google Scholar] [CrossRef]
- Alnmr, A. Material Models to Study the Effect of Fines in Sandy Soils Based on Experimental and Numerical Results. Acta Tech. Jaurinensis 2021, 14, 651–680. [Google Scholar] [CrossRef]
- Liu, Y.; Vanapalli, S.K. Mechanical Behavior of a Floating Model Pile in Unsaturated Expansive Soil Associated with Water Infiltration: Laboratory Investigations and Numerical Simulations. Soils Found. 2021, 61, 929–943. [Google Scholar] [CrossRef]
- Nowkandeh, M.J.; Choobbasti, A.J. Numerical Study of Single Helical Piles and Helical Pile Groups under Compressive Loading in Cohesive and Cohesionless Soils. Bull. Eng. Geol. Environ. 2021, 80, 4001–4023. [Google Scholar] [CrossRef]
- Elsherbiny, Z.H.; El Naggar, M.H. Axial Compressive Capacity of Helical Piles from Field Tests and Numerical Study. Can. Geotech. J. 2013, 50, 1191–1203. [Google Scholar] [CrossRef]
- Han, Z.; Vanapalli, S.K.; Kutlu, Z.N. Modeling Behavior of Friction Pile in Compacted Glacial Till. Int. J. Geomech. 2016, 16, D4016009. [Google Scholar] [CrossRef]
- Alnmr, A.; Ray, R.P.; Alsirawan, R.; Yang, H.-W.; Wang, S.; Cao, C.; Alnmr, A.; Ray, R.P.; Alsirawan, R. A State-of-the-Art Review and Numerical Study of Reinforced Expansive Soil with Granular Anchor Piles and Helical Piles. Sustainability 2023, 15, 2802. [Google Scholar] [CrossRef]
- Kaufmann, K.L.; Nielsen, B.N.; Augustesen, A.H. Finite Element Investigations on the Interaction between a Pile and Swelling Clay. 2010. Available online: https://vbn.aau.dk/en/publications/finite-element-investigations-on-the-interaction-between-a-pile-a (accessed on 23 June 2023).
- Tripathy, S.; Subba Rao, K.S.; Fredlund, D.G. Water Content—Void Ratio Swell-Shrink Paths of Compacted Expansive Soils. Can. Geotech. J. 2011, 39, 938–959. [Google Scholar] [CrossRef]
- Estabragh, A.R.; Parsaei, B.; Javadi, A.A. Laboratory Investigation of the Effect of Cyclic Wetting and Drying on the Behaviour of an Expansive Soil. Soils Found. 2015, 55, 304–314. [Google Scholar] [CrossRef]
- Al-Shamrani, M.A.; Dhowian, A.W. Experimental Study of Lateral Restraint Effects on the Potential Heave of Expansive Soils. Eng. Geol. 2003, 69, 63–81. [Google Scholar] [CrossRef]
- Thakur, V.; Narain Singh, D.; Thakur, V.K.S.; Singh, D.N. Rapid Determination of Swelling Pressure of Clay Minerals. J. Test. Eval. 2005, 33, 239–245. [Google Scholar] [CrossRef]




























| Model Parameter | Black Cotton Soil (Undrained Behavior) | Sand (Undrained Behavior) | |
|---|---|---|---|
| Symbol | Soil Parameters | ||
| (kN/m3) | Unsaturated unit weight | 18 | 16 |
| (kN/m3) | Saturated unit weight | 21 | 19 |
| (kN/m2) | Reference secant stiffness | 3200 | 40,000 |
| (kN/m2) | Reference tangent stiffness | 3200 | 40,000 |
| (kN/m2) | Reference unloading–reloading stiffness | 9600 | 120,000 |
| C′ (kN/m2) | Cohesion | 16 | 0.01 |
| ′ (°) | Internal friction angle | 20 | 37 |
| (°) | Dilatancy angle | 0 | 0 |
| (−) | Unloading/reloading Poisson’s ratio | 0.2 | 0.3 |
| m (−) | Exponential power | 1 | 0.5 |
| Model Parameter | Regina Clay (Undrained Behavior) | Sand (Drained Behavior) | |
|---|---|---|---|
| Symbol | Soil Parameters | ||
| (kN/m3) | Unsaturated unit weight | 17.36 | 17 |
| kN/m3) | Saturated unit weight | 18.4 | 19 |
| (kN/m2) | Reference secant stiffness | 12,500 | 1300 |
| (kN/m2) | Reference tangent stiffness | 14,000 | 1300 |
| (kN/m2) | Reference unloading–reloading stiffness | 37,500 | 3900 |
| C′ (kN/m2) | Cohesion | 17 | 10 |
| ′ (°) | Internal friction angle | 15.6 | 38 |
| (°) | Dilatancy angle | 4 | 8 |
| (−) | Unloading/reloading Poisson’s ratio | 0.25 | 0.2 |
| m (−) | Exponential power | 0.95 | 0.5 |
| Model Parameter | Layer 1 Depth 0–3.5 m | Layer 2 Depth 3.5–9 m | Layer 2 Depth 3.5–6.8 m | ||
|---|---|---|---|---|---|
| Symbol | Soil Parameters | Undisturbed (Undrained Behavior) | Disturbed (Undrained Behavior) | Undisturbed (Undrained Behavior) | Disturbed (Undrained Behavior) |
| kN/m3) | Saturated unit weight | 17.5 | 17.5 | 15.5 | 15.5 |
| (kN/m2) | Reference secant stiffness | 21,000 | 15,000 | 10,000 | 8000 |
| (kN/m2) | Reference tangent stiffness | 24,650 | 18,500 | 16,350 | 15,100 |
| (kN/m2) | Reference unloading–reloading stiffness | 63,000 | 45,000 | 30,000 | 24,000 |
| C′ (kN/m2) | Cohesion | 8 | 6 | 1.8 | 1.4 |
| ′ (°) | Internal friction angle | 20 | 15 | 10.5 | 8.2 |
| (°) | Dilatancy angle | 0 | 0 | 0 | 0 |
| (−) | Unloading/reloading Poisson’s ratio | 0.2 | 0.2 | 0.2 | 0.2 |
| m (−) | Exponential power | 1 | 1 | 1 | 1 |
| Granular Anchor Pile Length (L) (m) | Diameter (D) (m) | Cap Width (B) (m) |
|---|---|---|
| 4 | 0.3, 0.6, 0.9 | 1 |
| 7 | 0.3, 0.6, 0.9 | 1, 2, 4 |
| 10 | 0.3, 0.6, 0.9 | 1 |
| GAP Pullout Load (kN) | HP Pullout Load (kN) | (GAP − HP)/HP (%) | ||||||||
|---|---|---|---|---|---|---|---|---|---|---|
| L (m) | 4 | 7 | 10 | 4 | 7 | 10 | 4 | 7 | 10 | |
| D (m) | ||||||||||
| 0.30 | 105 | 194 | 232 | 90 | 163 | 193 | 16.7 | 19.0 | 20.2 | |
| 0.60 | 159 | 262 | 301 | 135 | 220 | 250 | 17.8 | 19.1 | 20.4 | |
| 0.90 | 176 | 257 | 299 | 146 | 212 | 244 | 20.5 | 21.2 | 22.5 | |
| GAP Pullout Load (kN) | HP Pullout Load (kN) | (GAP − HP)/HP (%) | ||||||||
|---|---|---|---|---|---|---|---|---|---|---|
| L (m) | 4 | 7 | 10 | 4 | 7 | 10 | 4 | 7 | 10 | |
| D (m) | ||||||||||
| 0.30 | 186 | 226 | 263 | 185 | 216 | 249 | 0.5 | 4.6 | 5.6 | |
| 0.60 | 241 | 280 | 319 | 230 | 255 | 286 | 4.8 | 9.8 | 11.5 | |
| 0.90 | 275 | 301 | 342 | 242 | 253 | 287 | 13.6 | 19.0 | 19.2 | |
| Heave Reduction of Granular Anchor Pile (%) | Heave Reduction of Helical Pile (%) | ||||||
|---|---|---|---|---|---|---|---|
| L (m) | 4 | 7 | 10 | 4 | 7 | 10 | |
| D (m) | |||||||
| 0.3 | 32.20 | 88.55 | 92.82 | 18.25 | 88.57 | 93.21 | |
| 0.6 | 51.79 | 92.21 | 93.04 | 55.00 | 92.65 | 93.99 | |
| 0.9 | 65.04 | 92.65 | 94.76 | 78.12 | 96.76 | 98.14 | |
| Reduction Heave of Granular Anchor Pile (%) | Reduction Heave of Helical Pile (%) | ||||||
|---|---|---|---|---|---|---|---|
| L (m) | 4 | 7 | 10 | 4 | 7 | 10 | |
| D (m) | |||||||
| 0.3 | 54.38 | 94.87 | 97.27 | 39.96 | 92.49 | 95.53 | |
| 0.6 | 71.78 | 95.75 | 97.05 | 78.66 | 95.07 | 96.29 | |
| 0.9 | 80.46 | 96.27 | 97.54 | 91.38 | 97.47 | 98.68 | |
| Dr = 35% | Dr = 65% | Dr = 90% | |
|---|---|---|---|
| (kN/m3) | 15 | 16.5 | 19 |
| kN/m3) | 17.5 | 18.5 | 21 |
| (kN/m2) | 20,000 | 35,000 | 50,000 |
| (kN/m2) | 20,000 | 35,000 | 50,000 |
| (kN/m2) | 60,000 | 105,000 | 150,000 |
| C′ (kN/m2) | 0.1 | 0.1 | 0.1 |
| ′ (°) | 30 | 36 | 38 |
| (°) | 0 | 6 | 8 |
| (−) | 0.2 | 0.2 | 0.2 |
| m (−) | 0.5 | 0.5 | 0.5 |
Disclaimer/Publisher’s Note: The statements, opinions and data contained in all publications are solely those of the individual author(s) and contributor(s) and not of MDPI and/or the editor(s). MDPI and/or the editor(s) disclaim responsibility for any injury to people or property resulting from any ideas, methods, instructions or products referred to in the content. |
© 2023 by the authors. Licensee MDPI, Basel, Switzerland. This article is an open access article distributed under the terms and conditions of the Creative Commons Attribution (CC BY) license (https://creativecommons.org/licenses/by/4.0/).
Share and Cite
Alnmr, A.; Ray, R.P.; Alsirawan, R. Comparative Analysis of Helical Piles and Granular Anchor Piles for Foundation Stabilization in Expansive Soil: A 3D Numerical Study. Sustainability 2023, 15, 11975. https://doi.org/10.3390/su151511975
Alnmr A, Ray RP, Alsirawan R. Comparative Analysis of Helical Piles and Granular Anchor Piles for Foundation Stabilization in Expansive Soil: A 3D Numerical Study. Sustainability. 2023; 15(15):11975. https://doi.org/10.3390/su151511975
Chicago/Turabian StyleAlnmr, Ammar, Richard Paul Ray, and Rashad Alsirawan. 2023. "Comparative Analysis of Helical Piles and Granular Anchor Piles for Foundation Stabilization in Expansive Soil: A 3D Numerical Study" Sustainability 15, no. 15: 11975. https://doi.org/10.3390/su151511975
APA StyleAlnmr, A., Ray, R. P., & Alsirawan, R. (2023). Comparative Analysis of Helical Piles and Granular Anchor Piles for Foundation Stabilization in Expansive Soil: A 3D Numerical Study. Sustainability, 15(15), 11975. https://doi.org/10.3390/su151511975

