Numerical Analysis of Natural Ventilation on One Side of a Room with Two Different Opening Configurations
Abstract
1. Introduction
- To analyze the consequences of natural ventilation on one side of a building equipped with SSO and SDO apertures when facing in a windward and leeward direction;
- To investigate the primary factors contributing to air movement through the two distinct types of openings, SSO and SDO;
- To identify the primary propelling forces of natural ventilation in unilateral natural ventilation when wind pressure, thermal pressure, and wind pressure and thermal pressure work together;
- To investigate the frequency of vortex shedding at different external wind speeds for a leeward condition and predict the Strouhal number for a square building.
2. Methodology
2.1. Calculation of Domain and Boundary Conditions
2.2. Grids and Validation
2.3. Simulation
2.4. CFD Model Validation
3. Results and Discussion
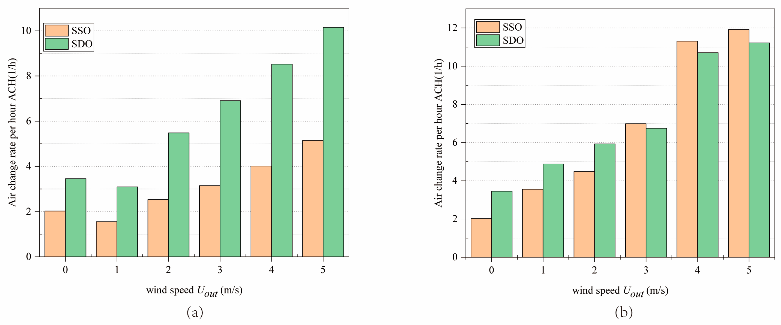
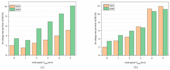
3.1. Effect of External Air On Air Exchange Rate
3.2. Vortex Shedding on the Leeward Side-Pumping Air Supply
3.3. SSO and SDO Central Profile Speed Analysis
3.4. Analysis of the Effect of Combined Air and Thermal Pressure Drive on the Air Exchange Rate
4. Conclusions
- The ambient wind speed plays a crucial function in a building’s ventilation. In windward conditions, a building’s ventilation rate is not always proportional to the ambient wind speed. As the external wind speed increases, the air exchange rate of a building will decrease until the wind and thermal pressure offset point is attained. Beyond the airflow drive offset point, the building’s air exchange rate will increase with an increasing ambient wind speed;
- When the leeward condition is present, the primary force that drives the airflow is vortex shedding at the vent located on the leeward side. This causes periodic airflow oscillations to appear in the lateral direction. The measured Strouhal number is 0.104, which is consistent with the test results, with a relative error rate of 4%;
- With two distinct aperture configurations for SSO and SDO, the windward ventilation rate for SDO is greater than that of SSO. In leeward conditions, the ventilation rate of SDO is still more significant than that of SSO, even at low wind velocities. At higher external wind speeds, the ventilation rate of SSO progressively intensifies, and the overall ventilation rate gradually surpasses that of SDO as external wind speeds increase. In engineering applications in the real world, the arrangement of openings for natural ventilation on a single side of a building should consider the building’s location, the weather patterns that occur throughout the year, and the changes in wind direction on the ventilation side.
Author Contributions
Funding
Institutional Review Board Statement
Informed Consent Statement
Data Availability Statement
Conflicts of Interest
Nomenclature
| Terrain factor | |
| Air change rate per hour (1/h) | |
| Area (m2) | |
| Calculation constants | |
| Flow coefficient | |
| Eddy current shedding frequency | |
| Number of flows | |
| Building outdoor height (m) | |
| Reference height (m) | |
| Opening height (m) | |
| Volume flow rate of air (m3/h) | |
| Single-side single opening | |
| Single-side double opening | |
| External wind velocity (m/s) |
References
- Malkawi, A.; Yan, B.; Chen, Y.J.; Tong, Z.M. Predicting thermal and energy performance of mixed-mode ventilation using an integrated simulation approach. Build. Simul. 2016, 9, 335–346. [Google Scholar] [CrossRef]
- Wang, J.; Wang, S.; Zhang, T.; Battaglia, F. Assessment of single-sided natural ventilation driven by buoyancy forces through variable window configurations. Energy Build. 2017, 139, 762–779. [Google Scholar] [CrossRef]
- Carrilho da Graça, G.; Linden, P. Ten questions about natural ventilation of non-domestic buildings. Build. Environ. 2016, 107, 263–273. [Google Scholar] [CrossRef]
- Díaz-Calderón, S.F.; Castillo, J.A.; Huelsz, G. Evaluation of different window heights and facade porosities in naturally cross-ventilated buildings: CFD validation. J. Wind Eng. Ind. Aerodyn. 2023, 232, 105263. [Google Scholar] [CrossRef]
- Sun, S.; Wang, H.; Zhang, W. Analysis of numerical factors affecting large eddy simulation of pollutant diffusion around buildings. J. Wind Eng. Ind. Aerodyn. 2023, 232, 105244. [Google Scholar] [CrossRef]
- Yang, C.; Luo, W.; Li, A.; Gao, X.; Che, L.; Qiao, L.; Gao, T.; Liu, Y. Natural ventilation driven by a restricted heat source elevated to different levels. Build. Simul. 2021, 15, 281–289. [Google Scholar] [CrossRef]
- Evola, G.; Popov, V. Computational analysis of wind driven natural ventilation in buildings. Energy Build. 2006, 38, 491–501. [Google Scholar] [CrossRef]
- Gan, V.J.L.; Wang, B.; Chan, C.M.; Weerasuriya, A.U.; Cheng, J.C.P. Physics-based, data-driven approach for predicting natural ventilation of residential high-rise buildings. Build. Simul. 2021, 15, 129–148. [Google Scholar] [CrossRef]
- Larsen, T.S.; Heiselberg, P. Single-sided natural ventilation driven by wind pressure and temperature difference. Energy Build. 2008, 40, 1031–1040. [Google Scholar] [CrossRef]
- von Grabe, J.; Svoboda, P.; Bäumler, A. Window ventilation efficiency in the case of buoyancy ventilation. Energy Build. 2014, 72, 203–211. [Google Scholar] [CrossRef]
- Castillo, J.A.; Huelsz, G.; van Hooff, T.; Blocken, B. Natural ventilation of an isolated generic building with a windward window and different windexchangers: CFD validation, sensitivity study and performance analysis. Build. Simul. 2019, 12, 475–488. [Google Scholar] [CrossRef]
- Fang, Z.C.; Wang, W.J.; Chen, Y.H.; Song, J.K. Structural and Heat Transfer Model Analysis of Wall-Mounted Solar Chimney Inlets and Outlets in Single-Story Buildings. Buildings 2022, 12, 1790. [Google Scholar] [CrossRef]
- Zhong, H.-Y.; Sun, Y.; Shang, J.; Qian, F.-P.; Zhao, F.-Y.; Kikumoto, H.; Jimenez-Bescos, C.; Liu, X. Single-sided natural ventilation in buildings: A critical literature review. Build. Environ. 2022, 212, 108797. [Google Scholar] [CrossRef]
- Gan, G. Effective depth of fresh air distribution in rooms with single-sided natural ventilation. Energy Build. 2000, 31, 65–73. [Google Scholar] [CrossRef]
- Albuquerque, D.P.; Sandberg, M.; Linden, P.F.; Carrilho da Graça, G. Experimental and numerical investigation of pumping ventilation on the leeward side of a cubic building. Build. Environ. 2020, 179, 106897. [Google Scholar] [CrossRef]
- Favarolo, P.A.; Manz, H. Temperature-driven single-sided ventilation through a large rectangular opening. Build. Environ. 2005, 40, 689–699. [Google Scholar] [CrossRef]
- Chu, C.-R.; Chiu, Y.H.; Tsai, Y.-T.; Wu, S.-L. Wind-driven natural ventilation for buildings with two openings on the same external wall. Energy Build. 2015, 108, 365–372. [Google Scholar] [CrossRef]
- Chaplin, G.C.; Randall, J.R.; Baker, C.J. The turbulent ventilation of a single opening enclosure. J. Wind Eng. Ind. Aerodyn. 2000, 85, 145–161. [Google Scholar] [CrossRef]
- Larsen, T.S.; Plesner, C.; Leprince, V.; Carrié, F.R.; Bejder, A.K. Calculation methods for single-sided natural ventilation: Now and ahead. Energy Build. 2018, 177, 279–289. [Google Scholar] [CrossRef]
- King, M.-F.; Gough, H.L.; Halios, C.; Barlow, J.F.; Robertson, A.; Hoxey, R.; Noakes, C.J. Investigating the influence of neighbouring structures on natural ventilation potential of a full-scale cubical building using time-dependent CFD. J. Wind Eng. Ind. Aerodyn. 2017, 169, 265–279. [Google Scholar] [CrossRef]
- Allocca, C.; Chen, Q.; Glicksman, L.R. Design analysis of single-sided natural ventilation. Energy Build. 2003, 35, 785–795. [Google Scholar] [CrossRef]
- Freire, R.Z.; Abadie, M.O.; Mendes, N. On the improvement of natural ventilation models. Energy Build. 2013, 62, 222–229. [Google Scholar] [CrossRef]
- Wang, J.; Zhang, T.; Wang, S.; Battaglia, F. Numerical investigation of single-sided natural ventilation driven by buoyancy and wind through variable window configurations. Energy Build. 2018, 168, 147–164. [Google Scholar] [CrossRef]
- Carrilho da Graça, G. A technical note on simplified modeling of turbulent mixing in wind-driven single sided ventilation. Build. Environ. 2018, 131, 12–15. [Google Scholar] [CrossRef]
- Wang, J.; Huo, Q.; Zhang, T.; Wang, S.; Battaglia, F. Numerical investigation of gaseous pollutant cross-transmission for single-sided natural ventilation driven by buoyancy and wind. Build Env. 2020, 172, 106705. [Google Scholar] [CrossRef] [PubMed]
- Martins, N.R.; da Graca, G.C. Validation of numerical simulation tools for wind-driven natural ventilation design. Build. Simul. 2016, 9, 75–87. [Google Scholar] [CrossRef]
- van Hooff, T.; Blocken, B.; Tominaga, Y. On the accuracy of CFD simulations of cross-ventilation flows for a generic isolated building: Comparison of RANS, LES and experiments. Build. Environ. 2017, 114, 148–165. [Google Scholar] [CrossRef]
- Jiang, Y.; Chen, Q. Buoyancy-driven single-sided natural ventilation in buildings with large openings. Int. J. Heat Mass Transf. 2003, 46, 973–988. [Google Scholar] [CrossRef]
- Fan, S.; Wykes, M.S.D.; Lin, W.E.; Jones, R.L.; Robins, A.G.; Linden, P.F. A full-scale field study for evaluation of simple analytical models of cross ventilation and single-sided ventilation. Build. Environ. 2021, 187, 107386. [Google Scholar] [CrossRef]
- Chew, L.W.; Chen, C.; Gorle, C. Improving thermal model predictions for naturally ventilated buildings using large eddy simulations. Build. Environ. 2022, 220, 109241. [Google Scholar] [CrossRef]
- Zhang, X.Q.; Zhou, F.Y.; Zou, J.X. Numerical Simulation of Gas Extraction in Coal Seam Strengthened by Static Blasting. Sustainability 2022, 14, 12484. [Google Scholar] [CrossRef]
- Zhang, X.Q.; Pan, Y.Y. Preparation, Properties and Application of Gel Materials for Coal Gangue Control. Energies 2022, 15, 557. [Google Scholar] [CrossRef]
- Liu, J.; Niu, J. CFD simulation of the wind environment around an isolated high-rise building: An evaluation of SRANS, LES and DES models. Build. Environ. 2016, 96, 91–106. [Google Scholar] [CrossRef]
- Ramponi, R.; Blocken, B. CFD simulation of cross-ventilation flow for different isolated building configurations: Validation with wind tunnel measurements and analysis of physical and numerical diffusion effects. J. Wind Eng. Ind. Aerodyn. 2012, 104–106, 408–418. [Google Scholar] [CrossRef]
- Arinami, Y.; Akabayashi, S.-i.; Tominaga, Y.; Sakaguchi, J. Performance evaluation of single-sided natural ventilation for generic building using large-eddy simulations: Effect of guide vanes and adjacent obstacles. Build. Environ. 2019, 154, 68–80. [Google Scholar] [CrossRef]
- Kobayashi, T.; Sandberg, M.; Kotani, H.; Claesson, L. Experimental investigation and CFD analysis of cross-ventilated flow through single room detached house model. Build. Environ. 2010, 45, 2723–2734. [Google Scholar] [CrossRef]
- Tominaga, Y.; Stathopoulos, T. CFD simulations of near-field pollutant dispersion with different plume buoyancies. Build. Environ. 2018, 131, 128–139. [Google Scholar] [CrossRef]
- Celik, I.B.; Cehreli, Z.N.; Yavuz, I. Index of resolution quality for large eddy simulations. J. Fluids Eng.-Trans. Asme 2005, 127, 949–958. [Google Scholar] [CrossRef]
- Caciolo, M.; Stabat, P.; Marchio, D. Numerical simulation of single-sided ventilation using RANS and LES and comparison with full-scale experiments. Build. Environ. 2012, 50, 202–213. [Google Scholar] [CrossRef]
- Park, J.; Sun, X.; Choi, J.-I.; Rhee, G.H. Effect of wind and buoyancy interaction on single-sided ventilation in a building. J. Wind Eng. Ind. Aerodyn. 2017, 171, 380–389. [Google Scholar] [CrossRef]
- Zou, J.X.; Zhang, R.; Zhou, F.Y.; Zhang, X.Q. Hazardous Area Reconstruction and Law Analysis of Coal Spontaneous Combustion and Gas Coupling Disasters in Goaf Based on DEM-CFD. ACS Omega 2023, 8, 2685–2697. [Google Scholar] [CrossRef] [PubMed]
- Ai, Z.T.; Mak, C.M. Analysis of fluctuating characteristics of wind-induced airflow through a single opening using LES modeling and the tracer gas technique. Build. Environ. 2014, 80, 249–258. [Google Scholar] [CrossRef]
- Ricci, M.; Patruno, L.; Kalkman, I.; de Miranda, S.; Blocken, B. Towards LES as a design tool: Wind loads assessment on a high-rise building. J. Wind Eng. Ind. Aerodyn. 2018, 180, 1–18. [Google Scholar] [CrossRef]
- Caciolo, M.; Stabat, P.; Marchio, D. Full scale experimental study of single-sided ventilation: Analysis of stack and wind effects. Energy Build. 2011, 43, 1765–1773. [Google Scholar] [CrossRef]
- Warren, P.R. Ventilation through openings on one wall only, Energy conservation in heating, cooling, and ventilating buildings. In Heat and Mass Transfer Techniques and Alternatives; CiNii: Tokyo, Japan, 1978. [Google Scholar]












| External Wind Direction | Mainstream Wind Speed | Δt | Opening Size | Simulation Scheme Diagram |
|---|---|---|---|---|
| Windward | SSO: 0.5 m × 0.6 m SDO: 0.5 m × 0.3 m | ![]() | ||
| Leeward | SSO: 0.5 m × 0.6 m SDO: 0.5 m × 0.3 m | ![]() |
Disclaimer/Publisher’s Note: The statements, opinions and data contained in all publications are solely those of the individual author(s) and contributor(s) and not of MDPI and/or the editor(s). MDPI and/or the editor(s) disclaim responsibility for any injury to people or property resulting from any ideas, methods, instructions or products referred to in the content. |
© 2023 by the authors. Licensee MDPI, Basel, Switzerland. This article is an open access article distributed under the terms and conditions of the Creative Commons Attribution (CC BY) license (https://creativecommons.org/licenses/by/4.0/).
Share and Cite
Fang, Z.; Wang, W.; Chen, Y.; Fan, H.; Dong, R.; Pang, D.; Song, J. Numerical Analysis of Natural Ventilation on One Side of a Room with Two Different Opening Configurations. Sustainability 2023, 15, 11456. https://doi.org/10.3390/su151411456
Fang Z, Wang W, Chen Y, Fan H, Dong R, Pang D, Song J. Numerical Analysis of Natural Ventilation on One Side of a Room with Two Different Opening Configurations. Sustainability. 2023; 15(14):11456. https://doi.org/10.3390/su151411456
Chicago/Turabian StyleFang, Zhicheng, Wanjiang Wang, Yanhui Chen, Hui Fan, Ruoqi Dong, Dongbing Pang, and Junkang Song. 2023. "Numerical Analysis of Natural Ventilation on One Side of a Room with Two Different Opening Configurations" Sustainability 15, no. 14: 11456. https://doi.org/10.3390/su151411456
APA StyleFang, Z., Wang, W., Chen, Y., Fan, H., Dong, R., Pang, D., & Song, J. (2023). Numerical Analysis of Natural Ventilation on One Side of a Room with Two Different Opening Configurations. Sustainability, 15(14), 11456. https://doi.org/10.3390/su151411456



