Next Article in Journal
The Maize Supply Chain Coordination Mechanism under Yield Uncertainty Caused by Drought: A Study in the Heilongjiang Province of China
Next Article in Special Issue
Pollution Transfer under Intergovernmental Competition: Suppression or Opportunity
Previous Article in Journal
Belt Rotation in Pipe Conveyors: Failure Mode Analysis and Overlap Stability Assessment
Previous Article in Special Issue
The Impact of Environmental Regulations on Enterprises’ Green Innovation: The Mediating Effect of Managers’ Environmental Awareness
 
 
Font Type:
Arial Georgia Verdana
Font Size:
Aa Aa Aa
Line Spacing:
Column Width:
Background:
Article

The Impact of Environmental Regulations on Enterprise Pollution Emission from the Perspective of “Overseeing the Government”

1
School of Humanities and Social Sciences, Jiangsu University of Science and Technology, Zhenjiang 212100, China
2
School of Economics, Central University of Finance and Economics, Beijing 100081, China
3
School of Finance, Inner Mongolia University of Finance and Economics, Hohhot 010051, China
*
Author to whom correspondence should be addressed.
Sustainability 2023, 15(14), 11311; https://doi.org/10.3390/su151411311
Submission received: 30 June 2023 / Revised: 15 July 2023 / Accepted: 17 July 2023 / Published: 20 July 2023

Abstract

This study aims to analyze the impact of “overseeing the government” on corporate pollution control and emission reduction behavior and the choice of corporate emission reduction paths. The central government in China persistently reinforces its environmental oversight of local governments. The effectiveness of environmental protection is closely tied to the performance of local officials and the implementation of the “one vote veto” system in the realm of environmental conservation. In this study, we use the evolutionary game model theory and the DID model to test the impact of “overseeing the government” on the environmental behavior of enterprises. Specifically, this study establishes an evolutionary game model between local government and enterprises, exploring how the local government and the enterprise make decisions. The theoretical findings are validated using pollution data from industrial enterprises in China. The study reveals that enterprises are influenced by local governments primarily when the costs of environmental abatement are relatively low, and the costs of noncompliance are high. Strengthening government oversight leads to a reduction in the intensity and overall emissions of both water and air pollutants. Enterprises respond by increasing their utilization of clean energy sources, reducing their reliance on fossil fuels, and enhancing their pollution control infrastructure to mitigate emissions. Notably, there is no evidence suggesting that enterprises curtail production levels to reduce emissions. Therefore, it is crucial to develop a rational understanding of the relationship between environmental protection and economic performance. In addition, tailored policies should be formulated to enable precise pollution control measures and facilitate the pursuit of high-quality development.

1. Introduction

Recently, it was suggested that more should be performed to prevent and control pollution and insist on precise pollution control in China. Scientific and precise pollution control and emission reduction are the focus of environmental protection work. Extensive development not only promotes rapid economic development but also causes a slew of environmental issues. At present, China’s economic growth rate is slowing, and the development mode urgently needs to be changed. The ability to solve such issues is critical to achieving high-quality development. To solve environmental problems, practical and effective means of environmental regulation must be adopted.
In the early stages, the targets of environmental supervision in China were mainly enterprises. “Overseeing the enterprise” made it more expensive for businesses to break environmental laws; thus, they had to pay attention to environmental protection. At the same time, some enterprises engage in rent-seeking behaviors and urge local governments to help cover up their illegal sewage discharges through lobbying and bribery. Local governments shielded large taxpayers from consideration for tax protection, resulting in government–enterprise collusion and other phenomena. Environmental governance has not been working well because local governments have not put environmental policies into action, leading to weak and ineffective rules. Therefore, the top priority of environmental governance is to determine how to carry out the main responsibility of local governments to protect the environment and ensure strong environmental supervision. The “Decision on Implementing the Scientific Outlook on Development and Strengthening Environmental Protection”, which was made public in 2005, said that officials’ performance evaluations should focus not only on economic performance but also on environmental performance. This policy marked the beginning of the organic combination of “overseeing the government” and “overseeing the enterprise”. “Overseeing the government” is a uniquely Chinese experience under the socialist system with Chinese characteristics. It involves making local governments feel more responsible and putting policies in place to protect the environment. From “overseeing the enterprise” to the natural combination of “overseeing the government” and “overseeing the enterprise”, environmental regulation is always evolving to fit the actual situation. Regardless of what type of environmental regulation is used, the ultimate goal is to improve environmental quality. So, has “overseeing the government” reduced pollution from corporations? The answer to this question will help us understand the effectiveness of China’s current environmental protection policies and provide a reference for environmental governance in other countries.

2. Review of the Literature

Many studies have been conducted on how to reduce corporate emissions by “overseeing the enterprise”. For example, they look at how policies such as pollution discharge fees, pollution discharge taxes, environmental administrative penalties, environmental information disclosure, and tradeable carbon emission permits affect environmental governance. Most research on sewage charges and taxes is from a macro perspective, finding that the collection of sewage charges and taxes significantly promotes corporate pollution control and emission reduction. Bongaerts and Kraemer’s (1989) study is a good example [1]. It looks at how the collection of sewage fees and taxes in some European countries stops water pollution. Laplante and Rilstone (1996) examined the impact of pollution inspections on the emission levels of Quebec’s pulp and paper industry and found that inspections are beneficial to pollution reduction [2]. Becker and Henderson (2000) used US business data from 1963 to 1992 and found that air quality regulation suppressed emissions [3]. Greenstone (2003) used the data of US steel companies from 1987 to 1997 and found that the implementation of the Clean Air Act reduced the companies’ air pollution emissions by an average of 15% [4]. Shapiro and Walker (2018) analyzed the impact of environmental regulations and pollution regulations on US manufacturing pollution emissions and found that more than 75% of US manufacturing emissions reductions can be explained by pollution regulation [5]. Li et al., (2020) and Li et al., (2021) looked at how well China’s policy of charging and taxing pollution worked and found that the system has significantly cut emissions [6,7]. Most research on environmental administrative penalties is based on data from micro-enterprises, finding that such penalties have a clear effect on reducing emissions. Foulon et al., (2002) took a sample of 20 British Columbia paper mills from 1987 to 1996 and found that environmental penalties and public environmental information disclosure can significantly inhibit environmental pollution [8]. Blundell (2020) used the 2007–2014 US Environmental Protection Agency (EPA) regulatory data on stationary pollution sources and, based on the double difference method, found that the increase in fines after 2012 improved corporate compliance and reduced pollution emissions [9]. Bu and Shi (2021) evaluated the daily continuous penalty policy through the DID method and found that the daily penalty policy significantly reduced industrial SO2 emissions [10].
However, some studies believe that these measures are not effective for environmental governance. For example, Wang et al., (2004) compared China’s sulfur dioxide emissions from 1990 to 2000 and found that some pollutant emission trading markets in China mainly traded through pressure and instructions, not market-driven [11]. Chang and Wang (2010) found that China’s emissions trading policies are often proposed in conjunction with other environmental protection policies, and they only exist on the surface in many regions [12]. From the perspective of institutional diffusion and innovation, Shin (2013) found that China’s emission trading policy has a “bringing doctrine” and ignores the localization of the policy, so it has not achieved the effect of emission reduction in China [13]. Duflo et al., (2018) found that regulatory experiments have little effect on corporate pollution emissions as long as regulatory agencies have weak enforcement measures, strict environmental standards, and high pollution levels [14]. Brunel and Johnson (2018) used US GHG emissions data and changes in US state pollution regulations to estimate the impact of pollution control regulations on GHG emissions and found no evidence that stricter local pollution regulations would change non-energy sector greenhouse gas emissions [15].
In addition, some studies also believe that environmental regulation will actually increase pollution. Gronwald et al., (2013) used an extended Hotelling-type resource extraction framework to analyze the effect of two suboptimal clean energy policies and found that no matter what kind of environmental regulation is used, it will lead to a certain degree of “green paradox” [16]. Gibson (2019) used the panel data of US companies from 1992 to 2014 as a research sample to test the impact of the Clean Air Act on specific regional regulations on pollution emissions and found that the ratio of water and air pollution emissions from regulated companies increased by 177% [17].
There are few studies on “overseeing the government.” Based on the results of this research, these studies can be divided into two groups. One type of research argues that “overseeing the government” has made it much easier to follow environmental laws and cut pollution emissions. Some studies, such as Kahn et al., (2015) and Wu and Zhang (2018), have examined the environmental governance effect of the environmental protection target responsibility system [18,19]. They found that the environmental protection target responsibility system greatly reduces the emission of target pollutants; However, the system does not do much for non-target pollutants. Chen et al., (2018) tested the effect of environmental protection targets and found that the policy led to a significant decline in CO2 emissions and GDP growth [20]. Some studies have also examined how the central environmental inspector affects them. Zhang et al., (2018) used 20,607 polluting companies in China from 2005 to 2009 as a sample. They used breakpoint regression to test how well central supervision improved local enforcement of environmental laws and found that it cut COD emissions by 26.8% [21]. Jia and Chen (2019) used the DID model to look at the short-term and long-term policy effects of the central environmental protection inspection. They found that the central environmental protection inspection had a positive effect on environmental performance over a long period of time [22]. Tan and Mao (2020) tested the effectiveness of central environmental protection inspectors in improving air quality through discontinuity regression based on daily data from 286 cities in China. The effect of the policy on lowering the air quality index (AQI) was found to be insignificant [23].
Another part of the study starts with an environmental protection interview and the river chief system and other policies, finding that both implement environmental policies by making the roles of key leaders clear and greatly reducing pollution [24]. Zheng et al., (2014) used the data from 86 cities in China from 2004 to 2009 as a research sample and found that the central government and the public have improved environmental quality by putting pressure on local governments [25]. Chen et al., (2018), based on data from 85 cities located in the Yangtze River Basin from 2003 to 2009, found that environmental protection targets significantly reduced water pollution activities [26]. Some researchers have argued that “overseeing the government” fails to strengthen environmental regulation and makes it difficult to improve environmental quality [27,28,29].
To sum up, although “overseeing the government” started relatively late, its role in the field of environmental protection cannot be underestimated. The above studies have fully explored the impact of “overseeing enterprises” and “overseeing the government” on pollution control and emission reduction and laid a solid foundation for further research on the policy effect of “overseeing the government”. However, there is a lack of data support for Chinese micro-enterprises as well as a systematic study of corporate environmental behavior choices at the theoretical level. As a unique Chinese experience, it is very important to put forward a Chinese plan in the field of environmental protection and to test the effect of “overseeing the government” and the path of emission reduction. For this reason, it is even more necessary to study the mechanism of the impact of “overseeing the government” on corporate emission reduction and to verify the effectiveness of China’s experience. Although the policy effect of “overseeing the government” has been fully studied, the mechanism test on the emission reduction of micro-enterprises and the theoretical analysis that goes with it have not been fully conducted. On this basis, this study establishes an evolutionary game model between a local government and an enterprise to study how enterprises act. Using the policy as a natural experiment and the difference-in-differences (DID) method, we examine the effect of “overseeing the government” on enterprise emission reduction and analyze the path of enterprise emissions reduction.
Compared to previous studies, this study makes the following marginal contributions. First, it builds an evolutionary game model between a local government and an enterprise to examine the strategic choices made by enterprises and governments. Theoretical analysis of corporate environmental behavior choices and possible emission reduction paths. Second, from the perspectives of source prevention and end control, we examine the path of corporate emission reduction and add to the research that has already been conducted. Third, starting from the emission reduction data of micro-enterprises, it provides evidence for the emission reduction of micro-enterprises in China for existing research. The rest of this paper is organized as follows: the Section 3 is the theoretical framework, which builds a theoretical framework and looks at the logic of the enterprise’s behavior. The Section 4 is data and methodology; sample descriptions and factual characteristics are listed. The Section 5 is the results and discussion, which uses the DID method to test the impact of the policy on corporate emission reduction and discusses the emission reduction path. The Section 6 presents the conclusions and suggestions.

3. Theoretical Framework

3.1. Construction of an Evolutionary Game Model

This study views the local government and enterprise as bounded rational game subjects to make the model easier to understand. At the beginning of the game, neither of the two subjects is acting in the best way. This behavior means that two “profit-seekers” will form a game relationship as they try to make the most money and will reach the best outcome in multiple games. The strategy choices in each round are independent and mutually exclusive. When a game subject chooses a strategy, it obtains income based on the income function and decides its own strategy for the next round based on the strategy choice of the opponent. Therefore, based on the evolutionary game model, this study tries to determine what kinds of strategies businesses use when they are limited by local governments.
To build a game model, the following assumptions are made:
Assumption I: A local government and an enterprise are selected as game subjects. The strategic choices of the local government are strong regulation to fully implement environmental supervision policies and weak regulation [30,31,32]. The choices of local governments and enterprises are mutually influenced [33]. Therefore, the enterprise can choose to either complete emission reduction or partial emission reduction. The local government chooses strong regulation with a probability of x and weak regulation with a probability of 1 − x. The enterprise chooses complete emission reduction with a probability of y and partial emission reduction with a probability of 1 − y. Among them are x, y 0 ,   1 , and both are functions of time t. Both sides of the game are risk neutral and aim to maximize their own interests.
Assumption II: If the local government chooses strong regulation means that the enterprise is completely regulated by the local government, and the cost of it is C 1 . The level of effort that local government makes to regulate is λ 1 0 ,   1 . L is the amount of money that the local government loses, and R is the amount of money by enforcing strong regulations. P 1 is the possible administrative penalty when it implements weak regulations. Assuming that local governments can ask businesses for bribes, weak regulations mean that it will benefit from the enterprise (E) and lose the public’s trust (D).
Assumption III: When an enterprise chooses complete emission reduction, the cost is C 2 . The level of effort of the enterprise to reduce emissions is λ 2 0 ,   1 . The environmental tax rate is t, and the emission reduction is a. The total amount of pollution discharged is Q, and the possible fine for illegal emissions is D 2 . The environmental subsidy for enterprises is σ 1 C 2 , and σ 1 is the subsidy ratio of the local government. m is the probability of being punished. f is the decrease in output caused by complete emission reduction. The average price of products is p, and the average cost is AC. Based on the above analysis, this study creates four strategy return matrices between the two subjects, which are shown in Table 1.
The payment matrix shows that the local government can expect a return of U x if it chooses strong regulation and a return of U 1 x if it chooses weak regulation. The specific expressions are shown in Equations (1) and (2).
U x = C 1 + R 1 L y σ 1 C 2 + y t Q a + 1 y t Q λ 2 a + 1 y m D 2
U 1 x = λ 1 C 1 λ 1 P 1 + 1 λ 1 E D 1 + y t Q a + 1 y t Q λ 2 a + 1 y m D 2
From the expected returns, the expected average return of the local government U ¯ x can be calculated, as shown in Equation (3):
U ¯ x = x U x + 1 x U 1 x
Based on the Malthusian dynamic equation, we know that a strategy is stable and not easily changed by the mutation strategy when its return is relatively high [34]. Accordingly, we obtain Equation (4), which shows the replication dynamic equation of different local government strategies over time:
F x = d x d t = x 1 x 1 λ 1 C 1 + R 1 L y σ 1 C 2 + λ 1 P 1 1 λ 1 E D 1
In the same way, the enterprise’s replication dynamic equation is obtained, as shown in Equation (5):
F y = d y d t = y 1 y 1 λ 2 C 2 1 λ 2 p A C f + 1 λ 2 t a + x σ 1 C 2 + m D 2

3.2. Enterprise Equilibrium Analysis

Based on the stability theorem for differential equations and the properties of the evolutionarily stable strategy (ESS), the ESS point must be resistant to perturbations. Therefore, to implement the ESS, F y = 0 and F y < 0 are needed. Equation (6) shows that, based on this theory, the first derivative of the enterprise’s replication dynamic equation is obtained.
F y = 1 2 y 1 λ 2 C 2 1 λ 2 p A C f + 1 λ 2 t a + x σ 1 C 2 + m D 2
Let F y = 0 ; then, y = 0 , y = 1 and x = x = 1 λ 2 C 2 + t a p A C f + m D 2 σ 1 C 2 .
Case 1: When 1 λ 2 C 2 t a + p A C f m D 2 > σ 1 C 2 , F y | y = 0 < 0 , F y | y = 1 > 0 . At this moment, y = 0 , which means that the enterprise has reached an evolutionary equilibrium by choosing to reduce emissions in part.
Case 2: When 1 λ 2 C 2 t a + p A C f m D 2 < σ 1 C 2 , if x > x , F y | y = 0 > 0 , F y | y = 1 < 0 . Therefore, y = 1 , which means that the enterprise chooses complete emission reduction. If x < x , then F y | y = 0 < 0 , F y | y = 1 > 0 . Therefore, y = 0 ; that is, the enterprise chooses partial emission reduction. It is clear that an enterprise’s choice is affected by the local government when the cost of cutting emissions is not high. On this basis, the following hypothesis is proposed:
 Hypothesis 1.
Under the “overseeing the government”, the enterprise will reduce its emissions.

3.3. Choice of Corporate Strategy

Based on the above analysis, this study focuses on how local governments and enterprises act when the cost of supervision and emission reduction is low. “Overseeing the government” affects the act of enterprises. When companies face regulations, they may control pollution emissions by adjusting output, reducing energy use, and installing pollution control facilities.

3.3.1. Yield Decision

When enterprises face pressure from local governments to reduce emissions, the easiest path is to reduce production. However, this is only a quick fix for them and will damage the interests of them. When f > 0 , it means that the enterprise reduces emissions by reducing production, and the probability of 1 λ 2 C 2 t a + p A C f m D 2 > σ 1 C 2 is high. Corporate’s choices are less affected by local government. When f 0 , the enterprise does not reduce emissions by reducing production, and the probability of 1 λ 2 C 2 t a + p A C f m D 2 < σ 1 C 2 is high. It is similar to Case 2, in which the enterprise’s decision is related to the local government. On this basis, the following hypotheses are proposed:
 Hypothesis 2a.
Under “overseeing the government”, the enterprise reduces emissions by reducing production.
 Hypothesis 2b.
Under “overseeing the government”, the enterprise does not reduce emissions by reducing production.

3.3.2. Energy Use

If enterprises use more clean energy and less traditional fossil energy, the cost of emission reduction will increase. At this moment, the choice of enterprises depends on the local government’s subsidy and the charge for emissions. When the amount of subsidy and fines is large, the choice of enterprises depends on the local government. In the context of “overseeing the government”, local governments are more likely to implement mandaztory regulations. In this case, the local government will increase environmental subsidies on the one hand and increase penalties on the other. This will encourage companies to use clean energy to reduce pollution emissions. Accordingly, the following hypothesis is proposed:
 Hypothesis 3.
Under “overseeing the government”, the enterprise reduces emissions by increasing the use of clean energy.

3.3.3. Adding Pollution Control Facilities

To meet emission standards, enterprises will not only reduce emissions from the source but also from the terminal. From the aspect of the terminal, it is more important to purchase and use (The words “buy” and “use” are separated here because some companies may have to buy pollution treatment facilities because of rules but may not use the equipment because of how expensive it is to run) pollution treatment facilities, but it will increase the cost of enterprises. If enterprises reduce pollution, the penalties will be reduced. Under the background of “overseeing the government,” the local government is more likely to implement strong regulations. Therefore, enterprises that reduce more emissions will obtain more subsidies, and enterprises with excessive emissions will be punished more severely. This situation will make companies more likely to buy and use pollution treatment facilities. Accordingly, the following hypothesis is proposed:
 Hypothesis 4.
Under “overseeing the government”, the enterprise reduces emissions by adding pollution treatment facilities.

4. Data and Methodology

4.1. Methodology

This study uses the policy made by the State Council in 2005 as a policy shock to examine how “overseeing the government” affects the reduction in corporate emissions. A DID model is built to eliminate the effects of the macro trend in the sample time and unobservable and time-invariant factors in the policy implementation process. Since China’s environmental rules are carried out at the regional level, enterprises in 113 key cities for environmental protection are used as the treatment group, and enterprises in other cities are used as the control group. To effectively identify the policy effect, D i is defined as a grouping variable. When the sample is an enterprise in a key environmental protection city, the value of D i is 1 and 0 otherwise. At the same time, the time dummy variable T is created, and T = 0 and T = 1 is set to represent the time before and after the policy implementation, respectively. In this study, T = 0 represents the 2001–2004 period, and T = 1 represents the 2005–2010 period. The following model is built:
P o l l u i t = α 0 + α 1 D i × T t + α 2 g d p i t + α 3 s i z e i t + α 4 a g e i t + α 5 h i i i t + α 6 s o e i t + α 7 f o e i t + τ t + θ i + ε i t
The product of D i and T t is the explanatory variable, and the explained variable is pollution emissions (pollu), which are measured by the intensity of the various pollutants released. Chemical oxygen demand emission intensity (pollu_cod) is measured by chemical oxygen demand emissions per unit of output value (kg/10,000 CNY). Sulfur dioxide emission intensity (pollu_so2) is measured by sulfur dioxide emissions per unit of output value (kg/10,000 CNY). At the city level, the level of urban development (gdp), which is measured by a city’s per capita GDP (CNY per person), is used as a control variable to control the effect of unobservable factors at the city level. The level of urban development makes it easier for a city to deal with pollution. At the firm level, the control variables include firm size (size), firm age (age), and dummy variables for state-owned enterprises (soe) and foreign-funded enterprises (foe). Among them, firm size is measured by the total assets of the enterprise in units of 10 million. At the beginning of “overseeing the government,” local officials had to deal with the pressures of economic development and taxation, as well as environmental protection assessments. For this reason, environmental protection departments focused on large businesses to reduce pollution. This phenomenon is called “grasping the big and letting go of the small,” and it happens frequently in the field of environmental protection. Firm age is calculated by taking the year of observation minus the year the firm was founded plus 1. The ownership structure also affects pollution emissions. Based on the research, enterprises where state-owned capital accounts for at least 50% of the paid-in capital are called “state-owned enterprises”, and their value is 1, while the value for all other enterprises is 0. For the foreign-funded enterprise dummy variable, Hong Kong, Macao, Taiwan, and companies where foreign capital accounts for more than 50% of the paid-in capital are considered foreign-funded enterprises, and their value is 1, while the value of other companies is 0. The control variable at the industry level is the degree of industry monopoly (hii), which is measured by the Herfindahl–Hirschman index (HHI) as the sum of the squares of the proportion of each company’s sales to the total sales of its industry. The degree of industry monopoly can measure the degree of competition in the industry. τ represents time-fixed effects, θ represents individual fixed effects, ε is a random error term, i represents the individual, and t represents the year.

4.2. Data Description

As a research sample, this study uses data on all state-owned and non-state-owned enterprises above a certain size in China from 2001 to 2010. The basic information about the enterprises comes from the database of Chinese industrial enterprises, and the pollution information comes from China Industrial Enterprise Pollution Database. This study refers to the methods of Brandt et al., (2014) to pre-process the industrial enterprise database and eliminate enterprises that are unusual in terms of aspects such as employment, total assets, or missing key indicators [35]. In addition, the study was winsorized at the 1% level. Combining the industrial enterprise database and the China Industrial Enterprise Pollution Database, 241,331 observations over 10 years are finally made.
Table 2 presents the descriptive statistics of the main variables. The average chemical oxygen demand emission intensity is 10.72 kg per 10,000 CNY, and the average sulfur dioxide emission intensity is 23.83 kg per 10,000 CNY. The average value of the degree of industry monopoly is 0.005, and the highest value is 0.22. These results mean that most industries have a low degree of monopoly.

4.3. Comparative Analysis of Enterprises’ Emission Reduction

Due to data limitations, this study starts with specific environmental issues to examine how enterprises’ behavior changed during policy implementation. Enterprises’ actions to reduce emissions are shown in Figure 1.
Figure 1a,b show the discharge of water and air pollutants, respectively. The amount of water pollutants released in China has dropped since 2006. The emissions of air pollutants dropped rapidly after 2005. Since the policy implementation, there has been a significant reduction in both water and air pollution. The control of water and air pollutants is shown in Figure 1c,d, respectively. It is clear that enterprises’ removal of water and air pollutants has increased dramatically. Figure 1e shows that since 2005, both the wastewater treatment facilities and waste gas treatment facilities have been improving. Figure 1f shows the change trends of coal consumption and clean gas consumption. Since 2005, coal consumption has dropped significantly. At same time, the amount of clean gas consumption has increased rapidly.
In summary, both the release of air pollutants and water pollutants have been significantly reduced, and the ability to control pollution has also improved since 2005. At the same time, the amount of traditional fossil fuels used has decreased while the amount of clean energy used has increased significantly. It is clear that companies have become much better at reducing emissions.

5. Results and Discussion

5.1. Basic Regression Results

Based on unbalanced panel data on China’s industrial enterprises from 2001 to 2010, the chemical oxygen demand emission intensity and sulfur dioxide emission intensity are used to measure water pollution and air pollution, respectively. The regression results are shown in columns (1) and (4) of Table 3.
Table 3 shows that the estimation coefficient of the interaction term (D × T) in the regression results in column (1) is significantly negative at the 1% level. This means that this policy significantly reduces the chemical oxygen demand emissions. The regression coefficient for the interaction term in column (4) is significantly negative. This means that this policy has significantly reduced sulfur dioxide emissions, which verifies Hypothesis 1. The policy states incorporate environmental protection performance into officials’ performance appraisal, which is a major reason why we chose it as a policy shock. When the local government stops being an “umbrella” for corporate environmental violations and stops “turning a blind eye” to them. Enterprises will realize how important and urgent environmental protection is. This will make a great difference in the chaos of corporate environmental violations and help a region reach its goal of high-quality development.
In addition, the regression results of the control variables are enlightening. The regression coefficients for the level of economic development in a region are significantly negative in columns (1) and (2) but not in columns (4) and (5). This means that the higher the level of economic development is, the lower the water pollution emissions; however, the level of economic development has little effect on air pollution emissions. The control of water pollution mostly relies on centralized treatment. The higher the level of economic development is, the greater the investment in centralized water pollution control. All of the regression coefficients for firm size are significantly negative, which means that the intensity of pollution that large enterprises emit is low. This shows that there is a scale effect. Firm age has no effect on water or air pollution, which shows that the age of enterprises has nothing to do with pollution emissions. In column (2), the regression coefficient for the degree of industry monopoly is significantly positive. This means that industries with a higher degree of monopoly have a higher intensity of wastewater discharge. The regression coefficient in column (4) is negative, which means that the intensity of air pollution emissions decreases as the degree of monopoly increases. Therefore, when formulating environmental protection policies, we should pay attention to industry characteristics. Pollution control can only be performed in a precise way if policies are made based on how different industries work. In column (1), the regression coefficient for the soe dummy variable is not significant. Column (2) is significantly positive, which means that the rate of wastewater discharge from state-owned enterprises is much higher than the other. The regression results for the dummy variables of foreign-funded enterprises are significantly negative in columns (1) and (4). This shows that there is a negative correlation between the entry of foreign capital and pollution emissions. The local government does not blindly introduce highly polluting and high-energy-consuming enterprises because they may attract investment. The “pollution haven” theory is not supported by this result.
In addition, it is worth noting that environmental protection documents pay more attention to the concept of total control of major pollutants. In this study, the total emissions of chemical oxygen demand and sulfur dioxide emission are selected as the pollution discharge index. The regression results are shown in columns (3) and (6) of Table 3, respectively. All of the regression coefficients for the interaction term are significantly negative. This result demonstrates that putting the policy into action reduces the total amount of pollution and has given local governments a strong base from which to reach the goal of reducing waste as a whole.

5.2. Robustness Tests

This study performs the following robustness tests to ensure that the regression results are reliable:
First, the pollutant indicators are replaced. Wastewater and waste gas discharge are also among the key concerns for pollution prevention and control. In this study, the amount of water and air pollution is measured by the amount of wastewater and waste air released per unit of output value. The regression results are shown in columns (2) and (4) of Table 3, and the regression results are very robust.
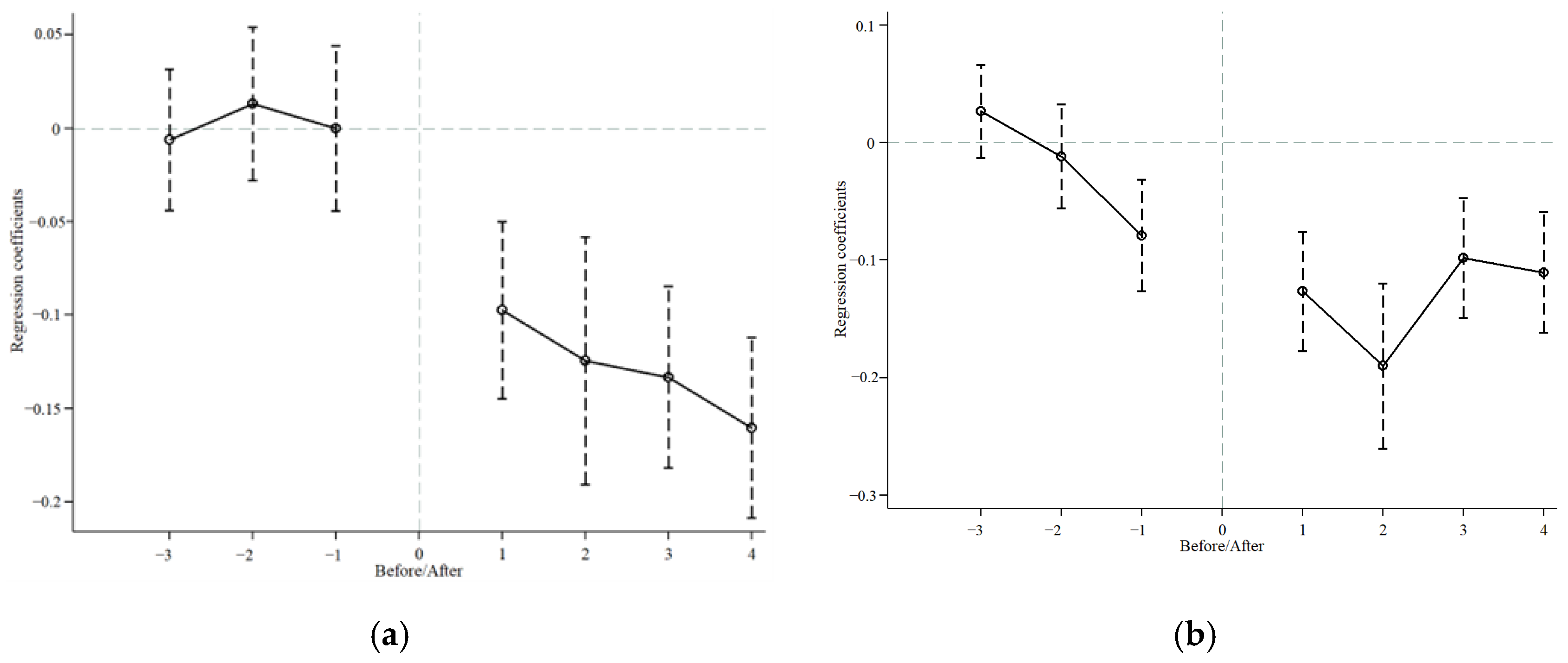
Second, the parallel trend test is conducted. The DID model can only examine the average difference between how much pollution companies put into the air and water before and after policy implementation. The results of the above verification may be ex ante trends caused by time and regional differences rather than the policy itself. To conduct this test, this study uses the event analysis method by referring to Jacobson et al., (1993), who used the event analysis research framework to measure how policies change over time [36]. Taking the implementation year of the policy as the base year, a DID model is constructed for testing. The specific model settings are as follows:
P o l l u i t = β 0 + β t t = 2001 2010 D i × T t + γ X i t + τ t + θ i + ε i t
where T t represents the dummy variable of the year in which the policy was implemented or year t. Specifically, the control group and treatment group are not changed, and the time variable takes the value of 1 only in the current year and a value of 0 in other years. This study uses 2001 as the base year. Before 2005, if the interaction terms were not significant, they followed parallel trends. Equation (8) is used to regress the time-fixed effects and individual fixed effects, and Figure 2 shows the regressed dynamic effect. Basically, the parallel trend assumption is met.
Third, there is the impact of other events in the same period. During policy implementation, there were also other events, including the “Notice on Strengthening the Supervision of the Listing of Environmental Law Cases,” which the former State Environmental Protection Administration issued in September 2006. This policy focuses on “listing and supervision” as a way to control how companies act. Therefore, changes in how companies eliminate pollution might have something to do with “overseeing the enterprise” and nothing to do with “overseeing the government.” This study adds the interaction term ( D × T 1 ) of the grouping variable and the 2006 time dummy variable based on Equation (7) to eliminate the effect of the policy on corporate pollution emissions. The regression results are shown in columns (1) and (2) of Table 4. The regression results for chemical oxygen demand and sulfur dioxide emissions are still significant, which means that the results are strong.
Fourth, the results are checked based on the propensity score matching PSM-DID method. A reasonable counterfactual estimate is made to obtain an unbiased estimate of how much a policy will cut emissions. This study uses the PSM method of 1:1 nearest neighbor matching for estimation to control for selection bias and better meet the parallel trend assumption. The matched sample groups are used for estimation, and the results are shown in columns (3) and (4) of Table 4. It is found that the regression results are basically robust.

5.3. Endogeneity Test

Even though the DID method can help with the endogeneity problem, it is difficult to completely control for factors that affect the pollution emissions of businesses in regression, and the problem of missing variables cannot be completely avoided. In addition, there is a two-way causal relationship between key environmental protection cities and corporate pollution emissions. In this study, the instrumental variable method is used to address the problem of endogeneity. Effective instrumental variables need to be related to key environmental protection cities and satisfy the requirement of correlation. Additionally, they must have nothing to do with the amount of pollution to satisfy the requirement of exogeneity. Therefore, this study looks at whether a city opened a railway line in 1933 as the instrumental variable. In general, key cities for environmental protection are mostly resource-intensive and population-intensive cities. These cities opened railway lines earlier. Additionally, whether a railway line opened in 1933 does not have a direct effect on how pollution is released by businesses. Therefore, it makes sense to choose it as an instrumental variable. Two-stage least squares (2SLS) regression is used; the results are shown in columns (5)–(7) of Table 4. We see that the interaction term is significantly negative. This result means that the research conclusions of this study are still the same after taking into account the possibility of missing variables and endogeneity problems caused by reverse causality.

5.4. Further Analysis

From the above analysis, it is clear that the policy has stopped businesses from emitting more pollution. There are two ways for enterprises to reduce emissions. One is source prevention and control, that is, reducing pollution emissions by reducing production or using clean energy. The other is end control, which uses things such as wastewater treatment and waste gas desulfurization treatment to reduce the release of major pollutants. So, which way do enterprises mainly rely on to reduce emissions?
To answer this question, the following measurement model is established to test how companies choose to reduce their emissions.
M e c h i t = α 0 + α 1 D i × T t + α 2 g d p i t + α 3 s i z e i t + α 4 a g e i t + α 5 h i i i t + α 6 s o e i t + α 7 f o e i t + τ t + θ i + ε i t
Among them, the dependent variable is “Mech”, which is the enterprise output and energy usage to measure source prevention and control. The number of wastewater and waste gas treatment facilities is used to measure the end-to-end pollution control of enterprises. Specifically, the output of an enterprise is measured by the total output value of the year in units of ten thousand CNY. The consumption of clean energy is measured by the consumption of clean gas in units of ten thousand cubic meters. The amount of traditional energy used is measured in tons based on how much raw coal is used. Regression is performed based on Equation (9), and the regression results are shown in Table 5.
The first column of Table 5 shows how the policy affects the total output of all enterprises. The regression coefficient is negative but not statistically significant. This result means that enterprises have failed to cut production and reduce emissions, proving Hypothesis 2b. Column 2 measures how the policy has affected businesses’ use of clean energy, and the regression coefficient is significantly positive. This result shows that the policy has made a large difference in how much clean energy businesses use, proving Hypothesis 3. Column 3 measures the impact of policy implementation on the traditional energy usage of enterprises. The regression coefficient is less than zero, which means that companies have decreased the traditional energy that they use. Columns (4) and (5) test the end control of pollution discharges of enterprises. The regression result in column (4) is negative but not significant. This result means that policy implementation has no large effect on the number of wastewater treatment facilities in enterprises. The regression coefficient in column (5) is significantly positive, which shows that the policy has made a large difference in inducing businesses to add more waste gas treatment facilities, proving Hypothesis 4.
From the above analysis, it is clear that putting the policy into action makes it possible for businesses to use more clean energy and less traditional energy. No evidence of companies reducing emissions by cutting production is found. Additionally, businesses cut pollution by adding more waste gas treatment facilities, but there is no evidence that adding more wastewater treatment facilities reduces pollution. It is clear that putting the policy into action depends mostly on prevention and control at the beginning of the business, and prevention and control at the end need to be improved.

6. Conclusions and Suggestions

This study analyzes the choice of enterprises against the background of “overseeing the government” by establishing a two-sector evolutionary game model of local government and enterprises. And using the microscopic data of Chinese industrial enterprises from 2001 to 2010, the DID method is used to empirically study the impact of “overseeing the government” on the discharge of water and air pollutants from Chinese enterprises. At the same time, it is used to further explore the path of corporate emission reduction. The study found that “overseeing the government” significantly reduced the intensity of chemical oxygen demand and sulfur dioxide emissions and achieved total emission reductions. In terms of source prevention and control, enterprises mainly reduce pollution emissions by increasing the use of clean energy and reducing the use of traditional energy. In terms of terminal treatment, enterprises mainly reduce emissions by increasing pollution control equipment. At the same time, there is no evidence of enterprises reducing emissions through production reduction. It can be seen that, from the perspective of production, environmental governance has less impact on enterprise output. Therefore, environmental protection and economic development are not in an either/or relationship. Properly handling the relationship between environmental protection and economic development is of great significance not only to China’s sustainable development but also to the cause of sustainable development in the world so as to realize the 17 sustainable development goals proposed by the United Nations as soon as possible.
Based on the above research findings, we emphasize the following aspects to fully leverage the initiative of enterprises in pollution control and emission reduction:
First, the central government should maintain appropriate supervision and link local government performance appraisals with environmental protection. This suggestion applies not only to the Chinese government but also to other countries worldwide. According to the national conditions of each country, countries with different systems have formulated corresponding supervision mechanisms to supervise the implementation of local government policies and reduce collusion between government and enterprises.
Second, further reducing the cost of clean energy will help reduce pollution emissions at the source. At present, the price of clean energy is generally higher than that of traditional fossil energy around the world. In order to make enterprises more willing to choose clean energy, the first step is to reduce the price of clean energy. On the one hand, by encouraging technological progress and increasing investment in new energy, we can fundamentally lower the price of clean energy. On the other hand, increase the price of traditional energy by imposing a carbon tax and other means.
Third, local governments should improve the centralized treatment capacity of wastewater, urge enterprises to install pollution treatment equipment and reduce emissions of waste gas pollutants. For water pollution, the establishment of wastewater treatment plants is very important, but the investment in wastewater treatment plants is relatively high, and some small and medium-sized enterprises are unable to build wastewater treatment plants. Therefore, it is necessary for cities to build sewage treatment plants to deal with water pollution problems and reduce the phenomenon of companies smuggling and leaking sewage due to insufficient governance capabilities. As for air pollution, installing dust removal, desulfurization, and other equipment on the chimney of the factory can reduce the pollutants discharged into the air, and most enterprises can afford the installation cost. This advice applies not only to Chinese companies but also to other companies around the world.
Of course, there are still some limitations in the study because we focus on the micro-enterprise and study the behavior of industrial enterprises. Therefore, this study uses data on Chinese industrial enterprises and cannot test how policies such as environmental protection interviews and central environmental protection inspections affect micro-enterprises. However, the research results are still useful as a point of reference, especially for the analysis of microscopic large sample data, which can show the full effect of how a policy is implemented. Although data on listed companies is regularly updated, it does not include all enterprises of a certain scale and above. As work to protect the environment moves forward, it is becoming increasingly difficult to ignore how small and medium-sized enterprises release pollution. This is one of the main reasons why industrial enterprise data was chosen for this study. In addition, this study examines the effect of “overseeing the government”. This policy is closely related to China’s system and has little relevance for countries with different systems. However, the test of the policy effect also proves the significance of third-party supervision, revealing that no matter what kind of national system, local governments need strong supervision in the process of implementing environmental protection policies.

Author Contributions

Conceptualization, B.C. and Y.W.; methodology and software, B.C.; formal analysis and writing, Y.W. and G. All authors have read and agreed to the published version of the manuscript.

Funding

This research was funded by Jiangsu University Philosophy and Social Science Fund Project (Grant No. 2023SJYB2179), Big 2023 Big Data Application Research Collaborative Innovation Center Fund Project (Grant No. DY23009), 2023 Basic Research Funds for Universities Directly under the Inner Mongolia Autonomous Region (Grant No. NCYWT23019), and the Scientific Research Starting Foundation of Jiangsu University of Science and Technology (Grant No. 1192932204).

Institutional Review Board Statement

Not applicable.

Informed Consent Statement

Not applicable.

Data Availability Statement

The data presented in this study are available on request from the corresponding author.

Acknowledgments

We acknowledge the academic support from the Jiangsu University of Science and Technology and the Central University of Finance and Economics.

Conflicts of Interest

The authors declare no conflict of interest.

References

  1. Bongaerts, J.C.; Kraemer, A. Permits and effluent charges in the water pollution control policies of France, West Germany, and the Netherlands. Environ. Monit. Assess. 1989, 12, 127–147. [Google Scholar] [CrossRef] [PubMed]
  2. Laplante, B.; Rilstone, P. Environmental Inspections and Emissions of the Pulp and Paper Industry in Quebec. J. Environ. Econ. Manag. 1996, 31, 19–36. [Google Scholar] [CrossRef]
  3. Becker, R.; Henderson, V. Effects of Air Quality Regulations on Polluting Industries. J. Political Econ. 2000, 108, 379–421. [Google Scholar] [CrossRef]
  4. Greenstone, M. Estimating Regulation-Induced Substitution: The Effect of the Clean Air Act on Water and Ground Pollution. Am. Econ. Rev. 2003, 93, 442–448. [Google Scholar] [CrossRef]
  5. Shapiro, J.S.; Walker, R. Why Is Pollution from US Manufacturing Declining? The Roles of Environmental Regulation, Productivity, and Trade. Am. Econ. Rev. 2018, 108, 3814–3854. [Google Scholar] [CrossRef]
  6. Li, G.; Zhang, R.; Masui, T. CGE modeling with disaggregated pollution treatment sectors for assessing China’s environmental tax policies. Sci. Total Environ. 2020, 761, 143264. [Google Scholar] [CrossRef]
  7. Li, P.; Lin, Z.; Du, H.; Feng, T.; Zuo, J. Do environmental taxes reduce air pollution? Evidence from fossil-fuel power plants in China. J. Environ. Manag. 2021, 295, 113112. [Google Scholar] [CrossRef]
  8. Foulon, J.; Lanoie, P.; Laplante, B. Incentives for Pollution Control: Regulation or Information? J. Environ. Econ. Manag. 2002, 44, 169–187. [Google Scholar] [CrossRef]
  9. Blundell, W. When threats become credible: A natural experiment of environmental enforcement from Florida. J. Environ. Econ. Manag. 2019, 101, 102288. [Google Scholar] [CrossRef]
  10. Bu, C.; Shi, D. The emission reduction effect of daily penalty policy on firms. J. Environ. Manag. 2021, 294, 112922. [Google Scholar] [CrossRef]
  11. Wang, J.; Yang, J.; Ge, C.; Cao, D.; Schreifels, J. Controlling Sulfurdioxide in China: Will Emission Trading Work? Environ. Sci. Policy Sustain. Dev. 2004, 46, 28–39. [Google Scholar] [CrossRef]
  12. Chang, Y.-C.; Wang, N. Environmental Regulations and Emissions Trading in China. Energ. Policy 2010, 38, 3356–3364. [Google Scholar] [CrossRef]
  13. Shin, S. China’s failure of policy innovation: The case of sulphur dioxide emission trading. Environ. Politics 2013, 22, 918–934. [Google Scholar] [CrossRef]
  14. Duflo, E.; Greenstone, M.; Pande, R.; Ryan, N. The Value of Regulatory Discretion: Estimates From Environmental Inspections in India. Econometrica 2018, 86, 2123–2160. [Google Scholar] [CrossRef]
  15. Brunel, C.; Johnson, E.P. Two birds, one stone? Local pollution regulation and greenhouse gas emissions. Energy Econ. 2018, 78, 1–12. [Google Scholar] [CrossRef]
  16. Gronwald, M.; Van Long, N.; Ropke, L. Simultaneous Supplies of Dirty and Green Fuels with Capacity Constraint: Is There a Green Paradox? Work. Paper Ser. 2013, 1, 91–96. [Google Scholar] [CrossRef]
  17. Gibson, M. Regulation-Induced Pollution Substitution. Rev. Econ. Stat. 2019, 101, 827–840. [Google Scholar] [CrossRef]
  18. Kahn, M.E.; Li, P.; Zhao, D. Water Pollution Progress at Borders: The Role of Changes in China’s Political Promotion Incentives. Am. Econ. J. Econ. Policy 2015, 7, 223–242. [Google Scholar] [CrossRef]
  19. Wu, J.; Zhang, P. Local Government Innovation Diffusion in China: An Event History Analysis of a Performance-Based Reform Programme. Int. Rev. Adm. Sci. 2018, 84, 63–81. [Google Scholar] [CrossRef]
  20. Chen, Y.J.; Li, P.; Lu, Y. Career concerns and multitasking local bureaucrats: Evidence of a target-based performance evaluation system in China. J. Dev. Econ. 2018, 133, 84–101. [Google Scholar] [CrossRef]
  21. Zhang, B.; Chen, X.; Guo, H. Does central supervision enhance local environmental enforcement? Quasi-experimental evidence from China. J. Public Econ. 2018, 164, 70–90. [Google Scholar] [CrossRef]
  22. Jia, K.; Chen, S. Could campaign-style enforcement improve environmental performance? Evidence from China’s central environmental protection inspection. J. Environ. Manag. 2019, 245, 282–290. [Google Scholar] [CrossRef] [PubMed]
  23. Tan, Y.; Mao, X. Assessment of the policy effectiveness of Central Inspections of Environmental Protection on improving air quality in China. J. Clean. Prod. 2020, 288, 125100. [Google Scholar] [CrossRef]
  24. She, Y.; Liu, Y.; Jiang, L.; Yuan, H. Is China’s River Chief Policy effective? Evidence from a quasi-natural experiment in the Yangtze River Economic Belt, China. J. Clean. Prod. 2019, 220, 919–930. [Google Scholar] [CrossRef]
  25. Zheng, S.; Kahn, M.E.; Sun, W.; Luo, D. Incentives for China’s urban mayors to mitigate pollution externalities: The role of the central government and public environmentalism. Reg. Sci. Urban Econ. 2014, 47, 61–71. [Google Scholar] [CrossRef]
  26. Chen, Z.; Kahn, M.E.; Liu, Y.; Wang, Z. The consequences of spatially differentiated water pollution regulation in China. J. Environ. Econ. Manag. 2018, 88, 468–485. [Google Scholar] [CrossRef]
  27. Li, X.; Qiao, Y.; Shi, L. Has China’s war on pollution slowed the growth of its manufacturing and by how much? Evidence from the Clean Air Action. China Econ. Rev. 2018, 53, 271–289. [Google Scholar] [CrossRef]
  28. Zhang, M.; Liu, X.; Ding, Y.; Wang, W. How does environmental regulation affect haze pollution governance?—An empirical test based on Chinese provincial panel data. Sci. Total Environ. 2019, 695, 133905. [Google Scholar] [CrossRef]
  29. Chen, X.; Chen, Z. Can China’s Environmental Regulations Effectively Reduce Pollution Emissions? Int. J. Environ. Res. Public Health 2021, 18, 4658. [Google Scholar] [CrossRef]
  30. Zhang, X.-P.; Cheng, X.-M. Energy consumption, carbon emissions, and economic growth in China. Ecol. Econ. 2009, 68, 2706–2712. [Google Scholar] [CrossRef]
  31. Chen, H.; Feng, Q.; Cao, J. Rent-seeking mechanism for safety supervision in the Chinese coal industry based on a tripartite game model. Energy Policy 2014, 72, 140–145. [Google Scholar] [CrossRef]
  32. Jia, R.; Nie, H. Decentralization, Collusion, and Coal Mine Deaths. Rev. Econ. Stat. 2017, 99, 105–118. [Google Scholar] [CrossRef]
  33. Tian, Y.; Govindan, K.; Zhu, Q. A system dynamics model based on evolutionary game theory for green supply chain management diffusion among Chinese manufacturers. J. Clean. Prod. 2014, 80, 96–105. [Google Scholar] [CrossRef]
  34. Friedman, D. Evolutionary Games in Economics. Econometrica 1991, 59, 637–666. [Google Scholar] [CrossRef]
  35. Brandt, L.; Van Biesebroeck, J.; Zhang, Y. Challenges of working with the Chinese NBS firm-level data. China Econ. Rev. 2014, 30, 339–352. [Google Scholar] [CrossRef]
  36. Jacobson, L.S.; LaLonde, R.J.; Sullivan, D.G. Earnings Losses of Displaced Workers. Am. Econ. Rev. 1993, 83, 685–709. Available online: http://www.jstor.org/stable/2117574 (accessed on 3 January 2022).
Figure 1. (a) Description of the trend of water pollution discharge; (b) Description of the trend of gas pollution discharge; (c) Description of the trend of water pollutant removal amount; (d) Description of the trend of air pollutant removal amount; (e) Description of enterprise wastewater and waste gas treatment capacity; (f) Description of consumption trend of coal and clean gas.
Figure 1. (a) Description of the trend of water pollution discharge; (b) Description of the trend of gas pollution discharge; (c) Description of the trend of water pollutant removal amount; (d) Description of the trend of air pollutant removal amount; (e) Description of enterprise wastewater and waste gas treatment capacity; (f) Description of consumption trend of coal and clean gas.
Sustainability 15 11311 g001aSustainability 15 11311 g001b
Figure 2. (a) Description of water pollution’s parallel trend and dynamic impact; (b) Description of air pollution’s parallel trend and dynamic impact.
Figure 2. (a) Description of water pollution’s parallel trend and dynamic impact; (b) Description of air pollution’s parallel trend and dynamic impact.
Sustainability 15 11311 g002
Table 1. Evolutionary game payoff matrix.
Table 1. Evolutionary game payoff matrix.
Strategy   Combination   ( x , y ) Local Government; Enterprise
strong regulation C 1 + R 1 L σ 1 C 2 + t Q a ;
complete emission reduction 1 σ 1 C 2 t Q a p A C f
strong regulation C 1 + R 1 L + t Q λ 2 a + m D 2 ;
partial emission reduction λ 2 C 2 t Q λ 2 a m D 2 p A C λ 2 f
weak regulation λ 1 C 1 λ 1 P 1 + 1 λ 1 E D 1 + t Q a ;
complete emission reduction C 2 t Q a p A C f
weak regulation λ 1 C 1 λ 1 P 1 + 1 λ 1 E D 1 + t Q λ 2 a + m D 2 ;
partial emission reduction λ 2 C 2 t Q λ 2 a m D 2 p A C λ 2 f
Table 2. Descriptive statistics of main variables.
Table 2. Descriptive statistics of main variables.
VariablesObsMaxMinMeanStd. Dev.
pollu_cod209,106284.938010.72337.160
pollu_water213,924844.816050.696125.788
pollu_so2199,020404.913023.82558.846
pollu_gas205,65858.81703.9009.327
gdp241,32995,4603679.49029,809.83021,197.260
size241,329321,237141.90017,257.13044,325.090
age241,329410013.79014.207
hii241,3290.2210.0010.0050.007
soe241,329100.2180.413
foe241,329100.2450.430
Table 3. Basic regression results.
Table 3. Basic regression results.
Water PollutionAir Pollution
CODWastewaterTotal CODSO2Waste GasTotal SO2
Variables(1)(2)(3)(4)(5)(6)
D × T−0.059 ***−0.053 *−0.253 ***−0.087 ***−0.014−0.149 ***
(−2.81)(−1.97)(−4.36)(−3.12)(−1.41)(−4.19)
gdp−0.042 ***−0.032 **−0.196 ***−0.023−0.009−0.083 ***
(−5.16)(−2.47)(−7.16)(−1.63)(−1.48)(−10.18)
size−0.062 ***−0.056 ***0.351 ***−0.082 ***−0.023 ***0.231 ***
(−5.82)(−3.31)(14.39)(−8.70)(−3.47)(12.54)
age0.0050.025 **0.060 *0.0040.0050.035 ***
(0.57)(2.04)(1.92)(0.43)(0.78)(3.49)
hii2.3776.394 **2.333−1.805−3.3510.327
(0.89)(2.14)(0.33)(−0.49)(−1.12)(0.08)
soe0.0070.053 ***0.104 ***0.0280.0150.070 ***
(0.57)(3.95)(2.92)(1.51)(1.53)(3.66)
foe−0.069 ***−0.076 ***−0.069 *−0.063 ***−0.037 **−0.032
(−4.45)(−5.48)(−1.85)(−5.08)(−2.61)(−1.31)
YearYYYYYY
IndividualYYYYYY
N169,557173,559172,142161,803167,484164,287
R20.7860.8100.7940.8190.8250.849
Note: T statistics are in parentheses; *** p < 0.01, ** p < 0.05, and * p < 0.1, COD is an abbreviation for chemical oxygen demand.
Table 4. Robustness test.
Table 4. Robustness test.
CODSO2CODSO2D × TCODSO2
Variables(1)(2)(3)(4)(5)(6)(7)
D × T−0.057 **−0.084 **−0.011−0.097 *** −0.510 ***−0.585 ***
(−2.62)(−2.03)(−0.39)(−3.13) (−6.24)(−6.68)
D × T 1 −0.007−0.015
(−0.28)(−0.52)
D × T 2004
iv 0.172 ***
(62.32)
gdp−0.043 ***−0.023−0.031 *−0.040 **0.107 ***−0.019 *0.023 *
(−5.05)(−1.36)(−1.92)(−2.24)(82.87)(−1.65)(1.88)
size−0.062 ***−0.082 ***−0.043 ***−0.082 ***−0.002 ***−0.105 ***−0.169 ***
(−5.81)(−7.54)(−3.68)(−6.16)(−6.04)(−57.42)(−74.75)
age0.0050.004−0.011−0.0150.003 ***−0.035 ***−0.054 ***
(0.57)(0.35)(−0.71)(−0.77)(5.38)(−9.29)(−11.88)
hii2.371−1.8072.370−0.2450.347 ***5.606 ***−4.848 ***
(0.89)(−1.24)(1.45)(−0.15)(4.01)(11.55)(−7.45)
soe0.0070.028 *0.0290.0050.003 *0.095 ***0.104 ***
(0.57)(1.73)(1.14)(0.18)(1.92)(10.20)(8.40)
foe−0.069 ***−0.063 ***−0.067 **−0.0190.002 *−0.110 ***−0.405 ***
(−4.45)(−3.33)(−2.50)(−0.58)(1.90)(−14.81)(−40.55)
YearYYYYYYY
individualYYYYNNN
CityNNNNYYY
N169,557161,80361,42862,249199,020209,106199,020
R20.7860.8190.0070.0300.8290.1220.151
Note: T statistics are in parentheses; *** p < 0.01, ** p < 0.05, and * p < 0.1, COD is an abbreviation for chemical oxygen demand.
Table 5. Mechanism test results.
Table 5. Mechanism test results.
Source ControlEnd Control
OutputClean EnergyCoal EnergyWastewaterWaste Gas
Variables(1)(2)(3)(4)(5)
D × T−0.0120.175 ***−0.157 ***−0.0140.014 *
(−0.60)(4.83)(−3.82)(−1.62)(1.77)
gdp−0.057 ***0.024−0.076 ***−0.0030.011
(−6.54)(0.98)(−3.63)(−0.77)(1.67)
size0.539 ***0.104 ***0.266 ***0.042 ***0.041 ***
(26.05)(2.82)(9.78)(6.59)(11.23)
age0.060 ***−0.0130.048 *0.010 *0.003
(4.94)(−0.60)(1.94)(1.88)(0.59)
hii−2.616−2.213−2.3101.205 *0.120
(−1.46)(−0.68)(−0.34)(2.01)(0.13)
soe−0.058 ***−0.0200.110 ***0.016 ***0.009
(−4.95)(−0.54)(2.84)(3.29)(1.32)
foe0.060 ***0.013−0.158 **0.002−0.002
(4.76)(0.33)(−2.46)(0.32)(−0.43)
YearYYYYY
individualYYYYY
N175,10198,030156,740153,828109,320
R20.8910.7730.8770.8000.793
Note: T statistics are in parentheses; *** p < 0.01, ** p < 0.05, and * p < 0.1.
Disclaimer/Publisher’s Note: The statements, opinions and data contained in all publications are solely those of the individual author(s) and contributor(s) and not of MDPI and/or the editor(s). MDPI and/or the editor(s) disclaim responsibility for any injury to people or property resulting from any ideas, methods, instructions or products referred to in the content.

Share and Cite

MDPI and ACS Style

Chen, B.; Gegentana; Wang, Y. The Impact of Environmental Regulations on Enterprise Pollution Emission from the Perspective of “Overseeing the Government”. Sustainability 2023, 15, 11311. https://doi.org/10.3390/su151411311

AMA Style

Chen B, Gegentana, Wang Y. The Impact of Environmental Regulations on Enterprise Pollution Emission from the Perspective of “Overseeing the Government”. Sustainability. 2023; 15(14):11311. https://doi.org/10.3390/su151411311

Chicago/Turabian Style

Chen, Bo, Gegentana, and Yongsheng Wang. 2023. "The Impact of Environmental Regulations on Enterprise Pollution Emission from the Perspective of “Overseeing the Government”" Sustainability 15, no. 14: 11311. https://doi.org/10.3390/su151411311

APA Style

Chen, B., Gegentana, & Wang, Y. (2023). The Impact of Environmental Regulations on Enterprise Pollution Emission from the Perspective of “Overseeing the Government”. Sustainability, 15(14), 11311. https://doi.org/10.3390/su151411311

Note that from the first issue of 2016, this journal uses article numbers instead of page numbers. See further details here.

Article Metrics

Back to TopTop