Investigating the Role of Innovation in Inclusive and Sustainable Development in Ukraine and South Korea
Abstract
1. Introduction
2. Literature Review
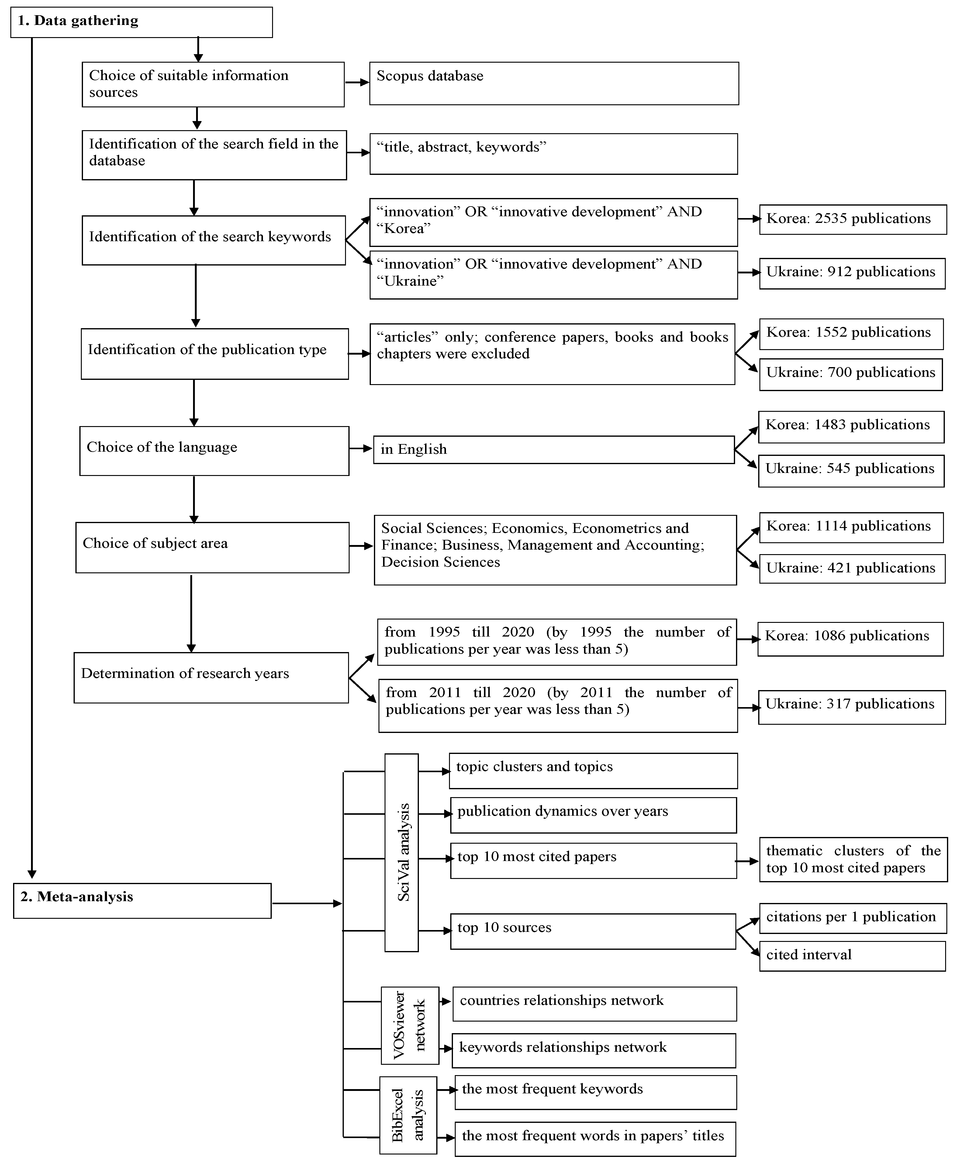
3. Materials and Methods
4. Results
5. Discussion
6. Conclusions
Author Contributions
Funding
Data Availability Statement
Acknowledgments
Conflicts of Interest
References
- Andrișan, G.; Modreanu, A. An Overview of The Fourth Industrial Revolution through the Business Lens. Bus. Ethics Leadersh. 2022, 6, 39–46. [Google Scholar] [CrossRef]
- Antonyuk, N.; Plikus, I.; Jammal, M. Human Capital Quality Assurance under the Conditions of Digital Business Transformation and COVID-19 Impact. Health Econ. Manag. Rev. 2021, 2, 39–47. [Google Scholar] [CrossRef]
- Arranz, N.; Arroyabe, M.; Li, J.; de Arroyabe, J.C.F. Innovation as a driver of eco-innovation in the firm: An approach from the dynamic capability’s theory. Bus. Strategy Environ. 2020, 29, 1494–1503. [Google Scholar] [CrossRef]
- Bibliometrics: Tools and Software. Available online: https://liu.cwp.libguides.com/c.php?g=225325&p=4966525 (accessed on 14 May 2023).
- Cattivelli, V.; Rusciano, V. Social innovation and food provisioning during COVID-19: The case of urban-rural initiatives in the Province of Naples. Sustainability 2020, 12, 4444. [Google Scholar] [CrossRef]
- Cheng, C.C.J.; Shiu, E.C. Leveraging open innovation strategies for fueling eco-innovation performance in dynamic environments. Sustain. Account. Manag. Policy J. 2020, 11, 1245–1270. [Google Scholar] [CrossRef]
- Cunha, J.; Ferreira, C.; Araújo, M.; Nunes, M.L. The mediating role of entrepreneurial intention between creativity and social innovation tendency. Soc. Enterp. J. 2022, 18, 383–405. [Google Scholar] [CrossRef]
- Didenko, I.; Valaskova, K.; Artyukhov, A.; Lyeonov, S.; Vasa, L. Quality of scientific activity as a determinant of socio-economic development. Econ. Sociol. 2022, 15, 301–318. [Google Scholar] [CrossRef]
- Donthu, N.; Kumar, S.; Mukherjee, D.; Pandey, N.; Lim, W.M. How to conduct a bibliometric analysis: An overview and guidelines. J. Bus. Res. 2021, 133, 285–296. [Google Scholar] [CrossRef]
- Dutta, S.; Lanvin, B.; León, L.R.; Wunsch-Vincent, L.; Wunsch-Vincent, S. (Eds.) Global Innovation Index 2021. Tracking Innovation through the COVID-19 Crisis, 14th ed.; World Intellectual Property Organization: Geneva, Switzerland, 2021. [Google Scholar]
- Ellegaard, O. The application of bibliometric analysis: Disciplinary and user aspects. Scientometrics 2018, 116, 181–202. [Google Scholar] [CrossRef]
- Ellegaard, O.; Wallin, J.A. The bibliometric analysis of scholarly production: How great is the impact? Scientometrics 2015, 105, 1809–1831. [Google Scholar] [CrossRef]
- Gontareva, I.; Litvinov, O.; Hrebennyk, N.; Nebaba, N.; Litvinova, V.; Chimshir, A. Improvement of the innovative ecosystem at universities. East.-Eur. J. Enterp. Technol. 2022, 1, 59–68. [Google Scholar] [CrossRef]
- Hrytsenko, P.; Voronenko, V.; Kovalenko, Y.; Kurman, T.; Omelianenko, V. Assessment of the development of innovation activities in the regions: Case of Ukraine. Probl. Perspect. Manag. 2021, 19, 77–88. [Google Scholar] [CrossRef]
- Ibraghimov, E.A. Management of Innovation in Azerbaijan: Relationships with Competitiveness and Sustainable Development. Mark. Manag. Innov. 2022, 1, 247–256. [Google Scholar] [CrossRef]
- Kaiser, U.; Kongsted, H.C.; Rønde, T. Does the mobility of R&D labor increase innovation? J. Econ. Behav. Organ. 2015, 110, 91–105. [Google Scholar] [CrossRef]
- Kaya, H.D.; Engkuchik, E.N. The Impact of the 2008–2009 Global Crisis on Manufacturing Firms’ Fixed Asset Purchases: The Case of Eastern Europe and Central Asia. Financ. Mark. Inst. Risks 2022, 6, 36–42. [Google Scholar] [CrossRef]
- Kazeem, B.L.O.; Adewale, O.V.; Kayode, K.I.; Kayode, O.J. Challenge of COVID-19 and Nigerian Economic Change: The Way Forward. Health Econ. Manag. Rev. 2022, 2, 69–77. [Google Scholar] [CrossRef]
- Khanin, I.; Shevchenko, G.; Bilozubenko, V.; Korneyev, M. A cognitive model for managing the national innovation system parameters based on international comparisons (the case of the EU countries). Probl. Perspect. Manag. 2019, 17, 153–162. [Google Scholar] [CrossRef]
- Klymchuk, A.O.; Mikhailov, A.N. The motivation and stimulation of personnel in effective enterprise management and innovation activity improving. Mark. Manag. Innov. 2018, 1, 218–234. [Google Scholar] [CrossRef]
- Koilo, V. Evaluation of R&D activities in the maritime industry: Managing sustainability transitions through business model. Probl. Perspect. Manag. 2021, 19, 230–246. [Google Scholar] [CrossRef]
- Kozmenko, S.; Vasil’yeva, T.; Leonov, S. The structuring of components of the net domestic product according to the innovation criterion. Innov. Mark. 2010, 6, 30–41. [Google Scholar] [CrossRef]
- Kuzior, A.; Arefieva, O.; Kovalchuk, A.; Brożek, P.; Tytykalo, V. Strategic guidelines for the intellectualization of human capital in the context of innovative transformation. Sustainability 2022, 14, 11937. [Google Scholar] [CrossRef]
- Kuzior, A.; Zozul’ak, J. Adaptation of the idea of phronesis in contemporary approach to innovation. Manag. Syst. Prod. Eng. 2019, 27, 84–87. [Google Scholar] [CrossRef]
- Kyrychenko, K.; Laznenko, D.; Reshetniak, Y. Green University as an Element of Forming a Sustainable Public Health System. Health Econ. Manag. Rev. 2021, 2, 21–26. [Google Scholar] [CrossRef]
- Lee, J.; Rubenstein, A.H. An analysis of factors influencing the utilization of contract research in a developing country, Korea. Res. Policy 1980, 9, 174–196. [Google Scholar] [CrossRef]
- Lee, J.H.; Hancock, M.G.; Hu, M.-C. Towards an effective framework for building smart cities: Lessons from Seoul and San Francisco. Technol. Forecast. Soc. Change 2014, 89, 80–99. [Google Scholar] [CrossRef]
- Lopez, B.S.; Caetano, I.M.S.; Alcaide, A.V. Innovation and Social Networks for Creating Social Value. SocioEconomic Chall. 2022, 6, 94–105. [Google Scholar] [CrossRef]
- Meshcheryakova, T.; Ilin, I.; Kalinina, O. Evaluation of innovation activity science-intensive and high-tech of enterprises. Int. Sci. Conf. Spbwosce-2017 Bus. Technol. Sustain. Urban Dev. 2018, 170, 01048. [Google Scholar] [CrossRef]
- Mishchuk, H.; Roshchyk, I.; Sułkowska, J.; Vojtovič, S. Prospects of assessing the impact of external student migration on restoring country’s intellectual potential (The case study of Ukraine). Econ. Sociol. 2019, 12, 209–219. [Google Scholar] [CrossRef]
- Mongeon, P.; Paul-Hus, A. The journal coverage of Web of Science and Scopus: A comparative analysis. Scientometrics 2016, 106, 213–228. [Google Scholar] [CrossRef]
- Morais-da-Silva, R.L.; Segatto, A.P.; Justen, G.S.; Bezerra-de-Sousa, I.G.; De-Carli, E. The social innovation process: Exploring the specificities in a developing context. Bus. Process Manag. J. 2022, 28, 236–257. [Google Scholar] [CrossRef]
- Moskalenko, B.; Lyulyov, O.; Pimonenko, T. The investment attractiveness of countries: Coupling between core dimensions. Forum Sci. Oeconomia 2022, 10, 153–172. [Google Scholar] [CrossRef]
- Moskalenko, B.; Lyulyov, O.; Pimonenko, T.; Kwilinski, A.; Dzwigol, H. Investment attractiveness of the country: Social, ecological, economic dimension. Int. J. Environ. Pollut. 2022, 69, 80–98. [Google Scholar] [CrossRef]
- Most Innovative Countries 2022. World Population Review 2022. Available online: https://worldpopulationreview.com/country-rankings/most-innovative-countries (accessed on 14 May 2023).
- Naruetharadhol, P.; Srisathan, W.A.; Gebsombut, N.; Ketkaew, C. Towards the open eco-innovation mode: A model of open innovation and green management practices. Cogent Bus. Manag. 2021, 8, 1945425. [Google Scholar] [CrossRef]
- Nemlioglu, I.; Mallick, S. Effective innovation via better management of firms: The role of leverage in times of crisis. Res. Policy 2021, 50, 104259. [Google Scholar] [CrossRef]
- Nezai, A.; Ramli, M.; Refafa, B. The Relationship Between the Scientific Activities in Research Laboratories with Webometrics Ranking of Algerian Universities: An Empirical Investigation. Bus. Ethics Leadersh. 2022, 6, 67–82. [Google Scholar] [CrossRef]
- Oe, H.; Yamaoka, Y.; Duda, K. How to Sustain Businesses in the Post-COVID-19 Era: A Focus on Innovation, Sustainability and Leadership. Bus. Ethics Leadersh. 2022, 6, 1–9. [Google Scholar] [CrossRef]
- Persson, O.; Danell, R.; Schneider, J.W. How to Use Bibexcel for Various Types of Bibliometric Analysis; Åström, F., Danell, R., Larsen, B., Schneider, J., Eds.; International Society for Scientometrics and Informetrics: Leuven, Belgium, 2009. [Google Scholar]
- Pillay, H.L.; Singh, J.S.K.; Fah, B.C.Y. Innovative Activity in SMEs: Critical Success Factors to Achieve Sustainable Business Growth. Mark. Manag. Innov. 2022, 2, 31–42. [Google Scholar] [CrossRef]
- Prokopenko, O.; Holmberg, R.; Omelyanenko, V. Information and communication technologies support for the participation of universities in innovation networks (comparative study). Innov. Mark. 2018, 14, 17–29. [Google Scholar] [CrossRef]
- Prokopenko, O.; Slatvinskyi, M.; Bikoshkurska, N.; Biloshkurskyi, M.; Omelyanenko, V. Methodology of national investment and innovation security analytics. Probl. Perspect. Manag. 2019, 17, 380–394. [Google Scholar] [CrossRef]
- Przychodzen, J.; Przychodzen, W. Relationships between eco-innovation and financial performance—Evidence from publicly traded companies in Poland and Hungary. J. Clean. Prod. 2015, 90, 253–263. [Google Scholar] [CrossRef]
- Pu, R.; Tanamee, D.; Jiang, S. Digitalization and higher education for sustainable development in the context of the COVID-19 pandemic: A content analysis approach. Probl. Perspect. Manag. 2022, 20, 27–40. [Google Scholar] [CrossRef]
- Ramli, M.; Boutayeba, F.; Nezai, A. Public Investment in Human Capital and Economic Growth in Algeria: An empirical study using ARDL approach. SocioEconomic Chall. 2022, 6, 55–66. [Google Scholar] [CrossRef]
- Rao-Nicholson, R.; Vorley, T.; Khan, Z. Social innovation in emerging economies: A national systems of innovation based approach. Technol. Forecast. Soc. Change 2017, 121, 228–237. [Google Scholar] [CrossRef]
- Safarov, G.; Sadiqova, S.; Urazayeva, M.; Abbasova, N. Theoretical and Methodological Aspects of Innovative-Industrial Cluster Development in the Era of Digitalization. Mark. Manag. Innov. 2022, 4, 184–197. [Google Scholar] [CrossRef]
- Samusevych, Y.V.; Novikov, V.V.; Artyukhov, A.Y.; Vasylieva, T.A. Convergence trends in the “economy–education–digitalization–national security” chain. Nauk. Visnyk Natsionalnoho Hirnychoho Universytetu 2021, 6, 177–183. [Google Scholar] [CrossRef]
- Semykina, M.; Luchyk, S.; Zapirchenko, L.; Semykina, A.; Savelenko, H.; Sikoraka, V. Motivational Mechanism of Activation of Innovative Activity of Personnel and Its Improvement. In Proceedings of the 2021 11th International Conference on Advanced Computer Information Technologies (ACIT), Deggendorf, Germany, 15–17 September 2021; pp. 317–321. [Google Scholar] [CrossRef]
- Shaida, O.; Novosad, Z.; Poliakova, J.; Yaremko, L.; Soliman, K.S. The Potential and Results of Innovation Activities in Ukraine: A Regional Section. In Proceedings of the 35th International-Business-Information-Management-Association Conference (IBIMA), Education Excellence and Innovation Management: A 2025 Vision to Sustain Economic Development during Global Challenges, Seville, Spain, 1–2 April 2020; pp. 3071–3076. [Google Scholar]
- Silva, G.; Di Serio, L.C. Innovation in small businesses: Towards an owner-centered approach to innovation. Rev. Bras. Gest. Neg. 2021, 23, 519–535. [Google Scholar] [CrossRef]
- Spescha, A.; Woerter, M. Innovation and firm growth over the business cycle. Ind. Innov. 2019, 26, 321–347. [Google Scholar] [CrossRef]
- Parvin, G.A.; Ahsan, R.; Rahman, H.; Abedin, A. Novel Coronavirus (COVID-19) Pandemic: The Role of Printing Media in Asian Countries. Front. Commun. 2020, 5. [Google Scholar] [CrossRef]
- El Sayed, E.M.A.M. How AI, data science and technology is used to fight the pandemic COVID-19: Case study in Saudi Arabia environment. Res. World Econ. 2020, 11, 409. [Google Scholar] [CrossRef]
- Yoon, S.; Zhang, D. Social media, information presentation, consumer involvement, and cross-border adoption of pop culture products. Electron. Commer. Res. Appl. 2017, 27, 129–138. [Google Scholar] [CrossRef]
- Jung, T.H.; Lee, H.; Chung, N.; Dieck, M.C.T. Cross-cultural differences in adopting mobile augmented reality at cultural heritage tourism sites. Int. J. Contemp. Hosp. Manag. 2018, 30, 1621–1645. [Google Scholar] [CrossRef]
- Park, S.-Y.; Lee, C.-K.; Kim, H. The influence of corporate social responsibility on travel company employees. Int. J. Contemp. Hosp. Manag. 2018, 30, 178–196. [Google Scholar] [CrossRef]
- Tracey, P.; Stott, N. Social innovation: A window on alternative ways of organizing and innovating. Innov. Manag. Policy Pract. 2017, 19, 51–60. [Google Scholar] [CrossRef]
- Triyonowati; Elfita, R.A.; Suwitho; Mildawati, T. Does innovation efficiency affect financial performance? The role of ownership concentration. Invest. Manag. Financ. Innov. 2023, 20, 58–67. [Google Scholar] [CrossRef]
- Varadarajan, R.; Kaul, R. Doing well by doing good innovations: Alleviation of social problems in emerging markets through corporate social innovations. J. Bus. Res. 2018, 86, 225–233. [Google Scholar] [CrossRef]
- Vasilyeva, T.A.; Leonov, S.V.; Lunyakov, O.V. Analysis of internal and external imbalances in the financial sector of Ukraine’s economy. Actual Probl. Econ. 2013, 150, 176–184. [Google Scholar]
- Vorontsova, A.; Vasylieva, T.; Lyeonov, S.; Artyukhov, A.; Mayboroda, T. Education expenditures as a factor in bridging the gap at the level of digitalization. In Proceedings of the 2021 11th International Conference on Advanced Computer Information Technologies (ACIT), Deggendorf, Germany, 15–17 September 2021; pp. 242–245. [Google Scholar] [CrossRef]
- Wulandari, R.; Koe, W.L. The Factors that Influence the Intention of Marketing and Technological Innovation in MSMEs. Mark. Manag. Innov. 2022, 4, 120–135. [Google Scholar] [CrossRef]
- Xavier, A.; Reyes, T.; Aoussat, A.; Luiz, L.; Souza, L. Eco-Innovation Maturity Model: A Framework to Support the Evolution of Eco-Innovation Integration in Companies. Sustainability 2020, 12, 3773. [Google Scholar] [CrossRef]







| Topic Cluster | Scholarly Output | Publication Share (%) | Field-Weighted Citation Impact | Prominence Percentile |
|---|---|---|---|---|
| COVID-19; SARS-CoV-2; Coronovirus (TC.1500) | 1 | 0 | 0.45 | 100 |
| Electricity; Energy; Economics (TC.81) | 16 | 0.05 | 1.67 | 99.264 |
| Ozonization; Degradation; Wastewater Treatment (TC.206) | 1 | 0 | 0.43 | 99.064 |
| Industry; Innovation; Entrepreneurship (TC.24) | 123 | 0.26 | 1.13 | 98.997 |
| Industry; Research; Marketing (TC.36) | 13 | 0.03 | 1.9 | 98.863 |
| Supply Chains; Supply Chain Management; Industry (TC.146) | 3 | 0.01 | 1.03 | 98.06 |
| Topic | Topic Number | Scholarly Output | Prominence Percentile | Top First Source by Citations |
|---|---|---|---|---|
| Radiological Findings; Clinical Features; COVID-19 | T.1100120 | 1 | 100 | Parvin, G.A., Ahsan, R., Rahman, M.H. et al. (2020). Novel Coronavirus (COVID-19) Pandemic: The Role of Printing Media in Asian Countries. Frontiers in Communication, 6 [54] |
| Middle East Respiratory Syndrome Coronavirus; Coronavirus Infections; Hajj | T.6636 | 1 | 99.95 | El Sayed, E.M.A.M. (2020). How AI, data science and technology is used to fight the pandemic COVID-19: Case study in Saudi Arabia environment. Research in World Economy, 11 (5) [55] |
| Electronic Word-Of-Mouth; Online Reviews; Brand Community | T.1190 | 1 | 99.946 | Yoon, S., Zhang, D. (2018). Social media, information presentation, consumer involvement, and cross-border adoption of pop culture products. Electronic Commerce Research and Applications, 27, 129–138 [56] |
| Technology Acceptance Model; Mobile Payment; UTAUT | T.95 | 5 | 99.945 | Jung, T.H., Lee, H., Chung, N. at al. (2018). Cross-cultural differences in adopting mobile augmented reality at cultural heritage tourism sites. International Journal of Contemporary Hospitality Management, 30(3), 1621–1645 [57] |
| Cause-Related Marketing; Corporate Social Performance; Corporate Philanthropy | T.184 | 6 | 99.931 | Park, S.-Y., Lee, C.-K., Kim, H. (2018). The influence of corporate social responsibility on travel company employees. International Journal of Contemporary Hospitality Management, 30(1), 178–196 [58] |
| Topic Cluster | Scholarly Output | Publication Share (%) | Field-Weighted Citation Impact | Prominence Percentile |
|---|---|---|---|---|
| Electricity; Energy; Economics (TC.81) | 1 | 0 | 0.37 | 99.264 |
| Climate Models; Model; Rainfall | 1 | 0 | 0 | 99.13 |
| Industry; Innovation; Entrepreneurship (TC.24) | 21 | 0.04 | 1.1 | 98.997 |
| Industry; Research; Marketing (TC.36) | 5 | 0.01 | 1.19 | 98.863 |
| Supply Chains; Supply Chain Management; Industry (TC.146) | 1 | 0 | 7.58 | 98.06 |
| Topic | Topic Number | Scholarly Output | Prominence Percentile | Field-Weighted Citation Impact |
|---|---|---|---|---|
| Green Supply Chain Management; Environmentally Preferable Purchasing; Green Practices | T.2569 | 1 | 99.937 | 7.58 |
| Cause-Related Marketing; Corporate Social Performance; Corporate Philanthropy | T.184 | 1 | 99.931 | 0 |
| Cultural Ecosystem Services; Service Value; Natural Capital | T.2046 | 1 | 99.917 | 3.14 |
| Information Modeling; Facilities Management; Revit | T.1496 | 1 | 99.776 | 1.21 |
| Business Model Innovation; Sustainable Business; Digital Transformation | T.8491 | 1 | 99.774 | 0 |
| № | Total Citations | Article Title | Author | Number of Affiliations | Countries | Journal/Year of Publication |
|---|---|---|---|---|---|---|
| 1 | 634 | Crisis construction and organizational learning: Capability building in catching-up at Hyundai Motor | Kim L. | 1 | South Korea | Organization Science, 1998 |
| 2 | 429 | East Asian latecomer firms: Learning the technology of electronics | Hobday M. | 1 | United Kingdom | World Development, 1995 |
| 3 | 402 | Towards an effective framework for building smart cities: Lessons from Seoul and San Francisco | Lee J.H., Hancock M.G., Hu M.-C. | 3 | South Korea, United States, Taiwan | Technological Forecasting and Social Change, 2014 |
| 4 | 265 | A cross-cultural comparison of internet buying behavior: Effects of internet usage, perceived risks, and innovativeness | Park C., Jun J.-K. | 2 | South Korea | International Marketing Review, 2003 |
| 5 | 255 | An integrated service-device-technology roadmap for smart city development | Lee J.H., Phaal R., Lee S.-H. | 3 | South Korea, United Kingdom | Technological Forecasting and Social Change, 2013 |
| 6 | 228 | “It’s always more difficult than you plan and imagine”: Teachers’ perceived difficulties in introducing the communicative approach in South Korea | Li D. | 1 | Macao | TESOL Quarterly, 1998 |
| 7 | 223 | National learning systems: A new approach on technological change in late industrializing economies and evidences from the cases of Brazil and South Korea | Viotti E.B. | 1 | Brazil | Technological Forecasting and Social Change, 2002 |
| 8 | 211 | ERP training with a web-based electronic learning system: The flow theory perspective | Choi D.H., Kim J., Kim S.H. | 3 | South Korea | International Journal of Human Computer Studies, 2007 |
| 9 | 210 | Why and how to adopt green management into business organisations?: The case study of Korean SMEs in manufacturing industry | Lee K.-H. | 1 | Australia | Management Decision, 2009 |
| 10 | 204 | When and how does business group affiliation promote firm innovation? A tale of two emerging economies | Chang S.-J., Chung C.-N., Mahmood I.P. | 3 | South Korea, Singapore | Organization Science, 2006 |
| № | Total Citations | Article Title | Author | Number of Affiliations | Countries | Journal/Year of Publication |
|---|---|---|---|---|---|---|
| 1 | 32 | Information and communication technologies support for the participation of universities in innovation networks (comparative study) | Prokopenko O., Holmberg R., Omelyanenko V. | 3 | Sweden, Ukraine | Innovative Marketing, 2018 |
| 2 | 23 | Methodology of national investment and innovation security analytics | Prokopenko O., Slatvinskyi M., Bikoshkurska N., Biloshkurskyi M., Omelyanenko V. | 3 | Ukraine | Problems and Perspectives in Management, 2019 |
| 3 | 20 | Prospects of assessing the impact of external student migration on restoring country’s intellectual potential (The case study of Ukraine) | Mishchuk H., Roshchyk I., Sułkowska J., Vojtovič S. | 3 | Poland, Ukraine, Slovakia | Economics and Sociology, 2019 |
| 4 | 20 | The influence of the industry’s innovation activities indices on the industrial products’ revenue of Ukraine | Ilyash O., Dzhadan I., Ostasz G. | 3 | Poland, Ukraine | Economics and Sociology, 2018 |
| 5 | 19 | Economy’s innovative technological competitiveness: Decomposition, methodic of analysis and priorities of public policy | Vasyltsiv T., Irtyshcheva I., Lupak R., (…), Boiko Y., Ishchenko O. | 3 | Ukraine | Management Science Letters, 2020 |
| 6 | 19 | Beyond participation! Social innovations facilitating movement from authoritative state to participatory forest governance in Ukraine | Sarkki S., Parpan T., Melnykovych M., (…), Voloshyna N., Nijnik M. | 5 | Switzerland, Ukraine, Finland, United Kingdom | Landscape Ecology, 2019 |
| 7 | 19 | Asset and cost management for innovation activity | Labunska S., Petrova M., Prokopishyna O. | 2 | Bulgaria, Ukraine | Economic Annals-XXI, 2017 |
| 8 | 17 | Human values as catalysts and consequences of social innovations | Sarkki S., Ficko A., Miller D., (…), Soloviy I., Nijnik M. | 4 | Slovenia, Finland, United Kingdom, Ukraine | Forest Policy and Economics, 2019 |
| 9 | 17 | Supply chain development drivers in Industry 4.0 in Ukrainian enterprises | Krykavskyy Y., Pokhylchenko O., Hayvanovych N. | 2 | Poland, Ukraine | Oeconomia Copernicana, 2019 |
| 10 | 16 | Analysis of economic development of Ukraine regions based on taxonomy method | Andrusiv U., Simkiv L., Dovgal O., Serhieieva O., Sydor H. | 4 | Ukraine | Management Science Letters, 2020 |
| Cluster | Ideas | Author(s) |
|---|---|---|
| Smart Cities | Coordination of activities of actors from public and private sectors. Role of an open innovation platform. | Lee, J.H., Phaal, R., Lee, S.-H., 2013 Lee, J.H., Hancock, M.G., Hu, M.-C., 2014 |
| Increasing Innovative Activity | Influence of business groups on innovative activities of firms. Specifics of innovative development of latecomers. Shifting from imitation to innovation. Role of active and passive learning strategies in technical and innovative changes. Innovations in green management. Internet innovativeness and innovativeness on a cross-cultural basis. | Kim, L., 1998 Hobday, M., 1995 Park, C., Jun, J.-K., 2003 Viotti, E.B., 2002 Lee, K.-H., 2009 Chang, S.-J., Chung, C.-N., Mahmood, I.P., 2006 |
| Innovations in Education | Role of e-learning and curriculum innovations in education. | Choi, D.H., Kim, J., Kim, S.H., 2007 Li, D., 1998 |
| Cluster | Ideas | Author(s) |
|---|---|---|
| Increasing Innovative Activity | Influence of investment and innovation components on economic development. Dependence between investment and innovation security level. Economy’s innovative technological competitiveness. The best practices of EU member countries as a source of increasing innovative activity. Importance of innovative implementation and commercialisation. Dependence between innovation potential and industrial products’ revenue. Influence of world economies’ competitiveness on the development of innovations. Correlation between industrial product income and the innovation potential of growth. Implementation of Industry 4.0 into enterprise activities. | Labunska, S., Petrova, M., Prokopishyna, O. Ilyash, O., Dzhadan, I., Ostasz, G. Prokopenko, O., Slatvinskyi, M., Bikoshkurska, N., Biloshkurskyi, M., Omelyanenko, V. Vasyltsiv, T., Irtyshcheva, I., Lupak, R., (…), Boiko, Y., Ishchenko, O. Andrusiv, U., Simkiv, L., Dovgal, O., (…), Serhieieva, O., Sydor, H. Krykavskyy, Y., Pokhylchenko, O., Hayvanovych, N. |
| Education for Innovation | Participation of higher educational institutions in innovation networks. The role of universities in the development of innovative knowledge. Influence of external student migration on national competitiveness and innovative development. The role of human values in social innovation. | Prokopenko, O., Holmberg, R., Omelyanenko, V. Mishchuk, H., Roshchyk, I., Sułkowska, J., Vojtovič, S. Sarkki, S., Parpan, T., Melnykovych, M., (…), Voloshyna, N., Nijnik, M. Sarkki, S., Ficko, A., Miller, D., (…), Soloviy, I., Nijnik, M. |
| Journal | Q | SNIP | Number of Published Articles | Number of Citations | Citations per 1 Publication | Cited Interval | ||||
|---|---|---|---|---|---|---|---|---|---|---|
| ≥400 | ≥200 | ≥100 | ≥50 | ≥10 | ||||||
| Sustainability (Switzerland) | Q1 | 1.242 | 93 | 796 | 8.6 | 1 | 28 | |||
| Technological Forecasting And Social Change (USA) | Q1 | 3.037 | 48 | 1884 | 39.3 | 1 | 2 | 1 | 29 | |
| Asian Journal of Technology Innovation (United Kingdom) | Q3 | 0.549 | 42 | 281 | 6.7 | 12 | ||||
| Journal of Open Innovation Technology Market And Complexity (Switzerland) | Q2 | 1.350 | 26 | 262 | 10.1 | 10 | ||||
| Scientometrics (Netherlands) | Q1 | 1.565 | 25 | 610 | 24.4 | 4 | 14 | |||
| International Journal of Technology Management (United Kingdom) | Q2 | 0.652 | 16 | 209 | 13.1 | 1 | 7 | |||
| Technology Analysis And Strategic Management (United Kingdom) | Q2 | 1.094 | 16 | 180 | 11.3 | 7 | ||||
| Science And Public Policy (United Kingdom) | Q1 | 1.207 | 13 | 90 | 6.9 | 3 | ||||
| Research Policy (Netherlands) | Q1 | 3.663 | 12 | 904 | 75.3 | 4 | 4 | 2 | ||
| Technovation (United Kingdom) | Q1 | 2.937 | 12 | 581 | 48.4 | 1 | 3 | 6 | ||
| Journal | Q | SNIP | Number of Published Articles | Number of Citations | Citations Per 1 Publication | Cited Interval |
|---|---|---|---|---|---|---|
| ≥10 | ||||||
| Economic Annals-XXI (Ukraine) | Q3 | 0.485 | 35 | 91 | 2.6 | 2 |
| Science and Innovation (Ukraine) | Q4 | 0.215 | 35 | 9 | 0.3 | |
| Actual Problems of Economics (Ukraine) | - | 0.324 | 32 | 31 | 1.0 | |
| Problems and Perspectives In Management (Ukraine) | Q2 | 0.793 | 29 | 120 | 4.1 | 3 |
| Journal of Advanced Research in Law And Economics (Romania) | - | 0.466 | 10 | 20 | 2.0 | |
| Investment Management and Financial Innovations (Ukraine) | Q3 | 0.692 | 8 | 43 | 5.4 | 1 |
| European Journal of Sustainable Development (Italy) | - | - | 6 | 6 | 1.0 | |
| Banks and Bank Systems (Ukraine) | Q3 | 0.728 | 5 | 12 | 2.4 | |
| Economics and Sociology (Poland) | Q2 | 1.131 | 5 | 46 | 9.2 | 2 |
| Innovative Marketing (Ukraine) | Q3 | 0.545 | 5 | 46 | 9.2 | 1 |
| Word | Frequency | Word | Frequency |
|---|---|---|---|
| innovation | 959 | policy | 239 |
| Korea | 652 | analysis | 234 |
| development | 385 | industrial | 215 |
| technology | 371 | technological | 214 |
| South | 302 | research | 197 |
| Word | Frequency | Word | Frequency |
|---|---|---|---|
| innovation | 370 | technology | 106 |
| Korea | 345 | industry | 90 |
| South | 172 | performance | 87 |
| korean | 153 | analysis | 84 |
| case | 122 | development | 79 |
| Word | Frequency | Word | Frequency |
|---|---|---|---|
| innovation | 138 | management | 39 |
| development | 104 | education | 36 |
| innovative | 68 | activity | 31 |
| Ukraine | 52 | system | 31 |
| economic | 51 | financial | 30 |
| Word | Frequency | Word | Frequency |
|---|---|---|---|
| Ukraine | 122 | economic | 30 |
| development | 99 | management | 28 |
| innovation | 76 | system | 25 |
| innovative | 44 | enterprises | 23 |
| Ukrainian | 34 | case | 21 |
Disclaimer/Publisher’s Note: The statements, opinions and data contained in all publications are solely those of the individual author(s) and contributor(s) and not of MDPI and/or the editor(s). MDPI and/or the editor(s) disclaim responsibility for any injury to people or property resulting from any ideas, methods, instructions or products referred to in the content. |
© 2023 by the authors. Licensee MDPI, Basel, Switzerland. This article is an open access article distributed under the terms and conditions of the Creative Commons Attribution (CC BY) license (https://creativecommons.org/licenses/by/4.0/).
Share and Cite
Syhyda, L.; Saher, L.; Gąsior, M.; Sygyda, N.; Artyukhova, N.; Skrzypek-Ahmed, S.; Dluhopolskyi, O.; Rehak, R. Investigating the Role of Innovation in Inclusive and Sustainable Development in Ukraine and South Korea. Sustainability 2023, 15, 11195. https://doi.org/10.3390/su151411195
Syhyda L, Saher L, Gąsior M, Sygyda N, Artyukhova N, Skrzypek-Ahmed S, Dluhopolskyi O, Rehak R. Investigating the Role of Innovation in Inclusive and Sustainable Development in Ukraine and South Korea. Sustainability. 2023; 15(14):11195. https://doi.org/10.3390/su151411195
Chicago/Turabian StyleSyhyda, Liubov, Liudmyla Saher, Marcin Gąsior, Nataliia Sygyda, Nadiia Artyukhova, Sylwia Skrzypek-Ahmed, Oleksandr Dluhopolskyi, and Robert Rehak. 2023. "Investigating the Role of Innovation in Inclusive and Sustainable Development in Ukraine and South Korea" Sustainability 15, no. 14: 11195. https://doi.org/10.3390/su151411195
APA StyleSyhyda, L., Saher, L., Gąsior, M., Sygyda, N., Artyukhova, N., Skrzypek-Ahmed, S., Dluhopolskyi, O., & Rehak, R. (2023). Investigating the Role of Innovation in Inclusive and Sustainable Development in Ukraine and South Korea. Sustainability, 15(14), 11195. https://doi.org/10.3390/su151411195

