Next Article in Journal
Impact of Air Pollution on Respiratory Diseases in Typical Industrial City in the North China Plain
Next Article in Special Issue
Climate Change Exposure and Firm Performance: Does Managerial Ability Matter?
Previous Article in Journal
Determination of Energy Consumption and Technical Efficiency of Cotton Farms in Türkiye
Previous Article in Special Issue
Environmental, Social and Governance (ESG) Disclosure and the Small and Medium Enterprises (SMEs) Sustainability Performance
 
 
Font Type:
Arial Georgia Verdana
Font Size:
Aa Aa Aa
Line Spacing:
Column Width:
Background:
Article

Leadership and Group Management: Key Success Factors for Microfinance Institutions in Chaiyaphum Province, Thailand

by
Umawadee Detthamrong
1,
Lan Thi Nguyen
2 and
Wirapong Chansanam
2,*
1
Department of Business and Innovation Management, Faculty of Business Administration, Chaiyaphum Rajabhat University, Chaiyaphum 36000, Thailand
2
Department of Information Science, Faculty of Humanities and Social Sciences, Khon Kaen University, Khon Kaen 40002, Thailand
*
Author to whom correspondence should be addressed.
Sustainability 2023, 15(14), 11192; https://doi.org/10.3390/su151411192
Submission received: 1 June 2023 / Revised: 13 July 2023 / Accepted: 17 July 2023 / Published: 18 July 2023

Abstract

Microfinance institutions (MFIs) are critical in promoting financial inclusion and socio-economic development, particularly in marginalized regions. The success and effectiveness of these institutions heavily rely on leadership and group management. This study examines the relationship between leadership, participation, group management, morals, and key success factors for MFIs in Chaiyaphum, Thailand. A quantitative study used a questionnaire to collect data from 396 MFIs. The study revealed a substantial positive correlation between leadership and group management and key success factors. Notably, leadership exhibited the strongest correlation among the variables analyzed. This implies that effective leadership practices and efficient group management significantly contribute to achieving key success factors in microfinance institutions. This study also developed a predictive equation that demonstrated a remarkable level of accuracy in predicting key success factors for MFIs. The equation accurately captured and predicted the interplay between the identified factors and the key success factors for microfinance institutions. The findings highlight the critical importance of leadership and group management in driving the key success factors for MFIs in Chaiyaphum. It underscores the significance of strong leadership capabilities and the implementation of effective group management strategies to enhance the overall performance and sustainability of MFIs. This study also has practical implications for developing and managing MFIs in Chaiyaphum and beyond. By leveraging the findings of this study, policymakers, practitioners, and stakeholders can gain valuable insights into the factors that contribute to the success of microfinance institutions and make informed decisions to support their growth and impact.

1. Introduction

Microfinance institutions (MFIs) are pivotal in advancing financial inclusion and driving socio-economic development, particularly in underserved regions like Chaiyaphum Province, Thailand. To ensure their long-term viability and impact, it is important to understand the key success factors that contribute to their effectiveness and sustainability. Additionally, recognizing the role of morality in guiding ethical conduct is essential for achieving organizational success in financial institutions. Research by [1] highlights the significant influence of morality on achieving desired outcomes, while [2] emphasizes the strong moral values exhibited by individuals in Ban Ang Hin Community Financial institutions. Consequently, institutions with robust moral foundations are more likely to accomplish their objectives. Therefore, integrating an understanding of the key success factors in MFIs and the role of morality in leadership, this study aims to comprehensively analyze the factors that contribute to the effectiveness and sustainability of MFIs in Chaiyaphum Province. By examining the interplay between operational strategies, ethical leadership, and moral values, this research offers valuable insights to enhance the performance and impact of MFIs in pursuing financial inclusion and socio-economic development within the region.
Leadership is pivotal in determining the success of financial community institutes, constituting a critical element within their organizational framework. It encompasses a dynamic process through which leaders influence group members, employing persuasive techniques to elicit compliance, motivate individuals, and foster a sense of unity in various group activities. Furthermore, leadership serves as an adaptive instrument essential for the survival of individuals and groups, primarily focusing on establishing and maintaining effective and cohesive groups. Ref. [3] emphasizes the profound implications of leadership, extending its impact beyond the achievements of institutes or organizations to encompass the overall well-being of their members and employees. Within leadership, the promotion of constructive conflict emerges as a noteworthy aspect, cultivating an environment of support that encourages all members to voice their perspectives on challenges and facilitates the exchange of diverse opinions and ideas. By embracing this approach, leaders effectively bridge the gap between themselves and their followers, fostering robust and meaningful relationships [4]. Leadership effectiveness emerges as a critical determinant in institutional management, with empirical evidence demonstrating that adopting an appropriate leadership style can yield substantial improvements in organizational performance [5]. Thus, the significance of effective leadership in the success and advancement of financial community institutes cannot be overstated. Previous studies explicitly address the topic of leadership in microfinance institutions (MFIs). Refs. [6,7] identified leaders’ commitment as an important factor. Ref. [8] emphasized the critical role of leadership experience and expertise in MFI success. The role of top management is also considered within this context, as noted by [9], who identified a positive relationship between management experience and the financial and social performance of MFIs. Ref. [10] discovered that top management can enhance MFI’s financial self-sufficiency, while Ref. [11] highlighted the importance of the degree of autonomy granted to top management for MFI’s success. Additionally, Ref. [12] discussed the impact of CEO power on MFI success. These studies collectively emphasize the significance of leadership in driving MFI success. Finally, Ref. [13] explored how joint liability lending in microfinance affects the sustainability of micro and small enterprises, revealing that leadership functions at different levels influence their sustainability, contributing to theory and practice in facilitating sustainable initiatives.
Member participation emerges as a pivotal element in the quest for success within microfinance institutions, assuming a central role in their operational dynamics. It is a critical facilitator of knowledge-sharing activities and a key determinant of achievement in strategy implementation. Refs. [14,15] highlights the expansive scope of employee participation, encompassing a range of practices and processes that empower employees with a greater influence within their respective enterprises and workplaces. Of notable significance is the transformative potential of participation, which allows members to exert a tangible influence over decision-making processes that directly impact their professional lives. The ramifications of participation extend beyond the individual agency, as it permeates organizational structures, fostering an environment conducive to improvement in work settings and enabling a smooth transition during periods of change [16]. From an institutional efficiency perspective, the active engagement of members, particularly those possessing exceptional abilities, is paramount in acknowledging the need for change and creating conditions that foster effective contributions from members. Furthermore, the impact of participation extends to member development, engendering cohesive member communities, fostering enhanced communication channels, and yielding heightened levels of productivity [17]. Thus, recognizing the significance of member participation is vital for microfinance institutions’ sustained growth and progress.
Moreover, management has evolved as a comprehensive and inclusive framework for the governance and administration of institutions [18]. Recognizing the paramount importance of effective management in attaining organizational objectives, Ref. [19] underscores the pivotal role of group management in uniting members toward a shared goal, thereby maximizing resource utilization. Furthermore, group management imparts rational direction to members, ensuring their comprehensive understanding of responsibilities and roles within the institution. As previously indicated, the adoption of group management presents an enticing opportunity to enhance institutional performance, particularly in the economic development of the community [20,21]. However, financial community institutes must meticulously formulate operational goals and strategies to unlock this potential fully. In implementing group management, it is imperative to devise a comprehensive plan for advancing members’ knowledge and competencies while also diligently managing community resources to facilitate diverse activities. Additionally, task assignments should be predicated upon aligning individuals’ expertise and aptitudes. Management planning and forecasting are explicit factors in identifying success in microfinance institutions (MFIs). Only one study by [22] explicitly examines the relationship between strategic motivation and MFI success, while other studies touch upon strategy research in microfinance. Refs. [23,24] demonstrate that organizational change, such as transforming a Non-Governmental-Organization-MFI into a regulated financial institution and privatization, significantly impacts the financial and social performance of MFIs. Ref. [25] argues that integrating MFIs into the formal financial sector increases loan coverage and savings mobilization. Other studies consider financial ratios, such as financial sustainability [26], portfolio quality [27], subsidies [10,28], capital structure [29,30,31], and cost-covering interest rates [32], as determinants of MFI success. Investigations on mission drift [31,33,34] assess the relationship between commercialization and MFI social performance, which is also relevant to strategy research. These various articles collectively emphasize the significance of long-term strategic decisions for MFIs.
On the fact of this, MFIs have attracted the attention of researchers who are interested in exploring the contributing factors to their success. Researchers are drawn to study the factors that contribute to MFIs success in aiding low-income communities and small businesses situated in developing countries. MFIs are perceived as one the tools of dealing with poverty in developing and newly industrialized countries like Thailand. The factors that contribute to the success of a microfinance institution are identified by this study. MFIs should therefore effectively promote development and reduce poverty in order to improve their welfare. Proper management is essential for success in the intensely competitive markets of MFIs. To verify such competitive advantages, MFI management is critical. Several aspects of the key success factors among which are morals, participation, group management, leadership, and others were evaluated. However, the literature on MFIs and key success factors in the Chaiyaphum Province, Thailand is scant; to the best of the author’s knowledge, only [35] tested factors affecting MFI financial sustainability in Thailand. Ref. [36] investigated the strengths of the community financial organization of Dong Mafai Sub-district Municipality, Sakon Nakhon Province. Moreover, Ref. [1] investigated the successful factors of the administration of community financial organizations in Nakhon Si Thammarat Province, Thailand, through qualitative research. A study by [37] found that leadership, management, and moral factors significantly contributed to the success of microfinance institutions. Higher levels of leadership, management, and moral values are associated with greater success in these institutions, as found by multiple correlation and multiple regression analysis with application in SPSS. Furthermore, Ref. [38] suggests that policymakers should establish regulations related to knowledge management, institutional leadership, and adaptive mechanisms to enhance the effectiveness of business process reengineering. To achieve successful business process reengineering results, managers in microfinance institutions should also prioritize institutional leadership and organizational adaptability. Therefore, it is essential to provide further evidence for this issue in Chaiyaphum Province, Thailand. This paper aims to fill this gap by identifying the key determinants of their success through empirical research. The remainder of this paper is organized as follows: Section 2 discusses the materials and methods of the study; Section 3 highlights our empirical results; Section 4 describes the discussion; and Section 5 presents the conclusions.

2. Materials and Methods

This research is a quantitative study that used a questionnaire to collect data. The population of the study was the members of microfinance institutions in Chaiyaphum Province, Thailand. We selected a target group, which was a microfinance institution that succeeds in managing in Chaiyaphum Province. The selection criteria focused on choosing a group supported by the state, recognized as a reputable organization, and recommended for studying successful management practices by those with experience and supervision in microfinance institutions. To determine the sample size, a non-probability sampling technique was employed. Specifically, convenient sampling was used to select members of microfinance institutions who had direct involvement with the subject matter under investigation. This approach allowed for the inclusion of respondents who could provide personal accounts of past events, ensuring the collection of precise and accurate information regarding their participation. The sample size was calculated using a formula that accounted for a confidence level of 95% and a margin of error of 5%. In total, 396 members of MFIs were selected to represent the target group.
To gather data on the key success factors for microfinance institutions, a questionnaire was utilized. The questionnaire was structured into three distinct sections: (1) the first section focused on questions related to demographic characteristics; (2) the second section included queries concerning the factors influencing key success factors for microfinance institutions; and (3) the third section employed a Likert scale ranging from 1, strongly disagree, to 5, strongly agree, to assess the key success factors for microfinance institutions of the respondents. The datasets present data collected by a questionnaire, applying closed-ended question types (multiple-choice, Likert scale). A rating scale known as the Likert scale was used to quantify attitudes, behaviors, and opinions. Following a statement or a question, there were five answer statements in succession. When choosing an answer, respondents considered their feelings toward the question. Likert scales are excellent for capturing respondents’ levels of agreement or their feelings regarding the topic in a more nuanced manner because they give respondents a variety of possible answers. The key success factors were independent variables including four dimensions (leadership, participation, group management, and moral) and were measured by thirty-five items. The success of microfinance institutions was a dependent variable, measured by twelve items. The questionnaire can be utilized for similar research in various fields with the same structure or in various modifications.
This questionnaire allowed for a structured and organized approach to data collection to better understand the factors that impact key success factors for microfinance institutions in Chaiyaphum Province, Thailand. Declarative statements followed by a rating scale are typical in Likert survey questions. The scale used in this study allowed for capturing two directions of values, ranging from very dissatisfied to very satisfied. By utilizing this approach, the questionnaire assessed the respondents’ attitudes, experiences, and opinions regarding the key success factors for microfinance institutions in Chaiyaphum Province in a comprehensive and structured manner. Before their use, three experts conducted a quality review of the tools, specifically a content validity check. The Index of Item-Objective Congruence (IOC) revealed a value greater than 0.5 for all questions, with an acceptable IOC value between 0.50–0.93, as [39] determined.
To assess the reliability of the questionnaires, they were tested before actual use (n = 30), and data was collected from the members of microfinance institutions in Chaiyaphum Province, Thailand (n = 396). Additionally, the discriminant power of the questions or variables used in the research to classify respondents was evaluated through the corrected item-total correlation. Results showed that the discriminant power ranged from 0.550–0.630, which exceeded the acceptable value of 0.30 as determined by [40]. The Cronbach’s alpha of each variable was between 0.831–0.871, which exceeds the acceptable value of 0.70 according to [41]. The variables used in this study are defined in Table 1.
The data was collected by distributing questionnaires to the microfinance institutions in Chaiyaphum Province, Thailand. All data were exported to Excel spreadsheets. Only the completed questionnaires were used in the analyses. Data were analyzed using the RStudio software version 2022.07 “Spotted Wakerobin”.
We conducted correlation and multiple regression analyses and constructed predictive equations to examine the factors influencing key success factors for microfinance institutions in Chaiyaphum Province, Thailand.
The multiple correlation coefficient results were utilized to determine the strongest possible linear relationship between two or more independent variables and a single dependent variable. This approach is widely accepted in the social sciences to understand how independent (or explanatory) variables affect a dependent variable. Specially, we employed multiple linear regression to calculate the relationship between two or more independent variables and one dependent variable. This method provided valuable insights into the value of the dependent variable at specific values of the independent variables. For our analysis, we utilized the RStudio software, which is a powerful tool for statistical computations and data analysis [42]. Throughout the study, we made certain assumptions, including the presence of correlations among the factors, the ability to predict success factors for microfinance institutions using these factors, and the reliability of the predictive equation.
The Life Cycle Theory has been used in corporate environments to try to explain the processes involved in a firm’s birth, expansion, maturation, and survival. Its use and relevance in the field of microfinance institutions, however, has not been well received. The theory suggests that as a microfinance institution’s management gains expertise over time, the business model and microfinance institution financing become more focused. This enables microfinance institutions to transition from being small, ineffective, and financially unsustainable institutions to large, sustainable institutions. Institutionalists appreciate financial sustainability for improving outreach to the poor in a consistent manner. As a result, every microfinance institution must prioritize financial sustainability as a top microfinance institution development priority. Evidence regarding the success and sustainability of microfinance institutions has remained inadequate [43]. Although microfinance institutions have become one of the most prominent anti-poverty strategies, many policymakers and academics are uncertain of their effects on the social and economic conditions of the poor, as well as the success and long-term sustainability of microfinance institutions.
Leadership plays a pivotal role in the overall success of microfinance institutions as it forms a vital component of their organizational structure. Effective leadership not only persuades individuals about the necessity for change but also encourages innovative problem-solving approaches, as well as motivating teamwork to achieve goals in challenging work environments. Additionally, leadership also encourages group professional development. Research, such as the study cited in [8], highlights how crucial leadership experience and knowledge are to the success of MFIs. As mentioned by [9], which found a positive correlation between management experience and the financial and social performance of MFIs, the role of top management is also taken into account in this context. Moreover, Ref. [13] investigated how joint liability lending in microfinance impacts the sustainability of micro and small enterprises. The study revealed that leadership functions at various levels have an influence on the sustainability of these enterprises, contributing to both theoretical and practical factors in facilitating sustainable initiatives.
Considering the arguments and findings, the following hypothesis is developed:
Hypothesis 1: 
Leadership is statistically predictive of key success factors for microfinance institutions.
Social interactions play a crucial role in fostering active participation among members as they create an environment of mutual respect and enjoyment. Positive experiences act as motivators for increased engagement, while negative experiences can in turn discourage further involvement. This interaction serves as a vital catalyst for knowledge-sharing activities and is a crucial predictor of success when implementing strategies [27]. Furthermore, Ref. [28] emphasizes the broad aspect of member participation, which includes a variety of procedures and practices that empower individuals by giving them more power and influence over their organizations and workplaces. One of the best ways to promote participation is to actively seek members’ ideas. By engaging in two-way conversations and demonstrating a commitment to continuous improvement, microfinance institutions can foster a sense of respect and encourage greater involvement from their members. In line with the existing literature, this presents a positive impact of participation on a community’s economic development. By actively engaging members in decision-making processes and fostering a sense of ownership and responsibility, microfinance institutions can harness the power of member participation to drive their success and contribute to the overall socio-economic development of the region. Through an integrated analysis of key success factors and the role of member participation, this research aims to provide valuable insights into optimizing the impact and sustainability of MFIs in Chaiyaphum Province.
Based on the previous literature discussed, the following hypothesis is developed:
Hypothesis 2: 
Participation is statistically predictive of key success factors for microfinance institutions.
Group management has emerged as a comprehensive and inclusive framework for the governance and management of institutions [31]. It plays a crucial role in uniting individuals around a shared objective and optimizing the utilization of resources, as emphasized by [32]. Additionally, group management provides members with logical guidance, ensuring that they fully comprehend their roles and responsibilities within the institution. Relationship-building skills include the capacity to build personal connections, accept diversity, promote teamwork, and inspire team members. Diversity within teams and groups is often seen as a positive force that enhances collaboration. It is believed that diversity fosters creative and innovative thinking, thereby improving overall group performance. Recognizing the importance of group management and the positive impact of diversity, we develop the following hypothesis:
Hypothesis 3: 
Group management is statistically predictive of key success factors for microfinance institutions.
Effective morals emerge as a critical determinant of overall institutional success, encompassing the ability to discern the moral implications of decisions, apply a moral decision-making framework, and consistently choose ethically sound courses of action. According to [1], morality has a significant impact on the likelihood of organizational success within financial institutions, underscoring its crucial role in achieving desired results. Additionally, Ref. [2] found that financial institution employees have high moral standards based on the sufficiency economy’s emphasis on honesty. In financial institutions, morality serves as a driving force behind the socially conscious actions that their managers and stakeholders take. The success of moral frameworks is dependent on managerial procedures that are just and equitable. Additionally, unethical organizations cannot compete on a local, national, or international level. In line with the previous literature discussed, the following hypothesis is developed:
Hypothesis 4 
: Morals are statistically predictive of key success factors for microfinance institutions.
This study investigates and delineates the salient success factors specific to microfinance institutions operating in Chaiyaphum Province. By scrutinizing the distinctive contextual factors, operational strategies, and organizational attributes that foster the flourishing of MFIs in this region, we can illuminate the practices and approaches underpinning their achievements. Through a meticulous analysis of the microfinance landscape in Chaiyaphum Province, our objective is to furnish invaluable insights and recommendations to augment the performance and influence of MFIs in analogous settings. We will employ a mixed-method research approach to attain this goal, integrating quantitative methodologies with in-depth data analysis of pertinent financial and operational indicators. By assimilating information from these data sources, we aim to develop a comprehensive understanding of the success factors that shape the performance, outreach, and sustainability of MFIs in Chaiyaphum Province. Anticipated contributions from this study are expected to enrich the existing body of knowledge on microfinance and yield practical implications for policymakers, MFI practitioners, and stakeholders involved in advancing inclusive financial services. This research facilitates evidence-based decision-making by discerning the key success factors specific to the Chaiyaphum context, ultimately fostering the growth and efficacy of microfinance institutions within the province and beyond. Consistent with the extant literature, we hypothesize a positive correlation between member participation and the community’s economic development. By actively involving members in decision-making processes and nurturing a sense of ownership and accountability, microfinance institutions in Chaiyaphum Province can harness the potential of member participation to drive their triumphs and contribute to the holistic socio-economic progress of the region. Through an integrated analysis of the pivotal success factors and the role of member participation, this research aims to yield valuable insights to optimize the impact and sustainability of MFIs in Chaiyaphum Province. By exploring the interplay between member participation, management practices, and operational goals, this research aims to provide comprehensive insights into the strategies that can optimize the effectiveness and sustainability of microfinance institutions in Chaiyaphum Province. Understanding the combined impact of member participation and effective management will contribute to the development of actionable recommendations for enhancing the performance and long-term success of MFIs, ultimately fostering economic growth and prosperity in the region.

3. Results

We conducted a multicollinearity test using Pearson correlation coefficients to assess whether there was multicollinearity among the independent variables in the model. Correlation matrices and the VIF test were employed to examine the extent of multicollinearity, and the results are presented in Table 2 and Figure 1. The highest correlation coefficient (0.677) was found between EMPT and MNGT. This coefficient suggests the absence of multicollinearity, as its value falls below the threshold of 0.80. In the statistical literature [39], coefficients equal to or greater than 0.80 indicate the presence of multicollinearity. The variance inflation factor (VIF) was computed to support this conclusion further, and the VIF results are presented in Table 2 below.
Based on the findings in Table 2 and Figure 1, the independent variables demonstrated a relatively high overall correlation. This raised concerns regarding the potential presence of multicollinearity issues. To address this concern, we conducted a multicollinearity test. Using the variance inflation factor (VIF) value, we assessed the key success factors for microfinance institutions’ independent variable, which ranged from 1.861 to 2.334. These values indicate the absence of multicollinearity problems among the independent variables. Moreover, the results of this test suggest that the independent variables were not collinear, and thus, the regression model remained unaffected by multicollinearity. This is crucial, as multicollinearity can introduce inaccuracies and unreliable results [44].
We analyzed the data to investigate the correlation coefficients between the independent and dependent variables. The results revealed a positive relationship between these variables, with correlation coefficients ranging from 0.393 to 0.677. Importantly, these coefficients exhibited statistical significance at 0.05, affirming a strong and reliable association between the independent and dependent variables. This indicates that the independent variable can serve as a predictive factor for the dependent variable. To further explore this relationship, we proceeded with a multiple regression analysis.
Figure 2 provides valuable insights, apart from its correlation metric. The diagonal showcases the distribution of each variable, enabling us to swiftly dismiss a position under consideration if its distribution follows a barbell shape, particularly one that is heavily left-tailed. The lower half of the plot displays the plotted values of the column–row variables, aiding our understanding of their movement patterns toward each other. Notably, we observe a high correlation between the two positions, as they generally move in tandem. The traditional correlation metric is presented in the upper half, along with its significance level denoted by asterisks. However, this portion of the plot could be more useful, as it can be misleading. For instance, if their standard deviations are large, two positions with a low correlation may still exhibit a high correlation. While the correlation metric is pivotal for portfolio optimization, it is crucial to remember that it is just one aspect of the overall picture. When making investment decisions, we should also consider the distribution of each variable and the relationship between the two positions. To analyze and visualize the data, we utilized the chart.Correlation() function from the PerformanceAnalytics package [45], as shown in Figure 2.
The value of R-squared in Table 3 shows the percentage of the variance in the dependent variable, key success factors for microfinance institutions (KSF-MFIs). The independent variables explain the key success factors for microfinance institutions acquired during a performance (KSF-MFIs-AP). The calculated R-squared value (R2 = 0.374; sig = 0.000) indicates that the independent variable, key success factors for microfinance institutions acquired during a performance, explains approximately 37.4% of the variance observed in the dependent variable, key success factors for microfinance institutions. Moreover, the relationship between these variables is statistically significant based on the provided significance level. Consequently, the R-squared value increases as the number of independent variables in the model increases. An ANOVA test was conducted to ascertain the model’s overall significance. The results indicate that the model possesses substantial importance at all levels, as evidenced by the F statistic. The findings of this study suggest that financial planning acquired during working is a significant predictor of key success factors for microfinance institutions. This study also suggests that the model can be used to predict key success factors for microfinance institutions.
Table 3 presents the relationships between various variables and key success factors for microfinance institutions. Constant, Leadership (EMPT), Group Management (MNGT), and Moral (MORT) exhibit positive relationships, while Participation (COOT) demonstrates a negative relationship and impacts key success factors for microfinance institutions as a whole. The statistical significance for all variables, except Participation (COOT) and Moral (MORT), is 0.05. Consequently, Participation (COOT) and Moral (MORT) show no significant relationship or impact on key success factors for microfinance institutions. The findings of this study emphasize the importance of Leadership (EMPT), Group Management (MNGT), and the constant variable as crucial factors for key success factors in microfinance institutions. Conversely, the study suggests that Participation (COOT) and Moral (MORT) are not important in determining key success factors for microfinance institutions. The coefficient on EMPT is 1.604 and statistically significant at the 5% level, indicating that an increase in leadership is associated with an increase in the success of microfinance institutions. This empirical finding provides support for Hypothesis 1, which predicts that leadership is a statistically significant predictor of key success factors for microfinance institutions. Moreover, the coefficient on MNGT is 0.346 and statistically significant at the 5% level, suggesting that an increase in group management will lead to an increase in the success of microfinance institutions. This finding provides empirical support to Hypothesis 3 which predicts that group management is statistically predictive of key success factors for microfinance institutions. Nevertheless, the results also show that other variables are not associated with key success factors for microfinance institutions. These findings do not provide support for Hypotheses 2 and 4.
Consequently, the findings of this study emphasize the importance of Leadership (EMPT) and Group Management (MNGT) as critical factors in achieving key success factors for microfinance institutions. Moreover, these factors hold the potential to predict key success factors for microfinance institutions.
Table 3 presents the results of the multiple regression analysis. It reveals that the independent variable serves as a significant predictor of the dependent variable, thereby indicating the model’s strong explanatory power. Based on the findings of this study, the independent variable emerges as a significant predictor of the dependent variable. Furthermore, the model has the potential to predict the dependent variable effectively. To visualize the results, we utilized the ggcoefstats() function from the ggstatsplot package [46], as depicted in Figure 3.
The equation for forecasting factors affecting key success factors for microfinance institutions can be defined as follows:
KSFT = 1.601 + 0.218 * EMPT + 0.346 * MNGT
where:
FKSFT = Key success factors for microfinance institutions
EMPT = Leadership
MNGT = Group Management
The equation demonstrates that Leadership (EMPT) and Group Management (MNGT) positively impact key success factors for microfinance institutions. On the other hand, the negative coefficient for Participation (COOT) suggests a fundamental level of key success factors for microfinance institutions that cannot be accounted for by the other variables in the equation. Based on the findings of this study, it can be inferred that Leadership (EMPT) and Group Management (MNGT) play significant roles in influencing key success factors for microfinance institutions. Additionally, the study suggests that this equation can be utilized to forecast key success factors for microfinance institutions.

3.1. Drawing the Multiple Regression Models

The dataset comprises five continuous variables, with consistent slopes for one variable, while the intercepts demonstrate variations based on the values of other variables. Specifically, for the key success factors for microfinance institutions (FKSFT) variable, the mean values and standard deviations of EMPT, COOT, MNGT, and MORT are 3.759, 3.347, 3.709, and 3.450, respectively. To facilitate the analysis, we utilized the ggPredict() function [47]. By default, (when the mode argument is set to 1), this function calculates the mean and mean ± 1 * sd using the provided R code. Additionally, it computes the equation for the predictor variable, taking into account the mean and standard deviation of the moderator variable. In this model, the predictor variable (pred, the first predictor variable) and the moderator variable (modx, the continuous predictor variable) play distinct roles, showcasing their interactions and resulting in varying slopes and intercepts for each variable based on the values of the others. Due to the intricate interactions among the five continuous variables in this model, determining intercepts and slope values becomes more complex. Consequently, the regression plot also becomes more intricate. For visualizing the multiple regression models, we employed the ggPredict() function from the predict3d package [47], as demonstrated in Figure 4, Figure 5 and Figure 6.

3.2. Checking for Regression Assumptions

To evaluate the linear relationship, we employed the residuals vs. fitted plot. A horizontal line without discernible patterns indicates the presence of a linear relationship. The standard Q-Q plot was used to assess the normal distribution of residuals. In this plot, if the residuals follow a linear pattern, this indicates a normal distribution. Furthermore, we utilized the scale-location plot to examine the homogeneity of variance in residuals. A horizontally aligned line with evenly dispersed points signifies homogeneity of variance. Additionally, we employed the residuals vs. leverage plots to identify potential outliers that could impact the regression analysis results. These plots incorporate red lines representing curves of constant Cook’s distance, which combines leverage and residual size to measure the influence of a data point.
As illustrated in Figure 7, our objective is to identify a linear association between the independent and dependent variables. Therefore, the data points should demonstrate a relatively even and random distribution above and below the zero line. A linear model may not be the most appropriate fit if the graph exhibits a curved pattern. This curvature could be attributed to either a non-linear relationship between the variables or the influence of other factors affecting the data. Additionally, if the data points form a funnel-shaped pattern, it raises concerns about heteroscedasticity. Heteroscedasticity indicates that the variance of the data is not consistent. Several factors, such as outliers or non-linear relationships, can contribute to this phenomenon. In such instances, it may be necessary to consider data transformation or to explore alternative models for analysis.
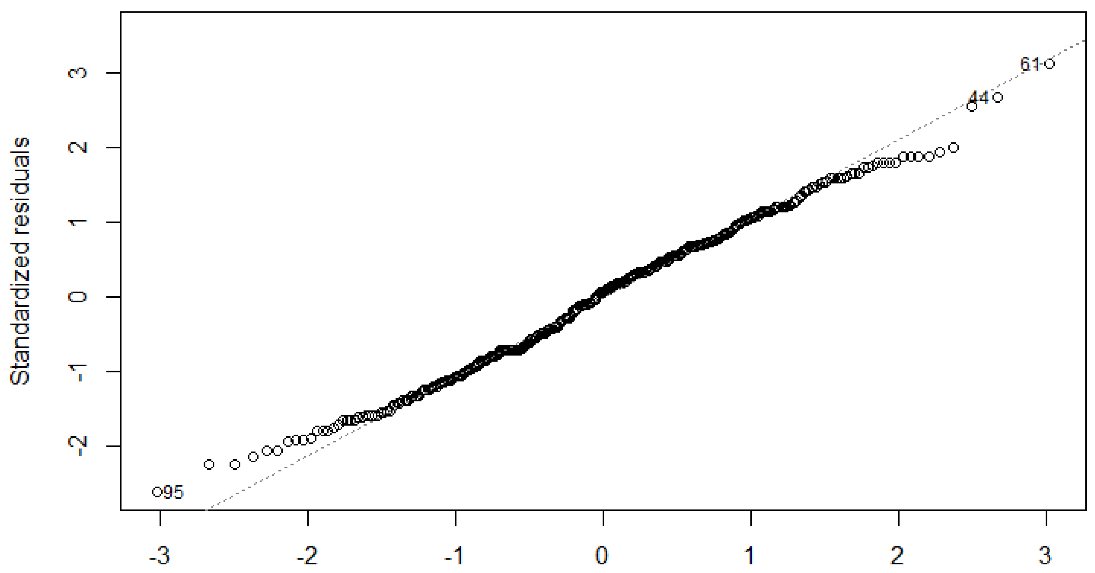
Figure 8 presents a graphical method for evaluating the distribution of residuals derived from a regression model. Residuals represent the differences between the observed values and the predicted values. The Q-Q plot compares the quantiles of the residuals with those of a standard normal distribution. When the residuals follow a normal distribution, the points on the Q-Q plot should roughly align along a straight line. As depicted in Figure 8, the points on the Q-Q plot exhibit a close alignment with the line, indicating a normal distribution of the residuals. Another approach to assess the normality of residuals is utilizing the histogram function, which will be demonstrated below. The Q-Q plot is a valuable tool for assessing the distribution of residuals. When residuals deviate from normality, it may be necessary to consider data transformation or employ an alternative regression model.
The scale–location plot is a diagnostic tool for assessing the variance of residuals within a regression model. Residuals refer to the disparities between the observed values and the corresponding predicted values. On the other hand, standardized residuals are obtained by dividing the residuals by their standard deviation. The scale-location plot, akin to the residuals vs. fitted plot, incorporates the square root of the standardized residuals. As depicted in Figure 9, the scale–location plot exhibits no discernible pattern. This observation implies that the residuals’ variance remains constant, aligning with our desired expectation. However, if the scale–location plot displays a pattern, it might necessitate data transformation or the adoption of an alternative regression model.
The Cook’s distance plot is a valuable graphical tool for identifying influential points within a regression model. Influential points are characterized by their substantial impact on the model’s overall fit. The Cook’s distance plot displays the Cook’s distance, a measure of the influence of each point, against the corresponding index of the point. Figure 10 illustrates that no notable outliers are positioned far from the dashed red lines at the upper right or lower left corners. This observation implies that a few exceptional cases did not heavily influence our model. In the presence of outliers, it may be necessary to either eliminate them from the dataset or consider employing an alternative regression model. Cook’s distance plot effectively aids in the identification of influential points. Should such points be present, it is imperative to conduct further investigation into their characteristics.
A histogram is a visual representation of the data distribution, showing the frequency of each value in a dataset through a bar graph. In regression analysis, histograms are used to evaluate the distribution of residuals. Residuals are the differences between observed values and their corresponding predicted values. Ideally, the histogram of residuals should be approximately normally distributed, with an even distribution around 0. Deviation from normality may necessitate data transformation or the adoption of an alternative regression model. Figure 11 shows the histogram of residuals for the regression model. The histogram shows a slight skewness, suggesting that the residuals are not evenly distributed around 0. However, the skewness is moderately pronounced, suggesting that the regression model is still valid. It is important to note that the histogram of residuals is just one of several tools available for assessing the validity of a regression model. Other tools include the residuals vs. fitted plot, the scale–location plot, and the Cook’s distance plot.

4. Discussion

The study’s findings revealed a substantial positive correlation between the examined factors and the key success factors for microfinance institutions operating in Chaiyaphum Province, Thailand. Notably, the leadership and group management factors exhibited the strongest correlation among the variables analyzed. This implies that effective leadership practices and efficient group management significantly contribute to achieving key success factors in microfinance institutions within the province. Moreover, the predictive equation employed in this study demonstrated a remarkable level of accuracy, as evidenced by an impressive R-squared value of 0.374. This indicates that the equation successfully captures and predicts the interplay between the identified factors and the key success factors for microfinance institutions in Chaiyaphum Province. Consequently, these findings highlight the critical importance of leadership and group management in driving the key success factors for microfinance institutions in the studied context. These findings provide support for Hypotheses 1 and 3. They underscore the significance of strong leadership capabilities and the implementation of effective group management strategies to enhance the overall performance and sustainability of microfinance institutions in Chaiyaphum Province, Thailand. Microfinance institutions (MFIs) have garnered considerable attention as potent catalysts for promoting financial inclusion and fostering socio-economic development, particularly in marginalized regions. Within the realm of MFIs, leadership assumes a paramount role in shaping the success and effectiveness of these institutions. By scrutinizing seminal studies and research in this domain, we endeavor to acquire a comprehensive understanding of the pivotal role of leadership in driving the performance and sustainability of MFIs. According to [37], leadership, management, and moral factors significantly contribute to the success of microfinance institutions at a significant level of 0.05, discovered through correlation and regression analysis using SPSS. The results suggest that higher levels of leadership, management, and moral values are associated with greater success in microfinance institutions. Leadership is one of the most important factors in the success of microfinance institutions (MFIs). Leaders of MFIs must be able to motivate and inspire their staff, build strong relationships with their clients, and create a culture of innovation and risk-taking. In a study of 227 managers in Angolan companies, Ref. [48] found that leaders who use a transformational leadership style are more likely to have a positive impact on business performance. Transformational leaders are those who inspire and motivate their followers to achieve more than they thought possible. They do this by providing a clear vision, challenging their followers to grow, and recognizing their accomplishments. In addition to leadership style, the authors of the paper also found that communication, motivation, and reward systems all play a role in business performance. Employees who feel that they are being communicated with effectively, who are motivated to do their best, and who are rewarded for their accomplishments are more likely to be productive and engaged in their work. Furthermore, the study result of 100 MFIs in Kenya, Ref. [49] found that MFIs with strong leaders were more likely to have higher levels of financial sustainability, outreach, and impact. Moreover, Ref. [50] concluded that leadership styles have an effect on performance in microfinance institutions and recommended that managers in these institutions adopt transformational leadership for staff retention, enhanced employee satisfaction, and increased productivity. In addition, Ref. [51] also revealed that the performance of microfinance institutions largely depends on the performance of employees, which is influenced by the leadership styles practiced. The study recommends the implementation of effective rewards and recognition systems and the formulation of managerial policies that promote greater involvement in guiding subordinates to achieve organizational goals. Additionally, Ref. [38] suggests that policymakers should develop policies related to knowledge management, institutional leadership, and adaptive mechanisms to improve business process reengineering performance. Managers in microfinance institutions should also prioritize institutional leadership and organizational adaptability to drive successful business process reengineering outcomes. Based on the evidence from these studies, it is clear that leadership is a key factor in the success of MFIs. Leaders of MFIs must be able to motivate and inspire their staff, build strong relationships with their clients, and create a culture of innovation and risk-taking. By doing these things, leaders can help their MFIs achieve their goals and positively impact their clients’ lives. In addition to the points mentioned in the paper, it is also important for MFI leaders to adapt to change. The microfinance industry is constantly evolving, and leaders must be able to change with the times to remain successful. They must also be able to deal with the challenges of working in a developing country, such as corruption, poverty, and political instability. Despite the challenges, the microfinance industry has the potential to make a significant impact on poverty alleviation. By providing access to financial services, MFIs can help people lift themselves out of poverty and improve their lives. Leaders of MFIs play a vital role in this process, and their leadership can make a real difference in the lives of millions worldwide.
Additionally, group lending is a microfinance model where individuals come together to obtain a loan from a microfinance institution. The group members are jointly responsible for repaying the loan, and each member is held accountable for the repayment of the loan amount. This model is based on the principle of social collateral, where the group members act as guarantors for each other’s loans. Group lending provides access to credit for individuals who may not have collateral or credit history to obtain loans from traditional banks. It also promotes social cohesion and peer support among group members, which can help improve loan repayment rates [52]. Ref. [53] suggest that policymakers can leverage the social dynamics within Muslim communities, and exploring additional Islamic financial contracts such as partnership and profit and loss sharing arrangements may further amplify the positive outcomes of group lending. Furthermore, Ref. [54] revealed that several challenges, such as low market prices, short loan durations, crop failure, and inadequate loan supervision, contribute to difficulties in peer loan repayment. Additionally, the study highlights the significance of the democratization process, as reflected in the frequency of meeting attendance, for savings mobilization and group loan repayment. The study also indicates a direct relationship between the minimum savings requirement and group loan repayment. Based on these results, the study recommends organizing groups with members who share common characteristics to foster patriotism, solidarity, and cohesion. Overall, the research emphasizes the importance of democratization in group administration and its positive impact on the sustainability of microcredit groups. Moreover, Ref. [10] showed that management ratings are associated with financial performance. However, no specific organizational structure consistently outperforms others across all financial indicators, except for cooperatives, which show poorer results in terms of human resource management. Regulated MFIs tend to receive better management ratings compared to unregulated ones. The expertise of top managers is identified as a key indicator of financial success among the four management dimensions examined. Interestingly, the study found that well-managed MFIs were not necessarily younger, suggesting that new institutions may be profitable but not necessarily better managed. Additionally, larger MFIs, in terms of borrowers, loan portfolio, or total assets, demonstrated slightly better management practices.
These studies shed light on the various factors influencing group management in microfinance institutions and underscore the criticality of effective group management practices. To conclude, group management is pivotal in microfinance institutions by facilitating harmonious group dynamics, fostering social cohesion, and ensuring the prosperity and continuity of microfinance programs. Further research is warranted to explore the specific strategies and practices that contribute to effective group management and ascertain their impact on the performance and outcomes of microfinance institutions.
The findings underscore the imperative for effective leadership practices that align with microfinance institutions’ social mission and goals. By cultivating leadership capabilities, fostering ethical leadership practices, and recognizing the significance of gender diversity, MFIs can elevate their performance, attain financial sustainability, and maximize their social impact. However, further research is imperative to explore specific dimensions of leadership in greater depth and unravel the dynamic nature of leadership in the ever-evolving landscape of microfinance institutions. Furthermore, the study suggests that the predictive equation developed in this research holds promise as a practical tool for predicting key success factors for microfinance institutions, specifically within Chaiyaphum Province. By leveraging this equation, policymakers, practitioners, and stakeholders can gain valuable insights into the factors that contribute to the success of microfinance institutions and make informed decisions to support their growth and impact. In conclusion, this study contributes empirical evidence highlighting the importance of leadership and group management in achieving key success factors for microfinance institutions in Chaiyaphum Province, Thailand. Additionally, this study demonstrates the utility of a predictive equation for understanding and predicting the key success factors in the microfinance sector, offering practical implications for developing and managing microfinance institutions in the province and beyond.

5. Conclusions

The research findings indicate a strong positive correlation between the examined factors and key success factors for microfinance institutions in Chaiyaphum Province, Thailand. Specifically, effective leadership practices and efficient group management were found to have the strongest correlation. These factors play a crucial role in achieving success in microfinance institutions in the Chaiyaphum Province, emphasizing the significance of strong leadership capabilities and effective group management strategies for improving overall performance and sustainability. The study also highlights the accuracy of a predictive equation in capturing and predicting the relationship between these factors and key success factors. This equation holds promise as a practical tool for predicting success factors in microfinance institutions in Chaiyaphum Province, enabling informed decision-making by policymakers, practitioners, and stakeholders.
This study has both academic and practical implications. From an academic perspective, it is the first study conducted on microfinance institutions and key success factors in the Chaiyaphum Province. The increasing volume of studies and recent shifts toward more quantitative analyses point to the growing significance of this research stream for academics studying microfinance institutions. The novelty of key success factor research in microfinance has been outlined in this article. Furthermore, the information found in these primarily exploratory studies can be used to create explicative research questions that reflect theory. Practically, the findings of this study can provide valuable insights for managers, members, and investors. It highlights the importance of internal administration or governance of microfinance institutions in influencing key success factors within microfinance institutions. The discipline of business administration places a lot of emphasis on identifying key success factors. Furthermore, this study can serve as a reference for policymakers and regulators in their decision-making processes and help them understand the significance of effective leadership and group management within these institutions.
Overall, the research contributes empirical evidence emphasizing the importance of leadership and group management in microfinance institutions, offering practical implications for their development and management in Chaiyaphum Province and other contexts. Finally, it is important to acknowledge the limitations of this research, which can be addressed by future researchers. Due to exhaustion, social desirability, a potential for extreme responses, or other demand characteristics, Likert scales are sensitive to response bias, where respondents either agree or disagree with all of the statements. Furthermore, we encourage further research to investigate whether the variable relationships are more complicated than simple bivariate relationships between a predictor and a criterion. Investigating such questions can be facilitated by examining the influence of third variables, such as moderators and mediators. This is a challenging task for future research.

Author Contributions

Conceptualization, U.D. and W.C.; methodology, U.D. and W.C.; software, W.C. and L.T.N.; investigation, U.D. and W.C.; resources, U.D. writing—original draft preparation, U.D. and W.C.; review and editing, L.T.N.; supervision, W.C. and L.T.N. All authors have read and agreed to the published version of the manuscript.

Funding

This research was funded by the research fund from the Chaiyaphum Rajabhat University, grant number CPRU-2561.

Institutional Review Board Statement

Not applicable.

Informed Consent Statement

Not applicable.

Data Availability Statement

Data are contained within the article.

Conflicts of Interest

The authors declare no conflict of interest.

References

  1. Jansiri, N. Successful factors of the administration of community organizations: A case of community financial organizations in Nakhon Si Thammarat province. J. Humanit. Soc. Sci. Suratthani Rajabhat Univ. 2017, 9, 265–294. [Google Scholar]
  2. Kumngam, P.; Pasunon, P. The moral basis of principles of sufficiency economy affecting sustainability of financial community. A case study of Ban Ang Hin, Sam Phra Ya, Phetchaburi Province. Veridian E-J. Silpakorn Univ. Humanit. Soc. Sci. Arts 2017, 10, 388–400. [Google Scholar]
  3. Hogan, R.; Kaiser, R.B. What We Know about Leadership. Rev. Gen. Psychol. 2005, 9, 169–180. [Google Scholar] [CrossRef]
  4. Grint, K.; Smolovic, O. What is leadership: Person, result, position or process or all or none of these? In The Routledge Companion to Leadership; Routledge: New York, NY, USA, 2016; pp. 25–42. ISBN 1-315-73985-2. [Google Scholar]
  5. Turner, J.R.; Müller, R. The Project Manager’s Leadership Style as a Success Factor on Projects: A Literature Review. Proj. Manag. J. 2005, 36, 49–61. [Google Scholar] [CrossRef]
  6. Seibel, H.D.; Torres, D. Are Grameen Replications Sustainable, and Do They Reach the Poor? The Case of CARD Rural Bank in the Philippines. J. Microfinanc. ESR Rev. 1999, 1, 117–130. [Google Scholar]
  7. Churchill, C. The Shifting Paradigm in Microfinance—The Case of Get Ahead’s Stokvel Lending Programme. Small Enterp. Dev. 1997, 8, 32–40. [Google Scholar] [CrossRef]
  8. Chan, S.H. The Influence of Leadership Expertise and Experience on Organizational Performance: A Study of Amanah Ikhtiar Malaysia. Asia Pac. Bus. Rev. 2010, 16, 59–77. [Google Scholar] [CrossRef]
  9. Hartarska, V. Governance and Performance of Microfinance Institutions in Central and Eastern Europe and the Newly Independent States. World Dev. 2005, 33, 1627–1643. [Google Scholar] [CrossRef]
  10. Hudon, M. Management of Microfinance Institutions: Do Subsidies Matter? J. Int. Dev. 2009, 22, 890–905. [Google Scholar] [CrossRef]
  11. Hulme, D. Replicating Finance Programmes in Malawi and Malaysia. Small Enterp. Dev. 1993, 4, 4–15. [Google Scholar] [CrossRef]
  12. Galema, R.; Lensink, R.; Mersland, R. Do Powerful CEOs Determine Microfinance Performance? J. Manag. Stud. 2012, 49, 718–742. [Google Scholar] [CrossRef]
  13. Ranabahu, N.; Wickramasinghe, A. Sustainable Leadership in Microfinance: A Pathway for Sustainable Initiatives in Micro and Small Businesses? Sustainability 2022, 14, 5167. [Google Scholar] [CrossRef]
  14. Yip, M.W.; Ng, A.H.H.; Lau, D.H.C. Employee Participation: Success Factor of Knowledge Management. Int. J. Inf. Educ. Technol. 2012, 2, 262–264. [Google Scholar] [CrossRef]
  15. Lau, E.K.W. Antecedents of empowerment and commitment to service quality in the Chinese hotel industry. In Proceedings of the Knowledge Management in Organizations: 9th International Conference, KMO 2014, Santiago, Chile, 2–5 September 2014; Proceedings 9. Springer: Berlin/Heidelberg, Germany, 2014; pp. 90–98. [Google Scholar]
  16. Karltun Erlandsson, A. Perceived participation: A key factor for successful implementation of a new working concept. In Proceedings of the 34th Annual Congress of the Nordic Ergonomics Society, Kolmården, Sweden, 1–3 October 2002; pp. 229–234. [Google Scholar]
  17. O’Brien, G. Participation as the Key to Successful Change—A Public Sector Case Study. Leadersh. Organ. Dev. J. 2002, 23, 442–455. [Google Scholar] [CrossRef]
  18. Belak, J.; Duh, M. Integral Management: Key Success Factors in the MER Model. Acta Polytech. Hung. 2012, 9, 5–26. [Google Scholar]
  19. Juneja, P. Organization Management—Meaning, Need and Its Features. 2015. Available online: https://www.managementstudyguide.com/organization-management.htm (accessed on 12 June 2021).
  20. Detburiram, P.; Siripanumas, P. Guidelines for elderly wickerwork group’s management in Nongkham community Nonpluang subdistrict, Prathai district, Nakhonratchasima province. J. Res. Dev. Buriram Rajabhat Univ. 2012, 7, 89–96. [Google Scholar]
  21. Sinthao, S. The Critical Success Factors of a Community Financial Institution in Ketoon Village, Tambon Tha Chalung, Chokchai District, Nakhon Ratchasima Province. Unpublished. Ph.D. Thesis, Khon Kaen University, Khon Kaen, Thailand, 2012. [Google Scholar]
  22. Elaydi, R.; Harrison, C. Strategic Motivations and Choice in Subsistence Markets. J. Bus. Res. 2010, 63, 651–655. [Google Scholar] [CrossRef]
  23. Chahine, S.; Tannir, L. On the Social and Financial Effects of the Transformation of Microfinance NGOs. Volunt. Int. J. Volunt. Nonprofit Organ. 2010, 21, 440–461. [Google Scholar] [CrossRef]
  24. Cull, R.; Spreng, C.P. Pursuing Efficiency While Maintaining Outreach: Bank Privatization in Tanzania. J. Dev. Econ. 2011, 94, 254–261. [Google Scholar] [CrossRef]
  25. Buechler, S. The Key to Lending to Women Microentrepreneurs. Small Enterp. Dev. 1995, 6, 4–15. [Google Scholar] [CrossRef]
  26. Mosley, P.; Hulme, D. Microenterprise Finance: Is There a Conflict between Growth and Poverty Alleviation? World Dev. 1998, 26, 783–790. [Google Scholar] [CrossRef]
  27. Ayayi, A.G.; Sene, M. What Drives Microfinance Institution’s Financial Sustainability. J. Dev. Areas 2010, 44, 303–324. [Google Scholar] [CrossRef]
  28. D’Espallier, B.; Hudon, M.; Szafarz, A. Unsubsidized Microfinance Institutions. Econ. Lett. 2013, 120, 174–176. [Google Scholar] [CrossRef]
  29. Bogan, V.L. Capital Structure and Sustainability: An Empirical Study of Microfinance Institutions. Rev. Econ. Stat. 2012, 94, 1045–1058. [Google Scholar] [CrossRef]
  30. Kyereboah-Coleman, A. The Impact of Capital Structure on the Performance of Microfinance Institutions. J. Risk Financ. 2007, 8, 56–71. [Google Scholar] [CrossRef]
  31. Mersland, R.; Strøm, R.Ø. Microfinance Mission Drift? World Dev. 2010, 38, 28–36. [Google Scholar] [CrossRef]
  32. Chirwa, E.W.; Mvula, P.M.; Namata, L.; Zgovu, E.K. Capacity Constraints, Management and Effectiveness of Poverty-Oriented Microfinance Institutions in Malawi. Afr. Rev. Money Financ. Bank. 1999, 21–48. Available online: https://www.semanticscholar.org/paper/CAPACITY-CONSTRAINTS%2C-MANAGEMENT-AND-EFFECTIVENESS-Chirwa-Mvula/57897560b2a1a0936aa4f35fab6510449b8a0633 (accessed on 12 June 2021).
  33. Hishigsuren, G. Evaluating Mission Drift in Microfinance: Lessons for Programs with Social Mission. Eval. Rev. 2007, 31, 203–260. [Google Scholar] [CrossRef]
  34. Olivares-Polanco, F. Commercializing Microfinance and Deepening Outreach? Empirical Evidence from Latin America. J. Microfinanc. ESR Rev. 2005, 7, 47–69. [Google Scholar]
  35. Hemtanon, W.; Gan, C. Sustainability of Microfinance Institutions in Thailand. Asian J. Agric. Dev. 2022, 19, 77–90. [Google Scholar]
  36. Uaareekul, T. The Strengths of Community Financial Organization of Dong Mafai Sub-District Municipality, Muang District, Sakon Nakhon Province. Master’s Thesis, Public Administration in Local Government, College of Local Administration, Khon Kaen University, Khon Kaen, Thailand, 2021. [Google Scholar]
  37. Detthamrong, U.; Chansanam, W. Key success factors of community’s economy development: A case study of the financial community institute, Chaiyaphum. J. Assoc. Res. 2020, 25, 72–89. [Google Scholar]
  38. Nkurunziza, G.; Munene, J.; Ntayi, J.; Kaberuka, W. Business Process Reengineering in Developing Economies: Lessons from Microfinance Institutions (MFIs) in Uganda. Innov. Manag. Rev. 2019, 16, 118–142. [Google Scholar] [CrossRef]
  39. Rovinelli, R.J.; Hambleton, R.K. On the Use of Content Specialists in the Assessment of Criterion-Referenced Test Item Validity. Tijdschr. Voor Onderwijsres. 1976, 2, 49–60. [Google Scholar]
  40. Pallant, J. SPSS Survival Manual: A Step by Step Guide to Data Analysis Using IBM SPSS; McGraw-Hill Education: London, UK, 2020; ISBN 0-335-24950-7. [Google Scholar]
  41. Hair, F.J.; Black, C.W.; Babin, J.B.; Anderson, E.R. Multivariate Data Analysis, 6th ed.; Pearson Prentice Hall: Upper Saddle River, NJ, USA, 2006. [Google Scholar]
  42. RStudio Team. RStudio: Integrated Development Environment for R., Boston, MA. Available online: http://www.rstudio.com/ (accessed on 1 June 2021).
  43. Bayai, I.; Ikhide, S. Life cycle theory and financial sustainability of selected SADC microfinance institutions (MFIs). J. Dev. Areas 2016, 50, 121–132. [Google Scholar] [CrossRef]
  44. Gujarati, D.N.; Porter, D.C. Basic Econometrics; McGraw-Hill/Irwin: New York, NY, USA, 2009. [Google Scholar]
  45. Peterson, B.G.; Carl, P. Performance Analytics: Econometric Tools for Performance and Risk Analysis. R Package Version 2.0.4. Available online: https://CRAN.R-project.org/package=PerformanceAnalytics (accessed on 1 June 2021).
  46. Patil, I. Visualizations with Statistical Details: The ’ggstatsplot’ approach. J. Open Source Softw. 2021, 6, 3167. [Google Scholar] [CrossRef]
  47. Moon, K. Predict3d: Draw Three Dimensional Predict Plot Using Package ‘rgl’. R Package Version 0.1.4. Available online: https://CRAN.R-project.org/package=predict3d (accessed on 1 June 2021).
  48. Meirinhos, G.; Cardoso, A.; Neves, M.; Silva, R.; Rêgo, R. Leadership Styles, Motivation, Communication and Reward Systems in Business Performance. J. Risk Financ. Manag. 2023, 16, 70. [Google Scholar] [CrossRef]
  49. Strøm, R.Ø.; D’Espallier, B.; Mersland, R. Female Leadership, Performance and Governance in Microfinance Institutions. J. Bank. Financ. 2014, 42, 60–75. [Google Scholar] [CrossRef]
  50. Kariuki, M.; Wachira, M. Effect of Leadership Styles on the Performance of Microfinance Institutions in Nairobi, Kenya. Eur. J. Bus. Manag. 2017, 9, 123–129. [Google Scholar]
  51. Mumba, C.J. Impact of Leadership Styles on Organisation Performance: A Case of Microfinance Institutions in Dar Es Salaam, Tanzania; Mzumbe University: Mzumbe, Tanzania, 2020. [Google Scholar]
  52. Khavul, S. Microfinance: Creating Opportunities for the Poor? Acad. Manag. Perspect. 2010, 24, 58–72. [Google Scholar] [CrossRef]
  53. Mohamed, T.S.; Elgammal, M.M. Credit Risk in Islamic Microfinance Institutions: The Role of Women, Groups and Rural Borrowers. Emerg. Mark. Rev. 2023, 54, 100994. [Google Scholar] [CrossRef]
  54. Mkpado, M.; Arene, C.J. Effects of Democratization of Group Administration on the Sustainability of Agricultural Micro Credit Groups in Nigeria. Int. J. Rural Stud. 2007, 14, 1–9. [Google Scholar]
Figure 1. Correlation analyses matrix graph.
Figure 1. Correlation analyses matrix graph.
Sustainability 15 11192 g001
Figure 2. Performance analysis of correlation analyses matrix. *** means all variables have a positive correlation.
Figure 2. Performance analysis of correlation analyses matrix. *** means all variables have a positive correlation.
Sustainability 15 11192 g002
Figure 3. The equation for forecasting factors affecting key success factors for microfinance institutions in Chaiyaphum Province, Thailand.
Figure 3. The equation for forecasting factors affecting key success factors for microfinance institutions in Chaiyaphum Province, Thailand.
Sustainability 15 11192 g003
Figure 4. Multiple regression models plot 1.
Figure 4. Multiple regression models plot 1.
Sustainability 15 11192 g004
Figure 5. Multiple regression models plot 2.
Figure 5. Multiple regression models plot 2.
Sustainability 15 11192 g005
Figure 6. Multiple regression models plot 3.
Figure 6. Multiple regression models plot 3.
Sustainability 15 11192 g006
Figure 7. Residuals vs. fitted.
Figure 7. Residuals vs. fitted.
Sustainability 15 11192 g007
Figure 8. Q-Q plot.
Figure 8. Q-Q plot.
Sustainability 15 11192 g008
Figure 9. Scale–location plot.
Figure 9. Scale–location plot.
Sustainability 15 11192 g009
Figure 10. Residuals vs. leverage plot.
Figure 10. Residuals vs. leverage plot.
Sustainability 15 11192 g010
Figure 11. Histogram check of skewness.
Figure 11. Histogram check of skewness.
Sustainability 15 11192 g011
Table 1. Definition of variables.
Table 1. Definition of variables.
VariableNotationDescription
LeadershipEMPTThe quality of character and personality giving a person the ability to gain the confidence of and lead others
ParticipationCOOTThe practice of taking part in something or sharing it with others
Group ManagementMNGTPlanning and setting clear operational goals, including the results of operations according to the specified plans
MoralMORTA person’s standards of behavior or beliefs concerning what is and is not acceptable to do
Key Success FactorsFKSFTKey success factors for microfinance institutions
Table 2. Correlation analyses matrix.
Table 2. Correlation analyses matrix.
VariablesKSFTCOOTMORTEMPTMNGTVIF
X ¯ 4.4063.8533.9404.2304.192
S.D.0.4720.5120.4900.4700.483
KSFT 0.393 *0.493 *0.529 *0.576 *
COOT 0.625 *0.604 *0.548 *1.861
MORT 0.653 *0.671 *2.334
EMPT 0.677 *2.292
MNGT 2.244
* Correlation is significant at the 0.01 level (two-tailed).
Table 3. Multiple linear regression analysis.
Table 3. Multiple linear regression analysis.
ModelKey Success Factorstp-Value
βStd. Error
Intercept1.6040.1888.5070.000 *
Leadership (EMPT)0.2180.0613.5640.000 *
Participation (COOT)−0.0040.050−0.0870.9307
Group Management (MNGT)0.3460.0585.7820.000 *
Moral (MORT)0.1130.0591.9090.0568
R-squared = 0.374 A d j R 2 = 0.368 S E e s t = 0.376 F = 58.47
* Regression is significant at the 0.05 level (two-tailed).
Disclaimer/Publisher’s Note: The statements, opinions and data contained in all publications are solely those of the individual author(s) and contributor(s) and not of MDPI and/or the editor(s). MDPI and/or the editor(s) disclaim responsibility for any injury to people or property resulting from any ideas, methods, instructions or products referred to in the content.

Share and Cite

MDPI and ACS Style

Detthamrong, U.; Nguyen, L.T.; Chansanam, W. Leadership and Group Management: Key Success Factors for Microfinance Institutions in Chaiyaphum Province, Thailand. Sustainability 2023, 15, 11192. https://doi.org/10.3390/su151411192

AMA Style

Detthamrong U, Nguyen LT, Chansanam W. Leadership and Group Management: Key Success Factors for Microfinance Institutions in Chaiyaphum Province, Thailand. Sustainability. 2023; 15(14):11192. https://doi.org/10.3390/su151411192

Chicago/Turabian Style

Detthamrong, Umawadee, Lan Thi Nguyen, and Wirapong Chansanam. 2023. "Leadership and Group Management: Key Success Factors for Microfinance Institutions in Chaiyaphum Province, Thailand" Sustainability 15, no. 14: 11192. https://doi.org/10.3390/su151411192

APA Style

Detthamrong, U., Nguyen, L. T., & Chansanam, W. (2023). Leadership and Group Management: Key Success Factors for Microfinance Institutions in Chaiyaphum Province, Thailand. Sustainability, 15(14), 11192. https://doi.org/10.3390/su151411192

Note that from the first issue of 2016, this journal uses article numbers instead of page numbers. See further details here.

Article Metrics

Back to TopTop