Contributions and Resistances to Vulnerability of Rural Human Settlements System in Agricultural Areas of Chinese Loess Plateau since 1980
Abstract
1. Introduction
2. Materials and Methods
2.1. Study Area and Representative Years
2.1.1. Study Area and Sample Villages
2.1.2. Identify Representative Years for the Study
2.2. Field Investigation and Data Collection
2.2.1. Ethnographic Approach with Oral Historical Interviews
2.2.2. Structured Questionnaire
2.2.3. Geographic Information Systems Data Sets
2.3. Vulnerability Assessment Framework for the RHSS
2.3.1. Elements and Domains of Vulnerability Measurement for the RHSS
- As for natural system, the elements were natural disasters, land use, fertilizer use and ecological environment;
- As for dwelling system, the elements were housing construction, home appliance facilities, drinking water problems and communication conditions;
- As for human system, the elements were family size, population burden, population growth and population quality;
- As for support system, the elements were basic education, health care, traffic roads and retail outlets;
- As for social system, the elements were economic (income) growth, industry (livelihood) diversity, government services and social inequality issues.
2.3.2. Vulnerability Assessment Index System for RHSS at Village Scale
2.3.3. Assessment Model for RHSS Vulnerability
2.4. Identifying the Functional Compositions
2.4.1. Contribution and Barrier Models
2.4.2. Recognition and Grading for Contributions and Resistances
3. Results
3.1. Evolution of the RHSS Vulnerability
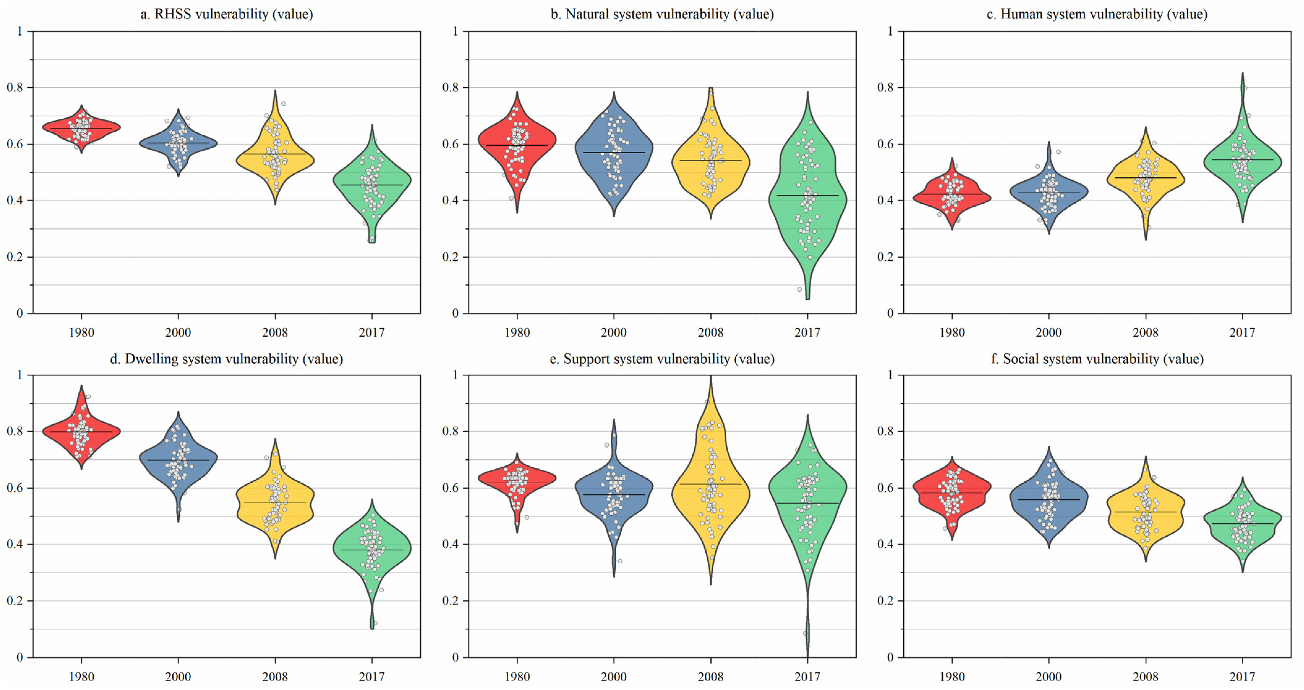
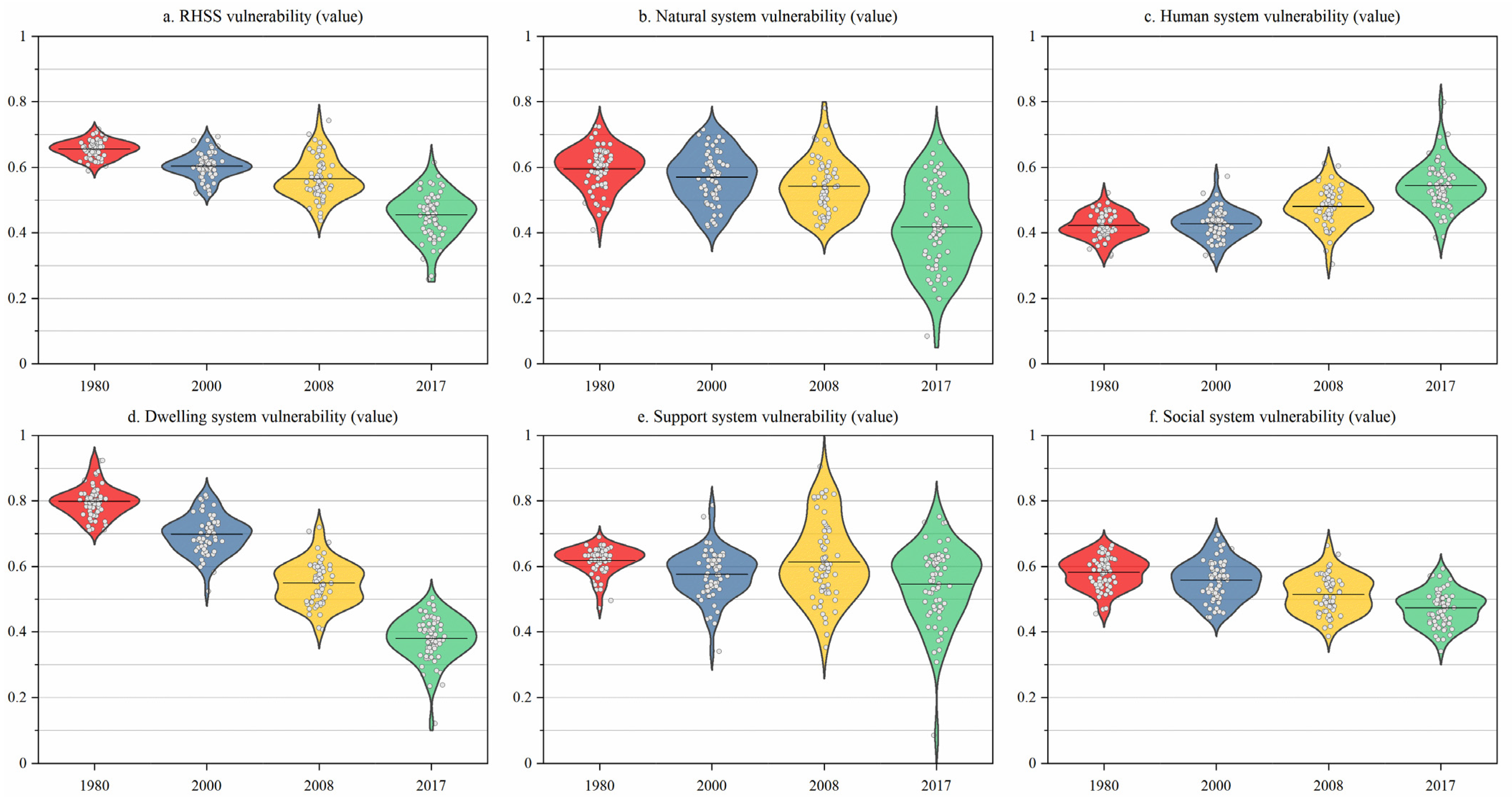
3.1.1. Gradually Decreases but Differences Widened in RHSS Vulnerability
3.1.2. Continued Reduction in Vulnerability for Natural, Dwelling and Social Systems
3.1.3. Increased Vulnerability in Human System and Increased Gaps in Support System
3.2. Spatio-Temporal Evolution of the Functional Composition in RHSS Vulnerability
3.2.1. Contribution and Resistance Subsystems for RHSS Vulnerability
3.2.2. Contribution and Resistance Factors
3.3. Transition in Functional Compositions of RHSS Vulnerability
3.3.1. Changes in Subsystems
3.3.2. Changes in Key Factors
3.4. Impact Events on the Evolution of RHSS Vulnerability
3.4.1. Ecological Projects and Off-Farm Employment Drive Natural Systems toward Ecological Restoration
3.4.2. Rainstorms and Dropped Groundwater Levels as New Disturbances to Dwelling System
3.4.3. Urbanization Siphoning and Non-Farm Transformation Drive Rural Hollowing Out
3.4.4. Vast Impact in Village Access and Facility Layout Adjustment
3.4.5. Increased Precipitation and Market Changes Lead to Unsustainable Livelihoods in Forested Villages
4. Discussions
4.1. Discoveries, Limitations and Prospects in RHSS Evolution Research
4.2. Change in Natural, Human, Dwelling, Social and Support Systems with Ground-Truthing
4.3. Changes in the Strengths and Weaknesses of the RHSS
5. Conclusions
Author Contributions
Funding
Institutional Review Board Statement
Informed Consent Statement
Data Availability Statement
Conflicts of Interest
Appendix A
- (1)
- Basic household information, population structure and livelihood sources;
- (2)
- Changes in the natural system, including land use, natural disasters, ecological conditions, etc.;
- (3)
- Changes in the housing system, such as housing renewal, housing structure and facilities;
- (4)
- Changes in the support system, including village infrastructure, public services, etc.;
- (5)
- Changes in the human system, including individual behavior, psychological perception, etc.;
- (6)
- Changes in the social system, including social interaction, village social environment perceptions, government service evaluations, etc.;
- (7)
- Coping strategies, such as adaptation to the effects of climate change, strategic choices in the context of village depression and perceptions of natural disasters and coping strategies.
| Basic Indicators | Category | Number | Basic Indicators | Category | Number |
|---|---|---|---|---|---|
| gender | male | 419 | employment | pure farming | 197 |
| female | 32 | mainly farming, part-time jobs | 40 | ||
| age | 25–44 | 31 | mainly for work, part-time farming | 34 | |
| 45–64 | 252 | pure work | 39 | ||
| 65–74 | 126 | do business | 26 | ||
| 75–82 | 42 | student and soldier | 0 | ||
| household size | 1–2 | 193 | work in public institutions | 13 | |
| 3–5 | 205 | non-employment | 102 | ||
| 6–12 | 53 | working experience | construction worker | 108 | |
| health condition | healthy | 299 | manufacturing worker | 4 | |
| diseased | 132 | catering and accommodation attendant | 5 | ||
| disabled | 20 | driver | 4 | ||
| labor capacity | complete | 338 | mining worker | 8 | |
| incomplete | 87 | skilled worker | 13 | ||
| incapacity | 26 | home services and property management service | 2 | ||
| education years | <6 | 140 | no working experience | 307 | |
| 6–8 | 126 | ||||
| 9–11 | 135 | ||||
| >11 | 50 |
References
- Marsden, T.; Lowe, P.; Whatmore, S. Rural Restructuring: Global Processes and Their Responses; David Fulton Publishers Ltd.: London, UK, 1990. [Google Scholar]
- Long, H.; Woods, M. Rural Restructuring under Globalization in Eastern Coastal China: What can we learn from Wales? J. Rural Commu. Dev. 2011, 6, 70–94. [Google Scholar]
- Woods, M. Regions engaging globalization: A typology of regional responses in rural Europe. J. Rural. Community Dev. 2013, 8, 113–126. [Google Scholar]
- Fink, M.; Lang, R.; Harms, R. Local responses to global technological change—Contrasting restructuring practices in two rural communities in Austria. Technol. Forecast. Social Chang. 2013, 80, 243–252. [Google Scholar] [CrossRef]
- Liu, Y.; Dai, L.; Long, H.; Woods, M.; Fois, F. Rural vitalization promoted by industrial transformation under globalization: The case of Tengtou village in China. J. Rural Stud. 2022, 95, 241–255. [Google Scholar] [CrossRef]
- Cutter, S.L.; Barnes, L.; Berry, M.; Burton, C.; Evans, E.; Tate, E.; Webb, J. A place-based model for understanding community resilience to natural disasters. Glob. Environ. Chang. 2008, 18, 598–606. [Google Scholar] [CrossRef]
- Kates, R. What kind of science is sustainability science? Proc. Natl. Acad. Sci. USA 2011, 108, 19449–19450. [Google Scholar] [CrossRef]
- Lamine, C. Sustainability and Resilience in Agrifood Systems: Reconnecting Agriculture, Food and the Environment. Sociol. Rural. 2015, 55, 41–61. [Google Scholar] [CrossRef]
- Thornton, P.; Herrero, M. Climate change adaptation in mixed crop–livestock systems in developing countries. Glob. Food Secur. 2014, 3, 99–107. [Google Scholar] [CrossRef]
- Ding, Q.; Chen, X.; Hilborn, R.; Chen, Y. Vulnerability to impacts of climate change on marine fisheries and food security. Mar. Policy 2017, 83, 55–61. [Google Scholar] [CrossRef]
- Panthi, J.; Aryal, S.; Dahal, P.; Bhandari, P.; Krakauer, N.; Pandey, V. Livelihood vulnerability approach to assessing climate change impacts on mixed agro-livestock smallholders around the Gandaki River Basin in Nepal. Reg. Environ. Chang. 2016, 16, 1121–1132. [Google Scholar] [CrossRef]
- Wu, F.; Yang, X.; Lian, B.; Wang, Y.; Kang, J. Suitability Evaluation of Human Settlements Using a Global Sensitivity Analysis Method: A Case Study in China. Sustainability 2023, 15, 4380. [Google Scholar] [CrossRef]
- Doxiadis, C.A. Ekistics, An Introduction to the Science of Human Settlements; Athens Publishing Center: London, UK, 1968. [Google Scholar]
- Wu, L.Y. Introduction to Sciences of Human Settlements; China Architecture & Building Press: Beijing, China, 2001. [Google Scholar]
- Li, C.; Zhu, X.; Li, Y.; Wang, X.; Pan, T. The Research on the Construction of Concentrative Residence and Ecological Human Habitat Environment in the Rural Area of Rapidly Urbanizing Region. J. Chongqing Jianzhu Univ. 2007, 29, 1–5. (In Chinese) [Google Scholar]
- Peng, Z.; Sun, J. The Comparison between Human Settlements in China’s Developed and Under-developed Areas. Urban Plan. Forum 2007, 2, 62–66. (In Chinese) [Google Scholar]
- Zhou, Q. Loess Plateau, Settlements in the Valleys: Spatial Patterns of Human Settlements in Northern Shaanxi; China Architecture & Building Press: Beijing, China, 2009. [Google Scholar]
- Li, X.; Xia, C.; Zhang, Y. Chinese Human Settlement Research with Geography Perspective in Recent 10 Years. Urban Dev. Stud. 2014, 21, 6–13. (In Chinese) [Google Scholar]
- Antrop, M. Landscape change and the urbanization process in Europe. Landsc. Urban Plan. 2004, 67, 9–29. [Google Scholar] [CrossRef]
- Zhou, G.; He, Y.; Tang, C.; Yu, T.; Xiao, G. Dynamic Mechanism and Present Situation of Rural Settlements Evolution in China. Acta Geogr. Sin. 2011, 66, 515–524. (In Chinese) [Google Scholar] [CrossRef]
- Hartman, Y.; Darab, S. The housing pathways of single older nonhome owning women in a rural region of Australia. J. Rural Stud. 2017, 54, 234–243. [Google Scholar] [CrossRef]
- Liu, Y.; Wang, Y. Rural land engineering and poverty alleviation: Lessons from typical regions in China. J. Geogr. Sci. 2019, 29, 643–657. [Google Scholar] [CrossRef]
- Gilbert, A.; Colley, K.; Roberts, D. Are rural residents happier? A quantitative analysis of subjective wellbeing in Scotland. J. Rural Stud. 2016, 44, 37–45. [Google Scholar] [CrossRef]
- Yang, Z.; Yang, D.; Geng, J.; Tian, F. Evaluation of Suitability and Spatial Distribution of Rural Settlements in the Karst Mountainous Area of China. Land 2022, 11, 2101. [Google Scholar] [CrossRef]
- Xiong, Y. Uncertainty evaluation of the coordinated development of urban human settlement environment and economy in Changsha city. J. Geogr. Sci. 2011, 21, 1123–1137. [Google Scholar] [CrossRef]
- Zhang, D.; Zhou, C.; Yi, Z.; Zikirya, B. Spatiotemporal relationship characteristic of climate comfort of urban human settlement environment and population density in China. Front. Ecol. Evol. 2022, 10, 953725. [Google Scholar] [CrossRef]
- Mayhew, A. Rural Settlement and Farming in Germany; Batsford: London, UK, 1973. [Google Scholar]
- Hansen, M. Rural Poverty and the Urban Crisis: A Strategy for Regional Development; Indiana University Press: Bloomington, IN, USA, 1970. [Google Scholar]
- Li, B.H. Study on Changes of Farmers’ Spatial Behavior and Optimization of Rural Human Settlement Environment; Science Press: Beijing, China, 2014. [Google Scholar]
- Randall, J.; Morton, P. Quality of Life in Saskatoon 1991 and 1996: A Geographical Perspective. Urban Geogr. 2003, 24, 691–722. [Google Scholar] [CrossRef]
- Easterlin, R.; Angelescu, L.; Zweig, J. The Impact of Modern Economic Growth on Urban–Rural Differences in Subjective Well-Being. World Dev. 2011, 39, 2187–2198. [Google Scholar] [CrossRef]
- Turner, B.L.; Kasperson, R.; Matson, P.; McCarthy, J.; Corell, R.; Christensen, L.; Selin, N.; Kasperson, J.; Luers, A.; Martello, M.; et al. A framework for vulnerability analysis in sustainability science. Proc. Natl. Acad. Sci. USA 2003, 100, 8074–8079. [Google Scholar] [CrossRef]
- Timmerman, P. Vulnerability. Resilience and the collapse of socieiy: A review of models and possible climatic applications. Environ. Monogr. Inst. Environ. Stud. 1981, 1, 396. [Google Scholar]
- Skjeflo, S. Measuring household vulnerability to climate change—Why markets matter. Glob. Environ. Chang. 2013, 23, 1694–1701. [Google Scholar] [CrossRef]
- Oliveira, B.M.; Boumans, R.; Fath, B.D.; Harari, J. Socio-ecological systems modelling of coastal urban area under a changing climate—Case study for Ubatuba, Brazil. Ecol. Model. 2022, 468, 109953. [Google Scholar] [CrossRef]
- Kumar, P.; Brewster, C. Co-production of climate change vulnerability assessment: A case study of the Indian Lesser Himalayan region, Darjeeling. J. Integr. Environ. Sci. 2022, 19, 39–64. [Google Scholar] [CrossRef]
- Anupriya, R.; Rubeena, T. Spatio-temporal urban land surface temperature variations and heat stress vulnerability index in Thiruvananthapuram city of Kerala, India. Geol. Ecol. Landsc. 2023, 1–17. [Google Scholar] [CrossRef]
- Liu, W.; Xu, J.; Li, J. The Influence of Poverty Alleviation Resettlement on Rural Household Livelihood Vulnerability in the Western Mountainous Areas, China. Sustainability 2018, 10, 2793. [Google Scholar] [CrossRef]
- Thompson, C.; Johnson, T.; Hanes, S. Vulnerability of fishing communities undergoing gentrification. J. Rural. Stud. 2016, 45, 165–174. [Google Scholar] [CrossRef]
- Jozaei, J.; Chuang, W.-C.; Allen, C.R.; Garmestani, A. Social vulnerability, social-ecological resilience and coastal governance. Glob. Sustain. 2022, 5, 1–9. [Google Scholar] [CrossRef] [PubMed]
- Vieira, K.L. Pandemic and the Consequences of Social Vulnerability for the Transformation into a Syndemic in Brazil. Paragrana 2021, 30, 53–65. [Google Scholar] [CrossRef]
- Lee, J. Analysis of Relative Importance of Children’s Disaster Vulnerability from the Perspective of Social Welfare. Crisis Emerg. Manag. Theory Prax. 2022, 12, 19–24. [Google Scholar] [CrossRef]
- Li, Y.; Marquez, R. Can government subsidies and public mechanisms alleviate the physical and mental health vulnerability of China’s urban and rural residents? Int. J. Equity Health 2023, 22, 59. [Google Scholar] [CrossRef]
- Huang, Z.; Cao, C.; Xu, M.; Yang, X. Impact of Environmental Exposure on Chronic Diseases in China and Assessment of Population Health Vulnerability. ISPRS Int. J. Geo-Inf. 2023, 12, 155. [Google Scholar] [CrossRef]
- DFID. Sustainable Livelihoods Guidance Sheets; Department for International Development: London, UK, 2000; pp. 68–125.
- Acosta, L.; Espaldon, V. Assessing vulnerability of selected farming communities in the Philippines based on a behavioural model of agent’s adaptation to global environmental change. Glob. Environ. Chang. 2008, 18, 554–563. [Google Scholar] [CrossRef]
- Polsky, C.; Neff, R.; Yarnal, B. Building comparable global change vulnerability assessments: The Vulnerability Scoping Diagram. Glob. Environ. Chang. 2007, 17, 472–485. [Google Scholar] [CrossRef]
- Murphy, E.; Scott, M. Household vulnerability in rural areas: Results of an index applied during a housing crash, economic crisis and under austerity conditions. Geoforum 2014, 51, 75–86. [Google Scholar] [CrossRef]
- Faulkner, J.P.; Murphy, E.; Scott, M. Rural household vulnerability a decade after the great financial crisis. J. Rural Stud. 2019, 72, 240–251. [Google Scholar] [CrossRef]
- Ma, P.; Zhao, X.; Li, H. Spatial–Temporal Evolution of Socio-Ecological System Vulnerability on the Loess Plateau under Rapid Urbanization. Sustainability 2023, 15, 2059. [Google Scholar] [CrossRef]
- Berrouët Cadavid, L.; Machado Charry, J.; Villegas-Palacio, C. Vulnerability of socio—Ecological systems: A conceptual Framework. Ecol. Indic. 2018, 84, 632–647. [Google Scholar] [CrossRef]
- Yang, Z.; Li, B.; Nan, B.; Dai, X.; Peng, C.; Bi, X. A methodological framework for assessing pastoral socio-ecological system vulnerability: A case study of Altay Prefecture in Central Asia. Sci. Total Environ. 2022, 862, 160828. [Google Scholar] [CrossRef]
- Liu, C.; He, Q.; Li, Y. Spatiotemporal Evaluation of Socio-Ecological-Economic System Vulnerability: A County-Level Analysis of Chongqing, China. Sustainability 2020, 12, 3912. [Google Scholar] [CrossRef]
- Sun, Y.; Li, Y.; Ma, J.; Gao, C.; Wu, Y. Mapping urban socio-economic vulnerability related to heat risk: A grid-based assessment framework by combing the geospatial big data. Urban Clim. 2022, 43, 101169. [Google Scholar] [CrossRef]
- Suprapto, F.; Juanda, B.; Rustiadi, E.; Munibah, K. Study of Disaster Susceptibility and Economic Vulnerability to Strengthen Disaster Risk Reduction Instruments in Batu City, Indonesia. Land 2022, 11, 2041. [Google Scholar] [CrossRef]
- Bo, L.; Fei, S.; Zhi, Y.; Zenglin, H.; Fei, P. Vulnerability-based analysis of the spatial-temporal dynamic patterns of the human-sea territorial system of the Bohai-rim region, China. Acta Ecol. Sin. 2018, 38, 1436–1445. [Google Scholar]
- Abeje, M.T.; Tsunekawa, A.; Haregeweyn, N.; Nigussie, Z.; Adgo, E.; Ayalew, Z.; Tsubo, M.; Elias, A.; Berihun, D.; Quandt, A.; et al. Communities’ Livelihood Vulnerability to Climate Variability in Ethiopia. Sustainability 2019, 11, 6302. [Google Scholar] [CrossRef]
- Maru, H.; Haileslassie, A.; Zeleke, T.; Esayas, B. Analysis of Smallholders’ Livelihood Vulnerability to Drought across Agroecology and Farm Typology in the Upper Awash Sub-Basin, Ethiopia. Sustainability 2021, 13, 9764. [Google Scholar] [CrossRef]
- Carrão, H.; Naumann, G.; Barbosa, P. Mapping global patterns of drought risk: An empirical framework based on sub-national estimates of hazard, exposure and vulnerability. Glob. Environ. Chang. 2016, 39, 108–124. [Google Scholar] [CrossRef]
- Zhong, W.; Wang, Y. A study on the spatial and temporal variation of urban integrated vulnerability in Southwest China. Nat. Hazards 2022, 114, 2855–2882. [Google Scholar] [CrossRef]
- Fu, B.-J.; Wang, S.; Liu, Y.; Liu, J.; Liang, W.; Miao, C. Hydrogeomorphic Ecosystem Responses to Natural and Anthropogenic Changes in the Loess Plateau of China. Annu. Rev. Earth Planet. Sci. 2017, 45, 223–243. [Google Scholar] [CrossRef]
- Fu, B.J. Ecological and environmental effects of land-use changes in the Loess Plateau of China. Chin. Sci. Bull. 2022, 67, 3768–3779. (In Chinese) [Google Scholar] [CrossRef]
- Song, R.; Zhao, X.; Jing, Y.; Li, X.; Su, J.; Wang, X.; Zhao, D. Analysis of Ecosystem Protection and Sustainable Development Strategies—Evidence Based on the RWEQ Model on the Loess Plateau, China. Sustainability 2022, 14, 11502. [Google Scholar] [CrossRef]
- Lü, Y.; Lü, D.; Feng, X.; Fu, B. Multi-scale analyses on the ecosystem services in the Chinese Loess Plateau and implications for dryland sustainability. Curr. Opin. Environ. Sustain. 2021, 48, 1–9. [Google Scholar] [CrossRef]
- Li, X.; Philp, J.; Cremades, R.; Roberts, A.; He, L.; Li, L.; Yu, Q. Agricultural vulnerability over the Chinese Loess Plateau in response to climate change: Exposure, sensitivity, and adaptive capacity. Ambio 2015, 45, 350–360. [Google Scholar] [CrossRef] [PubMed]
- Yang, Q.; Gao, Y.; Yang, X.; Zhang, J. Rural Transformation Driven by Households’ Adaptation to Climate, Policy, Market, and Urbanization: Perspectives from Livelihoods–Land Use on Chinese Loess Plateau. Agriculture 2022, 12, 1111. [Google Scholar] [CrossRef]
- Ye, W.; Wang, Y.; Yang, X.; Wu, K. Understanding Sustainable Livelihoods with a Framework Linking Livelihood Vulnerability and Resilience in the Semiarid Loess Plateau of China. Land 2022, 11, 1500. [Google Scholar] [CrossRef]
- Jia County Local History Compilation Committee. Chronicle for Jia County; Shaanxi Tourism Press: Xi’an, China, 2008. (In Chinese) [Google Scholar]
- McManus, P.; Walmsley, J.; Argent, N.; Baum, S.; Bourke, L.; Martin, J.; Pritchard, B.; Sorensen, T. Rural Community and Rural Resilience: What is important to farmers in keeping their country towns alive? J. Rural. Stud. 2012, 28, 20–29. [Google Scholar] [CrossRef]
- Cao, M.; Xu, D.; Xie, F.; Liu, E.; Liu, S. The influence factors analysis of households’ poverty vulnerability in southwest ethnic areas of China based on the hierarchical linear model: A case study of Liangshan Yi autonomous prefecture. Appl. Geogr. 2016, 66, 144–152. [Google Scholar] [CrossRef]
- Shaanxi Provincial Local Chronicles Compilation Committee. Loess Plateau Chronicle, Local Chronicles Series of the People’s Republic of China; Shaanxi People’s Publishing House: Xi’an, China, 1995. [Google Scholar]
- Smith, L.M. Reflections on trying to theorize from ethnographic data. Anthropol. Educ. Q. 1974, 5, 18–24. [Google Scholar] [CrossRef]
- Smith, L.M. An evolving logic of participant observation, educational ethnography, and other case studies. Rev. Res. Educ. 1979, 6, 316–377. [Google Scholar]
- Ritchie, D.A. Doing Oral History: A Practical Guide; Oxford University Press: New York, NY, USA, 2003. [Google Scholar]
- Smith, S.; Pollnac, R.B.; Colburn, L.; Olson, J. Classification of coastal communities reporting commercial fish landings in the U.S. Northeast region: Developing and testing a methodology. Mar. Fish. Rev. 2011, 73, 41–61. [Google Scholar]
- Menconi, M.; Grohmann, D.; Mancinelli, C. European farmers and participatory rural appraisal: A systematic literature review on experiences to optimize rural development. Land Use Policy 2017, 60, 1–11. [Google Scholar] [CrossRef]
- Hwang, C.L.; Yoon, K. Multiple Attribute Decision Making: Methods and Applications; Springer: Berlin/Heidelberg, Germany, 1981. [Google Scholar]
- Shih, H.-S.; Shyur, H.-J.; Lee, E. An extension of TOPSIS for group decision making. Math. Comput. Model. 2007, 45, 801–813. [Google Scholar] [CrossRef]
- Wu, X.; Wang, S.; Fu, B.; Feng, X.; Chen, Y. Socio-ecological changes on the Loess Plateau of China after Grain to Green Program. Sci. Total Environ. 2019, 678, 565–573. [Google Scholar] [CrossRef]
- Ye, W.; Wang, Y.; Wu, K.; Yang, X.; Yang, Q.; Liu, Q. Exploring the rural transformation of the Loess Plateau from a perspective of community resilience: A case study from the Jiaxian County, northwestern China. Appl. Geogr. 2023, 154, 102919. [Google Scholar] [CrossRef]
- Zhang, S.; Yang, D.; Yang, Y.; Piao, S.; Yang, H.; Lei, H.; Fu, B.-J. Excessive Afforestation and Soil Drying on China’s Loess Plateau. J. Geophys. Res. Biogeosciences 2018, 123, 923–935. [Google Scholar] [CrossRef]
- Guo, B.; Bian, Y.; Pei, L.; Zhu, X.; Zhang, D.; Zhang, W.; Guo, X.; Chen, Q. Identifying Population Hollowing Out Regions and Their Dynamic Characteristics across Central China. Sustainability 2022, 14, 9815. [Google Scholar] [CrossRef]
- Liu, Y.; Shu, L.; Peng, L. The Hollowing Process of Rural Communities in China: Considering the Regional Characteristic. Land 2021, 10, 911. [Google Scholar] [CrossRef]
- Long, H.; Yurui, L.; Liu, Y. Analysis of evolutive characteristics and their driving mechanism of hollowing villages in China. Acta Geogr. Sin. 2009, 64, 1203–1213. [Google Scholar]
- Wang, D.; Zhu, Y.; Zhao, M.; Lv, Q. Multi-dimensional hollowing characteristics of traditional villages and its influence mechanism based on the micro-scale: A case study of Dongcun Village in Suzhou, China. Land Use Policy 2020, 101, 105146. [Google Scholar] [CrossRef]
- Tang, Q.; Bennett, S.J.; Xu, Y.; Li, Y. Agricultural practices and sustainable livelihoods: Rural transformation within the Loess Plateau, China. Appl. Geogr. 2013, 41, 15–23. [Google Scholar] [CrossRef]
- Dang, X.; Gao, S.; Tao, R.; Liu, G.; Xia, Z.; Fan, L.; Bi, W. Do environmental conservation programs contribute to sustainable livelihoods? Evidence from China’s grain-for-green program in northern Shaanxi province. Sci. Total Environ. 2020, 719, 137436. [Google Scholar] [CrossRef] [PubMed]
- Peng, H.; Cheng, G.; Xu, Z.; Yin, Y.; Xu, W. Social, economic, and ecological impacts of the “Grain for Green” project in China: A preliminary case in Zhangye, Northwest China. J. Environ. Manag. 2007, 85, 774–784. [Google Scholar] [CrossRef] [PubMed]
- Chang, R.; Fu, B.-J.; Liu, G.-h.; Liu, S. Soil Carbon Sequestration Potential for “Grain for Green” Project in Loess Plateau, China. Environ. Manag. 2011, 48, 1158–1172. [Google Scholar] [CrossRef] [PubMed]
- Wilson, G.A.; Hu, Z.; Rahman, S. Community resilience in rural China: The case of Hu Village, Sichuan Province. J. Rural. Stud. 2018, 60, 130–140. [Google Scholar] [CrossRef]
- Venugopal, S.; Gau, R.; Appau, S.; Sample, K.L.; Pereira, R.C.F. Adapting traditional livelihood practices in the face of environmental disruptions in subsistence communities. J. Bus. Res. 2019, 100, 400–409. [Google Scholar] [CrossRef]


’ refers to the River, ‘
’refers to the Tourist Highway along the Yellow River, ‘
’ refers to the Expressway, ‘
’ refers to provincial highways, ‘
’ refers to county roads.
’ refers to the River, ‘
’refers to the Tourist Highway along the Yellow River, ‘
’ refers to the Expressway, ‘
’ refers to provincial highways, ‘
’ refers to county roads.
’ refers to the River, ‘
’refers to the Tourist Highway along the Yellow River, ‘
’ refers to the Expressway, ‘
’ refers to provincial highways, ‘
’ refers to county roads.
’ refers to the River, ‘
’refers to the Tourist Highway along the Yellow River, ‘
’ refers to the Expressway, ‘
’ refers to provincial highways, ‘
’ refers to county roads.
’ refers to the River, ‘
’refers to the Tourist Highway along the Yellow River, ‘
’ refers to the Expressway, ‘
’ refers to provincial highways, ‘
’ refers to county roads.
’ refers to the River, ‘
’refers to the Tourist Highway along the Yellow River, ‘
’ refers to the Expressway, ‘
’ refers to provincial highways, ‘
’ refers to county roads.
’ refers to the River, ‘
’refers to the Tourist Highway along the Yellow River, ‘
’ refers to the Expressway, ‘
’ refers to provincial highways, ‘
’ refers to county roads.
’ refers to the River, ‘
’refers to the Tourist Highway along the Yellow River, ‘
’ refers to the Expressway, ‘
’ refers to provincial highways, ‘
’ refers to county roads.
’ refers to the River, ‘
’refers to the Tourist Highway along the Yellow River, ‘
’ refers to the Expressway, ‘
’ refers to provincial highways, ‘
’ refers to county roads.
’ refers to the River, ‘
’refers to the Tourist Highway along the Yellow River, ‘
’ refers to the Expressway, ‘
’ refers to provincial highways, ‘
’ refers to county roads.
’ refers to the River, ‘
’refers to the Tourist Highway along the Yellow River, ‘
’ refers to the Expressway, ‘
’ refers to provincial highways, ‘
’ refers to county roads.
’ refers to the River, ‘
’refers to the Tourist Highway along the Yellow River, ‘
’ refers to the Expressway, ‘
’ refers to provincial highways, ‘
’ refers to county roads.


| Subsystems | Factors | Calculation Description | Direction |
|---|---|---|---|
| Natural system vulnerability | Forest Cover | Share of forest land in total land | − |
| Land Cultivation | Ratio of abandoned land to total land | − | |
| Sandstorm | Five-point scale values, impact degree of wind and sand disaster: Very low 1; Low 2; Medium 3; High 4; Very high 5 | + | |
| Fertilizer Use | Average fertilizer use on household contracted land | + | |
| River Quality | Five-point scale values, perceived quality of river and canal water: Perennial clearness 1; Relatively clean 2; River breakage, medium quality 3; Muddy, polluted with garbage 4; Highly polluted, smelly 5 | + | |
| Human system vulnerability | Permanent Population | Five-point scale values, permanent population profile in villages: Crowded and well-structured 1; Appropriate demographic structure 2; Less youths and children 3; Few youths 4; Highly depressed 5 | + |
| Dependency Ratio | Ratio of non-working-age population to working-age population; working age is defined as between 15 and 64 years old | + | |
| Household Size | Number of people per household, calculated by the ratio of village population to number of households | − | |
| Labor Literacy | Five-point scale values, education level of the labor force: Illiterate 1; Elementary school 2; Junior high school 3; High school 4; University or above 5 | − | |
| Festival Crowd | Five-point scale values, crowds at traditional festivals: Less crowded and cold 1; Few people, no festival atmosphere 2; Medium, no feeling 3; People flow, with festive atmosphere 4; Very crowded and hot 5 | − | |
| Dwelling system vulnerability | House Structure | Five-point scale values, vulnerability grading of housing structures: A building of two or more stories 1; single-story house 2; Stone cave house 3; Earthen cave house 4; Decrepit house 5 | + |
| Housing Size | Number of rooms per capita | − | |
| Durable Goods | Sum of the values for consumer durables, values for each consumer good: Electric fan, Washing machine, TV, Refrigerator 1; Motorcycle, Bicycle 2; Car, Water heater, Air conditioner, Computer 3 | − | |
| Communication | Four-point scale values, best communication devices for home ownership: No 1; Landline telephone 2; Non-Smart mobile phones 3; Smartphone 4 | − | |
| Domestic Water | Four-point scale values, ways to use water at home: In-house tap water 1; Well water without entering the house 2; Going out to obtain water 3; Use of rainwater 4 | + | |
| Support system vulnerability | School Distance | Distance to the nearest primary school. If the elementary school is located in the village, the value was assigned as 0.5 km | + |
| Village Doctor | Total number of doctors in the village or available for home visits | − | |
| Road Condition | Condition of trunk road in village, calculated by the multiplied product of the value for road technical class and the value for pavement type; value for the road technical level: Provincial-level road 1; County-level road 2; Township-level road 3; Village-level road 4; Value for the pavement level: Hardened 1; Unhardened 2 | + | |
| Retail Store | Total number of retail stores or kiosks in the village | + | |
| Garbage Disposal | Four-point scale values, ways to dispose of domestic garbage: Dumped into the garbage pond dedicated to cleaning and transport 1; Local centralized incineration or burial disposal 2; Concentrated pile to wasteland, no disposal 3; Dump into gullies or rivers 4 | + | |
| Social system vulnerability | Livelihood Diversity | Number of household livelihood types. There are six types of livelihoods: agriculture, forestry, ranching, labor, business and employment in public institutions or state-owned enterprises. | − |
| Household Income | Household income per capita | − | |
| Village Security | Five-point scale values, village security level: Very poor 1; Poor 2; Average 3; Better 4; Very good 5 | − | |
| Village Management | Five-point scale values, ability and attitude to deal with general affairs in village management: Poor attitude and ability 1; Indifferent attitude, average ability 2; Good attitude but difficult to handle issues 3; Good attitude, slow to handle issues 4; Good attitude and promptness 5 | − | |
| Wealth Disparity | Five-point scale values, disparity of wealth between households within the village: Very small 1; Small 2; Medium 3; Big 4; Bigger 5 | + |
| Levels | Value Range for Contributions/Resistances | |
|---|---|---|
| Subsystems | Factors | |
| Low | <0.2 a | <0.04 b |
| Medium | 0.2–0.25 | 0.04–0.08 |
| High | >0.25 | >0.08 |
| Factors (Systems in Bold) | 1980 | 2000 | 2008 | 2017 |
|---|---|---|---|---|
| Forest Cover | 0.818 | 0.525 | 0.425 | 0.418 |
| Land Cultivation | 1.000 | 0.925 | 0.841 | 0.468 |
| Sandstorm | 0.702 | 0.520 | 0.326 | 0.177 |
| Fertilizer Use | 0.177 | 0.441 | 0.539 | 0.383 |
| River Quality | 0.500 | 0.510 | 0.602 | 0.558 |
| Natural system vulnerability | 0.595 | 0.569 | 0.541 | 0.418 |
| Permanent Population | 0.153 | 0.305 | 0.598 | 0.822 |
| Dependency Ratio | 0.476 | 0.289 | 0.179 | 0.241 |
| Household Size | 0.356 | 0.432 | 0.570 | 0.718 |
| Labor Literacy | 0.779 | 0.742 | 0.581 | 0.376 |
| Festival Crowd | 0.246 | 0.309 | 0.464 | 0.615 |
| Human system vulnerability | 0.421 | 0.427 | 0.480 | 0.544 |
| House Structure | 0.788 | 0.694 | 0.649 | 0.587 |
| Housing Size | 0.857 | 0.782 | 0.680 | 0.526 |
| Durable Goods | 0.868 | 0.785 | 0.691 | 0.415 |
| Communication | 0.983 | 0.869 | 0.506 | 0.128 |
| Domestic Water | 0.656 | 0.469 | 0.251 | 0.095 |
| Dwelling system vulnerability | 0.798 | 0.697 | 0.549 | 0.379 |
| School Distance | 0.002 | 0.037 | 0.298 | 0.406 |
| Village Doctor | 0.818 | 0.757 | 0.788 | 0.803 |
| Road Condition | 0.786 | 0.573 | 0.419 | 0.197 |
| Retail Store | 0.881 | 0.731 | 0.765 | 0.794 |
| Garbage Disposal | 0.973 | 0.973 | 0.961 | 0.632 |
| Support system vulnerability | 0.618 | 0.575 | 0.613 | 0.545 |
| Livelihood Diversity | 0.708 | 0.452 | 0.390 | 0.623 |
| Household Income | 0.974 | 0.863 | 0.616 | 0.336 |
| Village Security | 0.426 | 0.443 | 0.310 | 0.210 |
| Village Management | 0.740 | 0.749 | 0.589 | 0.363 |
| Wealth Disparity | 0.201 | 0.338 | 0.668 | 0.786 |
| Social system vulnerability | 0.582 | 0.558 | 0.514 | 0.472 |
| RHSS vulnerability | 0.655 | 0.604 | 0.565 | 0.454 |
| Factors (Subsystems in Bold) | Contributions in Villages | Resistances in Villages | ||||||
|---|---|---|---|---|---|---|---|---|
| Percentage (%) | Percentage (%) | |||||||
| 1980 | 2000 | 2008 | 2017 | 1980 | 2000 | 2008 | 2017 | |
| Forest Cover | 24.6 | 4.6 | 3.1 | 20 | 3.1 | 15.4 | 24.6 | 0 |
| Land Cultivation | 100 | 80 | 70.8 | 23.1 | 0 | 0 | 6.2 | 9.2 |
| Sandstorm | 30.8 | 16.9 | 1.5 | 4.6 | 4.6 | 33.8 | 53.8 | 73.8 |
| Fertilizer Use | 0 | 1.5 | 6.2 | 13.8 | 89.2 | 33.8 | 12.3 | 20 |
| River Quality | 1.5 | 3.1 | 20 | 43.1 | 6.2 | 24.6 | 13.8 | 7.7 |
| Natural system | 0 | 7.7 | 18.5 | 13.8 | 1.5 | 7.7 | 21.5 | 41.5 |
| Permanent Population | 0 | 0 | 20 | 61.5 | 69.2 | 15.4 | 0 | 0 |
| Dependency Ratio | 12.3 | 3.1 | 0 | 3.1 | 3.1 | 41.5 | 87.7 | 78.5 |
| Household Size | 0 | 3.1 | 29.2 | 27.7 | 9.2 | 9.2 | 1.5 | 0 |
| Labor Literacy | 87.7 | 90.8 | 44.6 | 0 | 0 | 0 | 7.7 | 20 |
| Festival Crowd | 0 | 3.1 | 6.2 | 9.2 | 18.5 | 33.8 | 3.1 | 1.5 |
| Human system | 0 | 0 | 1.5 | 27.7 | 98.5 | 84.6 | 44.6 | 0 |
| House Structure | 3.1 | 0 | 16.9 | 46.2 | 10.8 | 4.6 | 0 | 1.5 |
| Housing Size | 7.7 | 21.5 | 43.1 | 40.0 | 6.2 | 1.5 | 3.1 | 3.1 |
| Durable Goods | 1.5 | 9.2 | 32.3 | 10.8 | 4.6 | 1.5 | 0 | 1.5 |
| Communication | 90.8 | 64.6 | 6.2 | 1.5 | 0 | 0 | 10.8 | 27.7 |
| Domestic Water | 6.2 | 4.6 | 1.5 | 1.5 | 78.5 | 92.3 | 86.2 | 70.8 |
| Dwelling system | 96.9 | 76.9 | 15.4 | 3.1 | 0 | 0 | 3.1 | 49.2 |
| School Distance | 0 | 1.5 | 10.8 | 10.8 | 100 | 96.9 | 61.5 | 38.5 |
| Village Doctor | 29.2 | 18.5 | 30.8 | 30.8 | 1.5 | 3.1 | 7.7 | 3.1 |
| Road Condition | 29.2 | 0 | 0 | 0 | 0 | 1.5 | 32.3 | 58.5 |
| Retail Store | 43.1 | 30.8 | 32.3 | 32.3 | 0 | 6.2 | 4.6 | 3.1 |
| Garbage Disposal | 89.2 | 90.8 | 84.6 | 84.6 | 0 | 0 | 0 | 15.4 |
| Support system | 3.1 | 12.3 | 60.0 | 50.8 | 0 | 3.1 | 6.2 | 7.7 |
| Livelihood Diversity | 1.5 | 0 | 0 | 21.5 | 0 | 20 | 32.3 | 0 |
| Household Income | 98.5 | 80.0 | 35.4 | 0 | 0 | 0 | 7.7 | 30.8 |
| Village Security | 1.5 | 1.5 | 1.5 | 0 | 18.5 | 26.2 | 56.9 | 61.5 |
| Village Management | 0 | 18.5 | 24.6 | 1.5 | 0 | 0 | 1.5 | 9.2 |
| Wealth Disparity | 0 | 0 | 38.5 | 76.9 | 81.5 | 53.8 | 1.5 | 0 |
| Social system | 0 | 1.5 | 4.6 | 4.6 | 0 | 4.6 | 24.6 | 1.5 |
Disclaimer/Publisher’s Note: The statements, opinions and data contained in all publications are solely those of the individual author(s) and contributor(s) and not of MDPI and/or the editor(s). MDPI and/or the editor(s) disclaim responsibility for any injury to people or property resulting from any ideas, methods, instructions or products referred to in the content. |
© 2023 by the authors. Licensee MDPI, Basel, Switzerland. This article is an open access article distributed under the terms and conditions of the Creative Commons Attribution (CC BY) license (https://creativecommons.org/licenses/by/4.0/).
Share and Cite
Yang, Q.; Gao, Y.; Cao, X.; Yang, J. Contributions and Resistances to Vulnerability of Rural Human Settlements System in Agricultural Areas of Chinese Loess Plateau since 1980. Sustainability 2023, 15, 10948. https://doi.org/10.3390/su151410948
Yang Q, Gao Y, Cao X, Yang J. Contributions and Resistances to Vulnerability of Rural Human Settlements System in Agricultural Areas of Chinese Loess Plateau since 1980. Sustainability. 2023; 15(14):10948. https://doi.org/10.3390/su151410948
Chicago/Turabian StyleYang, Qingqing, Yanhui Gao, Xiaoshu Cao, and Jie Yang. 2023. "Contributions and Resistances to Vulnerability of Rural Human Settlements System in Agricultural Areas of Chinese Loess Plateau since 1980" Sustainability 15, no. 14: 10948. https://doi.org/10.3390/su151410948
APA StyleYang, Q., Gao, Y., Cao, X., & Yang, J. (2023). Contributions and Resistances to Vulnerability of Rural Human Settlements System in Agricultural Areas of Chinese Loess Plateau since 1980. Sustainability, 15(14), 10948. https://doi.org/10.3390/su151410948

