Power-Weighted Prediction of Photovoltaic Power Generation in the Context of Structural Equation Modeling
Abstract
1. Introduction
2. Data Collection and Processing
2.1. Data Collection
2.2. Data Preprocessing
3. Short-Cycle Weighted Prediction Model for a Photovoltaic Power Station
3.1. Construction of the Structural Equation Model
3.1.1. Structural Equation Model
3.1.2. Structural Equation Model Construction Method
3.2. Construction of the Short-Term Weighted Prediction Model for a Photovoltaic Power Station
3.2.1. Multivariate Weighting Module
3.2.2. Multiple Regression Module
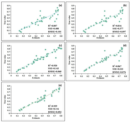
4. The Experimental Results
4.1. Multivariate Weighted Results
4.2. Multiple Regression Results
5. Discussion
5.1. Effectiveness of a Single Factor
5.2. Effectiveness Analysis for the Path Based on the Structural Equation Model
5.3. Determination of the Weights for a Short-Term Prediction Model for a Photovoltaic Power Station
6. Conclusions
Author Contributions
Funding
Institutional Review Board Statement
Informed Consent Statement
Data Availability Statement
Acknowledgments
Conflicts of Interest
References
- Jia, Y.; Alva, G.; Fang, G. Development and Applications of photovoltaic—Thermal systems: A review. Renew. Sustain. Energy Rev. 2019, 102, 249–265. [Google Scholar] [CrossRef]
- Hernandez-Callejo, L.; Gallardo-Saavedra, S.; Alonso-Gomez, V. A review of photovoltaic systems: Design, operation and maintenance. Sol. Energy 2019, 188, 426–440. [Google Scholar] [CrossRef]
- Ahmed, R.; Sreeram, V.; Mishra, Y.; Arif, M.D. A review and evaluation of the state-of-the-art in PV solar power forecasting: Techniques and optimization. Renew. Sustain. Energy Rev. 2020, 124, 109792. [Google Scholar] [CrossRef]
- Feng, J.; Chen, M.; Li, Y.; Zhong, J. An Implementation of Full Cycle Strategy Using Dynamic Blending for Rapid Refresh Short-range Weather Forecasting in China. Adv. Atmos. Sci. 2021, 38, 943–956. [Google Scholar] [CrossRef]
- Li, Y.; Wan, Y.; Xiao, J.; Zhu, Y. Prediction of Photovoltaic Power Generation Based on POS-BP Neural Network. In Bio-Inspired Computing: Theories and Applications: 14th International Conference, BIC-TA 2019, Zhengzhou, China, 22–25 November 2019, Revised Selected Papers, Part II 14; Springer: Singapore, 2020. [Google Scholar]
- Brusco, G.; Burgio, A.; Menniti, D.; Pinnarelli, A.; Sorrentino, N.; Vizza, P. Quantification of Forecast Error Costs of Photovoltaic Prosumers in Italy. Energies 2017, 10, 1754. [Google Scholar] [CrossRef]
- Gueymard, C. Critical analysis and performance assessment of clear sky solar irradiance models using theoretical and measured data. Sol. Energy 1993, 51, 121–138. [Google Scholar] [CrossRef]
- Feng, Y.; Gong, D.; Zhang, Q.; Jiang, S.; Zhao, L.; Cui, N. Evaluation of temperature-based machine learning and empirical models for predicting daily global solar radiation. Energy Convers. Manag. 2019, 198, 111780. [Google Scholar] [CrossRef]
- Yang, L.; Gao, X.; Hua, J.; Wu, P.; Li, Z.; Jia, D. Very Short-terms Surface Solar Irradiance Forecasting Based On FengYun-4 Geostationary Satellite. Sensors 2020, 20, 2606. [Google Scholar] [CrossRef] [PubMed]
- Gueymard, C.A. REST2: High-performance solar radiation model for cloudless-sky irradiance, illuminance. Sol. Energy 2008, 82, 272–285. (In Chinese) [Google Scholar] [CrossRef]
- Voyant, C.; Notton, G.; Kalogirou, S.; Nivet, M.L.; Paoli, C.; Motte, F.; Fouilloy, A. Machine learning methods for solar radiation forecasting: A review. Renew. Energy 2017, 105, 569–582. [Google Scholar] [CrossRef]
- Shen, Y.; Wei, H.; Zhu, T.; Zhao, X.; Zhang, K. A Data-driven Clear Sky Model for Direct Normal Irradiance. J. Phys. Conf. 2018, 1072, 012004. [Google Scholar] [CrossRef]
- Heo, J.; Song, K.; Han, S.; Lee, D.E. Multi-channel convolutional neural network for integration of meteorological and geographical features in solar power forecasting. Appl. Energy 2021, 295, 117083. [Google Scholar] [CrossRef]
- Luo, Z.; Fang, F. Prediction of Photovoltaic Power Generation Based on PSO-RNN and SVR Model. In Proceedings of the 2019 International Conference on Sensing, Diagnostics, Prognostics, and Control (SDPC), Beijing, China, 15–17 August 2019. [Google Scholar]
- Pierro, M.; Bucci, F.; De Felice, M.; Maggioni, E.; Moser, D.; Perotto, A.; Spada, F.; Cornaro, C. Multi-Model Ensemble for day ahead prediction of photovoltaic power generation. Sol. Energy 2016, 134, 132–146. [Google Scholar] [CrossRef]
- Aslam, M.; Lee, J.M.; Kim, H.S.; Lee, S.J.; Hong, S. Deep Learning Models for Long-Term Solar Radiation Forecasting Considering Microgrid Installation: A Comparative Study. Energies 2019, 13, 147. [Google Scholar] [CrossRef]
- Xiong, T.; Pu, Z.; Yi, J.; Tao, X. Fixed-time observer based adaptive neural network time-varying formation tracking control for multi-agent systems via minimal learning parameter approach. IET Control Theory Appl. 2020, 14, 1147–1157. [Google Scholar] [CrossRef]
- Yang, Z.; Mourshed, M.; Liu, K.; Xu, X.; Feng, S. A novel competitive swarm optimized RBF neural network model for Short-terms solar power generation forecasting. Neurocomputing 2020, 397, 415–421. [Google Scholar] [CrossRef]
- Grace, J.B. Structural Equation Modeling and Natural Systems: Principles of Estimation and Model Assessment; Cambridge University Press: Cambridge, UK, 2006. [Google Scholar]
- Carrera, B.; Min, K.S.; Jung, J.Y. PVHybNet: A Hybrid Framework for Predicting Photovoltaic Power Generation Using Both Weather Forecast and Observation Data. IET Renew. Power Gener. 2020, 14, 2192–2201. [Google Scholar] [CrossRef]
- Sun, Y.; Venugopal, V.; Brandt, A.R. Short-terms solar power forecast with deep learning: Exploring optimal input and output configuration. Sol. Energy 2019, 188, 730–741. [Google Scholar] [CrossRef]
- Chairperson, C. In Situ and Solar Radiometer Measurements of Atmospheric Aerosols in Bozeman, Montana. Ph.D. Thesis, Montana State University—Bozeman, College of Engineering, Bozeman, MT, USA, 2011. [Google Scholar]
- Muthén, B. A General structural equation Model with dichotomous, ordered categorical, and continuous latent variable indicators. Psychometrika 1984, 49, 115–132. [Google Scholar] [CrossRef]
- Lefcheck, J.S. piecewise SEM: Piecewise structural equation modelling in r for ecology, evolution, and systematics. Methods Ecol. Evol. 2016, 7, 573–579. [Google Scholar] [CrossRef]
- Mardani, A.; Streimikiene, D.; Zavadskas, E.K.; Cavallaro, F.; Nilashi, M.; Jusoh, A.; Zare, H. Application of Structural Equation Modeling (SEM) to solve environmental sustainability problems: A comprehensive review and meta-analysis. Sustainability 2017, 9, 1814. [Google Scholar] [CrossRef]
- Zhu, T.; Guo, Y.; Wang, C.; Ni, C. Inter-hour forecast of solar radiation based on the structural equation model and ensemble model. Energies 2020, 13, 4534. [Google Scholar] [CrossRef]
- De Maesschalck, R.; Jouan-Rimbaud, D.; Massart, D.L. The Mahalanobis distance. Chemom. Intell. Lab. Syst. 2000, 50, 1–18. [Google Scholar] [CrossRef]
- Zhu, W.; Ma, H.; Cai, G.; Chen, J.; Wang, X.; Li, A. Research on PSO-ARMA-SVR Short-terms Electricity Consumption Forecast Based on the Particle Swarm Algorithm. Wirel. Commun. Mob. Comput. 2021, 2021, 6691537. [Google Scholar] [CrossRef]
- Ghazvinian, H.; Mousavi, S.F.; Karami, H.; Farzin, S.; Ehteram, M.; Hossain, M.S.; Fai, C.M.; Hashim, H.B.; Singh, V.P.; Ros, F.C.; et al. Integrated support vector regression and an improved particle swarm optimization-based model for solar radiation prediction. PLoS ONE 2019, 14, e0217634. [Google Scholar] [CrossRef]
- Abo-Khalil, A.G. Maximum Power Point Tracking for a PV System Using Tuned Support Vector Regression by Particle Swarm Optimization. J. Eng. Res. 2020, 8, 139–152. [Google Scholar] [CrossRef]
- Soleimani, H.; Kannan, G. A hybrid particle swarm optimization and genetic algorithm for closed-loop supply chain network design in large-scale networks. Appl. Math. Model. 2015, 39, 3990–4012. [Google Scholar] [CrossRef]
- Fadhillah, M.F.; Lee, S.; Lee, C.W.; Park, Y.C. Application of Support Vector Regression and Metaheuristic Optimization Algorithms for Groundwater Potential Mapping in Gangneung-si, South Korea. Remote Sens. 2021, 13, 1196. [Google Scholar] [CrossRef]
- Kennedy, J.; Eberhart, R. Particle Swarm Optimization. In Proceedings of the ICNN95-International Conference on Neural Networks, Perth, WA, Australia, 27 November–1 December 1995. [Google Scholar]
- Hosseini, M.; Naeini, S.A.; Dehghani, A.A.; Khaledian, Y. Estimation of soil mechanical resistance parameter by using particle swarm optimization, genetic algorithm and multiple regression methods. Soil Tillage Res. 2016, 157, 32–42. [Google Scholar] [CrossRef]
- Fu, C.; Gan, S.; Yuan, X.; Xiong, H.; Tian, A. Determination of Soil Salt Content Using a Probability Neural Network Model Based on Particle Swarm Optimization in Areas Affected and Non-Affected by Human Activities. Remote Sens. 2018, 10, 1387. [Google Scholar] [CrossRef]
- Li, Y.; Tian, Y.; Ouyang, Z.; Wang, L.; Xu, T.; Yang, P.; Zhao, H. Analysis of soil erosion characteristics in small watersheds with particle swarm optimization, support vector machine, and artificial neuronal networks. Environ. Earth Sci. 2009, 60, 1559–1568. [Google Scholar]
- Wei, Q.; Nurmemet, I.; Gao, M.; Xie, B. Inversion of Soil Salinity Using Multisource Remote Sensing Data and Particle Swarm Machine Learning Models in Keriya Oasis, Northwestern China. Remote Sens. 2022, 14, 512. [Google Scholar] [CrossRef]
- Basak, D.; Srimanta, P.; Patranbis, D.C. Support Vector Regression. Neural Inf. Process. Lett. Rev. 2007, 11, 203–224. [Google Scholar]
- Mohanty, R.; Kale, P.G. Influence of Wind Speed on Solar PV Plant Power Production—Prediction Model Using Decision-Based Artificial Neural Network. In Advances in Computational Intelligence and Communication Technology: Proceedings of CICT 2019; Springer: Singapore, 2021. [Google Scholar]
- Hersbach, H. Decomposition of the Continuous Ranked Probability Score for Ensemble Prediction Systems. Wea Forecast. 2000, 15, 559–570. [Google Scholar] [CrossRef]
- Yang, D. A universal benchmarking method for probabilistic solar irradiance forecasting. Sol. Energy 2019, 184, 410–416. [Google Scholar] [CrossRef]
- Xu, R.; Chen, H.; Sun, X. Short-term photovoltaic power forecasting with weighted support vector machine. In Proceedings of the 2012 IEEE International Conference on Automation and Logistics (ICAL), Zhengzhou, China, 15–17 August 2012. [Google Scholar] [CrossRef]
- Hughes, B.R.; Cherisa, N.; Beg, O. Computational study of improving the efficiency of photovoltaic panels in the UAE. World Acad. Sci. Eng. Technol. 2011, 5, 33–42. [Google Scholar]
- Han, X.; Clemmensen, L. On Weighted Support Vector Regression. Qual. Reliab. Eng. Int. 2015, 30, 891–903. [Google Scholar] [CrossRef]
- Xu, Y.; Wang, L. A weighted twin support vector regression. Knowl. Based Syst. 2012, 33, 92–101. [Google Scholar] [CrossRef]
- Patcharaprakiti, N.; Premrudeepreechacharn, S. Maximum power point tracking using adaptive fuzzy logic control for grid-connected photovoltaic system. In Proceedings of the Power Engineering Society Winter Meeting, Boston, MA, USA, 1–5 May 2005. [Google Scholar] [CrossRef]









| Variable | Comprehensive Path Coefficient | Weight |
|---|---|---|
| GHI | 0.955 | 1.757 |
| CC | 0.149 | 3.161 |
| RH | 0.747 | 4.318 |
| ρ | 0.632 | 3.975 |
| T | 0.699 | 1.959 |
| Predictive Models | Calculation Time (s) | Predictive Models | Calculation Time (s) |
|---|---|---|---|
| Neural Network Regression | 29.67 | PSO-RFR | 38.93 |
| PSO—LightGBM | 42.37 | PSO-SVR | 25.71 |
| Short-term weighted prediction model for the photovoltaic power station. | 45.32 |
Disclaimer/Publisher’s Note: The statements, opinions and data contained in all publications are solely those of the individual author(s) and contributor(s) and not of MDPI and/or the editor(s). MDPI and/or the editor(s) disclaim responsibility for any injury to people or property resulting from any ideas, methods, instructions or products referred to in the content. |
© 2023 by the authors. Licensee MDPI, Basel, Switzerland. This article is an open access article distributed under the terms and conditions of the Creative Commons Attribution (CC BY) license (https://creativecommons.org/licenses/by/4.0/).
Share and Cite
Zhu, H.; Zhang, B.; Song, W.; Dai, J.; Lan, X.; Chang, X. Power-Weighted Prediction of Photovoltaic Power Generation in the Context of Structural Equation Modeling. Sustainability 2023, 15, 10808. https://doi.org/10.3390/su151410808
Zhu H, Zhang B, Song W, Dai J, Lan X, Chang X. Power-Weighted Prediction of Photovoltaic Power Generation in the Context of Structural Equation Modeling. Sustainability. 2023; 15(14):10808. https://doi.org/10.3390/su151410808
Chicago/Turabian StyleZhu, Hongbo, Bing Zhang, Weidong Song, Jiguang Dai, Xinmei Lan, and Xinyue Chang. 2023. "Power-Weighted Prediction of Photovoltaic Power Generation in the Context of Structural Equation Modeling" Sustainability 15, no. 14: 10808. https://doi.org/10.3390/su151410808
APA StyleZhu, H., Zhang, B., Song, W., Dai, J., Lan, X., & Chang, X. (2023). Power-Weighted Prediction of Photovoltaic Power Generation in the Context of Structural Equation Modeling. Sustainability, 15(14), 10808. https://doi.org/10.3390/su151410808

