Abstract
The existence of barriers to accessing essential urban opportunities leads to differentiated use of the territory, which can generate social fragmentation. Several authors highlight the role of public transportation services for reducing inequality gaps by providing connections between origins and destinations. The COVID-19 health emergency in 2020 highlighted the complex situation faced by disadvantaged populations in coping with crises in the absence of transportation services. Considering four popular neighborhoods in Santiago de Cali, Colombia, as a case study, patterns of public transport provision, the potential for access to opportunities, and joint accessibility patterns for 2015 and 2021 were evaluated through methods based on spatial analysis. A decrease in public transport provision of approximately 25% and an increase in travel times close to 23 min were detected by 2021. The results show deficits in the provision of transportation services and low accessibility in the study area and reinforce the hypothesis raised about the existence of housing segregation and spatial inequality located on the city’s urban edge, which are marked in both scenarios.
1. Introduction
Latin America presents the highest urban growth rate, close to 80% [1], concentrating between 20% and 30% of the population in informal settlements [2]. This widespread growth and high social segregation exacerbate mobility problems in peripheral areas [3]. From a spatial perspective, the distribution of areas with unfavorable conditions in Latin American cities such as Santiago de Cali is concentrated at the urban margins and generally coincides with hilly geographies with high slopes, which configure spaces with self-managed infrastructures and precarious public service supply in all territorial dimensions, including public transport service, access to urban facilities, and job acquisition [4,5]. The urban development of the city shows the existence of a core–periphery pattern that tends to favor the populations located in flat areas, close to strategic corridors, and endowed with better urban facilities and more significant opportunities for access to goods and services [6,7,8], revealing the existence of social fragmentation that leads to housing segregation towards the urban edge [8,9,10].
Accessibility refers to the potential of opportunities susceptible to be reached according to the ability and desire of people to overcome their spatial separation concerning their use of a particular transportation mode [11,12,13] and the ability to derive benefits from a system that links transportation infrastructure and operation [14], land use [15], and the characteristics of temporality in the territory [16]. The low accessibility and limited public transport supply services in populations with unfavorable conditions affect social life due to limited access to education, health, recreation, and employment opportunities, leading to cumulative marginalization [17]. Territorial and socioeconomic context conditions such as multidimensional poverty [10], housing segregation derived from the grouping of unfavorable factors [9], low degree of academic training of human capital residing at impoverished sectors [18], persistence in institutional and social exclusions [19], and the existence of large inaccessible infrastructures [20] exacerbate the effects related to marginalization, highlighting historical inequalities.
Implementing integrated public transport systems in urban contexts enables equitable access of the population to facilities that allow their individual development in the territory by reducing gaps in social needs [21,22,23]. Despite the efforts of public administrations in planning neighborhood-improvement policies, deficiencies in the provision of transportation services, infrastructure, and social exclusion are persistent in the main cities of Colombia, such as Santiago de Cali [22,24], where these deficiencies are more critical in informal neighborhoods that are generally self-built without planning and with precarious access to essential and vital services [5,7,8], aggravating the adverse effects on the population, which tends to suffer exclusions related to transportation services associated with physical and socio-spatial barriers [4,25]. This is why, to achieve sustainable cities in Latin America, as stated in the Sustainable Development Goal SDG 11 [26], both the housing deficit and the adverse effects of socio-spatial segregation faced mainly by vulnerable populations with the inadequate provision of public transportation must be included.
In recent years, the COVID-19 disease generated by the SARS-CoV-2 virus highlighted the complex situation that disadvantaged populations face in dealing with health crises. According to Arango-Londoño et al. [27], inequities in Santiago de Cali became evident during the COVID-19 health emergency given that the spatial distribution of areas with the highest number of infections occurred in contexts with higher population density, several people with unsatisfied basic needs, and, consequently, a higher concentration of poverty according to social hierarchy. In consonance with Elías-Cuartas et al. [28], the first COVID-19 cases were recorded in residential areas located in the south–north longitudinal axis of the city, an area with a higher concentration of human capital and more favorable conditions of infrastructure and services than the rest of the city, while the behavior of later cases occurred in the periphery, where the most vulnerable population lives.
Several studies have focused on evaluating the relationship between the location of essential services and the level of accessibility through the different transportation systems [8,17,22,24,29,30,31,32,33], recognizing the close relationship between travel costs, inequality in access to opportunities, and the correlation between poverty and population needs. These factors coincide with Grindlay et al. [34] about areas that present low values for the indicator of public transport provision and high values for the indicator of social needs in transportation. On the other hand, Pérez-Peña et al. [35] described how the lack of resources such as transport infrastructure, access to opportunities, and the development of activities that improve social well-being have a direct impact on the social sustainability of the most vulnerable population [35]. Despite the approach to this topic in the international literature, there are few studies focused on popular neighborhoods (PN) located in peripheral areas that comprehensively consider socio-spatial segregation, public transport provision, and the levels of the benefit provided by the trips of the inhabitants to the destinations where the opportunities are and that additionally consider contextual situations such as the COVID-19 pandemic.
This paper presents a methodological contribution in the spatial analysis of the accessibility to opportunities in the urban context through public transportation in two different temporal contexts that consider the case study of four PN located in a hillside area within commune 18, which is in the urban fringe of Santiago de Cali. An evaluation of the socioeconomic conditions of the territory was conducted to identify marginal areas on the periphery of the city. Based on the case study, relationships were determined between the spatial distribution of transport provision, access to urban opportunities, and the level of benefit in trips with different motives in two periods (2015 and 2021) to determine variations related to the COVID-19 pandemic, considering a spatial analysis approach in the distribution of variables related to territorial inequality and socio-spatial segregation.
The structure of this paper is as follows: Section 2 describes the study area, the data, and the methodology adopted; then, Section 3 analyzes the public transport provision patterns related to the integrated mass transportation system (SITM), access to opportunities, as well as joint accessibility patterns, considering a longitudinal study. Finally, the article closes with a discussion of the importance of the study in formulating public policies oriented toward mobility with territorial equity that promote access to opportunities as a contribution to improving the quality of life in PN.
2. Materials and Methods
2.1. Study Area
Santiago de Cali is one of the twelve Special Districts of Colombia, the capital of the department of Valle del Cauca, located between Latitude 3°27’26′′ N and Longitude 76°31’42′′ W, with an area of 562.8 km2 distributed in urban land (21.2%), urban expansion land (2.9%), both with predominantly flat slopes at the center; south and east district zones; and rural land (75.9%), with predominantly steep and undulating slopes. The maximum altitude of the territory (4070 m above sea level) is to the west, and the minimum (950 m above sea level) is to the east, configuring a spatial location that encompasses the hillside and descends to the Cauca River. The territory’s political-administrative division comprises 22 communes with 343 neighborhoods within the urban perimeter, an urban expansion zone in the southeast, and 15 townships at the rural area. The district capital is located mainly in a flat alluvial piedmont area, which has allowed the economic and social development of the territory in similar topographic conditions but, at the same time, has created geographic barriers for the inhabitants of the hillside areas of the city.
The consolidation of the city through unbalanced urban development has resulted in the concentration of households in peripheral areas with precarious conditions, low quality-of-life indexes, and limited access to opportunities. Households with these characteristics make up what is recognized locally as human settlements of incomplete development [36] and nationally and internationally as informal settlements, precarious or self-built neighborhoods [5], or popular neighborhoods [37], with the latter being the denomination used in this article. In the city of Santiago de Cali, in its peripheral, western, and eastern zone, more than 300,000 households are concentrated in precarious settlements (Figure 1), of which 40,000 are in the PN [38], evidencing the city’s unequal growth model.
Figure 1.
Spatial location of Santiago de Cali and popular neighborhoods. Source: Prepared by the authors.
Commune 18 and part of its neighboring rural areas located in the southwestern part of the city’s urban perimeter are predominantly occupied by PN. The mobility patterns considered in this article were studied in four PN in commune 18, where the GREAT project is focused. The inhabitants in the study area report that close to 46.0% of the primary sources of income correspond to informal work. In addition, 85.4% of households have monthly incomes equal to or less than one minimum wage. On the other hand, 41.2% of households do not have Internet access, while of the remaining (58.8%) that do have access, 25.7% consider that the service is good, 23.8% regular, and 9.34% bad [39], which is a condition that limits access to opportunities through digital platforms mainly related to Internet access.
In terms of mobility, these neighborhoods present a territorial configuration based on travel strategies that are developed within the commune to access goods and services due to institutional exclusions and spatial segregation concerning the rest of society [19], making complex journeys to integrate into the network and acquire the goods and services necessary for the reproduction of living conditions. This context is accentuated by physical or social barriers, such as unemployment or low-income levels, poor health and education services, and limited mobility from and to the periphery areas, which hinder social participation [30].
2.2. Data Sources
The evaluation of data from primary and secondary sources for 2015 and 2021 made it possible to identify the impact of the increase in social inequalities and imbalances in the dynamics of the displacement of people generated by public health events such as the COVID-19 pandemic. Table 1 describes the secondary sources used.
Table 1.
Data used for research development. Source: Prepared by the authors.
As a primary source, a 2021 survey of 78 households, selected through non-probabilistic causal sampling, is considered to characterize the mobility patterns in four PN of commune 18: La Arboleda, Brisas de las Palmas, Pampas del Mirador and Alto Polvorines, three of which have data (64 samples) in the Household Mobility Survey [45]. The survey allowed an exploratory approach to the mobility patterns of residents by collecting information on the characteristics of the trip they make most frequently within or outside the sector. In addition, other aspects such as destination, reasons for travel, last travel date, start and end time, the number of transportation modes used, and trip duration allowed recognizing the benefit levels at the destination areas for different population groups.
2.2.1. Measuring Socio-Spatial Segregation
According to Pérez-Campuzano [9] and Rodríguez and Arriagada [46], it is possible to estimate socio-spatial segregation from the distribution of scale housing segregation by studying the spatial concentration of populations with unfavorable economic status. In this study, an approximation of socio-spatial segregation at the neighborhood level based on the spatialization of data on socioeconomic stratification, the INBI and their concentration at PN is presented. Additionally, the socioeconomic stratification, assigned by the local district planning department at the property level, is represented through the trend value of the assignment, aggregated at the neighborhood level (Figure 2a); in this, level 1, 2, and 3 households have lower resources, and level 5 and 6 households have more significant economic resources, so the latter assume a contribution (surcharge) for residential public services that help subsidize those who live in the most disadvantaged levels [47].
Figure 2.
Spatial distribution at the neighborhood level: (a) Socioeconomic stratification; (b) Index of Unsatisfied Basic Needs (INBI); (c) concentration of popular neighborhoods. Source: Prepared by the authors based on DAPM [40] (a), DANE [41] (b), and Universidad del Valle and SVSH [42] (c).
Meanwhile, INBI estimated with information captured for the National Population and Housing Census [41] allows differentiating between households that have at least one unsatisfied need and those that do not present critical shortages. This index relates the following simple indicators: inadequate housing, critical overcrowding, inadequate public services, high economic dependency, and school-aged children not attending school. For the INBI, values close to zero represent better conditions (do not present needs), while when a household presents at least one acute deprivation, the indicator takes the value of 1. Therefore, the index is determined by counting how many households have at least one unsatisfied need and are considered poor [10] (Figure 2b). Finally, the spatial concentration patterns of the PN are considered based on the information established in the map of incompletely developed human settlements adopted by the local administration of Santiago de Cali District in the Public Policy of Integral Improvement of Habitat—MiHabitat [48] (Figure 2c).
2.2.2. Spatiotemporal Measurement of Inequality Associated with Access to Transportation Services and Opportunities
The topological indicator of absolute public transport provision (A-IPTP), adapted according to the population based on the formulation proposed by Jaramillo et al. [24], allowed for determining the degree of spatial inequality associated with access to public transport services. Meanwhile, the graphs of percentage-accumulated ogive frequencies according to the travel time variable allowed access to infrastructure opportunities to be determined.
- Absolute public transportation provision indicator (A-IPTP)
This indicator relates the supply of services of a passenger transport system (number of stops, vehicle capacity, and frequency of services) to the potentially served population living in the geographic units of analysis. In this study, the indicator made it possible to estimate the provision of a bus service (SITM) at the neighborhood level. The mathematical expression of this indicator is as follows:
where, is the absolute public transportation provision indicator of neighborhood ; is the resident population of neighborhood ; is the number of SITM services (trunk, pretrunk, or feeder); the number of stops of the vehicle typology for service in neighborhood ; represents the weighting factors defined for the capacity per vehicle typology of service ( and the corresponding frequency .
To determine the variation in the provision of infrastructure, two observation periods were considered corresponding to the operational service plans for each period (2015 and 2021). These periods present variations in the allocation of fleets and frequencies for the different services in the city’s neighborhoods. Negative values represent areas with decreased provision, while positive values indicate an increased provision resulting from the difference between the observation periods. The specific calculation formulas for estimating the weighting factors are as follows:
where is the capacity weighting factor given by the vehicle typology of service ; is the transport capacity of service ; is the minimum capacity among the vehicle typologies available for the service; is the frequency weighting factor of service ; is the frequency of service ; is the minimum frequency among the available services. The operational services parameters of the SITM were provided by Metrocali SA [43] and are presented in Table 2.
Table 2.
Characteristics by type of services (corridor) SITM. Source: Metrocali SA [43].
- Measurement of potential access time to opportunities
Mobility and public passenger transportation systems facilitate local development by allowing territorial access to opportunities such as employment, education, and health [49]. Measuring the level of accessibility of a population to these facilitators is possible through the study of transportation-related costs (time, distance, or fare) given the close relationship between these and the population’s ability to acquire services [12,50]. This study considered the travel time spent at the SITM in order to perform the characterization of travel costs towards opportunities located in the official facilities (equipments to provide services according to an area of the property) of health and education, including in the Territorial Management Plan of Santiago de Cali [40], considering the operational service plan for the SITM by the years 2015 and 2021 and given the restrictions due to the sanitary crisis of COVID-19 as well as the social conflicts associated with the protests that took place during 2021 in the city. Table 3 presents the characteristics for the categorization by the geographical scale of the chosen facilities.
Table 3.
Criteria for the classification of facilities by scale. Source: DAPM [40].
Regarding employment centers, the number of jobs generated per establishment aggregated at the neighborhood level was considered and obtained from the Mercantile Registry Database [44]. Neighborhoods with jobs generated between one and two positive standard deviations were classified, showing aptitudes for attracting employment trips. Based on this information, two origin–destination matrices were determined: one for each observation period (2015 and 2021) and both originating in the four PN under study. For the destinations, health and education facilities in the urban head of the district were considered as well as the employment centers. The values of travel times were calculated using ArcGIS Pro 3.1.1 version software, using a network dataset containing the networks with the SITM routes for the years 2015 and 2021, respectively. As for 2021 trips, given the inadequate provision of transportation services from and to the four PN, pedestrian travel times to the nearest active service point were considered. From this, the continuous distribution model of travel times was generated, from which the corresponding values for the mentioned opportunities (health, education, and employment) were extracted, and the graph of potentially achievable opportunities over time was constructed using cumulative frequency ogives.
2.2.3. Spatiotemporal Measurement of Joint Accessibility for Peripheral Areas
In order to evaluate the degree of the potential benefit of the destinations to which the inhabitants of the PN under study travel, the evaluation of the patterns of the most frequent trips declared in the mobility surveys in the two reference periods were considered and classified following the methodology proposed by Gutiérrez and Reyes [51]. Trips were classified into two types: obligated trips, which are related activities framed within the daily context of the person, such as trips for employment, education, health, shopping, or household errands (in which they include care and emergencies), and non-obligated trips, comprising activities related to the destination of time capital in leisure, recreation, or voluntary extracurricular training. Both trip types were distinguished to determine possible variations among the benefits potentially attainable in the urban context. The respondents’ travel desire lines were spatialized to relate the position in the space of trip origins and destinations in the city’s neighborhoods. The joint accessibility indicator, developed by Neutens et al. [52] and Neutens et al. [53], was implemented based on the space–time prisms of a set of individuals, taking into consideration the travel times and the time spent at the trip destination. The following formulation was used to calculate the additive measure of spatiotemporal accessibility:
where is the set of individuals traveling to an opportunity ; indicates the degree of spatial benefit of the set; is the rating assigned to determine the degree of attraction of the opportunity; the time spent by a set of members at the opportunity; is the average duration of trips made by a set of members; is the number of members in the set. These parameters are penalized by the time decay factor , which expresses the degree of sensitivity to physical separation between opportunities in the set. It should be noted that the parameter was set by default with a value of 10 for areas with reported trips and a value of 0 for areas without trips, responding to the constraint of the nature of the secondary information used in 2015.
3. Results
3.1. Absolute Public Transport Provision Indicator
The spatial distribution of A-IPTP shows significant differences in the study area (Figure 3). In 2015, favorable conditions were widespread in the territory, with an erratic and accentuated behavior in the north–south axis; extensions are insinuated in the northern zone and the city’s central–eastern sector. There are areas with unfavorable conditions in the western, southeastern, and extreme southern sectors (Figure 3a). In 2021, favorable conditions spread intermittently over the territory in the central–northern sectors and in the north with greater intensity; small zones also emerged from the center to the south (Figure 3b). The zones with unfavorable conditions are recognized and generalized in the rest of the urban territory. In detail, for commune 18, similar conditions were mostly unfavorable. In 2015, a scarce favorable behavior was identified in the north and south zones adjacent to the military basement, with a reflection in commune 17 in the corresponding border zone. In 2021, reduced good behavior was identified in a zone in the north of commune 18 and a reflection in the border zone in commune 17.
Figure 3.
(a) A-IPTP calculated based on 2015 operational service plan; (b) A-IPTP calculated based on 2021 operational service plan. Source: Prepared by the authors based on Metrocali SA [43].
The loss of A-IPTP from 2015 to 2021 is territorially emphasized in the city’s eastern and southern sectors of commune 18, adjacent to the military basement (Figure 4). The increase in A-IPTP is more accentuated by sweeping from the center to the north and from the west to the east, and similar isolated behavior is also observed in commune 22 in the southern part of the city.
Figure 4.
Changes in public transportation service provision by neighborhood between 2015 and 2021. Source: Prepared by the authors based on Metrocali SA [43].
3.2. Measurement of Potential Access Time to Opportunities
The spatial distribution of health facilities is concentrated with greater intensity on the north–south axis, emphasizing the central zone towards the north and the appearance of small zones towards the south of the city (Figure 5a). The spatial distribution of education facilities is concentrated in a similar way to health facilities, with the difference that the area with the most incredible intensity is smaller and concentrated around the central zone, and other sectors appear towards the south of the city with more significant extension and intensity (Figure 5b). Employment centers are located with a centrifugal tendency from the west–central region of the city towards two sectors: the first with a strip-like tendency towards the south and the second with a circular sector towards the northeast and an emerging sector in the southern part of the city (Figure 5c).
Figure 5.
Location of opportunities: (a) health facilities; (b) educational facilities; (c) employment centers. Source: Prepared by the authors based on DAPM [40] (a,b) and CCC [44] (c).
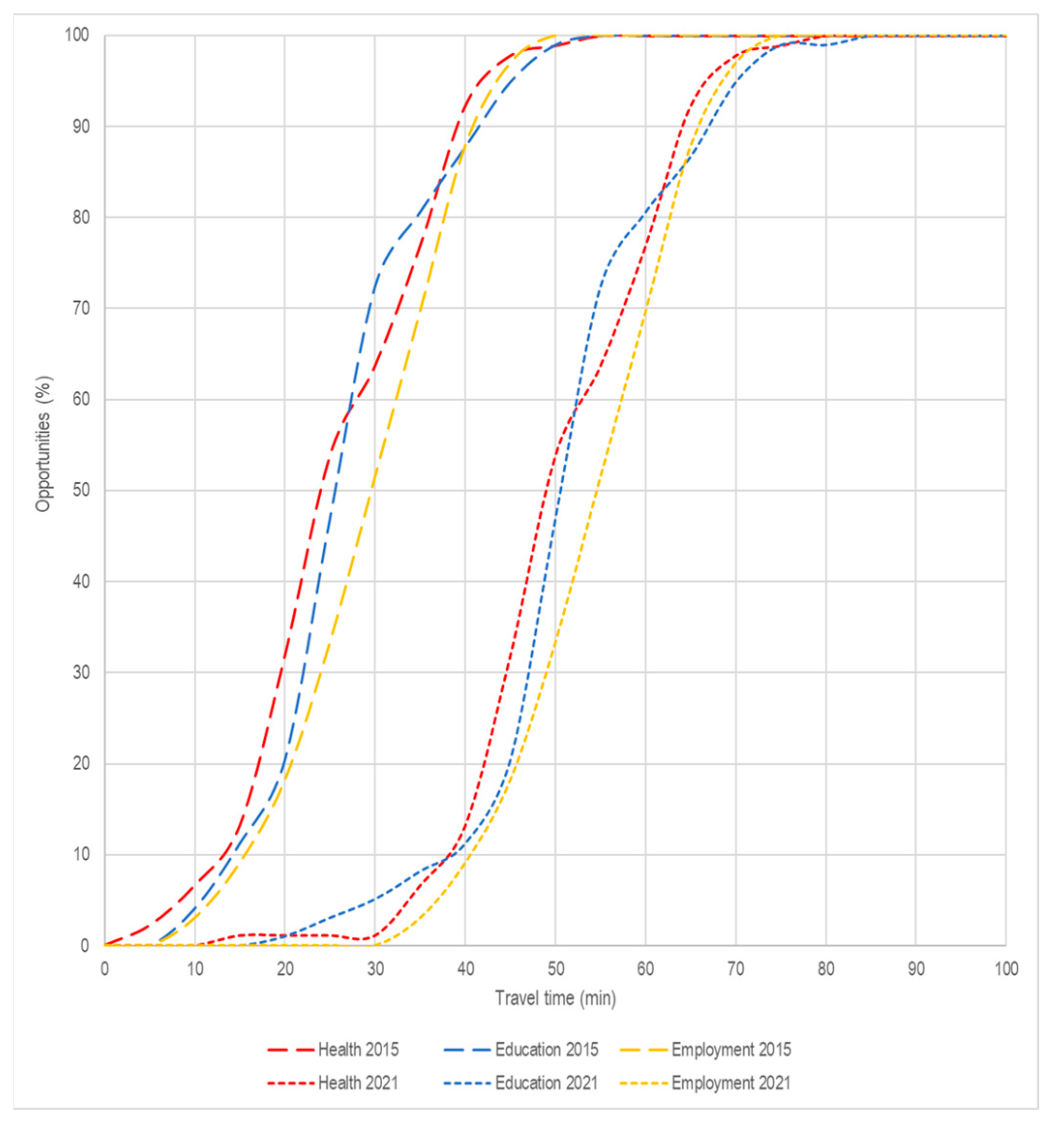
The cumulative frequency ogives that relate the percentage of health, education, and employment opportunities achieved by 2015 and 2021 show very similar behavior as travel time increases on the abscissae (Figure 6). It is evident that to reach the same percentage share of opportunities (50%), the curves corresponding to 2015 present a shorter travel time in contrast to what is shown 2021. This difference is around 25 min, a measure that can be explained by scenarios of lack of provision or intermittency in complementary services in the sector due to social conditions related to protests or public health. This situation has a notably different behavior between 0 and 10% accumulated regarding the opportunities achieved. For 2015, there is a faster growth rate, close to 10 min, than what is evidenced in the case of 2021 by the slower growth rates, around 20 min; this can be detrimental to the sustainability of the inhabitants, as it represents longer travel times and distances to reach the public transport services.
Figure 6.
Cumulative frequency ogives of opportunities achieved over time. Source: Prepared by the authors based on DAPM [40] and CCC [44].
3.3. Cumulative Frequency Ogives of Opportunities Achieved over Time
The spatial distribution of the travel desire lines departing from the PN of interest differs significantly. In 2015, the maximum lengths were oriented in a strip towards the center–north sector, followed by angular trajectories in reduced numbers towards the east outside the urban perimeter (Figure 7a). As for smaller Euclidean distances, the tendency is to constitute a centrifugal pattern, forming a circular pattern whose pivot is the PN of interest. In 2021, the maximum lengths were oriented in a wedge shape towards the central sector with greater emphasis on the northern part of the city, followed by trajectories with shorter distances and with similar configuration and orientation but with a more significant opening, making a sweep from west to east (Figure 7b). The reduced Euclidean distances constitute an angular behavior with strips towards the east and south, where the vertex coincides with the PN of interest.
Figure 7.
Lines of travel desires stated in mobility surveys from the four popular study neighborhoods. (a) Lines of travel desires stated in the 2015 mobility survey; (b) lines of travel desires stated in the 2021 mobility survey. Source: Prepared by the authors based on UT STDG and CNC [45] (a) and self-authorships (b).
Based on the inverse of the weighted distance method (IDW), the interpolated area was estimated using ArcGIS Pro software that considers the estimated spatial distribution of benefit in the trips. For non-obligated trips, it contrasts in its extension and territorial pattern. In 2015, the area without estimated benefit was approximately two-thirds corresponding to the center and north of the city (Figure 8a). The area with evident benefit is the southern part of the city. The sector with the highest benefits is in the southwestern part of commune 18, adjacent to the existing military basement, including the neighborhoods of interest. In 2021, the area is generally reduced without the estimated benefit (Figure 8b). It decreased in size in the south–central direction on the western fringe and north-western sector and increased slightly in the south–central direction on the eastern side. The zone with evident benefits increased in the south–north direction on the western side, while an isolated zone appeared in the northwestern sector and slightly decreased in the eastern side in the center–south direction. The sector that revealed higher benefits was reduced in the southwestern area of commune 18, leaving only a tiny sector near the military basement.
Figure 8.
Spatial distribution of the level of benefits in the destination neighborhoods of non-obligatory and obligatory trips in 2015 and 2021. (a) Spatial distribution of the level of benefits in the destination neighborhoods of non-obligatory trips in 2015; (b) spatial distribution of the level of benefits in the destination neighborhoods of non-obligatory trips in 2021; (c) spatial distribution of the level of benefits in the destination neighborhoods of obligatory trips in 2015; (d) spatial distribution of the level of benefits in the destination neighborhoods of obligatory trips in 2021. Source: Prepared by the authors based on UT SDG and CNC [45] (a,c) and self-authorships (b,d).
The spatial proportion of estimated benefits for obligatory trips differs in extension and shape. In 2015, the area with no estimated benefit belonged to the most considerable portion corresponding to the north–central zone (Figure 8c). The area with noticeable benefit is the southern third, adding a reduced and isolated area in the north–central part of the city. The sector with the highest benefits is in the southwestern part of commune 18, in the vicinity of the existing military basement containing the four PN of interest. In 2021, there was a general decrease in the area with no estimated benefit. Its extension was reduced in the western strip in the west–central direction and in a strip from the northwest to the southeast and decreased in the northeastern part of the city (Figure 8d). The zone with positive benefits grew in an area at the south–north direction on the western side, in a diagonal strip in the center, and a zone in the extreme north, with the latter in isolation. The sector that showed the highest benefits was reduced in the southwestern part of commune 18, leaving only a tiny sector adjacent to the military basement, and there was an increase in a small area at the southern part of the city.
4. Discussion
This paper presents the estimation of spatial inequality in four PN (located in the southwestern hills of the district of Santiago de Cali) concerning the supply of public transportation services and the access to opportunities in the urban area of the district of Santiago de Cali for two periods: pre- and post-pandemic. Measures were estimated based on the spatial distribution of socioeconomic indicators, provision of public transportation, cumulative frequency towards opportunities achieved over time, and joint accessibility to estimate the level of benefit in the most frequent destinations of the inhabitants. The study is consolidated as a contribution to the characterization of historically excluded areas with limited access to opportunities in the urban context and with multiple social and spatial barriers.
The distribution of variables related to spatial segregation in Santiago de Cali is consistent with the work presented by Mayorga et al. [7] regarding the existence of clusters of areas with a marked socioeconomic deficit and multiple concentrations of PN located mainly in the urban margin of the city in contrast to central areas with a low incidence of poverty, showing a core–periphery-type behavior, with similar characteristics to the case study by Cai et al. [33]. The findings reinforce the hypothesis of Mayorga [8] in consequence with what was proposed by Tiznado-Aitken et al. [3], Pérez-Campusano [9], Rodríguez and Arriagada [46], and Feres and Mancero [10] regarding the possible existence of housing segregation in the periphery in clusters of areas with overlapping neighborhoods with unsatisfied basic needs, low socioeconomic classification, and PN concentration.
The study of the levels of public transportation provision in the four PN for the years 2015 and 2021 is congruent with the estimates by Jaramillo et al. [24], Delmelle and Casas [22], and Wilches et al. [32] in the context of Santiago de Cali and with Guzman et al. [17] and Bocarejo and Oviedo [31] in the case of Bogotá in agreeing that the high provision of transportation in communes and neighborhoods is located proximally to trunk corridors of the SITM. An inadequate provision on the edges of hillside areas implies high costs associated with transportation services for the community residents, highlighting the importance of considering the social needs of transportation services in the development of local policies to allow reducing social exclusions. The trend towards the loss of public transport provision in neighborhoods adjacent to the hillside military zone coincides with Motte-Baumvol et al. [20], who researched the possible existence of social fragmentation given the existence of inaccessible areas to the civilian population. This situation is exacerbated due to the location on the periphery and hillside areas, where virtual accessibility to basic necessities of life such as food shopping, leisure activities, and social interaction with friends [54], which have developed more broadly in the pandemic through smartphones, only favor those who already have convenient access to services, while disadvantaged populations are excluded and marginalized, coinciding with areas most affected by the health emergency, such as those identified by Arango-Londoño et al. [27].
For the opportunities that are potentially attainable through public transportation services, the concentration of health opportunities in the urban core of the city was determined, representing below-average accessibility values for the neighborhoods located in the southwestern margin. These results are more critical than those found by Delmelle and Casas [22] due to a precarious SITM coverage of the author’s year of reference. The travel time of the inhabitants of the four PN exceeds the margin of 20 min for access to the public transport system and consequently to connect to the rest of the opportunities in the urban core given the non-existence of services. The analysis of the employment opportunities achieved reinforces what was found through econometric models by Vivas-Pacheco et al. [6] given the prevalence of opportunities in the south–north longitudinal strip of the city, segregation at the urban edge, and deficiency of public transportation services in the city.
The above-described research findings are evidenced by the levels of benefits achieved by the inhabitants of the four PN of study, who are located in proximity to a military basement, with only two options of connection to the main roads of the city and low availability of public transportation services, which are generally conditioned by contextual factors of the territory. The concentration of activities with positive benefits is significant with respect to the rest of the sample and reinforces the hypothesis put forward by Vivas-Pacheco [18] related to the existence of accentuated socioeconomic fragmentation in the urban edge of the city. The existence of barriers to access to the opportunities and low permeability of the public transportation system network is consistent with the characteristics of the case study presented by Kamilipour [4] and may be detrimental to the sustainability of the inhabitants, as presented by Pérez-Peña et al. [35].
The evaluation of joint accessibility for the inhabitants of the four PN was carried out through a methodology that considers measures based on costs and utility for individuals who develop their trips, which is consistent with the recommendations of Anjomshoaa et al. [12] in the framework of the development of urban studies that subsequently allow the formulation of public policies for the improvement of this characteristic. Future research contributions could consider population characteristics related to social exclusions associated with public transportation services, as proposed by Luz and Portugal [25]. It is necessary to understand why clustering centers closer to the PN determines a higher level of benefit to emphasize the needs in the provision of transportation services and accessibility to opportunities for the housing development of the community with an intersectional approach. Population sampling methods, such as those proposed by Jirón and Mansilla [55] and Cai et al. [33], support the application of spatial analytical methodologies based on qualitative and quantitative data trends, which leave behind the limitations of access and interpretation of multi-temporal information.
This study made it possible to recognize how the COVID-19 health emergency exacerbated the existence of inequalities in Santiago de Cali given the differences in the spatial distribution of socioeconomic factors as well as their relationship with positive cases of the disease, which is consistent with the findings of Elías-Cuartas et al. [28], confirming that impoverished areas with higher population density and a more significant number of people with unmet basic needs also had a more significant number of SARS-CoV-2-positive cases. In addition, inequalities were observed in the access to opportunities throughout the city for populations that additionally had a greater risk of contracting the disease according to housing conditions, employment options, and transportation modes and with the impossibility of assuming preventive isolation, representing a challenge to contemplate for successive administrations regarding anticipating possible new scenarios such a sanitary emergency or the social protest that occurred in 2021 in the national context.
In conclusion, this study describes the existence of inequity and socio-spatial segregation in four PN allocated at the periphery of Santiago de Cali given the existence of territorial barriers, high travel costs associated with access to urban opportunities distributed mainly in centralities of the city, which is spatially limited for the inhabitants, representing lower levels of benefit and inadequate provision of public transport from a spatial perspective. These conditions were aggravated from 2021 compared to 2015 given the reduction of local transport services due to the COVID-19 health emergency. In addition, the methodology presented in this study is relevant in the analysis of contexts that incorporate socioeconomic variables and accessibility to promote sustainable development from a social approach and habitat improvement in vulnerable populations that are trying to overcome sustainability problems associated with precarious access to urban service infrastructure, as is the case of the PN.
As a limitation, this study considered a spatial approach of accessibility estimated from territorial variables given that the scope of information is insufficient to study the perceived accessibility of the inhabitants, as suggested by Lätman et al. [56]. Future studies will allow the evaluation of accessibility and inequality through analytical and spatial tools, incorporating other variables inherent to territorial accessibility and that allow diagnosing the quality of public transport provision and integrating decisions on mobility with more considerable scale planning from accessibility as a measure to improve the functional characteristics of neighborhoods with the rest of the city and promote strategies that consider the access to education and health and employment opportunities as the transversal axis of decisions on investment and territorial planning to increase the benefits of travel by reducing barriers and travel costs (fare, distance or time).
Author Contributions
Conceptualization, J.G.M., L.M.G.-M., J.M.-H. and C.J.M.; methodology, J.G.M., L.M.G.-M., J.M.-H. and C.J.M.; formal analysis, J.G.M., L.M.G.-M., J.M.-H. and C.J.M.; investigation, J.G.M., L.M.G.-M., J.M.-H. and C.J.M.; data curation, J.G.M. and L.M.G.-M.; writing—original draft preparation, J.G.M., L.M.G.-M., J.M.-H. and C.J.M.; writing—review and editing, J.G.M., L.M.G.-M., J.M.-H. and C.J.M.; visualization, J.G.M. All authors have read and agreed to the published version of the manuscript.
Funding
This research was funded by the Economic and Social Research Council (ES/T008008/1) and Universidad del Valle (CI 21098).
Institutional Review Board Statement
Not applicable.
Informed Consent Statement
Not applicable.
Data Availability Statement
The data presented in this study are available upon request from the corresponding author.
Acknowledgments
The authors thank the Community of the four popular neighborhoods as well as the researcher team participating in the Gridding Equitable Urban Futures in Areas of Transition (GREAT) project from Lancaster University (U.K.), University College London (U.K.), Universidad del Valle (Colombia), and Universidad Tecnológica from Havana (Cuba).
Conflicts of Interest
The authors declare no conflict of interest.
References
- Banco de Desarrollo de América Latina. Crecimiento Urbano y Acceso a Oportunidades: Un Desafío Para América Latina. 2017. Available online: https://scioteca.caf.com/handle/123456789/1090 (accessed on 5 November 2022).
- Vasconcellos, E.; Mendonça, A. Observatorio de Movilidad Urbana: Informe 2015–2016 (Resumen Ejecutivo) (Report). 2017. Available online: https://scioteca.caf.com/handle/123456789/981 (accessed on 3 December 2022).
- Tiznado-Aitken, I.; Vecchio, G.; Guzman, L.A.; Arellana, J.; Humberto, M.; Vasconcellos, E.; Muñoz, J.C. Unequal Periurban Mobility: Travel Patterns, Modal Choices and Urban Core Dependence in Latin America. Habitat Int. 2023, 133, 102752. [Google Scholar] [CrossRef]
- Kamalipour, H. Shaping Public Space in Informal Settlements: A Case Study. Sustainability 2023, 15, 3781. [Google Scholar] [CrossRef]
- Vergel, E. Asentamientos Precarios Una Aproximación Para Su Mejoramiento Integral y Prevención. DEARQ Rev. Arquit. J. Archit. 2010, 64–81. [Google Scholar] [CrossRef]
- Vivas-Pacheco, H.; Ipia-Astudillo, J.; Rodríguez-Mariaca, D. Precios Del Suelo y Accesibilidad a Las Centralidades de Empleo En Cali: Análisis Exploratorio Con Información 2015–2017. Estud. Gerenciales 2020, 36, 141–155. [Google Scholar] [CrossRef]
- Mayorga Henao, J.M.; Hernández, L.M.; Lozano, M.C. Segregación y Pobreza Multidimensional En El Sistema Urbano Colombiano. Bitácora Urbano Territ. 2021, 31, 113–129. [Google Scholar] [CrossRef]
- Mayorga Henao, J.M. Comparación de Los Patrones Espaciales de La Segregación Residencial y Su Relación Con La Movilidad Cotidiana En Las Principales Aglomeraciones Urbanas de Colombia: Bogotá, Medellín y Cali. Territorios 2023, 48, 1–37. [Google Scholar] [CrossRef]
- Pérez-Campuzano, E. Segregación Socioespacial Urbana. Debates Contemporáneos e Implicaciones Para Las Ciudades Mexicanas. Estud. Demográficos Urbanos 2011, 26, 403–432. [Google Scholar] [CrossRef]
- Feres, J.C.; Mancero, X. El Método de Las Necesidades Básicas Insatisfechas (NBI) y Sus Aplicaciones En América Latina; Serie Estudios Estadísticos y Prospectivos; Naciones Unidas, CEPAL, Div. de Estadística y Proyecciones Económicas: Santiago, Chile, 2001. [Google Scholar]
- Hansen, W.G. How Accessibility Shapes Land Use. J. Am. Inst. Plann. 1959, 25, 73–76. [Google Scholar] [CrossRef]
- Anjomshoaa, E.; Lamit, H.B.; Shafaghat, A.; Khan, T.H. Accessibility Measurement Techniques in Urban Studies: A Comprehensive Review. J. Biodivers. Environ. Sci. JBES 2017, 10, 92–106. [Google Scholar]
- Dalvi, M.Q.; Martin, K.M. The Measurement of Accessibility: Some Preliminary Results. Transportation 1976, 5, 17–42. [Google Scholar] [CrossRef]
- Rodrigue, J.-P.; Comtois, C.; Slack, B. The Geography of Transport Systems; Routledge: London, UK, 2006. [Google Scholar]
- Geurs, K.T.; Van Eck, J.R. Evaluation of Accessibility Impacts of Land-Use Scenarios: The Implications of Job Competition, Land-Use, and Infrastructure Developments for the Netherlands. Environ. Plan. B Plan. Des. 2003, 30, 69–87. [Google Scholar] [CrossRef]
- Geurs, K.T.; Van Wee, B. Accessibility Evaluation of Land-Use and Transport Strategies: Review and Research Directions. J. Transp. Geogr. 2004, 12, 127–140. [Google Scholar] [CrossRef]
- Guzmán, L.A.; Oviedo, D.; Rivera, C. Assessing Equity in Transport Accessibility to Work and Study: The Bogotá Region. J. Transp. Geogr. 2017, 58, 236–246. [Google Scholar] [CrossRef]
- Vivas-Pacheco. Persistence of the Residential Segregation and Composition of the Human Capital for Neighborhoods in the City of Cali. Ens. Sobre Política Econ. 2013, 31, 121–155. [Google Scholar]
- Chanampa, M.E.; Lorda, M.A. Asentamientos Informales y Regularización Urbana. La Producción de Territorialidades En Tensión. Bitácora Urbano Territ. 2020, 30, 141–150. [Google Scholar] [CrossRef]
- Motte-Baumvol, B.; Bonin, O.; Nassi, C.D.; Belton-Chevallier, L. Barriers and (Im)Mobility in Rio de Janeiro. Urban Stud. 2016, 53, 2956–2972. [Google Scholar] [CrossRef]
- Currie, G. Quantifying Spatial Gaps in Public Transport Supply Based on Social Needs. J. Transp. Geogr. 2010, 18, 31–41. [Google Scholar] [CrossRef]
- Delmelle, E.C.; Casas, I. Evaluating the Spatial Equity of Bus Rapid Transit-Based Accessibility Patterns in a Developing Country: The Case of Cali, Colombia. Transp. Policy 2012, 20, 36–46. [Google Scholar] [CrossRef]
- Apaolaza, R.; Blanco, J.; Lerena, N.; López-Morales, E.; Lukas, M.; Rivera, M. Transporte, Desigualdad Social y Capital Espacial: Análisis Comparativo Entre Buenos Aires y Santiago de Chile. Íconos Rev. Cienc. Soc. 2016, 56, 19–41. [Google Scholar] [CrossRef]
- Jaramillo, C.; Lizárraga, C.; Grindlay, A.L. Spatial Disparity in Transport Social Needs and Public Transport Provision in Santiago de Cali (Colombia). J. Transp. Geogr. 2012, 24, 340–357. [Google Scholar] [CrossRef]
- Luz, G.; Portugal, L. Understanding Transport-Related Social Exclusion through the Lens of Capabilities Approach. Transp. Rev. 2021, 42, 503–525. [Google Scholar] [CrossRef]
- United Nations (UN). Sustainable Development Goals. 2015. Available online: https://www.un.org/sustainabledevelopment/sustainable-development-goals/ (accessed on 12 May 2023).
- Arango-Londoño, D.; Ortega-Lenis, D.; Moraga, P.; Torres, M.; Rodríguez-Cortés, F.J. Spatial Modeling and Socioeconomic Inequities of COVID-19 in the Urban Area of the City of Cali, Colombia. Spat. Spatio-Temporal Epidemiol. 2022, 44, 100561. [Google Scholar] [CrossRef] [PubMed]
- Elías-Cuartas, D.; Arango-Londoño, D.; Guzmán-Escarria, G.; Muñoz, E.; Caicedo, D.; Ortega-Lenis, D.; Fandiño-Losada, A.; Mena, J.; Torres, M.; Barrera, L.; et al. Análisis Espacio-Temporal Del SARS-CoV-2 En Cali, Colombia. Rev. Salud Pública 2020, 22, 1–6. [Google Scholar] [CrossRef]
- Casas, I. Social Exclusion and the Disabled: An Accessibility Approach. Prof. Geogr. 2007, 59, 463–477. [Google Scholar] [CrossRef]
- Stanley, J.; Hensher, D.A.; Stanley, J.; Currie, G.; Greene, W.H. Social Exclusion and the Value of Mobility. J. Transp. Econ. Policy 2011, 45, 197–222. [Google Scholar]
- Bocarejo S, J.P.; Oviedo H, D.R. Transport Accessibility and Social Inequities: A Tool for Identification of Mobility Needs and Evaluation of Transport Investments. J. Transp. Geogr. 2012, 24, 142–154. [Google Scholar] [CrossRef]
- Wilches Astudillo, C.A.; Jaramillo, C.; Murillo-Hoyos, J. Accesibilidad y Equidad Espacial al Transporte Público Para Pacientes Con Enfermedad Neurodegenerativa En Santiago de Cali, Colombia. Investig. Geográficas 2021, 76, 179. [Google Scholar] [CrossRef]
- Cai, J.; Huang, C.; Deng, Z.; Li, L. Transport Accessibility and Poverty Alleviation in Guizhou Province of China: Spatiotemporal Pattern and Impact Analysis. Sustainability 2023, 15, 3143. [Google Scholar] [CrossRef]
- Grindlay, A.L.; Jaramillo, C.; Lizárraga, C. Spatial Relationships between Mobility Opportunities and Constraints of Transport Disadvantages: The Case of Santiago de Cali, Colombia. WIT Trans. Build. Environ. 2017, 176, 119–129. [Google Scholar] [CrossRef]
- Pérez-Peña, M.D.C.; Jiménez-García, M.; Ruiz-Chico, J.; Peña-Sánchez, A.R. Transport Poverty with Special Reference to Sustainability: A Systematic Review of the Literature. Sustainability 2021, 13, 1451. [Google Scholar] [CrossRef]
- Universidad del Valle. Una Mirada a Los Asentamientos Informales de Cali. Análisis de Los Datos Del SISBEN III—2019. 2019. Available online: https://www.cali.gov.co/documentos/1966/investigacion/ (accessed on 5 November 2022).
- Uribe, H. Los Asentamientos Ilegales En Colombia: Las Contradicciones de La Economía-Mundo Capitalista En La Sociedad Global. Latinoam. Rev. Estud. Latinoam. 2011, 53, 169. [Google Scholar] [CrossRef]
- Alcaldía de Santiago de Cali. Documento Técnico de Soporte Política de Mejoramiento Integral Del Hábitat. 2017. Available online: https://www.cali.gov.co/vivienda/publicaciones/172591/documentacion-de-la-politica-publica-de-mejoramiento-integral-del-habitat (accessed on 5 November 2022).
- Universidad del Valle; Secretaría de Vivienda Social y Hábitat. Programa de Mejoramiento Integral del Hábitat y Apoyo en Legalización Urbanística de AHDI Comuna 18 y Alrededores. Contrato Interadministrativo No. 4147.010.26.1.256-2021. 202. Available online: https://citce.correounivalle.edu.co/grupos-de-investigaci%C3%B3n/observatorio-de-arquitectura-y-urbanismo-contempor%C3%A1neos/proyectos-oau/mih-cali. (accessed on 8 February 2022).
- Departamento Administrativo de Planeación Municipal. Plan de Ordenamiento Territorial de Santiago de Cali (Santiago de Cali Land Use Plan). 2014. Available online: https://saul.cali.gov.co/pimu/pot/otros/Acuerdo%200373%20de%202014.pdf. (accessed on 8 February 2022).
- Departamento Administrativo Nacional de Estadística (DANE). Censo Nacional de Población y Vivienda 2018. 2018. Available online: https://www.dane.gov.co/index.php/estadisticas-por-tema/demografia-y-poblacion/censo-nacional-de-poblacion-y-vivenda-2018 (accessed on 5 February 2022).
- Universidad del Valle. Secretaría de Vivienda Social y Hábitat. Location of Incompletely Developed Human Settlements. 2020. [Google Scholar]
- Metrocali, S.A. Operational Parameters of the SITM MIO Operational Services Plan (2015–2021). 2022. [Google Scholar]
- Cámara de Comercio de Santiago de Cali. Registro Mercantil de Entidades Comercialmente Activas En Santiago de Cali. 2018. [Google Scholar]
- Unión Temporal Steer Davies Gleave; Centro Nacional de Consultoría. Producto 4, Indicadores Encuesta de Movilidad. 2015. Available online: https://metrocali.gov.co/wp/wp-content/uploads/2019/02/Encuesta-de-movilidad-2015.pdf (accessed on 13 July 2022).
- Rodríguez, J.; Arriagada, C. Segregación Residencial en la Ciudad Latinoamericana. EURE Santiago 2004, 30, 5–24. [Google Scholar] [CrossRef]
- Departamento Administrativo Nacional de Estadística (DANE). Estratificación Socioeconómica Para Servicios Públicos Domiciliarios. 2015. Available online: https://www.dane.gov.co/index.php/servicios-al-ciudadano/servicios-informacion/estratificacion-socioeconomica#:~:text=La%20estratificaci%C3%B3n%20socioecon%C3%B3mica%20es%20una,cobrar%20contribuciones%20en%20esta%20%C3%A1rea (accessed on 5 February 2023).
- Concejo de Santiago de Cali. Acuerdo No. 0411—Por El Cual Se Adopta La Política Pública de Mejoramiento Integral Del Hábitat de Los Asentamientos Humanos Precarios Del Municipio de Santiago de Cali—Mi Hábitat y Se Dictan Otras Disposiciones. 2017. Available online: https://www.concejodecali.gov.co/descargar.php?idFile=16217 (accessed on 5 November 2022).
- García-Schilardi, M.E. Transporte Público Colectivo: Su Rol En Los Procesos de Inclusión Social. Bitácora Urbano Territ. 2014, 24, 35–200. [Google Scholar]
- Escobar, D.; Garcia, F. Territorial Accessibility Analysis as a Key Variable for Diagnosis of Urban Mobility: A Case Study Manizales (Colombia). Procedia Soc. Behav. Sci. 2012, 48, 1385–1394. [Google Scholar] [CrossRef]
- Gutiérrez, A.I.; Reyes, M.L. Mujeres Entre La Libertad y La Obligación. Prácticas de Movilidad Cotidiana En El Gran Buenos Aires. Rev. Transp. Territ. 2017, 16, 147–166. [Google Scholar]
- Neutens, T.; Versichele, M.; Schwanen, T. Arranging Place and Time: A GIS Toolkit to Assess Person-Based Accessibility of Urban Opportunities. Appl. Geogr. 2010, 30, 561–575. [Google Scholar] [CrossRef]
- Neutens, T.; Schwanen, T.; Miller, H.J. Dealing with Timing and Synchronization in Opportunities for Joint Activity Participation. Geogr. Anal. 2010, 42, 245–266. [Google Scholar] [CrossRef]
- Liu, Q.; An, Z.; Liu, Y.; Ying, W.; Zhao, P. Smartphone-Based Services, Perceived Accessibility, and Transport Inequity during the COVID-19 Pandemic: A Cross-Lagged Panel Study. Transp. Res. Part Transp. Environ. 2021, 97, 102941. [Google Scholar] [CrossRef]
- Jirón, P.; Mansilla, P. Atravesando La Espesura de La Ciudad: Vida Cotidiana y Barreras de Accesibilidad de Los Habitantes de La Periferia Urbana de Santiago de Chile. Rev. Geogr. Norte Gd. 2013, 56, 53–74. [Google Scholar] [CrossRef]
- Lättman, K.; Olsson, L.E.; Friman, M. A New Approach to Accessibility—Examining Perceived Accessibility in Contrast to Objectively Measured Accessibility in Daily Travel. Res. Transp. Econ. 2018, 69, 501–511. [Google Scholar] [CrossRef]
Disclaimer/Publisher’s Note: The statements, opinions and data contained in all publications are solely those of the individual author(s) and contributor(s) and not of MDPI and/or the editor(s). MDPI and/or the editor(s) disclaim responsibility for any injury to people or property resulting from any ideas, methods, instructions or products referred to in the content. |
© 2023 by the authors. Licensee MDPI, Basel, Switzerland. This article is an open access article distributed under the terms and conditions of the Creative Commons Attribution (CC BY) license (https://creativecommons.org/licenses/by/4.0/).







