The Application of Clinoptilolite as the Green Catalyst in the Solvent-Free Oxidation of α-Pinene with Oxygen
Abstract
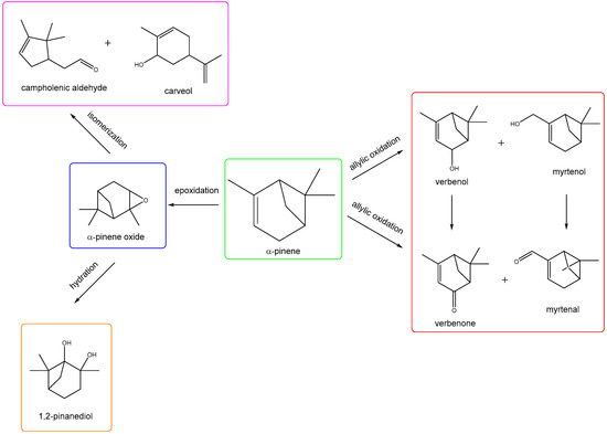
1. Introduction
2. Materials and Methods
2.1. Clinoptilolite Materials Used in Catalytic Tests
2.2. Characteristics of Clinoptilolite Materials with Instrumental Methods
2.3. Oxidation of α-Pinene over Clinoptilolite Materials
2.4. Identification of the Oxygenated Derivatives of α-Pinene by the Gas Chromatography Method
3. Results and Discussion
3.1. Characteristics of the Clinoptilolite Materials
3.2. Studies on the Catalytic Activity of the Clinoptilolite Materials in the Oxidation of α-Pinene with Oxygen
4. Conclusions
Author Contributions
Funding
Conflicts of Interest
References
- Mumpton, F.A. La Roca Magica: Uses of Natural Zeolites in Agriculture and Industry. Proc. Natl. Acad. Sci. USA 1999, 96, 3463–3470. [Google Scholar] [CrossRef] [PubMed]
- Ranftler, C.; Nagl, D.; Sparer, A.; Röhrich, A.; Freissmuth, M.; El-Kasaby, A.; Nasrollahi Shirazi, S.; Koban, F.; Tschegg, C.; Nizet, S. Binding and Neutralization of C. Difficile Toxins A and B by Purified Clinoptilolite-Tuff. PLoS ONE 2021, 16, e0252211. [Google Scholar] [CrossRef] [PubMed]
- Hubner, P.; Donati, N.; Quines, L.K.D.M.; Tessaro, I.C.; Marcilio, N.R. Gelatin-Based Films Containing Clinoptilolite-Ag for Application as Wound Dressing. Mater. Sci. Eng. C 2020, 107, 110215. [Google Scholar] [CrossRef] [PubMed]
- Rodriguez-Fuentes, G.; Barrios, M.A.; Iraizoz, A.; Perdomo, I.; Cedre, B. Enterex: Anti-Diarrheic Drug Based on Purified Natural Clinoptilolite. Zeolites 1997, 19, 441–448. [Google Scholar] [CrossRef]
- Pavelić, K.; Hadžija, M.; Bedrica, L.; Pavelić, J.; Ðikić, I.; Katić, M.; Kralj, M.; Bosnar, M.H.; Kapitanović, S.; Poljak-Blaži, M.; et al. Natural Zeolite Clinoptilolite: New Adjuvant in Anticancer Therapy. J. Mol. Med. 2001, 78, 708–720. [Google Scholar] [CrossRef]
- Rivera, A.; Farías, T. Clinoptilolite–Surfactant Composites as Drug Support: A New Potential Application. Micropor. Mesopor. Mater. 2005, 80, 337–346. [Google Scholar] [CrossRef]
- Moradi, S.; Barati, A.; Tonelli, A.E.; Hamedi, H. Effect of Clinoptilolite on Structure and Drug Release Behavior of Chitosan/Thyme Oil γ-Cyclodextrin Inclusion Compound Hydrogels. J. Appl. Polym. Sci. 2021, 138, 49822. [Google Scholar] [CrossRef]
- Nezamzadeh-Ejhieh, A.; Tavakoli-Ghinani, S. Effect of a Nano-Sized Natural Clinoptilolite Modified by the Hexadecyltrimethyl Ammonium Surfactant on Cephalexin Drug Delivery. C. R. Chim. 2014, 17, 49–61. [Google Scholar] [CrossRef]
- Tondar, M.; Parsa, M.J.; Yousefpour, Y.; Sharifi, A.M.; Shetab-Boushehri, S.V. Feasibility of Clinoptilolite Application as a Microporous Carrier for PH-Controlled Oral Delivery of Aspirin. Acta Chim. Slov. 2014, 61, 688–693. [Google Scholar]
- Farías, T.; de Ménorval, L.C.; Zajac, J.; Rivera, A. Adsolubilization of Drugs onto Natural Clinoptilolite Modified by Adsorption of Cationic Surfactants. Colloids Surf. B Biointerfaces 2010, 76, 421–426. [Google Scholar] [CrossRef]
- de Gennaro, B.; Catalanotti, L.; Cappelletti, P.; Langella, A.; Mercurio, M.; Serri, C.; Biondi, M.; Mayol, L. Surface Modified Natural Zeolite as a Carrier for Sustained Diclofenac Release: A Preliminary Feasibility Study. Colloids Surf. B Biointerfaces 2015, 130, 101–109. [Google Scholar] [CrossRef]
- Tomečková, V.; Reháková, M.; Mojžišová, G.; Magura, J.; Wadsten, T.; Zelenáková, K. Modified Natural Clinoptilolite with Quercetin and Quercetin Dihydrate and the Study of Their Anticancer Activity. Micropor. Mesopor. Mater. 2012, 147, 59–67. [Google Scholar] [CrossRef]
- Pavelic, K.; Katic, M.; Sverko, V.; Marotti, T.; Bosnjak, B.; Balog, T.; Stojkovic, R.; Radacic, M.; Colic, M.; Poljak-Blazi, M. Immunostimulatory Effect of Natural Clinoptilolite as a Possible Mechanism of Its Antimetastatic Ability. J. Cancer Res. Clin. Oncol. 2002, 128, 37–44. [Google Scholar] [CrossRef]
- Grce, M.; Pavelić, K. Antiviral Properties of Clinoptilolite. Micropor. Mesopor. Mater. 2005, 79, 165–169. [Google Scholar] [CrossRef]
- Kraljević Pavelić, S.; Simović Medica, J.; Gumbarević, D.; Filošević, A.; Pržulj, N.; Pavelić, K. Critical Review on Zeolite Clinoptilolite Safety and Medical Applications in Vivo. Front. Pharmacol. 2018, 9, 1–15. [Google Scholar] [CrossRef]
- Miądlicki, P.; Wróblewska, A.; Kiełbasa, K.; Koren, Z.C.; Michalkiewicz, B. Sulfuric Acid Modified Clinoptilolite as a Solid Green Catalyst for Solvent-Free α-Pinene Isomerization Process. Micropor. Mesopor. Mater. 2021, 324, 111266. [Google Scholar] [CrossRef]
- Hachlafi, N.E.; Aanniz, T.; El Menyiy, N.; El Baaboua, A.; El Omari, N.; Balahbib, A.; Shariati, M.A.; Zengin, G.; Fikri-Benbrahim, K.; Bouyahya, A. In Vitro and in Vivo Biological Investigations of Camphene and Its Mechanism Insights: A Review. Food Rev. Int. 2021, 51, 1–28. [Google Scholar] [CrossRef]
- Thurman, E.M. Analysis of Terpenes in Hemp (Cannabis Sativa) by Gas Chromatography/Mass Spectrometry: Isomer Identification Analysis. Compr. Anal. Chem. 2020, 90, 197–233. [Google Scholar]
- Abbas, M.; Ali, S.; Murtaza, Y.; Khan, S.; Fatima, S.; Sidhwani, S.K. Effect of Treatment with Cleome Scaposa DC and Cleome Viscose L on Plasma Cholesterol and Atherogenic Index. J. Hunan Univ. Nat. Sci. 2022, 49, 135–140. [Google Scholar] [CrossRef]
- Vallianou, I.; Peroulis, N.; Pantazis, P.; Hadzopoulou-Cladaras, M. Camphene, a Plant-Derived Monoterpene, Reduces Plasma Cholesterol and Triglycerides in Hyperlipidemic Rats Independently of HMG-CoA Reductase Activity. PLoS ONE 2011, 6, e20516. [Google Scholar] [CrossRef]
- Gupta, A.; Jeyakumar, E.; Lawrence, R. Journey of Limonene as an Antimicrobial Agent. J. Pure Appl. Microbiol. 2021, 15, 1094–1110. [Google Scholar] [CrossRef]
- Yang, F.; Chen, R.; Li, W.; Zhu, H.; Chen, X.; Hou, Z.; Cao, R.; Zang, G.; Li, Y.; Zhang, W. D-Limonene Is a Potential Monoterpene to Inhibit PI3K/Akt/IKK-α/NF-ΚB P65 Signaling Pathway in Coronavirus Disease 2019 Pulmonary Fibrosis. Front. Med. 2021, 8, 591830. [Google Scholar] [CrossRef] [PubMed]
- Santana, H.S.R.; de Carvalho, F.O.; Silva, E.R.; Santos, N.G.L.; Shanmugam, S.; Santos, D.N.; Wisniewski, J.O.; Junior, J.S.C.; Nunes, P.S.; Araujo, A.A.S.; et al. Anti-Inflammatory Activity of Limonene in the Prevention and Control of Injuries in the Respiratory System: A Systematic Review. Curr. Pharm. Des. 2020, 26, 2182–2191. [Google Scholar] [CrossRef] [PubMed]
- Song, Y.; Seo, S.; Lamichhane, S.; Seo, J.; Hong, J.T.; Cha, H.J.; Yun, J. Limonene Has Anti-Anxiety Activity via Adenosine A2A Receptor-Mediated Regulation of Dopaminergic and GABAergic Neuronal Function in the Striatum. Phytomedicine 2021, 83, 153474. [Google Scholar] [CrossRef] [PubMed]
- Anandakumar, P.; Kamaraj, S.; Vanitha, M.K. D-limonene: A Multifunctional Compound with Potent Therapeutic Effects. J. Food Biochem. 2021, 45, e13566. [Google Scholar] [CrossRef]
- Fajdek-Bieda, A.; Wróblewska, A.; Miądlicki, P.; Tołpa, J.; Michalkiewicz, B. Clinoptilolite as a Natural, Active Zeolite Catalyst for the Chemical Transformations of Geraniol. Reac. Kinet. Mech. Catal. 2021, 133, 997–1011. [Google Scholar] [CrossRef]
- Wróblewska, A.; Retajczyk, M. The Isomerization of S-Carvone over the Natural Clinoptilolite as the Catalyst: The Influence of Reaction Time, Temperature and Catalyst Content. React. Kinet. Mech. Catal. 2020, 130, 273–288. [Google Scholar] [CrossRef]
- Vasilkovová, B.; Hájeková, E.; Hudec, P.; Česáková, J.; Horňáček, M.; Kaliňák, M.; Jorík, V. Two-Stage Thermal and Catalytic Cracking of Polypropylene Using Natural Clinoptilolite in a Catalytic Step to Petrochemicals and Fuels. J. Anal. Appl. Pyrolysis 2022, 167, 105679. [Google Scholar] [CrossRef]
- Lee, S.Y.; Yoon, J.H.; Kim, J.R.; Park, D.W. Catalytic Degradation of Polystyrene over Natural Clinoptilolite Zeolite. Polym. Degrad. Stab. 2001, 74, 297–305. [Google Scholar] [CrossRef]
- Hieu, D.T.; Kosslick, H.; Riaz, M.; Schulz, A.; Springer, A.; Frank, M.; Jaeger, C.; Thu, N.T.M.; Son, L.T. Acidity and Stability of Brønsted Acid Sites in Green Clinoptilolite Catalysts and Catalytic Performance in the Etherification of Glycerol. Catalysts 2022, 12, 253. [Google Scholar] [CrossRef]
- Gurdal, S.; Yasar, M. Dimethyl Ether Synthesis on Clinoptilolite Zeolite and HZSM5-Based Hybrid Catalysts in a Fixed-Bed Reactor. Int. J. Hydrogen Energy 2023, 1, 188. [Google Scholar] [CrossRef]
- Khalilzadeh, M.A.; Sadeghifar, H.; Venditti, R. Natural Clinoptilolite/KOH: An Efficient Heterogeneous Catalyst for Carboxymethylation of Hemicellulose. Ind. Eng. Chem. Res. 2019, 58, 11680–11688. [Google Scholar] [CrossRef]
- Lapuerta, M.; Tobío-Pérez, I.; Ortiz-Alvarez, M.; Donoso, D.; Canoira, L.; Piloto-Rodríguez, R. Heterogeneous Catalytic Conversion of Terpenes into Biofuels: An Open Pathway to Sustainable Fuels. Energies 2023, 16, 2526. [Google Scholar] [CrossRef]
- Kević Dešić, S.; Viljetić, B.; Wagner, J. Assessment of the Genotoxic and Cytotoxic Effects of Turpentine in Painters. Life 2023, 13, 530. [Google Scholar] [CrossRef]
- Sagorin, G.; Cazeils, E.; Basset, J.-F.; Reiter, M. From Pine to Perfume. Chimia 2021, 75, 780. [Google Scholar] [CrossRef]
- Eze, V.C.; Rehman, A.; Patel, M.; Ahmad, S.; Harvey, A.P. Synthesis of Cyclic α-Pinane Carbonate—A Potential Monomer for Bio-Based Polymers. RSC Adv. 2022, 12, 17454–17465. [Google Scholar] [CrossRef]
- Singh, A.S.; Naikwadi, D.R.; Ravi, K.; Biradar, A.V. Chemoselective Isomerization of α-Pinene Oxide to Trans-Carveol by Robust and Mild Brønsted Acidic Zirconium Phosphate Catalyst. Mol. Catal. 2022, 521, 112189. [Google Scholar] [CrossRef]
- Shcherban, N.D.; Barakov, R.Y.; Mäki-Arvela, P.; Sergiienko, S.A.; Bezverkhyy, I.; Eränen, K.; Murzin, D.Y. Isomerization of α-Pinene Oxide over ZSM-5 Based Micro-Mesoporous Materials. Appl. Catal. A Gen. 2018, 560, 236–247. [Google Scholar] [CrossRef]
- Becerra, J.-A.; González, L.-M.; Villa, A.-L. Kinetic Study of α-Pinene Allylic Oxidation over FePcCl16-NH2-SiO2 Catalyst. J. Mol. Catal. A Chem. 2016, 423, 12–21. [Google Scholar] [CrossRef]
- Petrović, J.; Kovalenko, V.; Svirid, A.; Stojković, D.; Ivanov, M.; Kostić, M. Individual Stereoisomers of Verbenol and Verbenone Express Bioactive Features. J. Mol. Struct. 2022, 1251, 131999. [Google Scholar] [CrossRef]
- Grzeszczak, J.; Wróblewska, A.; Kamińska, A.; Miądlicki, P.; Sreńscek-Nazzal, J.; Wróbel, R.J.; Koren, Z.C.; Michalkiewicz, B. Carbon Catalysts from Pine Cones—Synthesis and Testing of Their Activities. Catal. Today 2022, 113882. [Google Scholar] [CrossRef]
- Wróblewska, A.; Grzeszczak, J.; Miądlicki, P.; Kiełbasa, K.; Kujbida, M.; Kamińska, A.; Michalkiewicz, B. The Studies on α-Pinene Oxidation over the TS-1. The Influence of the Temperature, Reaction Time, Titanium and Catalyst Content. Materials 2021, 14, 7799. [Google Scholar] [CrossRef]
- Hölderich, W.F.; Röseler, J.; Heitmann, G.; Liebens, A.T. The Use of Zeolites in the Synthesis of Fine and Intermediate Chemicals. Catal. Today 1997, 37, 353–366. [Google Scholar] [CrossRef]
- da Silva Rocha, K.A.; Hoehne, J.L.; Gusevskaya, E.V. Phosphotungstic Acid as a Versatile Catalyst for the Synthesis of Fragrance Compounds by A-Pinene Oxide Isomerization: Solvent-Induced Chemoselectivity. Chem. Eur. J. 2008, 14, 6166–6172. [Google Scholar] [CrossRef] [PubMed]
- Ravasio, N.; Zaccheria, F.; Gervasini, A.; Messi, C. A New, Fe Based, Heterogeneous Lewis Acid: Selective Isomerization of α-Pinene Oxide. Catal. Commun. 2008, 9, 1125–1127. [Google Scholar] [CrossRef]
- Ghavam, M. GC-MS Analysis and Antimicrobial Activities of a Rosmarinus Officinalis L. Essential Oil from Kashan Region (Iran). Biochem. Syst. Ecol. 2022, 105, 104507. [Google Scholar] [CrossRef]
- Pieracci, Y.; Ciccarelli, D.; Giovanelli, S.; Pistelli, L.; Flamini, G.; Cervelli, C.; Mancianti, F.; Nardoni, S.; Bertelloni, F.; Ebani, V.V. Antimicrobial Activity and Composition of Five Rosmarinus (Now Salvia spp. and Varieties) Essential Oils. Antibiotics 2021, 10, 1090. [Google Scholar] [CrossRef]
- Ardashov, O.V.; Korchagina, D.V.; Bagryanskaya, I.Y.; Volcho, K.P.; Salakhutdinov, N.F. (1S,5R)-6,6-Dimethyl-4-(((1S,2S,5S)-2,6,6-Trimethyl-4-Oxobicyclo [3.1.1]Heptan-2-Yl)Methyl)Bicyclo [3.1.1]Hept-3-En-2-One. Molbank 2022, 2022, M1465. [Google Scholar] [CrossRef]
- Staffan Lindgren, B.; Miller, D.R. Effect of Verbenone on Five Species of Bark Beetles (Coleoptera: Scolytidae) in Lodgepole Pine Forests. Environ. Entomol. 2002, 31, 759–765. [Google Scholar] [CrossRef]
- Winkler, J.D.; Bhattacharya, S.K.; Liotta, F.; Batey, R.A.; Heffernan, G.D.; Cladingboel, D.E.; Kelly, R.C. Stereoselective synthesis of a synthon for the A-ring of taxol from R-(+)- verbenone. Tetrahedron Lett. 1995, 36, 2211–2214. [Google Scholar] [CrossRef]
- Ardashov, O.V.; Pavlova, A.V.; Il’ina, I.V.; Morozova, E.A.; Korchagina, D.V.; Karpova, E.V.; Volcho, K.P.; Tolstikova, T.G.; Salakhutdinov, N.F. Highly Potent Activity of (1 R, 2 R, 6 S)-3-Methyl-6-(Prop-1-En-2-Yl)Cyclohex-3-Ene-1,2-Diol in Animal Models of Parkinson’s Disease. J. Med. Chem. 2011, 54, 3866–3874. [Google Scholar] [CrossRef]
- Paw, M.; Begum, T.; Gogoi, R.; Pandey, S.K.; Lal, M. Chemical Composition of Citrus Limon L. Burmf Peel Essential Oil from North East India. J. Essent. Oil Bear. Plants 2020, 23, 337–344. [Google Scholar] [CrossRef]
- Casuscelli, S.G.; Eimer, G.A.; Canepa, A.; Heredia, A.C.; Poncio, C.E.; Crivello, M.E.; Perez, C.F.; Aguilar, A.; Herrero, E.R. Ti-MCM-41 as Catalyst for α-Pinene Oxidation. Catal. Today 2008, 133, 678–683. [Google Scholar] [CrossRef]
- Cánepa, A.L.; Aguirre, L.E.; Herrero, E.R.; Eimer, G.A.; Casuscelli, S.G. Terpenes Functionalization: A Comparative Study in Catalytic Activity of Mesoporous Materials Modified with Ti and V. Curr. Catal. 2014, 3, 234–239. [Google Scholar] [CrossRef]
- Maksimchuk, N.V.; Melgunov, M.S.; Mrowiec-Białoń, J.; Jarzȩbski, A.B.; Kholdeeva, O.A. H2O2-Based Allylic Oxidation of α-Pinene over Different Single Site Catalysts. J. Catal. 2005, 235, 175–183. [Google Scholar] [CrossRef]
- Allal, B.A.; El Firdoussi, L.; Allaoud, S.; Karim, A.; Castanet, Y.; Mortreux, A. Catalytic Oxidation of α-Pinene by Transition Metal Using t-Butyl Hydroperoxide and Hydrogen Peroxide. J. Mol. Catal. A Chem. 2003, 200, 177–184. [Google Scholar] [CrossRef]
- Thommes, M.; Kaneko, K.; Neimark, A.V.; Olivier, J.P.; Rodriguez-Reinoso, F.; Rouquerol, J.; Sing, K.S.W. Physisorption of Gases, with Special Reference to the Evaluation of Surface Area and Pore Size Distribution (IUPAC Technical Report). Pure Appl. Chem. 2015, 87, 1051–1069. [Google Scholar] [CrossRef]
- Meimand, M.M.; Jafari, A.J.; Nasiri, A.; Malakootian, M. Sulfur Dioxide Adsorption by Iron Oxide Nanoparticles@clinoptilolite/HCl. J. Air Pollut. Health 2020, 5, 107–120. [Google Scholar] [CrossRef]
- Zendelska, A.; Golomeova, M.; Jakupi, Š.; Lisičkov, K.; Kuvendžiev, S.; Marinkovski, M. Characterization and application of clinoptilolite for removal of heavy metal ions from water resources. Geol. Maced. 2018, 32, 21–32. [Google Scholar]
- Garcia-Basabe, Y.; Rodriguez-Iznaga, I.; de Menorval, L.-C.; Llewellyn, P.; Maurin, G.; Lewis, D.W.; Binions, R.; Autie, M.; Ruiz-Salvador, A.R. Step-Wise Dealumination of Natural Clinoptilolite: Structural and Physicochemical Characterization. Micropor. Mesopor. Mater. 2010, 135, 187–196. [Google Scholar] [CrossRef]
- Saramok, M.; Szymaszek, A.; Inger, M.; Antoniak-Jurak, K.; Samojeden, B.; Motak, M. Modified Zeolite Catalyst for a NOx Selective Catalytic Reduction Process in Nitric Acid Plants. Catalysts 2021, 11, 450. [Google Scholar] [CrossRef]
- Perraki, T.; Orfanoudaki, A. Mineralogical Study of Zeolites from Pentalofos Area, Thrace, Greece. Appl. Clay. Sci. 2004, 25, 9–16. [Google Scholar] [CrossRef]
- Ruiz-Serrano, D.; Flores-Acosta, M.; Conde-Barajas, E.; Ramírez-Rosales, D.; Yáñez-Limón, J.M.; Ramírez-Bon, R. Study by XPS of Different Conditioning Processes to Improve the Cation Exchange in Clinoptilolite. J. Mol. Struct. 2010, 980, 149–155. [Google Scholar] [CrossRef]
- Mansouri, N.; Rikhtegar, N.; Ahmad Panahi, H.; Atabi, F.; Shahraki, B.K. Porosity, Characterization and Structural Properties of Natural Zeolite—Clinoptilolite—As a Sorbent. Environ. Prot. Eng. 2013, 39, 139–152. [Google Scholar]
- Kumar, M.S.; Schwidder, M.; Grünert, W.; Brückner, A. On the Nature of Different Iron Sites and Their Catalytic Role in Fe-ZSM-5 DeNOx Catalysts: New Insights by a Combined EPR and UV/VIS Spectroscopic Approach. J. Catal. 2004, 227, 384–397. [Google Scholar] [CrossRef]













| SBET [m2/g] | Vtot [cm3/g] | Vmeso [cm3/g] | |
|---|---|---|---|
| clin_1 | 32 | 0.149 | 0.093 |
| clin_2 | 34 | 0.150 | 0.098 |
| clin_3 | 32 | 0.153 | 0.091 |
| clin_4 | 31 | 0.148 | 0.102 |
| Al | Si | Ca | Fe | K | |
|---|---|---|---|---|---|
| clin_1 | 4.2 | 25.3 | 3.2 | 1.9 | 3.4 |
| clin_2 | 4.6 | 28.1 | 3.3 | 1.8 | 3.4 |
| clin_3 | 4.7 | 28.3 | 3.1 | 1.8 | 3.6 |
| clin_4 | 3.7 | 22.0 | 2.6 | 1.6 | 2.9 |
Disclaimer/Publisher’s Note: The statements, opinions and data contained in all publications are solely those of the individual author(s) and contributor(s) and not of MDPI and/or the editor(s). MDPI and/or the editor(s) disclaim responsibility for any injury to people or property resulting from any ideas, methods, instructions or products referred to in the content. |
© 2023 by the authors. Licensee MDPI, Basel, Switzerland. This article is an open access article distributed under the terms and conditions of the Creative Commons Attribution (CC BY) license (https://creativecommons.org/licenses/by/4.0/).
Share and Cite
Grzeszczak, J.; Wróblewska, A.; Kiełbasa, K.; Koren, Z.C.; Michalkiewicz, B. The Application of Clinoptilolite as the Green Catalyst in the Solvent-Free Oxidation of α-Pinene with Oxygen. Sustainability 2023, 15, 10381. https://doi.org/10.3390/su151310381
Grzeszczak J, Wróblewska A, Kiełbasa K, Koren ZC, Michalkiewicz B. The Application of Clinoptilolite as the Green Catalyst in the Solvent-Free Oxidation of α-Pinene with Oxygen. Sustainability. 2023; 15(13):10381. https://doi.org/10.3390/su151310381
Chicago/Turabian StyleGrzeszczak, Jadwiga, Agnieszka Wróblewska, Karolina Kiełbasa, Zvi C. Koren, and Beata Michalkiewicz. 2023. "The Application of Clinoptilolite as the Green Catalyst in the Solvent-Free Oxidation of α-Pinene with Oxygen" Sustainability 15, no. 13: 10381. https://doi.org/10.3390/su151310381
APA StyleGrzeszczak, J., Wróblewska, A., Kiełbasa, K., Koren, Z. C., & Michalkiewicz, B. (2023). The Application of Clinoptilolite as the Green Catalyst in the Solvent-Free Oxidation of α-Pinene with Oxygen. Sustainability, 15(13), 10381. https://doi.org/10.3390/su151310381

