Lauric Acid from the Black Soldier Fly (Hermetia illucens) and Its Potential Applications
Abstract
1. Introduction
2. Black Soldier Fly (Hermetia illucens)

2.1. The Effectiveness of Organic Waste Treatment by BSF Larvae
2.2. Nutrients Composition of BSF
2.3. Lipid and Lauric Acid Content in BSF
2.4. Comparison of Lauric Acid Content in BSF and Other Insects
3. Lauric Acid
3.1. Sources of LA
| Sources | Amount of LA (%) | Reference |
|---|---|---|
| Palm kernel oil (Elaeis guineensis) | 45.7–48.2 | [86] |
| Coconut oil (Cocos nucifera) | 45–53 | [87] |
| Babasu oil (Attalea speciosa) | 47.4 | [88] |
| Cohune oil (Attalea cohune) | 46.5 | [78] |
| Ucuuba butter (Virola sebifera Aubl.) | 73 | [89] |
| Murumuru butter (Astrocaryum murumuru) | 40 | [89] |
| Ouricury oil (Syagrus coronate) | 43.64 | [90] |
| Tucum oil (Astrocaryum vulgare) | 45.5 | [91] |
| Laurical oil (Brassica napus) | 37.6 | [92] |
3.2. Potential Application of Lauric Acid
3.2.1. Biodiesel Use
3.2.2. Pharmaceutical Use
| Antimicrobial Character | Microorganism | Level of LA Bioactivity | Reference |
|---|---|---|---|
| Antibacterial | B. megaterium | 0.15 mM a | [124] |
| Pneumococci Micrococcus sp. Corynebacterium sp. N. asteroides | 0062 µmoles/mL a 0.624 µmoles/mL a 0.124 µmoles/mL a 0.124 µmoles/mL a | [27] | |
| N. asteroides S. aureus Strep. faecalis Strep. pyogenes | 62 µg/mL a 500 µg/mL a 500 µg/mL a 62 µg/mL a | [87] | |
| Helicobacter pylori | 1 mM b | [138] | |
| Chlamydia trachomatis | 5 mM for 10 min c | [127] | |
| S. aureus P. acnes | 0.97 μg/mL a 3.9 μg/mL a 60 μg/mL b (ATCC 6919) 80 μg/mL b (ATCC 11827) | [28] | |
| Methicillin-resistant Staphylococcus aureus (MRSA) Methicillin-susceptible Staphylococcus aureus (MSSA) | 400 μg/mL a 400 μg/mL a | [133] | |
| Salmonella S. aureus E. coli Micrococcus Bacillus stearothermophillus Pseudomonas | 3.13% equivalent to 31.3 mg/mL a 3.13% a 3.13% a 10% a 30% a 50% a | [139] | |
| Neisseria gonorrhoeae | 2.5 mM c | [128] | |
| Antifungal | Candida albicans | 10 mg/mL a | [34] |
| Candida albicans | 2.5 and 5 mM c | [140] | |
| Antivirus | Vesicular stomatitis virus Herpes simplex virus type 1 Visna virus | 2 mg/mL c 2 mg/mL c 2 mg/mL c | [33] |
| Vesicular stomatitis virus | 40 µg/mL c | [141] | |
| HIV | LA as GML 40 μg/mL LA as GML 2.4 g (3 capsules), 3 times daily or 7.2 g daily | [142] | |
| [143] | |||
| Junin virus (JUNV) | 46–188 µM (IC50) | [144] |
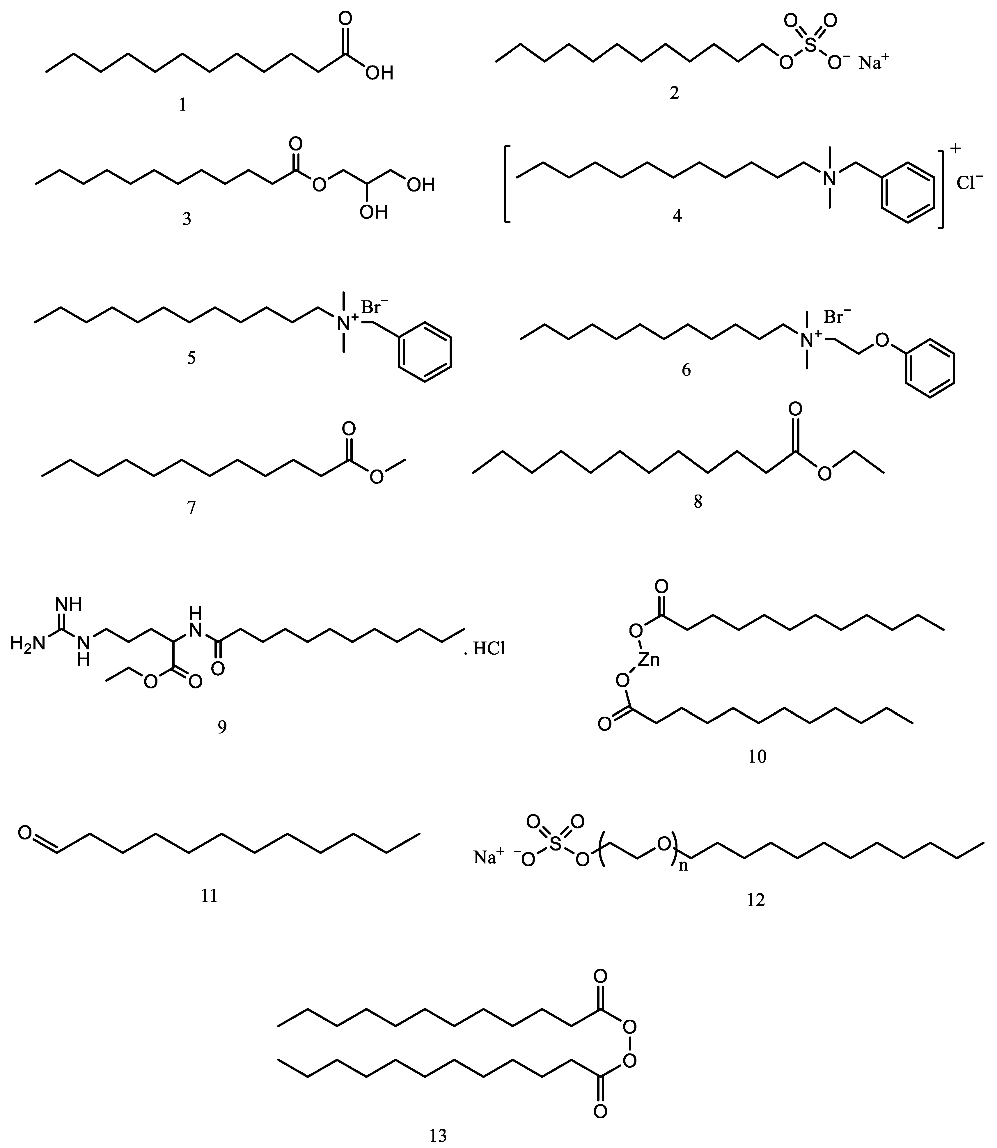
3.2.3. Other Applications of Lauric Acid
4. Opportunities and Challenges
5. Conclusions
- BSF larvae can serve as a bioconversion agent for converting organic waste into larval products rich in nutrients, including proteins and lipids.
- Numerous studies have demonstrated that the lipid and fatty acid content of BSF larvae are influenced by the growth substrate and the developmental stage of the larvae.
- Generally, the fatty acid composition of BSF larvae/prepupae is predominantly composed of LA, which is comparable in quality to the LA content found in coconut and palm kernel oil.
- Various research studies have shown that LA exhibits bioactivity as an antibacterial, antifungal, antiviral, and anticancer agent.
- LA offers numerous benefits and has found widespread applications in diverse fields, including pharmaceuticals, cosmetics, personal care, food and beverages, soap and detergent, plastics, textiles, and others.
- Potential applications can be applied as a single compound or a mixture with other fatty acids.
- Given the high LA content present in BSF larvae, which is similar to that of coconut and palm kernel oil, there is significant potential for utilizing it as a novel source for raw materials typically obtained from coconut or palm kernel oil.
Author Contributions
Funding
Institutional Review Board Statement
Informed Consent Statement
Data Availability Statement
Acknowledgments
Conflicts of Interest
References
- Leong, S.Y.; Kutty, S.R.M.; Tan, C.K.; Tey, L.H. Comparative study on the effect of organic waste on lauric acid produced by Hermetia Illucens larva via bioconversion. J. Eng. Sci. Technol. 2015, 8, 52–63. [Google Scholar]
- Spranghers, T.; Ottoboni, M.; Klootwijk, C.; Ovyn, A.; Deboosere, S.; De Meulenaer, B.; Michiels, J.; Eeckhout, M.; De Clercq, P.; Smet, S.D. Nutritional composition of black soldier fly (Hermetia illucens) prepupae reared on different organic waste substrates. J. Sci. Food Agric. 2017, 97, 2594–2600. [Google Scholar] [CrossRef] [PubMed]
- Amrul, N.F.; Ahmad, I.K.; Basri, N.E.A.; Suja, F.; Jalil, N.A.A.; Azman, N.A. A Review of organic waste treatment using black soldier fly (Hermetia illucens). Sustainability 2022, 14, 4565. [Google Scholar] [CrossRef]
- Lalander, C.; Diener, S.; Zurbrügg, C.; Vinnerås, B. Effects of feedstock on larval development and process efficiency in waste treatment with black soldier fly (Hermetia illucens). J. Clean. Prod. 2019, 208, 211–219. [Google Scholar] [CrossRef]
- Bondari, K.; Sheppard, D.C. Soldier fly, Hermetia illucens L., larvae as feed for channel catfish, Ictalurus punctatus (Rafinesque), and blue tilapia, Oreochromis aureus (Steindachner). Aquac. Res. 1987, 18, 209–220. [Google Scholar] [CrossRef]
- Meneguz, M.; Schiavone, A.; Gai, F.; Dama, A.; Lussiana, C.; Renna, M.; Gasco, L. Effect of rearing substrate on growth performance, waste reduction efficiency and chemical composition of black soldier fly (Hermetia illucens) larvae. J. Sci. Food Agric. 2018, 98, 5776–5784. [Google Scholar] [CrossRef]
- Ewald, N.; Vidakovic, A.; Langeland, M.; Kiessling, A.; Sampels, S.; Lalander, C. Fatty acid composition of black soldier fly larvae (Hermetia illucens)—Possibilities and limitations for modification through diet. Waste Manag. 2020, 102, 40–47. [Google Scholar] [CrossRef] [PubMed]
- Diener, S.; Solano, N.M.; Gutierrez, F.R.; Zurbrugg, C.T. Biological treatment of municipal organic waste using black soldier fly Maggot. Waste Biomass Valor. 2011, 2, 357–363. [Google Scholar] [CrossRef]
- Wahyuni; Dewi, R.K.; Ardiansyah, F.; Fadhlil, R.C. Maggot BSF Kualitas Fisik dan Kimianya; Litbang Pemas Unisla: Lamongan, Indonesia, 2021; pp. 9–10. [Google Scholar]
- Lalander, C.; Diener, S.; Magri, M.E.; Zurbrügg, C.; Lindström, A.; Vinnerås, B. Faecal sludge management with the larvae of the black soldier fly (Hermetia illucens)—From a hygiene aspect. Sci. Total Environ. 2013, 458, 312–318. [Google Scholar] [CrossRef]
- Barragan-Fonseca, K.B.; Dicke, M.; Loon, J.J.A.V. Nutritional value of the black soldier fly (Hermetia illucens L.) and its suitability as animal feed—A review. J. Insects Food Feed. 2017, 1, 105–120. [Google Scholar] [CrossRef]
- Ishak, S.; Kamari, A. Biodiesel from black soldier fly larvae grown on restaurant kitchen waste. Environ. Chem. Lett. 2019, 17, 1143–1150. [Google Scholar] [CrossRef]
- Fajar, A. Penggunaan Eceng Gondok dan Limbah buah Terfermentasi Sebagai Media Tumbuh BSF (Black Soldier Fly) Terhadap Kualitas Tepung Maggot BSF; Skripsi, Fakultas Peternakan Universitas Islam Lamongan: Lamongan, Indonesia, 2020. [Google Scholar]
- Scala, A.; Cammack, J.A.; Salvia, R.; Scieuzo, C.; Franco, A.; Bufo, S.A.; Tomberlin, J.K.; Falabella, P. Rearing substrate impacts growth and macronutrient composition of Hermetia illucens (L.) (Diptera: Stratiomyidae) larvae produced at an industrial scale. Sci. Rep. 2020, 10, 19448. [Google Scholar] [CrossRef] [PubMed]
- Kroeckel, S.; Harjes, A.G.E.; Roth, I.; Katz, H.; Wuertz, S.; Susenbeth, A.; Schulz, C. When a turbot catches a fly: Evaluation of a pre-pupae meal of the black soldier fly (Hermetia illucens) as fish meal substitute—Growth performance and chitin degradation in juvenile turbot (Psetta maxima). Aquaculture 2012, 364, 345–352. [Google Scholar] [CrossRef]
- Czekała, W. Concept of IN-OIL project based on bioconversion of by-products from food processing industry. J. Ecol. Eng. 2017, 18, 180–185. [Google Scholar] [CrossRef]
- Kim, C.-H.; Ryu, J.; Lee, J.; Ko, K.; Lee, J.-Y.; Park, K.Y.; Chung, H. Use of Black Soldier Fly Larvae for Food Waste Treatment and Energy Production in Asian Countries: A Review. Processes 2021, 9, 161. [Google Scholar] [CrossRef]
- Muller, A.; Wolf, D.; Gutzeit, H.O. The black soldier fly, Hermetia illucens—A promising source for sustainable production of proteins, lipids and bioactive substances. Z. Naturforsch. 2017, 72, 351–363. [Google Scholar] [CrossRef] [PubMed]
- Li, Q.; Zheng, L.; Cai, H.; Garza, E.; Yu, Z.; Zou, S. From organic waste to biodiesel: Black soldier fly, Hermetia illucens, makes it feasible. Fuel 2011, 90, 1545–1548. [Google Scholar] [CrossRef]
- Hoc, B.; Genva, M.; Fauconnier, M.L.; Lognay, G.; Francis, F.; Megid, R.C. About lipid metabolism in Hermetia illucens (L. 1758): On the origin of fatty acids in prepupae. Sci. Rep. 2020, 10, 11916. [Google Scholar] [CrossRef]
- Wong, C.-Y.; Rosli, S.-S.; Uemura, Y.; Ho, Y.C.; Leejeerajumnean, A.; Kiatkittipong, W.; Cheng, C.-K.; Lam, M.-K.; Lim, J.-W. Potential Protein and Biodiesel Sources from Black Soldier Fly Larvae: Insights of Larval Harvesting Instar and Fermented Feeding Medium. Energies 2019, 12, 1570. [Google Scholar] [CrossRef]
- Wong, H.Y.; Lim, J.W.; Lam, M.K.; Uemura, Y.; Chong, F.K.; Chew, T.L.; Mohamad, M.; Hasan, H.A. Impact of limited feed medium and different lipid extraction solvents in dealing with black soldier fly larvae. In Proceedings of the AIP Conference Proceedings of International Symposium on Green and Sustainable Technology (ISGST2019), Perak, Malaysia, 23–26 April 2019. [Google Scholar]
- Liland, N.S.; Biancarosa, I.; Araujo, P.; Biemans, D.; Bruckner, C.G.; Waagbø, R.; Torstensen, B.E.; Lock, E.J. Modulation of nutrient composition of black soldier fly (Hermetia illucens) larvae by feeding seaweed-enriched media. PLoS ONE 2017, 12, e0183188. [Google Scholar] [CrossRef]
- Ramos-Bueno, R.P.; Gonzalez-Fernandez, M.J.; Sanchez-Muros-Lozano, M.J.; Barroso, F.G.; Guil-Guerrero, J.L. Fatty acid profiles and cholesterol content of seven insect species assessed by several extraction systems. Eur. Food Res. Technol. 2016, 242, 1471–1477. [Google Scholar] [CrossRef]
- Surendra, K.C.; Olivier, R.; Tomberlin, J.K.; Jha, R.; Khanal. Bioconversion of organic wastes into biodiesel and animal feed via insect farming. Renew. Energy 2016, 98, 197–202. [Google Scholar] [CrossRef]
- Ushakova, N.A.; Brodskii, E.S.; Kovalenko, A.A.; Bastrakov, A.I.; Kozlova, A.A.; Pavlov, D.S. Characteristics of lipid fractions of larvae of the black soldier fly Hermetia illucens. Dokl. Biochem. Biophys. 2016, 468, 209–212. [Google Scholar] [CrossRef] [PubMed]
- Kabara, J.J.; Swieczkowski, D.M.; Conley, A.J.; Truant, J.P. Fatty acids and derivatives as antimicrobial agents. Antimicrob. Agents Chemother. 1972, 2, 23–28. [Google Scholar] [CrossRef]
- Nakatsuji, T.; Kao, M.C.; Fang, J.Y.; Zouboulis, C.C.; Zang, L.; Gallo, R.L.; Huang, C.M. Antimicrobial Property of LA Against Propionibacterium acnes: Its Therapeutic Potential for Inflammatory Acne Vulgaris. J. Investig. Dermatol. 2009, 129, 2480–2488. [Google Scholar] [CrossRef] [PubMed]
- Park, S.I.; Chang, B.S.; Yoe, S.M. Detection of antimicrobial substances from larvae of the black soldier fly, Hermetia illucens (Diptera: Stratiomyidae). Entomol. Res. 2014, 44, 58–64. [Google Scholar] [CrossRef]
- Yoon, B.K.; Jackman, J.A.; Valle-González, E.R.; Cho, N.J. Antibacterial free fatty acids and monoglycerides: Biological activities, experimental testing, and therapeutic applications. Int. J. Mol. Sci. 2018, 19, 1114. [Google Scholar] [CrossRef]
- Borrelli, L.; Varriale, L.; Dipineto, L.; Pace, A.; Menna, L.F.; Fioretti, A. Insect derived LA as promising alternative strategy to antibiotics in the antimicrobial resistance scenario. Front. Microbiol. 2021, 12, 620798. [Google Scholar] [CrossRef]
- Herdiyati, Y.; Astrid, Y.; Shadrina, A.A.; Wiani, I.; Satari, M.H.; Kurnia, D. Potential fatty acid as antibacterial agent against oral bacteria of Streptococcus mutans and Streptococcus sanguinis from basil (Ocimum americanum): In vitro and in silico Studies. Curr. Drug Discov. Technol. 2021, 18, 532–541. [Google Scholar] [CrossRef]
- Thormar, H.; Isaacs, C.E.; Brown, H.R.; Barshatzky, M.R.; Pessolano, T. Inactivation of enveloped viruses and killing of cells by fatty acids and monoglycerides. Antimicrob. Agents Chemother. 1987, 31, 27–31. [Google Scholar] [CrossRef]
- Akula, S.T.; Nagaraja, A.; Ravikanth, M.; Kumar, N.G.R.; Kalyan, Y.; Divya, D. Antifungal efficacy of LA and caprylic acid—Derivatives of virgin coconut oil against Candida albicans. Biomed. Biotechnol. Res. J. 2021, 5, 229–234. [Google Scholar] [CrossRef]
- Lappano, R.; Sebastiani, A.; Cirillo, F.; Rigiracciolo, D.C.; Galli, G.R.; Curcio, R.; Malaguarnera, R.; Belfiore, A.; Cappello, A.R.; Maggiolini, M. The LA-activated signaling prompts apoptosis in cancer cells. Cell Death Discov. 2017, 3, 17063. [Google Scholar] [CrossRef] [PubMed]
- Diener, S. Valorisation of Organic Solid Waste Using the Black Soldier Fly, Hermetia illucens, in Low and Middle-Income Countries. Ph.D. Thesis, ETH Zurich, Zurich, Switzerland, 2010. [Google Scholar]
- Puspita, H.; Prasetya, A.; Mulyadi, A.D. Guide to Household Organic Waste Management by Black Soldier Fly Biocon-Version; Ministry of Environment and Forestry: Jakarta, Indonesia, 2020.
- Caruso, D.; Devic, E.; Subamia, I.W.; Talamond, P.; Baras, E. Technical Handbook of Domestication and Production of Diptera Black Soldier Fly (BSF) Hermetia illucens, Stratiomyidae; PT Penerbit IPB Press: Bogor, Indonesia, 2013; pp. 2–7. [Google Scholar]
- Dortmans, B.M.A.; Diener, S.; Verstappen, B.M.; Zurbrügg, C. Black Soldier Fly Biowaste Processing—A Step-by-Step Guide; Eawag: Swiss Federal Institute of Aquatic Science and Technology: Dübendorf, Switzerland, 2017; pp. 6–8. [Google Scholar]
- Tomberlin, J.K.; Sheppard, D.C.; Joyce, J.A. Selected life history traits of black soldier flies (Diptera: Stratiomyidae) reared on three artificial diets. Ann. Entomol. Soc. Am. 2002, 95, 379–386. [Google Scholar] [CrossRef]
- Handayani, D.; Naldi, A.; Larasati, R.R.N.P.; Khaerunnisa, N.; Budiatmaka, D.D. Management of increasing economic value of organic waste with Maggot cultivation. IOP Conf. Ser. Earth Environ. Sci. 2021, 716, 012026. [Google Scholar] [CrossRef]
- Tomberlin, J.K.; Adler, P.H.; Myers, H.M. Development of the black soldier fly (Diptera: Stratiomyidae) in relation to temperature. Environ. Entomol. 2009, 38, 930–934. [Google Scholar] [CrossRef] [PubMed]
- Holmes, L.A.; Vanlaerhoven, S.L.; Tomberlin, J.K. Relative humidity effects on the life history of Hermetia illucens (Diptera: Stratiomyidae). Environ. Entomol. 2012, 41, 971–978. [Google Scholar] [CrossRef]
- Popa, R.; Green, T. Biology and Ecology of the Black Soldier Fly; DipTerra LCCe-Book: Amsterdam, The Netherlands, 2012. [Google Scholar]
- Bullock, N.; Chapin, E.; Elder, B.; Evans, A.; Givens, M.; Jeffay, N.; Pierce, B.; Robinson, W.; Mattox, J. Implementation of Black Soldier Fly Breeding and Chicken Feed Production at Pickards Mountain Eco-Institute. Available online: https://ie.unc.edu/wp-content/uploads/sites/277/2016/03/bsfl_presentation.pdf (accessed on 6 August 2022).
- Maglangit, F.; Alosbanos, R.S. Black Soldier Fly. Encyclopedia. Available online: https://encyclopedia.pub/entry/7597 (accessed on 21 December 2022).
- Purnamasari, L.; Khasanah, H. Black Soldier Fly (Hermetia illucens) as a Potential Agent of Organic Waste Bioconversion. ASEAN J. Sci. Technol. Dev. 2022, 39, 69–83. [Google Scholar] [CrossRef]
- Franco, A.; Scieuzo, C.; Salvia, R.; Petrone, A.M.; Tafi, E.; Moretta, A.; Schmitt, E.; Falabella, P. Lipids from Hermetia illucens, an innovative and sustainable source. Sustainability 2021, 13, 10198. [Google Scholar] [CrossRef]
- Ur Rehman, K.; Rehman, A.; Cai, M.; Zheng, L.; Xiao, X.; Somroo, A.A.; Wang, H.; Li, W.; Yu, Z.; Zhang, J. Conversion of mixtures of dairy manure and soybean curd residue by black soldier fly larvae (Hermetia illucens L.). J. Clean. Prod. 2017, 154, 366–373. [Google Scholar] [CrossRef]
- Ebeneezar, S.; Prabu, D.L.; Tejpal, C.S.; Jeena, N.S.; Summaya, R.; Chandrasekar, S.; Sayooj, P.; Vijayagopal, P. Nutritional evaluation, bioconversion performance and phylogenetic assessment of black soldier fly (Hermetia illucens, Linn. 1758) larvae valorized from food waste. Environ. Technol. Innov. 2021, 23, 101783. [Google Scholar] [CrossRef]
- Wang, S.; Wu, L.; Li, B.; Zhang, D. Reproductive potential and nutritional composition of Hermetia illucens (Diptera: Stratiomyidae) prepupae reared on different organic wastes. J. Econ. Entomol. 2020, 113, 527–537. [Google Scholar] [CrossRef] [PubMed]
- Aldi, M. Pengaruh berbagai media tumbuh terhadap kandungan air, protein dan lemak maggot yang dihasilkan sebagai pakan. J. Res. Innov. Anim. 2018, 2, 14–20. [Google Scholar]
- Liu, X.; Chen, X.; Wang, H.; Yang, Q.; Rehman, U.K.; Li, W.; Cai, M.; Li, Q.; Mazza, L.; Zhang, J.; et al. Dynamic changes of nutrient composition throughout the entire life cycle of black soldier fly. PLoS ONE 2017, 12, e0182601. [Google Scholar] [CrossRef]
- Eggink, K.M.; Lund, I.; Pedersen, P.B.; Hansen, B.W.; Dalsgaard, J. Biowaste and by-products as rearing substrates for black soldier fly (Hermetia illucens) larvae: Effects on larval body composition and performance. PLoS ONE 2022, 17, e0275213. [Google Scholar] [CrossRef]
- Barroso, F.G.; Haro, C.D.; Sánchez-Muros, M.J.; Venegas, E.; Martínez-Sánchez, A.; Pérez-Bañón, C. The potential of various insect species for use as food for fish. Aquaculture 2014, 422, 193–201. [Google Scholar] [CrossRef]
- Oonincx, D.G.; van Broekhoven, S.; van Huis, A.; Loon, J.J.V. Feed conversion, survival and development, and composition of four insect species on diets composed of food by-products. PLoS ONE 2015, 10, e0144601. [Google Scholar] [CrossRef]
- Rachmawati; Buchor, D.; Hidayat, P.; Hem, S.; Fahmi, M.R. Perkembangan Dan Kandungan Nutrisi Larva Hermetia illucens (Linnaeus) (Diptera: Startiomyidae) Pada Bungkil Kelapa Sawit. J. Entomol. Indon. 2010, 7, 28–41. [Google Scholar] [CrossRef]
- Wardhana, A.H. Black Soldier Fly (Hermetia illucens) sebagai Sumber Protein Alternatif untuk Pakan Ternak. Wartazoa 2016, 26, 69–78. [Google Scholar] [CrossRef]
- Purnamasari, L.; Sucipto, I.; Muhlison, W.; Pratiwi, N. Komposisi Nutrien Larva Black Soldier Fly (Hermetia illucens) dengan Media Tumbuh, Suhu dan Waktu Pengeringan yang Berbeda. In Proceedings of the Prosiding Seminar Nasional Teknologi Peternakan dan Veteriner, Bogor, Indonesia, December 2019; pp. 675–680. [Google Scholar]
- Zheng, L.; Hou, Y.; Li, W.; Yang, S.; Li, Q.; Yu, Z. Biodiesel production from rice straw and restaurant waste employing black soldier fly assisted by microbes. Energy 2012, 47, 225–229. [Google Scholar] [CrossRef]
- Leong, S.Y.; Kutty, S.R.; Malakahmad, A.; Tan, C.K. Feasibility study of biodiesel production using lipids of Hermetia illucens larva fed with organic waste. Waste Manag. 2016, 47, 675–680. [Google Scholar] [CrossRef]
- Pliantiangtam, N.; Chundang, P.; Kovitvadhi, A. Growth performance, waste reduction efficiency and nutritional composition of black soldier fly (Hermetia illucens) larvae and prepupae reared on coconut endosperm and soybean curd residue with or without supplementation. Insects 2021, 12, 682. [Google Scholar] [CrossRef] [PubMed]
- Moula, N.; Scippo, M.L.; Douny, C.; Degand, G.; Dawans, E.; Cabaraux, J.F.; Hornick, J.L.; Medigo, R.C.; Leroy, P.; Francis, F.; et al. Performances of local poultry breed fed black soldier fly larvae reared on horse manure. Anim. Nutr. 2018, 4, 73–78. [Google Scholar] [CrossRef] [PubMed]
- Wong, C.Y.; Lim, J.W.; Uemura, Y.; Chong, F.K.; Yeong, Y.F.; Mohamad, M.; Hermansyah, H. Insect-based lipid for biodiesel production. In AIP Conference Proceedings; AIP Publishing LLC.: New York, NY, USA, 2018; p. 020150. [Google Scholar]
- Alifian, M.D.; Sholikin, M.M.; Evvyernie, D.; Nahrowi. Potential Fatty Acid Composition of Hermetia illucens Oil Reared on Different Substrates. IOP Conf. Ser. Mater. Sci. Eng. 2019, 546, 062002. [Google Scholar] [CrossRef]
- Giannetto, A.; Olivaa, S.; Lanes, C.F.C.; Pedron, F.D.A.; Savastano, D.; Baviera, C.; Parrino, V.; Paro, G.L.; Spano, N.C.; Cappelo, T.; et al. Hermetia illucens (Diptera: Stratiomydae) larvae and prepupae: Biomass production, fatty acid profile and expression of key genes involved in lipid metabolism. J. Biotechnol. 2020, 307, 44–54. [Google Scholar] [CrossRef]
- El-Dakar, M.A.; Ramzy, R.R.; Ji, H. Influence of substrate inclusion of quail manure on the growth performance, body composition, fatty acid and amino acid profiles of black soldier fly larvae (Hermetia illucens). Sci. Total Environ. 2021, 772, 145528. [Google Scholar] [CrossRef]
- Jayanegara, A.; Gustanti, R.; Ridwan, R.; Widyastuti, Y. Fatty acid profiles of some insect oils and their effects on in vitro bovine rumen fermentation and methanogenesis. Ital. J. Anim. Sci. 2020, 19, 1310–1317. [Google Scholar] [CrossRef]
- Sun, C.Q.; O’Connor, C.J.; Roberton, A.M. Antibacterial actions of fatty acids and monoglycerides against Helicobacter pylori. FEMS Immunol. Med. Microbiol. 2003, 36, 9–17. [Google Scholar] [CrossRef]
- Lawal, K.G.; Kavle, R.R.; Akanbi, T.O.; Mirosa, M.; Agyei, D. Lipid nutritional indices, regioisomeric distribution, and thermal properties of Tenebrio molitor and Hermetia illucens larvae fat. J. Asia Pac. Entomol. 2022, 25, 101951. [Google Scholar] [CrossRef]
- Yoon, C.H.; Jeon, S.H.; Ha, Y.J.; Kim, S.W.; Bang, W.Y.; Bang, K.H.; Gal, S.W.; Kim, I.S.; Cho, Y.S. Functional chemical components in Protaetia brevitarsis larvae: Impact of supplementary feeds. Food Sci. Anim. Resour. 2020, 40, 461–473. [Google Scholar] [CrossRef]
- Adámková, A.; Mlček, J.; Kouřimská, L.; Borkovcová, M.; Bušina, T.; Adámek, M.; Bednářová, M.; Krajsa, J. Nutritional potential of selected insect species reared on the Island of Sumatra. Int. J. Environ. Res. Public Health 2017, 14, 521. [Google Scholar] [CrossRef]
- Oonincx, D.G.A.B.; Laurent, S.; Veenenbos, M.E.; Loon, J.J.A.V. Dietary enrichment of edible insects with omega 3 fatty acids. Insect Sci. 2020, 3, 500–509. [Google Scholar] [CrossRef]
- Ruschioni, S.; Loreto, N.; Foligni, R.; Mannozzi, C.; Raffaelli, N.; Zamporlini, F.; Pasquini, M.; Roncolini, A.; Cardinali, F.; Osimani, A.; et al. Addition of olive pomace to feeding substrate affects growth performance and nutritional value of mealworm (Tenebrio molitor L.) larvae. Foods 2020, 9, 317. [Google Scholar] [CrossRef] [PubMed]
- Lauric Acid. Available online: https://en.wikipedia.org/wiki/Lauric_acid (accessed on 22 May 2022).
- Levy, J. Fight Acne and Infections with Lauric Acid. Available online: https://draxe.com/nutrition/lauric-acid/ (accessed on 25 July 2022).
- Lauric Acid. Available online: https://thechemco.com/chemical/lauric-acid/ (accessed on 30 October 2022).
- Sandhya, S.; Talukdar, J.; Bhaishya, D. Chemical and Biological Properties of LA: A Review. Int. J. Adv. Res. 2016, 4, 1123–1128. [Google Scholar] [CrossRef]
- Graham, S.A.; Jose, G.P.C.; Murad, A.M.; Rech, E.L.; Cavalcanti, T.B.; Inglis, P.W. Patterns of fatty acid composition in seed oils of Cuphea, with new records from Brazil and Mexico. Ind. Crop. Prod. 2016, 87, 379–391. [Google Scholar] [CrossRef]
- Graham, S.A.; Kleiman, R. Composition of seed oils in some Latin American Cuphea (Lythraceae). Ind. Crop. Prod. 1992, 1, 31–34. [Google Scholar] [CrossRef]
- Kenar, J.A.; Moser, B.; List, G.R. Naturally occurring fatty acids: Source, chemistry, and uses. In Fatty Acids: Chemistry, Synthesis, and Applications; Ahmad, M.U., Ed.; Elsevier Inc.: Amsterdam, The Netherlands, 2017; pp. 23–82. [Google Scholar]
- Voelker, T.A.; Hayes, T.R.; Cranmer, A.M.; Turner, J.C.; Davies, H.M. Genetic engineering a quantitative trait: Metabolic and genetic parameters influencing the accumulation of laurate in rapeseed. Plant J. 1996, 9, 229–241. [Google Scholar] [CrossRef]
- Murphy, D.J. The Status of Industrial Vegetable Oils from Genetically Modified Plants. European Chemicals Agency. Available online: https://echa.europa.eu/documents/10162/2174224/the_status_of_industrial_vegetable_oils_from_genetically_modified_plants_expert_report_en.pdf/e6b0de1b-c9d5–4e07–8fc6–8f4dae318c55 (accessed on 19 December 2022).
- Organic Lauric Acid. Available online: https://www.aryanint.com/organic-lauric-acid/ (accessed on 31 October 2022).
- Almeida, C.; Murta, D.; Nunes, R.; Baby, A.R.; Fernandes, A.; Barros, L.; Rijo, P.; Rosado, C. Characterization of lipid extracts from the Hermetia illucens larvae and their bioactivities for potential use as pharmaceutical and cosmetic ingredients. Heliyon 2022, 8, e09455. [Google Scholar] [CrossRef]
- Sujadi; Hasibuan, H.A.; Rahmadi, H.Y.; Purba, A.R. Komposisi asam lemak dan bilangan iod minyak dari sembilan varietas kelapa kelapa sawit DxP komersial di PPKS. J. Penelit. Kelapa Sawit. 2016, 24, 1–12. [Google Scholar] [CrossRef]
- Kabara, J.; Vrable, R.; Jie, M.L.K. Antimicrobial lipids: Natural and synthetic fatty acids and monoglycerides. Lipids 1977, 12, 753–759. [Google Scholar] [CrossRef]
- Melo, E.; Michels, F.; Arakaki, D.; Lima, N.; Gonçalves, D.; Cavalheiro, L.; Oliveira, L.; Caires, A.; Hiane, P.; Nascimento, V. First Study on the Oxidative Stability and Elemental Analysis of Babassu (Attalea speciosa) Edible Oil Produced in Brazil Using a Domestic Extraction Machine. Molecules 2019, 24, 4235. [Google Scholar] [CrossRef]
- Feitosa, J.M.; Silva, T.S.A.; Fonseca, A.E.X.; Rodrigues, W.C.S.; da Silva, A.C.E.; Corrêa, C.V.P.; da Aguiar, F.S.; Mourão, R.H.V.; da Oliveira, E.G.; Nunes, K.M. Evaluation of the quality of Amazonian butters as sustainable raw materials for applications in bioproducts. Rev. Ciênc. Farm. Básica Apl. 2021, 42, e708. [Google Scholar] [CrossRef]
- Dos Santos Souza, T.G.; da Silva, M.M.; Feitoza, G.S.; de Melo Alcântara, L.F.; da Silva, M.A.; de Oliveira, A.M.; de Oliveira Farias de Aguiar, J.C.R.; do Amaral Ferraz Navarro, D.M.; de Aguiar Júnior, F.C.A.; da Silva, M.V.; et al. Biological safety of Syagrus coronata (Mart.) Becc. Fixed oil: Cytotoxicity, acute oral toxicity, and genotoxicity studies. J. Ethnopharmacol. 2021, 272, 113941. [Google Scholar] [CrossRef] [PubMed]
- Oboh, F.O.; Oderinde, R.A. Fatty acid and glyceride composition of Astrocaryum vulgare kernel fat. J. Sci. Food Agric. 1989, 48, 29–36. [Google Scholar] [CrossRef]
- Hamam, F.; Daun, J.; Shahidi, F. Lipase-assisted acidolysis of high-laurate canola oil with eicosapentaenoic acid. J. Am. Oil Chem. Soc. 2005, 82, 875–879. [Google Scholar] [CrossRef]
- Ahmad, A.F.; Zulkarnain, N.; Rosid, S.J.M.; Azid, A.; Endut, A.; Toemen, S.; Ismail, S.; Abdullah, W.N.W.; Aziz, S.M.; Yusoff, N.M.; et al. Catalytic Transesterification of Coconut Oil in Biodiesel Production: A Review. Catal. Surv. Asia 2022, 26, 129–143. [Google Scholar] [CrossRef]
- Atadashi, I.; Aroua, M.K.; Aziz, A.A. High quality biodiesel and its diesel engine application: A review. Renew. Sust. Energ. Rev. 2010, 14, 1999–2008. [Google Scholar] [CrossRef]
- Hoekman, S.K.; Broch, A.; Robbins, C.; Ceniceros, E.; Natarajan, M. Review of biodiesel composition, properties, and specifications. Renew. Sust. Energ. Rev. 2012, 16, 143–169. [Google Scholar] [CrossRef]
- Mohan, K.; Sathishkumar, P.; Rajan, D.K.; Rajarajeswaran, J.; Ganesan, A.R. Black soldier fly (Hermetia illucens) larvae as potential feedstock for the biodiesel production: Recent advances and challenges. Sci. Total Environ. 2023, 859, 160235. [Google Scholar] [CrossRef]
- Zhang, Q.; Yang, T.; Lei, D.; Wang, J.; Zhang, Y. Efficient Production of Biodiesel from Esterification of LA Catalyzed by Ammonium and Silver Co-Doped Phosphotungstic Acid Embedded in a Zirconium Metal–Organic Framework Nanocomposite. ACS Omega 2020, 5, 12760–12767. [Google Scholar] [CrossRef]
- Cai, J.; Zhang, Q.; Wei, F.; Huang, J.; Feng, Y.; Ma, H.; Zhang, Y. Preparation of Copper (II) Containing Phosphomolybdic Acid Salt as Catalyst for the Synthesis of Biodiesel by Esterification. J. Oleo Sci. 2018, 67, 427–432. [Google Scholar] [CrossRef]
- Lama, S.C. 7 Benefits of Lauric Acid for Your Body. Available online: https://www.livestrong.com/article/141282-bad-effects-using-coconut-oil/ (accessed on 5 August 2022).
- Zatta, L.; Gardolinski, J.E.F.C.; Wypych, F. Raw halloysite as reusable heterogeneous catalyst for esterification of Lauric acid. Appl. Clay Sci. 2011, 51, 165–169. [Google Scholar] [CrossRef]
- Nakpong, P.; Wootthikanokkhan, S. High free fatty acid coconut oil as a potential feedstock for biodiesel production in Thailand. Renew. Energy 2010, 35, 1682–1687. [Google Scholar] [CrossRef]
- Herliana; Ilim; Simanjuntak, W.; Pandiangan, K.D. Transesterification of coconut oil (Cocos nucifera L.) into biodiesel using zeolite-A catalyst based on rice husk silica and aluminum foil. J. Phys. Conf. Ser. 2021, 1751, 012091. [Google Scholar] [CrossRef]
- Lai, P.; He, Y.; Li, J.; Xiao, Z.; Zhang, A. Optimization of Process Conditions for Extracting Litsea cubeba Kernel Oil by Microwave-Assisted Water Method. IOP Conf. Ser. Earth Environ. Sci. 2019, 332, 022051. [Google Scholar] [CrossRef]
- Zhong, S.; Cai, H.Q.; Ai, H.D. Preparation of Biodiesel from High-Acid Value Litsea cubeba Kernel Oil. Available online: https://www.researchgate.net/publication/287165652_Preparation_of_biodiesel_fromhighacid_value_litsea_cubeba_kernel_oil/citations (accessed on 7 March 2023).
- Li, D.; Feng, W.; Chen, C.; Chen, S.; Fan, G.; Liao, S.; Wu, G.; Wang, Z. Transesterification of Litsea cubeba kernel oil to biodiesel over zinc supported on zirconia heterogeneous catalysts. Renew. Energy 2021, 177, 13–22. [Google Scholar] [CrossRef]
- Bello, E.I.; Oguntuase, B.; Osasona, A.; Mohammed, T.I. Characterization and Engine Testing of Palm Kernel Oil. Eur. J. Eng. Technol. 2015, 3, 2015. [Google Scholar]
- Nguyen, H.N.; Liang, S.-H.; Doan, T.T.; Su, C.-H.; Yang, P.-Y. Lipase-catalyzed synthesis of biodiesel from black soldier fly (Hermetica illucens): Optimization by using response surface methodology. Energy Convers. Manag. 2017, 145, 335–342. [Google Scholar] [CrossRef]
- Elsayed, M.; Ran, Y.; Ai, P.; Azab, M.; Mansour, A.; Jin, K.; Zhang, Y.; Abomohra, A.E. Innovative integrated approach of biofuel production from agricultural wastes by anaerobic digestion and black soldier fly larvae. J. Clean. Prod. 2020, 263, 121495. [Google Scholar] [CrossRef]
- Ishak, S.; Kamari, A.; Yusof, S.N.M.; Halim, A.L.A. Optimization of biodiesel production of Black Soldier Fly larvae rearing on restaurant kitchen waste. J. Phys. Conf. Ser. 2018, 1097, 012052. [Google Scholar] [CrossRef]
- He, S.; Lian, W.; Liu, X.; Xu, w.; Wan, W.; Qi, S. Transesterification synthesis of high-yield biodiesel from black soldier fly larvae by using the combination of Lipase Eversa Transform 2.0 and Lipase SMG1. Food Sci. Technol. 2022, 42, e103221. [Google Scholar] [CrossRef]
- Jung, S.; Jung, J.M.; Yiu Fai Tsang, Y.F.; Bhatnagar, A.; Chen, W.-H.; Lin, K.-Y.A.; Kwon, E.E. Biodiesel production from black soldier fly larvae derived from food waste by non-catalytic transesterification. Energy 2022, 238, 121700. [Google Scholar] [CrossRef]
- Nguyen, H.C.; Liang, S.H.; Li, S.Y.; Su, C.H.; Chien, C.C.; Chen, Y.J.; Huong, D.T.M. Direct transesterification of black soldier fly larvae (Hermetia illucens) for biodiesel production. J. Taiwan Inst. Chem. Eng. 2018, 85, 65–169. [Google Scholar] [CrossRef]
- Leong, S.Y.; Kutty, S.R.M.; Bashir, M.J.K.; Li, Q. A Circular Economy Framework based on Organic Wastes Upcycling for Biodiesel Production from Hermetia illucens. Eng. J. 2021, 25, 223–234. [Google Scholar] [CrossRef]
- Park, J.-Y.; Jung, S.; Na, Y.-G.; Jeon, C.-H.; Cheon, H.-Y.; Yun, E.-Y.; Lee, S.-H.; Kwon, E.E.; Kim, J.-K. Biodiesel production from the black soldier fly larvae grown on food waste and its fuel property characterization as a potential transportation fuel. Environ. Eng. Res. 2022, 27, 20070. [Google Scholar] [CrossRef]
- Ambat, I.; Srivastava, V.; Sillanpää, M. Recent advancement in biodiesel production methodologies using various feedstock: A review. Renew. Sust. Energ Rev. 2018, 90, 356–369. [Google Scholar] [CrossRef]
- Kim, J.K.; Yim, E.S.; Jeon, C.H.; Jung, C.S.; Han, B.H. Cold performance of various biodiesel fuel blends at low temperature. Int. J. Automot. Technol. 2012, 13, 293–300. [Google Scholar] [CrossRef]
- Karmakar, A.; Karmakar, S.; Mukherjee, S. Properties of various plants and animal feedstocks for biodiesel production. Bioresour. Technol. 2010, 101, 7201–7210. [Google Scholar] [CrossRef]
- Canakci, M.; Sanli, H. Biodiesel production from various feedstocks and their effects on the fuel properties. J. Ind. Microbiol. Biotechnol. 2008, 35, 431–441. [Google Scholar] [CrossRef]
- Verified Market Research. Top 10 Black Soldier Fly Companies Feeding Nutrient-Rich Feed to Livestock. Available online: https://www.verifiedmarketresearch.com/blog/top-black-soldier-fly-companies/ (accessed on 17 April 2023).
- Joly, G.; Nikiema, J. Global Experiences on Waste Processing with Black Soldier Fly (Hermetia illucens): From Technology to Business. Resource Recovery and Reuse Series 16, CGIAR Research Program on Water, Land and Ecosystems (WLE); International Water Management Institute (IWMI): Battaramulla, Sri Lanka, 2019; ISSN 2478-0529. [Google Scholar]
- Cheng, J.Y.K.; Chiu, S.L.H.; Lo, I.M.C. Effects of moisture content of food waste on residue separation, larval growth and larval survival in black soldier fly bioconversion. Waste Manag. 2017, 67, 315–323. [Google Scholar] [CrossRef]
- Larouche, J.; Deschamps, M.H.; Saucier, L.; Lebeuf, Y.; Doyen, A.; Vandenberg, G.W. Effects of Killing Methods on Lipid Oxidation, Colour and Microbial Load of Black Soldier Fly (Hermetia illucens) Larvae. Animals 2019, 9, 182. [Google Scholar] [CrossRef]
- Lauric Acid. Available online: https://www.acmehardesty.com/product/lauric-acid-c12/ (accessed on 22 May 2022).
- Galbraith, H.; Miller, T.; Paton, A.; Thompson, J. Antibacterial activity of long chain fatty acids and the reversal with calcium, magnesium, ergocalciferol and cholesterol. J. Appl. Microbiol. 1971, 34, 803–813. [Google Scholar] [CrossRef] [PubMed]
- Kabara, J.J. GRAS antimicrobial agents for cosmetic products. J. Soc. Cosmet. Chem. 1980, 31, 1–10. [Google Scholar]
- Kanetsuna, F. Bactericidal effect of fatty acids on mycobacteria, with particular reference to the suggested mechanism of intracellular killing. Microbiol. Immunol. 1985, 29, 127–141. [Google Scholar] [CrossRef]
- Bergsson, G.; Arnfinnsson, J.; Karlsson, S.M.; Steingrímsson, Ó.; Thormar, H. In vitro inactivation of Chlamydia trachomatis by fatty acids and monoglycerides. Antimicrob. Agents Chemother. 1998, 42, 2290–2294. [Google Scholar] [CrossRef]
- Bergsson, G.; Steingrímsson, Ó.; Thormar, H. In vitro susceptibilities of Neisseria gonorrhoeae to fatty acids and monoglycerides. Antimicrob. Agents Chemother. 1999, 43, 2790–2792. [Google Scholar] [CrossRef]
- Bergsson, G.; Steingrímsson, Ó.; Thormar, H. Bactericidal effects of fatty acids and monoglycerides on Helicobacter pylori. Int. J. Antimicrob. Agents 2002, 20, 258–262. [Google Scholar] [CrossRef] [PubMed]
- Matsue, M.; Mori, Y.; Nagase, S.; Sugiyama, Y.; Hirano, R.; Ogai, K.; Ogura, K.; Kurihara, S.; Okamoto, S. Measuring the antimicrobial activity of lauric acid against various bacteria in human gut microbiota using a new method. Cell Transplant. 2019, 28, 1528–1541. [Google Scholar] [CrossRef]
- Auza, F.A.; Purwanti, S.; Syamsu, J.A.; Natsir, A. Antibacterial activities of black soldier flies (Hermetia illucens) extract towards the growth of Salmonella typhimurium, E. coli and Pseudomonas aeruginosa. IOP Conf. Ser. Earth Environ. Sci. 2020, 492, 012024. [Google Scholar] [CrossRef]
- Harlystiarini; Mutia, R.; Wibawan, I.W.T.; Astuti, D.A. In vitro antibacterial activity of black soldier fly (Hermetia illucens) larva extracts against Gram-Negative bacteria. Bul. Peternak. 2019, 43, 125–129. [Google Scholar] [CrossRef]
- Kitahara, T.; Koyama, N.; Matsuda, J.; Aoyama, Y.; Hirakata, Y.; Kamihira, S.; Kohno, S.; Nakashima, M.; Sasaki, H. Antimicrobial activity of saturated fatty acids and fatty amines against methicillin-resistant Staphylococcus aureus. Biol. Pharm. Bull. 2004, 27, 1321–1326. [Google Scholar] [CrossRef]
- Dayrit, F.M. Lauric acid is a Medium-Chain Fatty Acid, Coconut Oil is a Medium-Chain Triglyceride. Philipp. J. Sci. 2014, 143, 157–164. [Google Scholar]
- Alves, N.F.B.; de Queiroz, T.M.; Travassos, R.d.A.; Magnani, M.; Braga, V.d.A. Acute Treatment with Lauric Acid Reduces Blood Pressure and Oxidative Stress in Spontaneously Hypertensive Rats. Basic Clin. Pharmacol. Toxicol. 2017, 120, 348–353. [Google Scholar] [CrossRef]
- Gregor, A.; Auernigg-Haselmaier, S.; Trajanoski, S.; König, J.; Duszka, K. Colonic Medium-Chain Fatty Acids Act as a Source of Energy and for Colon Maintenance but Are Not Utilized to Acylate Ghrelin. Nutrients 2021, 13, 3807. [Google Scholar] [CrossRef] [PubMed]
- Anuar, N.S.; Shafie, S.A.; Faris, M.A.; Maznan, N.A.F.; Zin, N.S.N.M.; Azmi, N.A.S.; Raoof, R.A.; Myrzakozha, D.; Samsulrizal, N. Lauric acid improves hormonal profiles, antioxidant properties, sperm quality and histomorphometric changes in testis and epididymis of streptozotocin-induced diabetic infertility rats. Toxicol. Appl. Pharmacol. 2023, 470, 116558. [Google Scholar] [CrossRef] [PubMed]
- Petschow, B.W.; Batema, R.P.; Ford, L.L. Susceptibility of Helicobacter pylori to bactericidal properties of medium-chain monoglycerides and free fatty acids. Antimicrob Agents Chemother. 1996, 40, 302–306. [Google Scholar] [CrossRef] [PubMed]
- Su’i, M.; Sumaryati, E.; Prasetyo, R.; Eric, D.P. Anti Bacteria Activities of Lauric Acid from Coconut Endosperm (Hydolysed Using Lipase Endogeneus. Adv. Environ. Biol. 2015, 9, 45–49. [Google Scholar]
- Bergsson, G.; Arnfinnsson, J.; Steingrímsson, O.; Thormar, H. In Vitro Killing of Candida albicans by Fatty Acids and Monoglycerides. Antimicrob Agents Chemother. 2001, 45, 3209–3212. [Google Scholar] [CrossRef]
- Hornung, B.; Amtmann, E.; Sauer, G. LA inhibits the maturation of vesicular stomatitis virus. J. Gen. Virol. 1994, 75, 353–361. [Google Scholar] [CrossRef]
- Welch, J.L.; Xiang, J.; Okeoma, C.M.; Schlievert, P.M.; Stapleton, J.T. Glycerol Monolaurate, an Analogue to a Factor Secreted by Lactobacillus, Is Virucidal against Enveloped Viruses, Including HIV -1. mBio 2020, 11, e00686-20. [Google Scholar] [CrossRef]
- Conrado, S.D. Coconut oil in health and disease: Its and monolaurin’s potential as cure for HIV/Aids. In Proceedings of the XXXVII Cocotech Meeting, Chennai, India, 24–28 July 2002. [Google Scholar]
- Bartolotta, S.; Garcia, C.C.; Candurra, N.A.; Damonte, E.B. Effect of fatty acids on arenavirus replication: Inhibition of virus production by lauric acid. Arch. Virol. 2001, 146, 777–790. [Google Scholar] [CrossRef]
- Lauric Acid. Available online: https://www.chemicalbook.com/ChemicalProductPropertyEN_CB0357278.htm (accessed on 31 October 2022).
- Lauric Acid. Available online: https://acmechem.com/lauric-acid-98/ (accessed on 22 May 2022).
- Lauric Acid. Available online: https://haz-map.com/Agents/5046 (accessed on 30 October 2022).
- Lauric Acid Market—Global Industry Analysis, Size, Share, Growth, Trends and Forecast 2016–2024. Available online: https://www.transparencymarketresearch.com/lauric-acid-market.html (accessed on 22 May 2022).
- Zeiger, K.; Popp, J.; Becker, A.; Hankel, J.; Visscher, C.; Klein, G.; Meemken, D. Lauric acid as feed additive—An approach to reducing Campylobacter spp. in broiler meat. PLoS ONE 2017, 12, e0175693. [Google Scholar] [CrossRef] [PubMed]
- Yang, L.; Yang, Q.; Li, F.; Yi, W.; Liu, F.; Wang, S.; Jiang, Q. Effects of Dietary Supplementation of lauric acid on Lactation Function, Mammary Gland Development, and Serum Lipid Metabolites in Lactating Mice. Animals 2020, 10, 529. [Google Scholar] [CrossRef]
- Verheyen, G.R.; Ooms, T.; Vogels, L.; Vreysen, S.; Bovy, A.; Miert, S.V.; Meersman, F. Insects as an Alternative Source for the Production of Fats for Cosmetics. J. Cosmet. Sci. 2018, 69, 187–202. [Google Scholar]
- SIBU and Point68. The World’s First Insect Oil Extract in a Luxury Face Oil Launched by SIBU and Point68. Available online: https://www.prweb.com/releases/the_worlds_first_insect_oil_extract_in_a_luury_face_oil_launched_by_sibu_and_point68/prweb17530282.htm (accessed on 4 March 2023).
- Insekt. Available online: https://www.altrene.ca/whyinsects (accessed on 7 March 2023).
- Westendorp, J. Beauty Care by Bugs: Kemptville Man Scores $10K Grant to Launch Insect Oil Skin Care Business. 2020. Available online: https://www.therecord.com/local-kemptville/business/2022/09/15/beauty-care-by-bugs-kemptville-man-scores-10k-grant-to-launch-insect-oil-skin-care-business.html?itm_source=parsely-api (accessed on 7 March 2023).
- Verheyen, G.R.; Theunis, M.; Vreysen, S.; Naessens, T.; Noyen, I.; Ooms, T.; Goossens, S.; Pieters, L.; Foubert, K.; Miert, S.V. Glycine-acyl Surfactants Prepared from Black Soldier Fly Fat, Coconut Oil and Palm Kernel Oil. Curr. Green Chem. 2020, 7, 239–248. [Google Scholar] [CrossRef]
- Salimon, J.; Salih, N.; Yousif, E. Bio-lubricants: Raw materials, chemical modifications and environmental benefits. Eur. J. Lipid Sci. Technol. 2010, 112, 519–530. [Google Scholar] [CrossRef]
- Xiong, J.; Mao, J.; Wang, T.; Feng, W.; Wang, W.; Yang, C.; Miao, X. Refining and Sulphurization of Oil from Black Soldier Fly and Its Application as Biodegradable Lubricant Additive. J. Am. Oil Chem. Soc. 2020, 97, 1243–1251. [Google Scholar] [CrossRef]
- Negi, P.; Singh, Y.; Tiwari, K. A review on the production and characterization methods of bio-based lubricants. Mater. Today Proc. 2021, 46, 10503–10506. [Google Scholar] [CrossRef]
- Mannekote, J.K.; Kailas, S.V.; Venkatesh, K.; Kathyayini, N. Environmentally friendly functional fluids from renewable and sustainable sources-a review. Renew. Sustain. Energy Rev. 2018, 81, 1787–1801. [Google Scholar] [CrossRef]
- Syahrullail, S.; Kamitani, S.; Shakirin, A. Performance of vegetable oil as lubricant in extreme pressure condition. Procedia Eng. 2013, 68, 172–177. [Google Scholar] [CrossRef]
- Cai, Z.; Zhuang, X.; Yang, X.; Huang, F.; Wang, Y.; Li, Y. Litsea cubeba kernel oil as a promising new medium-chain saturated fatty acid feedstock for bio-lubricant base oil synthesis. Ind. Crop. Prod. 2021, 167, 113564. [Google Scholar] [CrossRef]
- McClements, D.J.; Jafari, S.M. Improving emulsion formation, stability and performance using mixed emulsifiers: A review. Adv. Colloid. Interf. Sci. 2018, 251, 24. [Google Scholar] [CrossRef]
- Chou, T.-Z.; Nugroho, D.S.; Cheng, Y.-S.; Chang, J.-Y. Development and Characterization of Nano-emulsions Based on Oil Extracted from Black Soldier Fly Larvae. Appl. Biochem. Biotechnol. 2020, 191, 331–345. [Google Scholar] [CrossRef] [PubMed]
- Xu, W.; Xu, W.; Liu, X.; He, S.; Ji, Y.; Wang, W.; Wang, F. An Effective Strategy for the Production of LA–Enriched Monoacylglycerol via Enzymatic Glycerolysis from Black Soldier Fly (Hermetia illucens) Larvae (BSFL) Oil. Appl. Biochem. Biotechnol. 2021, 193, 2781–2792. [Google Scholar] [CrossRef] [PubMed]
- Ruban, A.A.; Novikova, M.V.; Loskutov, S.I.; Kostin, A.A. An effect of fat emulsions of black soldier fly (Hermetia illucens) larvae on the germination capacity and energy of sprouting of pea (Pisum sativum L.) seeds. Food Syst. 2021, 4, 308–314. [Google Scholar] [CrossRef]
- Hasnol, S.; Lim, J.W.; Wong, C.Y.; Lam, M.K.; Ntwampe, S.K.O. Liminal presence of exo-microbes inoculating coconut en-dosperm waste to enhance black soldier fly larval protein and lipid. Environ. Sci. Pollut. Res. 2020, 27, 24574–24581. [Google Scholar] [CrossRef]
- SkyQuest Technology Consulting Pvt. Ltd. Global Black Soldier Fly Market to Hit Sales of $1437.56 Million by 2028. Black Soldier Fly is Being Looked at as Sustainable Source of Livestock Feed Protein. 2022. Available online: https://finance.yahoo.com/news/global-black-soldier-fly-market-130500021.html?guccounter=1&guce_referer=aHR0cHM6Ly93d3cuZ29vZ2xlLmNvLmlkLw&guce_referrer_sig=AQAAAHV6ShxCFi-AmLzjglAyLiXrbbtJ6bp_y0s_0bbj1sl4Qf1TezlmSOvXJ343RrO4IpFjKzZgxVp1LShirtx1doLAamgvN5rqFK9rEY7uLfc7pOBPDQANhx9cTgC4CM3BjHCrnLcmJyKPubf3c9b-QrdnTHPzfWbDIi3RzAQySi8J#:~:text=The%20study%20found%20that%20BSF,sources%20available%20for%20livestock%20feed.2022 (accessed on 25 June 2023).
- European Commission. Regulation (EU) 2017/893 of 24 May 2017 Amending Annexes I and IV to Regulation (EC) No 999/2001 of the European Parliament and of the Council and Annexes X, XIV and XV to Commission Regulation (EU) No 142/2011 as Regards the Provisions on Processed Animal Protein. 2017. Available online: http://eur-lex.europa.eu/legalcontent/EN/TXT/?uri=uriserv:OJ.L_.2017.138.01.0092.01.ENG&toc=OJ:L:2017:138:TOC (accessed on 22 June 2022).
- Klonick, A. Bug Ideas: Assessing the Market Potential and Regulation of Insects. Master’s Thesis, Duke University, Durham, NC, USA, 2017. [Google Scholar]
- Association of American Feed Control Officials. Lab Methods and Services Committee Draft Agenda. In Proceedings of the AAFCO Annual Meeting Agenda and Committee Reports, Pittsburgh, PA, USA, 31 July–3 August 2016; AAFCO: Pittsburgh, PA, USA, 2016; p. 112. [Google Scholar]
- Bosch, G.; van Zanten, H.H.E.; Zamprogna, A.; Veenenbos, M.; Meijer, N.P.; van der Fels-Klerx, H.J.; van Loon, J.J.A. Conversion of organic resources by black soldier fly larvae: Legislation, efficiency and environmental impact. J. Clean. Prod. 2019, 222, 355–363. [Google Scholar] [CrossRef]
- Sangduan, C. Skincare Product Containing Hermetia illucens Extract. U.S. Patent No 15/981,689, 13 September 2018. [Google Scholar]
- Lim, G.Y. Skin-Sect Innovation: Sibu and Insect Beauty to Launch First Luxury Skin Oil Containing Insect Extract. 2020. Available online: https://Www.Cosmeticsdesign-Asia.Com/Article/2020/05/20/Skin-Sect-Innovation-Sibu-And-Insect-Beauty-To-Launch-First-Luxury-Skin-Oil-Containing-Insect-Extract (accessed on 22 June 2023).


| No. | Substrate | Larvae Biomass (DW) | Waste Reduction (% DW) | Biomass Conversion Ratio | Survival Rate (%) | WRI (g/Day) | ECD | Reference |
|---|---|---|---|---|---|---|---|---|
| 1 | Poultry feed | 251 ± 6 mg | 84.8 ± 3.6 | 12.8 ± 0.7 | 93.0 ± 2.9 | - | - | [4] |
| Dog food | 252 ± 6 mg | 60.5 ± 1.5 | 13.4 ± 0.9 | 89.3 ± 6.6 | - | - | ||
| Food waste | 212 ± 4 mg | 55.3 ± 4.1 | 13.9 ± 0.3 | 87.2 ± 0.5 | - | - | ||
| Fruits and vegetable | 218 ± 4 mg | 46.7 ± 3.1 | 4.1 ± 0.2 | 90.7 ± 5.6 | - | - | ||
| Abattoir waste | 248 ± 3 mg | 46.3 ± 2.9 | 15.2 ± 1.6 | 101.5 ± 2.8 | - | - | ||
| Abattoir waste–fruits and vegetable | 252 ± 13 | 61.1 ± 10.7 | 14.2 ± 1.9 | 96.3 ± 5.2 | - | - | ||
| Poultry manure | 164 ± 14 mg | 60.0 ± 2.3 | 7.1 ± 0.6 | 92.7 ± 3.3 | - | - | ||
| Human feces | 245 ± 5 mg | 47.7 ± 1.1 | 11.3 ± 0.3 | 91.8 ± 4.5 | - | - | ||
| Primary sludge | 137 ± 5 mg | 63.3 ± 1.9 | 2,3 ± 0.1 | 81.0 ± 1.5 | - | - | ||
| Undigested sludge | 145 ± 5 mg | 49.2 ± 3.7 | 2.2 ± 0.2 | 76.2 ± 7.1 | - | - | ||
| Digested sludge | 70 ± 5 mg | 13.2 ± 0.8 | 0.2 ± 0.0 | 39.0 ± 4.4 | - | - | ||
| 2 | Vegetable and fruit waste (7:3) | 10.42 ± 0.65 g (total) | 65.2 ± 5.54 | - | - | 3.2 ± 0.26 | 0.07 ± 0.009 | [6] |
| Fruit waste | 10.92 ± 2.06 g (total) | 70.8 ± 8.39 | - | - | 3.2 ± 0.41 | 0.05 ± 0.011 | ||
| Winery by-product | 9.90 ± 0.79 g (total) | 53.0 ± 5.28 | - | - | 2.4 ± 0.32 | 0.06 ± 0.002 | ||
| Brewery by-product | 11.32 ± 0.86 g (total) | 42.5 ± 8.41 | - | - | 5.3 ± 1.05 | 0.14 ± 0.034 | ||
| 3 | Bread | 137 ± 7 mg | - | 24.1 ± 3.3 | 69.8 ± 9.8 | - | - | [7] |
| Fish | 89 ± 18 mg | - | 3.2 ± 0.1 | 18.4 ± 2.6 | - | - | ||
| Food waste | 191 ± 19 mg | - | 18.9 ± 2.4 | 89.1 ± 6.0 | - | - | ||
| Fresh mussels | 235 ± 15 mg | - | 0.8 ± 0.1 | 89.3 ± 6.8 | - | - | ||
| Ensiled mussels | 25 mg | - | <0.1 | 11.0 ± 4.5 | - | - | ||
| Rotten mussels | 106 ± 29 mg | 0.2 ± 0.0 | 55.1 ± 11.2 |
| Life Phase | Crude Protein (%) | Crude Fat (%) | Ash Content (%) |
|---|---|---|---|
| Eggs (<12 h) | 45 | 15.8 | 4 |
| 1 Day | 56.2 | 4.8 | 5 |
| 4 Day | 54.8 | 5.8 | 10.5 |
| 6 Day | 54.2 | 9.6 | 10 |
| 7 Day | 46 | 13.4 | 9.2 |
| 9 Day | 42 | 22.2 | 8.4 |
| 12 Day | 38 | 22.6 | 7.8 |
| 14 Day | 39.2 | 28.4 | 8.3 |
| Early Prepupa | 40.2 | 28 | 8.8 |
| Final Prepupa | 46.2 | 24.2 | 9.6 |
| Early Pupa | 46.2 | 8.2 | 9.6 |
| Final Pupa | 43.8 | 7.2 | 10.2 |
| Waste Type | Life Stage | Lipid Content (% Dry Weight) | References |
|---|---|---|---|
| Fruit wastes | Larvae | 44.46 | [1] |
| Palm decanter | Larvae | 36.51 | |
| Sewage sludge | Larvae | 29.85 | |
| Chicken feed | Prepupa | 33.6 | [2] |
| Restaurant waste | Prepupa | 38.6 | |
| Biogas digestate | Prepupa | 21.8 | |
| Vegetable waste | Prepupa | 37.1 | |
| Horse manure | Larvae | 23.15 | [63] |
| Raw coconut endosperm waste | Larvae | 32 | [64] |
| Vegetable and fruit waste (7:3) | Larvae | 26.3 | [6] |
| Fruit waste | Larvae | 47.4 | |
| Winery by-product | Larvae | 32.2 | |
| Brewery by-product | Larvae | 29.9 | |
| Cassava peel | Larvae | 28.89 | [59] |
| Fruit pulp | Larvae | 21.16 | |
| Tofu waste | Larvae | 20.09 | |
| Food scraps | Larvae | 22.54 | |
| Palm kernel meal | Larvae | 35.1 | [65] |
| Industrial waste is 80% + organic waste 20% | Larvae | 51.5 | |
| Bread | Larvae | 57.8 | [7] |
| Fish | Larvae | 46.7 | |
| Food waste | Larvae | 40.7 | |
| Fresh mussels | Larvae | 33.1 | |
| Ensiled mussels | Larvae | 11.2 | |
| Rotten mussels | Larvae | 29.7 | |
| Apple waste | Larvae | 36.1 | [14] |
| Banana waste | Larvae | 27.9 | |
| Apple + Banana waste | Larvae | 33.4 | |
| Spent grain | Larvae | 22.5 | |
| Apple and spent grain (1:1) | Larvae | 20.1 | |
| Banana and spent grain (1:1) | Larvae | 23.1 | |
| Vegetable and fruit waste | Larvae | 33 | [66] |
| Vegetable and fruit waste | Prepupa | 30.8 | |
| Wheat bran | Prepupa | 26.7 | [67] |
| Wheat bran and quail manure (40%) | Prepupa | 28.0 | |
| Chicken feed | Larvae | 32.9 | [54] |
| Mixed feed | Larvae | 27.0 | |
| Brewer’s spent grain | Larvae | 22.4 | |
| Mitigation mussels | Larvae | 21,6 | |
| Rapeseed cake | Larvae | 24.5 | |
| Shrimp waste | Larvae | 22.9 |
| Substrate | Life Stage | Lauric Acid (C12:0) | Myristic Acid (C14:0) | Palmitic Acid (C16:0) | Oleic Acid (C18:1n-9) | Reference |
|---|---|---|---|---|---|---|
| Fruit waste | Larvae | 76.13 | 8.46 | 6.98 | 4.97 | [1] |
| Palm decanter | Larvae | 48.06 | 2.90 | 25.48 | 16.06 | |
| Sewage sludge | Larvae | 58.32 | 6.90 | 16.49 | 13.16 | |
| Chicken feed | Prepupa | 57.4 | 7.3 | 9.7 | 7.5 | [2] |
| Digestate | Prepupa | 43.7 | 6.9 | 10.1 | 7.9 | |
| Vegetable waste | Prepupa | 61 | 9.5 | 9.5 | 5.7 | |
| Restaurant waste | Prepupa | 58 | 7.1 | 10.3 | 8.0 | |
| Raw coconut endosperm waste | Larvae | 55 | 12 | 6 | 4 | [64] |
| Vegetable and fruit waste (7:3) | Larvae | 52.1 | 10.4 | 13.9 | 8.5 | [6] |
| Fruit waste | Larvae | 57.4 | 9.6 | 13.1 | 9.3 | |
| Winery by-product | Larvae | 34.7 | 9.6 | 13.1 | 12.5 | |
| Brewery by-product | Larvae | 32.4 | 6.7 | 20.4 | 9.2 | |
| Horse manure | Larvae | 28.1 | 6.7 | 22 | 22.9 | [63] |
| Palm kernel meal | Larvae | 40.54 | 15.57 | 14.55 | 17.48 | [65] |
| Industrial waste 80% + organic waste 20% | Larvae | 46.72 | 11.13 | 12.12 | 15.98 | |
| Bread | Larvae | 51.8 | 9.5 | 12.7 | 12.0 | [7] |
| Fish (rainbow trout) | Larvae | 28.6 | 6.1 | 12.6 | 25.1 | |
| Food waste | Larvae | 39.9 | 6.7 | 16.3 | 19.1 | |
| Fresh mussels | Larvae | 52.1 | 8.0 | 11.9 | 10.3 | |
| Ensiled mussels | Larvae | 13.4 | 5.8 | 21.9 | 14.0 | |
| Rotten mussels | Larvae | 32.3 | 10.1 | 19.8 | 12.9 | |
| Wheat bran | Prepupa | 41.96 | 7.05 | 12.59 | 11.19 | [67] |
| Wheat bran and quail manure (40%) | Prepupa | 40.5 | 6.28 | 11.91 | 12.51 | |
| Chicken feed | Larvae | 32.2 | 4.7 | 9.1 | 20.0 | [54] |
| Mixed feed | Larvae | 37.6 | 6.6 | 10.8 | 15.7 | |
| Brewer’s spent grain | Larvae | 21.2 | 4.5 | 17.0 | 12.0 | |
| Mitigation mussels | Larvae | 7.5 | 3.4 | 13.5 | 20.7 | |
| Rapeseed cake | Larvae | 10.0 | 2.0 | 5.8 | 46.8 | |
| Shrimp waste | Larvae | 16.9 | 4.3 | 10.4 | 26.9 |
| Insects Species | Life Stages | Lipid (% of Biomass) | Dominant Fatty Acid (% Total Fatty Acid) | LA (% Total Fatty Acid) | References |
|---|---|---|---|---|---|
| Protaetia brevitarsis | Larvae | 13–16.7 | C18:1 (58.2–64.5) | N/A | [71] |
| Zophobas morio | Larvae | 35 | C18:1 (cis-9) (35.7) | 0.7 | [72] |
| Tenebrio molitor | Pupa | 32 | C18:1 (cis-9) (36.3) | 0.2 | |
| Tenebrio molitor | Larvae | 31 | C18:1 (cis-9) (37.7) | 0.3 | |
| Gryllus assimilis | Nymph | 32 | C18:2 (cis-9.12) (35.7) | 2.7 | |
| Rhynchophorus sp. | Larvae | 44 | C16:0 (40) | N/A | [64] |
| Acheta domesticus L. | Pupa | 29–32 | C18:1n-9 (27.1–29.8) | 0.1 | [73] |
| Alphitobius diaperinus | Prepupa | 31–34 | C18:1n-9 (31.4–34.9) | 0.1 | |
| Hermetia illucens | Larvae | N/A | C12:0 (38.9–47.8) | 38.9–47.8 | |
| Tenebrio molitor | Larvae | 32.14–40.1 | C18:1n-9 (45.06–58.04) | 0.18–0.46 | [74] |
| Hermetia illucens | Larvae | - | C12:0 (43.10) | 43.10 | [68] |
| Oecophylla smaragdina | Larvae | - | C18:1n-9 (38.80) | 0.50 | |
| Zophobas morio | Larvae | - | C18:1n-9 (27.8) | 0.10 | |
| Tenebrio molitor | Larvae | - | C18:1n-9 (44.6) | 0.37 | |
| Gryllus bimaculatus | Nymph | - | C16:0 (31.2) | 0.18 | |
| Tenebrio molitor | Larvae | 28.8 | C18:1n-9 (37.95) | 0.46 * | [70] |
| Hermetia illucens | Larvae | 42.6 | C12:0 (31.14) | 31.14 * |
| Substrate for Rearing BSF Larvae | Methods | Molar Ratio Methanol-Lipid | Catalyst | Reaction Time | Reaction Temperature (°C) | Yield of Biodiesel (%) | Biodiesel Testing Standard | Reference |
|---|---|---|---|---|---|---|---|---|
| Restaurant kitchen waste | Acid-catalyzed esterification and alkaline-catalyzed transesterification. | 10:1 | 1% (w/w) H2SO4, 1.1% (w/w) NaOH | 41 min 61 min | 50 62 | nd | American Standard ASTM D6751 and European Standard EN14214 | [12] |
| Fruit waste | In situ transesterification via ultra-sonication | 8.3:1 | 15.1% H2SO4 | 253 min | 51 | 96.15 | EN 14214 and ASTM 6751 | [113] |
| Food waste | In situ transesterification via ultrasonication | 6.8:1 | 7.0 v/v% H2SO4 | 254 min | 71 | 94.63 | ||
| Fermented wheat bran | Direct transesterification | 2:1 (v/v) | 1.2 mL H2SO4 | 90 min | 120 | 94.14 | EN 14214 | [112] |
| Food waste | Base-catalyzed transesterification | nd | 0.25 g KOH | 8 h | 65 | 93.80 | Korea and EN 14214 | [111] |
| Food waste | Non-catalytic transesterification | nd | SiO2 as reaction supporting porous material | 1 min | 390 | 94.10 | ||
| - | Enzymatic transesterification | 6.33:1 | 20% Lipase Novozym 435 | 9.48 h | 26 | 96.18 | EN 14214 | [107] |
| Nd. | Enzymatic transesterification | 3:1 | Lipase SMG1 and Lipase Eversa Transform 2.0 | 8 h | 25 | 98.45 | EN14214 | [110] |
Disclaimer/Publisher’s Note: The statements, opinions and data contained in all publications are solely those of the individual author(s) and contributor(s) and not of MDPI and/or the editor(s). MDPI and/or the editor(s) disclaim responsibility for any injury to people or property resulting from any ideas, methods, instructions or products referred to in the content. |
© 2023 by the authors. Licensee MDPI, Basel, Switzerland. This article is an open access article distributed under the terms and conditions of the Creative Commons Attribution (CC BY) license (https://creativecommons.org/licenses/by/4.0/).
Share and Cite
Suryati, T.; Julaeha, E.; Farabi, K.; Ambarsari, H.; Hidayat, A.T. Lauric Acid from the Black Soldier Fly (Hermetia illucens) and Its Potential Applications. Sustainability 2023, 15, 10383. https://doi.org/10.3390/su151310383
Suryati T, Julaeha E, Farabi K, Ambarsari H, Hidayat AT. Lauric Acid from the Black Soldier Fly (Hermetia illucens) and Its Potential Applications. Sustainability. 2023; 15(13):10383. https://doi.org/10.3390/su151310383
Chicago/Turabian StyleSuryati, Tuti, Euis Julaeha, Kindi Farabi, Hanies Ambarsari, and Ace Tatang Hidayat. 2023. "Lauric Acid from the Black Soldier Fly (Hermetia illucens) and Its Potential Applications" Sustainability 15, no. 13: 10383. https://doi.org/10.3390/su151310383
APA StyleSuryati, T., Julaeha, E., Farabi, K., Ambarsari, H., & Hidayat, A. T. (2023). Lauric Acid from the Black Soldier Fly (Hermetia illucens) and Its Potential Applications. Sustainability, 15(13), 10383. https://doi.org/10.3390/su151310383

