Next Article in Journal
Regenerative Streets: Pathways towards the Post-Automobile City
Previous Article in Journal
Research on Hole Collapse Monitoring Technology of Coal Seam Gas Extraction Boreholes
 
 
Font Type:
Arial Georgia Verdana
Font Size:
Aa Aa Aa
Line Spacing:
Column Width:
Background:
Article

Environmental Value Assessment of Plastic Pollution Control: A Study Based on Evidence from a Survey in China

1
School of Business, Henan University of Science and Technology, Luoyang 471000, China
2
School of Economics and Management, Beijing Jiaotong University, Beijing 100044, China
*
Author to whom correspondence should be addressed.
Sustainability 2023, 15(13), 10265; https://doi.org/10.3390/su151310265
Submission received: 8 May 2023 / Revised: 23 June 2023 / Accepted: 26 June 2023 / Published: 28 June 2023

Abstract

A scientific environmental management decision is based on the correct assessment of environmental value. Aiming to objectively and accurately assess the environmental value of plastic pollution treatment, in this paper, we design a choice experiment with four item characteristic attributes consisting of source reduction, recycling, cleanup and remediation and price. With the research data of 450 interviewed residents, a choice experiment method (CEM) and numerical simulation were used to comprehensively assess the environmental value of plastic pollution treatment in China, incorporating discount rates and future price changes of environmental products into the study. The results showed that: (1) residents’ willingness to pay per capita for source reduction, remediation and recycling was CNY 32.79, CNY 25.27 and CNY 15.78, respectively; (2) from the perspective of compensation surplus, the residents were willing to pay CNY 147.68 per capita for environmental improvement; (3) the dynamic curve of the value of plastic pollution control displayed an increasing, then gradually declining trend, and its total economic value of 100a was CNY 21,259.97 per capita; and (4) the model simulated the possible trajectory of future changes in plastic pollution control (three scenarios of constant, decreasing and increasing rates of development of plastic pollution control services) and found that addressing the plastic pollution problem early is more conducive to improving the overall welfare of society. This study can provide a basis for scientific evaluation of the benefits of plastic pollution management and allocation of pollution management resources.

1. Introduction

As a basic material, plastics are widely used in all aspects of social production and life due to their lightness, stability, low cost and plasticity [1]. According to the European Plastics Manufacturers Association, global production increased 4% to more than 390.7 million tons in 2021 [2], but the recycling rate is only 9%, meaning that about 80% of plastic products end up in landfills or in nature [3]. Leaking plastic waste could cause serious problems, not only affecting environmental safety and damaging the ecological environment but also threatening the safety of human life and health [3,4,5,6,7].
China, the world’s largest producer and consumer of plastics, accounted for almost one-third of global plastics production in 2021, with apparent consumption of 136.6 million tons of plastic products [2,8]. Due to the high levels of production and consumption of plastic products and the low recycling rate caused by incomplete recycling systems, plastic waste is left in the environment, posing a major environmental challenge [1,8,9,10]. Hence, China has to develop more active policies to deal with the serious situation of plastic pollution prevention. In order to sustainably implement plastic pollution prevention methods and manage related resources, it is necessary to establish correct environmental values and accurately assess their value [11]. However, compared with relevant international studies [12,13,14], research in China mainly focuses on the construction of plastic pollution control systems and the formulation of governance measures [15,16,17] and does not consider environmental value assessment of plastic pollution control.
What is the best way assess the environmental value of plastic pollution control? We need to regard plastic pollution control as an environmental good or service. We know that as a type of quasi-public good, environmental goods or services cannot be obtained through market transactions. Although environmental goods have direct or indirect economic value, they cannot be precisely quantified [18,19,20,21]. Non-market valuation methods have been used to estimate their economic value through willingness to pay [12,13,14,22,23]. However, this valuation method focuses on the current direct or indirect economic value and ignores the relative price changes caused by the scarcity of environmental products or services, resulting in an underestimation of the total value.
In order to scientifically and accurately assess the environmental value of plastic pollution control from the perspective of local residents, in this study, we designed a choice experiment consisting of four project characteristics—source reduction, recycling, remediation and pricing—to investigate the preference of Chinese residents for plastic pollution control. A conditional logit model was used to fit the regression to measure the respondents’ willingness to pay for plastic pollution control [24,25,26,27], and the economic evaluation method of M. Hoel and T. Sterner was used to numerically simulate the value change trend of plastic pollution control and objectively evaluate the environmental value of land plastic pollution control [28]. The combination of these two approaches can overcome the lack of consideration of relative price changes caused by the scarcity of environmental products or services in traditional assessment. This is also the first attempt to apply the choice experiment method in combination with the economic model of M. Hoel and T. Sterner to the study of environmental value assessment.

2. Materials and Methods

2.1. Experimental Design

For the sake of clarifying the investigators’ preference for plastic pollution control policies and acquiring real and objective data, the experimental scenarios designed in this study are described as follows: “there is a series of plastic pollution control policies and services that can effectively govern the current serious environmental pollution of plastic waste, such as reducing the potential risk of plastic pollution, reducing the environmental damage caused by the use of disposable plastic products, and improving the fragile ecological environment. However, you need to pay a certain fee. Please select the plastic pollution control target and payment you are willing to accept”.
The attributes and their level combinations are key in the design of the discrete choice experiment and determine the accuracy, rationality and effectiveness of the research results. According to the research purpose and the national plastic waste management objectives [29], the alternatives are composed of three project characteristic attributes (source reduction, recycling and cleanup) and one value attribute (price paid) [30].
Source reduction (SR): Owing to their light weight and low price, the use of plastic products has increased rapidly. Moreover, unreasonable use is ubiquitous in human production and life, such as excessive packaging of e-commerce products and takeaway. Accordingly, governance policies have focused on fostering green consumption and source reduction. Therefore, in this study, we chose the frequency of use of disposable plastic products as the corresponding index of source reduction to reflect respondent preference for governance measures. The control target of source reduction was set to three different levels: a frequency of use of disposable plastic products of 30, 15 or 0 days/month (not used at all).
Recycling (RC): Land plastic waste can be regarded as misplaced resources. Scientific recycling can turn waste into treasure and provide an important way to control plastic pollution. In 2019, the popularization rate of classified garbage cans in the first batch of pilot areas in mainland China reached 86.6%, which increased the average recycling rate of domestic garbage to 30.4% and improved the difficulty of plastic waste recycling. As a result, the rate of popularity of classified garbage cans was used as the response index of recycling projects, which is convenient for residents to understand this attribute. Considering the market demand for classification dustbins combined with the preliminary investigation, the governance objectives of recycling were set to three different levels: popularization rates of 30%, 70% and 100% for classification dustbins (full popularization).
Cleanup (CU): The large volume of plastic waste pollutants in the terrestrial environment results in “white” pollution, while the small volume of microplastics in water resources, soil or atmosphere cause water, soil or air pollution, respectively. Cleaning visible plastic waste in key areas is important to alleviate plastic pollution. The occurrence of open-air plastic waste can objectively reflect the effectiveness of cleaning and remediation actions, and its cleaning and remediation have become essential to lessen plastic pollution. Accordingly, the frequency of open-air plastic waste observed in residential environments was used as an observation index for cleaning and remediation and was divided into three different levels: frequency of visible open-air plastic waste (pollutants) of 30, 15 or 0 days/month (fully cleaned).
Price paid (P): In the absence of plastic pollution control policy services (i.e., the current state), the cost to be paid is CNY 0. Combined with the willingness to pay understood by the preadjustment difference, the willingness to pay was set to 4 levels: CNY 0, CNY 37.5, CNY 75 and CNY 112.5.
The initial state of the experimental design was as follows: disposable plastic products were used for 30 days, and the popularity rate of classified garbage bins was 30%. Open-air plastic garbage was observed for 30 days, and the cost was 0 CNY. The plastic pollution control project and its corresponding indicators and levels are shown in Table 1.
As demonstrated the different levels of governance project attributes and corresponding indicators in Table 1, the experimental design comprised a total of 108 (3 × 3 × 3 × 4) combination schemes. Therefore, it was impossible to show all the combination schemes to the respondents for selection. To ensure the feasibility of the experiment, this we used an orthogonal design module in IBM SPSS Statistics 26 software to screen and eliminate the unrealistic alternatives and obtained 10 combination schemes [Appendix A]. The scheme closest to the current state was selected as the benchmark scheme, and the remaining 9 combination schemes were randomly divided into three groups, which formed three selection sets with the benchmark scheme. The example selection set is shown in Table 2. A group was randomly selected for the interviewee during the questionnaire survey. According to the theory of consumer choice, they always choose the most effective solution.

2.2. Data Description

In this paper, aiming to directly obtain objective data that reflect the true situation of the residents, we collected data in the form of a questionnaire, which included two main sections. The first section contained basic information about the respondent, including gender, age, education level and income level. The next part showed the environmental awareness information of the respondents, including environmental importance, perceived environmental impact of plastic waste and willingness to pay. The third part was the choice experiment part. We selected Heilongjiang Province, Henan Province, Zhejiang Province, Guangdong Province and Sichuan Province as the survey areas for the selection experiment for the following reasons. First, as large population and agricultural provinces, Heilongjiang, Henan and Sichuan have a high demand for plastic products in production and life and are important consumption places for plastic products. Secondly, Guang-dong province and Zhejiang province are important plastic production provinces. According to the data, the production of plastic products in these two provinces accounted for 33.6% of the country’s production in 2022 [31]. Thirdly, Heilongjiang, Henan, Zhejiang, Guangdong and Sichuan provinces are located in five different regions of China. The questionnaire was distributed by using a simple random sampling technique and 487 questionnaires were collected to eliminate 37 invalid questionnaires, leaving 450 valid questionnaires, with an effective rate of 92.40%. The statistics of the questionnaire collection are shown in Table 3.
The explanatory variable of the model is whether a scheme is selected. If selected, the scheme is assigned a value of 1, and the unselected scheme is assigned a value of 0. The explanatory variables are the characteristic attribute indicators of the alternatives: source reduction, recycling, cleanup and payment prices. The specific variable settings and expectations are shown in Table 4.
The premise of conditional logic model analysis is that the feature attributes of alternatives need to satisfy the independence of irrelevant alternatives (IIA). STATA 14 software was used to perform regression analysis on SR, RC, CU and P. The calculated variance inflation factor (VIF) is shown in Table 5. The results show that the VIF values of each variable were less than 10 and that there was no multicollinearity between the alternatives. In other words, the characteristic attributes of the alternatives satisfied the IIA hypothesis, and the conditional logit model was used for empirical analysis.

2.3. Methods

2.3.1. Choice Experiment Method (CEM)

According to the research content and purpose, we used the CEM to study the preference and willingness to pay of different individual residents (interviewees) as the effect attributes of plastic pollution control [32,33,34]. Based on the uncertainty preference of the respondents, we analyzed their utility based on the characteristic attributes of the plastic pollution control project via the framework of random utility theory. The function expression is:
U i j = V X j k + ε X j k
where Uij denotes the utility of respondent, i who chooses scheme j; V (·) represents observable utility, which can be estimated by item attributes; and ε (·) is a random perturbation term and expresses the unobservable utility [24,35]. Then, the conditional logic selection model was used to estimate the probability that interviewee i selects scheme j from the scheme set (J) [35]. The formula is expressed as follows:
p r o b Y i = j = exp V X j k J exp V X j k
where Yi represents the set of scheme selections, and Xjk denotes the value of feature attribute k in the scheme set (J). If V (·) is a liner function and the distribution of its stochastic disturbance term obeys the independent identical distribution, the fixed utility function (V) can be expressed by the vector composed of observable characteristic attributes [34]. Its correlation coefficient is expressed:
V X j k = φ j + β j k X j k + ϕ i j S i φ j
where φj represents the constant term; βjk denotes the correlation coefficient of characteristic attribute k of the scheme set (j); and Si and φij express the socioeconomic characteristics and correlation coefficients of interviewee i, respectively [33]. Accordingly, Equation (2) can be rewritten as:
p r o b Y i = j = exp φ j + β j k X j k + ϕ i j S i φ j J exp φ j + β j k X j k + ϕ i j S i φ j
The maximum likelihood estimate was used to calculate the marginal rate of substitution (MRS) between each characteristic attribute and price attribute [36], which is the implicit price of a single governance attribute (or marginal willingness to pay).
W T P j = M R S = β a t t r i b u t e β p r i c e
The value of plastic pollution control can be expressed by compensation surplus (CS), which refers to the necessary income compensation to restore consumers to the initial state [37,38] (It can also be understood as the utility value gained by consumers after switching plastic pollution control from one state to another). The compensation surplus is expressed as follows:
C S = 1 β p r i c e V 0 V 1
where V0 represents the utility level of the initial state, and V1 denotes the utility level achieved after the implementation of a scheme.

2.3.2. The Economic Calculation Model of M. Hoel and T. Sterner

Generally, human consumption growth is based on the consumption of limited ecological environmental resources. Due to the increasing scarcity of ecological environmental resources, human consumption growth tends to be slow, stagnant or even retrogressive because of the increase in consumption costs and the decline in market supply [39]. Accordingly, it is necessary to distinguish between general consumer goods and environmental products or services. The utility of environmental products or services was introduced in the cost–benefit model to modify the well-being function. M. Hoel and T. Sterner argued that human well-being stems not only from general commodity consumption but also from the consumption of environmental products or services [28,40]. The revised plastic pollution control service well-being function (W) was established as follows:
W = 0 e ρ t U C , E d t
Equation (7) can explain the social preference for cross-period consumption distribution through time point preference (ρ) and the utility function (U). C denotes the comprehensive measure of general commodity consumption. E represents the comprehensive measurement standard of plastic pollution control service. Then, the function U (C, E) represents the utility obtained from general commodity consumption (C) and environmental products or services (E).
ρ represents the degree of social preference for cross-period consumption distribution [41]. The larger the value, the higher the weight of the current period, and the people are more willing to consume instantly rather than delayed consumption [42]. As for the limit case of ρ = 0, the intergenerational distribution is fair (This situation almost does not exist in reality) [43]. Since people tend to improve their well-being through early consumption, it is generally considered that ρ > 0. However, the ρ value is usually not overestimated because excessively high values suggest that the ecological environment value of plastic pollution control is underestimated [44]. Based on the time preference of Chinese residents’ consumption and the principle of equitable distribution of plastic pollution control services between generations [45], in this study, we set ρ = 0.01.
The selection of the utility function (U) depends on how the value of plastic pollution control is measured. In this paper, the constant elasticity substitution (CES) utility function was selected [46], which is expressed as:
U C , E = 1 1 α × 1 γ C 1 1 σ + γ E 1 1 σ σ 1 α σ 1
where α is the curvature of the utility function (U), representing the marginal utility elasticity of income and the degree of inequality aversion [47], and σ represents the elasticity of substitution between general commodity consumption and environmental products or services [48]. Suppose that consumers can purchase a good environment in the market. If the price of such an environmental product or service increases by 1%, the consumption of that environmental product or service will decrease by σ% [49]. γ is the share of human well-being from environmental products or services at the current time point (t = 0), and there exists γ *:
γ * = γ E 1 1 σ 1 γ C 1 1 σ + γ E 1 1 σ
The discount rate (r) can be derived by differential Equation (7). The expression is as follows:
r = ρ + d d t U C C , E U C C , E
The subscript of the utility function represents the partial derivative in Equation (10). The point denotes the derivative of time, and ElX represents the elasticity of variable X. Then:
d d t U C C , E U C C , E = U C U C = U C C C U C C C + U C E E U C E E = E l C U C g c + E l E U C g E
where gC is the growth rate of per capita consumption, and gE is the change rate of the plastic pollution control value. According to Equation (8), the partial derivative of U with respect to C can be obtained as:
U C = σ σ 1 × 1 γ C 1 1 σ + γ E 1 1 σ σ 1 α σ 1 1 1 γ 1 1 σ C 1 σ
According to Equations (9) and (12), a simultaneous equation can be constructed. ElCUC can be expressed as:
E l C U C = 1 α σ σ 1 1 1 γ * 1 1 σ 1 σ = 1 σ α 1 γ * 1 σ
Similarly, ElEUC is expressed as follows:
E l E U C = 1 σ α γ *
According to Equations (11), (13) and (14), the discount rate (r) can be rewritten as follows:
r = ρ + 1 γ * α + γ * 1 σ g c + α 1 σ γ * g E
The traditional Ramsey discount rate (rl) is expressed as:
r l = ρ + α g c
In addition to the discount rate, it is necessary to consider the marginal price change of plastic pollution control services to evaluate the real value of plastic pollution control [50]. The marginal price is determined by UE/UC [28]. According to the concept that the derivative of the logarithm of the variable with respect to time is equal to its growth rate, the marginal price change rate (p) is expressed as follows:
p = d d t U E U C U E U C
According to Equation (8), the partial derivative of U with respect to E can be obtained as:
U E = σ σ 1 × 1 γ C 1 1 σ + γ E 1 1 σ σ 1 α σ 1 1 1 1 σ γ E 1 σ
According to Equations (12) and (18):
U E U C = γ 1 γ E C 1 σ
Therefore, the expression of price change rate (p) can be rewritten as:
p = 1 σ g C g E
We have obtained two core technical parameters to evaluate the value of plastic pollution control. R represents the combined effect of the change in the discount rate and marginal price [51]. According to Equations (15) and (20), the following equation was obtained:
R = r p = ρ + 1 γ * α 1 σ g C + γ * α + 1 γ * 1 σ g E
Finally, the expression of the value evaluation of plastic pollution control can be obtained as:
V = V 0 1 + R t
where V represents the total value of plastic pollution control, and V0 is the current price of plastic pollution control services.

3. Results

First, the sample descriptive statistics were conducted on 450 valid questionnaires, the basic sample information of which is shown in Table 6. A proportion of 79.33% of surveyed residents are willing to pay for plastic pollution treatment, indicating that plastic pollution had a negative impact on the living environment of the majority of respondents. There was not much difference in the gender ratio between male and female residents, and the age was concentrated in the youth and middle-age group (19~59 years old), accounting for 86.44%. Education level can reflect the cognitive level of the interviewed residents. In this study, 96.44% of the surveyed residents had received education, indicating that the majority had completed nine years of compulsory education, reflecting that they had a certain level of understanding of this experimental scenario simulation and ensuring the validity of the data. In addition, the average disposable income of respondents reached CNY 11,800, with 77.33% of respondents with a per capita disposable income of more than CNY 30,000, indicating that they had the economic basis to pay the cost of governance to obtain a better living environment. Furthermore, 61.33% of residents said they valued environmental importance, while only 1.78% said they did not care. With respect to the degree of impact (or damage) of plastic pollutants on the production and living environment, 28% and 49.56% of residents said that the impact is very great or relatively great, respectively, while only 4.22% and 2% of respondents said that the impact is relatively light or very light, respectively, which indicates that most residents could perceive the impact of plastic pollution on their living environment.
Then, we used STATA 14 software for data model fitting. The calculation results are shown in Table 7. The model exhibited good consistency during the goodness-of-fit test (pseudo R2 > 0.1) and passed the chi-square test with a level of significance of 1%.
First, from a statistical point of view, the sample estimation results show that all indicators were statistically significant at a threshold of 5%, demonstrating that the respondents are concerned about the three aspects of plastic pollution control. In terms of the parametric sign, the estimated coefficients of the disposable plastic product utilization rate (SR), the classification bin penetration rate (RC) and the open garbage retention rate (CU) were all positive, while the payment price (P) was negative, suggesting that with the development of plastic pollution governance, the use of disposable plastic products decreases, the popularity of classified trash cans increases, the retention of open-air plastic waste decreases and the environmental perception of residents increases. However, as the payment price increases, the level of utility obtained by respondents decreases. In general, the positive and negative results of the coefficient estimation were consistent with our expectations. Moreover, the greater the absolute value of a certain attribute coefficient, the more respondents prefer that attribute. We found that interviewees were more concerned about SR (0.4219189) and CU (0.3251452) and less concerned about RC (0.2030052), since the respondents come into contact with disposable plastic products in their daily lives and have a profound perception of visual pollution or “white pollution” but have a minimal perception of daily garbage classification. It is also highly conceivable that they find it difficult to accurately identify the respective functions of different colors of classified garbage cans.
The implied price can reflect residents’ preference for plastic pollution control projects. The implicit prices of feature attributes were calculated according to Equation (5), and the results (Table 8) reflect the comparison between the characteristics of plastic pollution control projects. The data in the table indicate the supply of source reduction, recycling and cleaning up services increases by one unit, and the respondents’ payment for each treatment project increases by CNY 32.79 per capita, CNY 15.78 per capita and CNY 25.27 per capita.
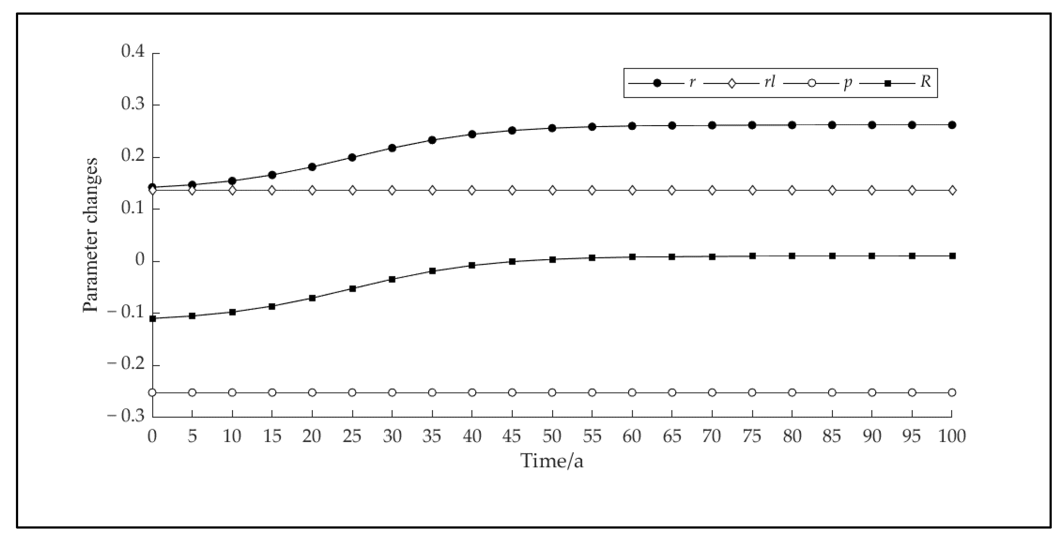
CS evaluates the willingness of residents to pay when their living environment changes from the current level to the optimum level set in this paper after implementing plastic pollution control services in the survey area. Equation (6) can be used to calculate the respondents’ willingness to pay (WTP is CNY 147.68 per capita). Then, using this approach, we simulated the discount rate and marginal price changes for the next 100 years. Before the simulation, the value of α was set to 1, the value of σ was 0.5, gC was assigned 12.59%, gE = 0 (the supply of plastic pollution control services remains unchanged) and the share of human welfare from environmental products or services was 5%. The changes in key technical parameters are shown in Figure 1.
Under the assigned key technical parameters, a fixed value of 0.1269 was calculated by the traditional model for the Ramsey discount rate (rl). With ασ < 1, the discount rate (r) calculated by the model was higher and slowly increased from 0.1442 to 0.2618, but 25.18% of its change was offset by the marginal price effect of the value of plastic pollution control. Accordingly, the actual discount rate, the change of combined effect (R), gradually increased from −0.1096 to 0.010.
The change in the plastic pollution control value under the action of R is shown in Figure 2. V is the value of plastic pollution control calculated by the dynamic model modified by marginal price change, which shows an increasing and decreasing trend. The cost of plastic pollution control increased from 147.68 (CNY per capita every a) to reach a peak at 637.30 (CNY per capita every a) after 20 years due to the strong effect of the marginal price change of plastic pollution control services. A decline stage from 637.30 (CNY per capita every a) to 54.69 (CNY per capita every a) was observed, which is attributed to the relatively weakened price effect caused by the increasing discount rate (3). The total value of plastic pollution control in 100 years was CNY 21,259.97 per capita.
The trend of the value curve showed that plastic pollution control should be implemented as soon as possible to minimize the increasing cost of treatment. If the treatment project were implemented after the peak value, future plastic pollution control would lead to expensive economic costs and impair social progression.
Considerable emphasis has been placed on the impact of different income marginal utility elasticity (α) and substitution elasticity (σ) values. In recent years, the value of income marginal utility elasticity has been widely discussed in academic circles, but no consensus has been reached because it deals with the environment and the evaluation results [48]. Regarding the value of elasticity of substitution, it is generally believed that income levels affect the substitution of general consumer goods with environmental products [49]. Therefore, we set two cases of α = 1.5 and α = 2 based on the initial value and selected a value of σ ranging from 0.1 to 0.9. Next, we discussed the impact of changes in these two parameters on the discount rate (r) and marginal price changes (p).
As shown in Table 9, for a given value of α, the discount rate (r) and the marginal price change (p) decreased with an increase in σ, while the combined effect (R) increased with an increase in σ. When σ is given, p remains constant, while r and R increase with an increase in α, and R is always lower than the Ramsey discount rate (rl). Via changes in key parameters, a high value of α results a higher weight than the current value (t = 0). With an increase in consumption level, the value of environmental goods is underestimated. Moreover, a higher σ suggests that people can easily obtain alternative consumer goods for environmental products, resulting in negative evaluation results.
Taking into account the complexity of plastic pollution abatement and the uncertainty of future contamination control development, we simulated the value change process under the conditions that the development of plastic pollution contamination service slowly declined at a rate of −1% and steadily increased at a rate of 1%. The simulation results (Figure 3) demonstrate that the governance value curve under different plastic pollution control development rates exhibited “Convergence of the overall fluctuation and different amplitude of changing range”. A comparative analysis of the values of the above parameters suggests that the evaluation method is operable in the application of plastic pollution governance and that the results are feasible as numerical simulation examples or sensitivity analysis.

4. Conclusions

This study is the first attempt to assess the environmental value of plastic pollution treatment by combining the conditional value assessment method with M. Hoel and T. Sterner’s economic evaluation model. Based on the perspective of different individual residents, we constructed a conditional logit model by designing a simulation scenario to study residents’ preferences and willingness to pay for the characteristics of plastic pollution control and measured the remaining plastic pollution control compensation of residents at the current point in time. We then took into account the discount rate, marginal price changes and other factors to comprehensively assess the value of plastic pollution control services and conduct numerical simulations. The results of this study reveal the residents’ preferences for a different plastic pollution management scheme and the urgency of plastic pollution management, as well as the promotion of plastic pollution management policies and the optimal allocation of management resources.
The similarity between this study and previous studies lies in the use of conditional logit models to estimate WTP. It was found that the three characteristic attributes (SR, RC and CU) have a significant positive (+) impact, which indicates that the utility of respondents increases with the improvement of attribute levels. This result is consistent with previous studies [13,14,22]. We found that the implicit price of SR (CNY 32.79 per capita) is higher than that of RC (CNY 15.78 per capita) and CU (CNY 25.27 per capita), possibly due to the improvement of public awareness of environmental protection and the cost of consumption of disposable plastic products in life. If residents can protect the environment while obtaining substitutes, they are willing to pay a fee [52]. In addition, the difference between this study and previous studies is that M. Hoel and T. Sterner’s economic evaluation model was used to simulate the change in plastic pollution control values. It was found that the treatment of plastic pollution has considerable environmental value (the total value of plastic pollution treatment for 100 a is CNY 21,259.97 per capita), showing the seriousness of the plastic pollution problem and the necessity of treatment. The results show that with the increase in the development rate of plastic pollution control services, the fluctuation peak of the value curve gradually decreased. From the perspective of cost–benefit analysis, this result shows that early solutions to the problem of plastic pollution in the environment can effectively reduce the burden of people’s cost payment for treatment services. Taken together, these findings can provide insights to aid in the formulation of policies. Under given governance resources constraints, we should formulate reasonable policy objectives, optimize resource allocation, consider relative priorities, increase resource investment in source reduction governance and maximize residents’ utility and policies.
This study is subject to some limitations. For example, there was a potential bias in the payment costs set in the questionnaire. Future research should use open-ended methods to obtain higher-quality data for a more in-depth and comprehensive analysis of the issue. In addition, this study only focused on plastic pollution control in China. Future research can extend the problem to other countries (regions).

Author Contributions

Conceptualization, L.H.; methodology and writing—review and editing, J.Y.; project administration, J.M. All authors have read and agreed to the published version of the manuscript.

Funding

This project is supported by the National Social Science Foundation of China (No. 20AJY010) and the Soft Science Foundation of Henan Province, China (No. 212400410082).

Institutional Review Board Statement

Not applicable.

Informed Consent Statement

Not applicable.

Data Availability Statement

All data used in this research can be provided upon request.

Conflicts of Interest

The authors declare that they have no conflicts of interest.

Appendix A

To ensure the feasibility of the experiment, we the orthogonal design module in IBM SPSS Statistics 26 software to screen and eliminate the unrealistic alternatives and obtained 10 combination schemes, which are shown in Table A1.
Table A1. Optional schemes.
Table A1. Optional schemes.
ItemAttribute
Source ReductionRecyclingCleanupPrice Paid
Scheme 1 (the benchmark scheme)The utilization rate of disposable plastic products is 100%The popularity rate of classification dustbins is 30%The frequency of seeing open-air plastic garbage is 100%CNY 0 per capita
Scheme 2The utilization rate of disposable plastic products decreases by 50%Classification dustbins are completely popularizedRetain the status quoCNY 112.5 per capita
Scheme 3The utilization rate of disposable plastic products decreases by 50%Retain the status quoThe frequency of seeing open-air plastic garbage decreases by 50%CNY 75 per capita
Scheme 4The utilization rate of disposable plastic products decreases by 50%The popularity rate of classification dustbins increases by 40%Retain the status quoCNY 37.5 per capita
Scheme 5Retain the status quoThe popularity rate of classification dustbins increases by 40%Retain the status quoCNY 37.5 per capita
Scheme 6Cease to use disposable plastic products Classification dustbins are completely popularizedOpen-air plastic garbage is completely removedCNY 75 per capita
Scheme 7The utilization rate of disposable plastic products decreases by 50%Retain the status quoThe frequency of seeing open-air plastic garbage decreases by 50%CNY 75 per capita
Scheme 8Retain the status quoClassification dustbins are completely popularizedOpen-air plastic garbage is completely removedCNY 112.5 per capita
Scheme 9Cease to use disposable plastic productsRetain the status quoOpen-air plastic garbage is completely removedCNY 37.5 per capita
Scheme 10Retain the status quoClassification dustbins are completely popularizedThe frequency of seeing open-air plastic garbage decreases by 50%CNY 75 per capita

References

  1. Wang, Q.; Qu, J.; Shi, B.; Chen, N.; Nie, M.; Yang, S. Prevention and Control of Waste Plastics Pollution in China. Strateg. Study Chin. Acad. Eng. 2021, 23, 160–166. [Google Scholar] [CrossRef]
  2. Plastics—The Facts. 2022. Available online: https://plasticseurope.org/knowledge-hub/plastics-the-facts-2022-2/ (accessed on 20 April 2023).
  3. Kumar, R.; Verma, A.; Shome, A.; Sinha, R.; Sinha, S.; Jha, P.K.; Kumar, R.; Kumar, P.; Shubham; Das, S.; et al. Impacts of Plastic Pollution on Ecosystem Services, Sustainable Development Goals, and Need to Focus on Circular Economy and Policy Interventions. Sustainability 2021, 13, 9963. [Google Scholar] [CrossRef]
  4. Leslie, H.A.; van Velzen, M.J.; Brandsma, S.H.; Vethaak, A.D.; Garcia-Vallejo, J.J.; Lamoree, M.H. Discovery and quantification of plastic particle pollution in human blood. Environ. Int. 2022, 163, 107199. [Google Scholar] [CrossRef]
  5. Bonanomi, M.; Salmistraro, N.; Porro, D.; Pinsino, A.; Colangelo, A.M.; Gaglio, D. Polystyrene micro and nano-particles induce metabolic rewiring in normal human colon cells: A risk factor for human health. Chemosphere 2022, 303, 134947. [Google Scholar] [CrossRef] [PubMed]
  6. Ding, R.; Ma, Y.; Li, T.; Sun, M.; Sun, Z.; Duan, J. The detrimental effects of micro-and nano-plastics on digestive system: An overview of oxidative stress-related adverse outcome pathway. Sci. Total Environ. 2023, 878, 163144. [Google Scholar] [CrossRef] [PubMed]
  7. MacLeod, M.; Arp, H.P.; Tekman, M.B.; Jahnke, A. The global threat from plastic pollution. Science 2021, 373, 61–65. [Google Scholar] [CrossRef]
  8. Ma, Z.; Niu, G.; Lu, S. China plastics industry (2021). China Plast. 2022, 36, 142–148. [Google Scholar] [CrossRef]
  9. Liu, Y.; Zhang, J.; Cai, C.; He, Y.; Chen, L.; Xiong, X.; Huang, H.; Tao, S.; Liu, W. Occurrence and characteristics of microplastics in the Haihe River: An investigation of a seagoing river flowing through a megacity in northern China. Environ. Pollut. 2020, 262, 114261. [Google Scholar] [CrossRef]
  10. Liang, T.; Lei, Z.; Fuad, M.T.; Wang, Q.; Sun, S.; Fang, J.K.; Liu, X. Distribution and potential sources of microplastics in sediments in remote lakes of Tibet, China. Sci. Total Environ. 2021, 806, 150526. [Google Scholar] [CrossRef]
  11. Zhang, X. Study on Willingness to Pay Based on Choice Experiment Method—A Case Study of Xiangjiang River Water Pollution. Resour. Dev. Mark. 2012, 28, 600–603. [Google Scholar] [CrossRef]
  12. Kim, H.-J.; Lee, Y. Economic Valuation of Improving Environmental Degradations in Korea Using Choice Experiment. Sustainability 2022, 14, 1600. [Google Scholar] [CrossRef]
  13. Meginnis, K.; Domanski, A.; Toledo-Gallegos, V.M. Is it up to business, governments, or individuals to tackle the marine plastic problem? A hybrid mixed logit approach. Mar. Pollut. Bull. 2022, 174, 113169. [Google Scholar] [CrossRef] [PubMed]
  14. Huynh, X.T.D.; Khong, T.D.; Loch, A.; Khai, H.V. Solid waste management program in developing countries: Contingent valuation methodology versus choice experiment. Environ. Dev. Sustain. 2022. pre-print. [Google Scholar] [CrossRef]
  15. Wang, J.; Lin, X. Global Ocean Governance in Addressing Plastic and Microplastic Pollution. Pac. J. 2018, 26, 79–87. [Google Scholar] [CrossRef]
  16. Cui, Y. Global Marine Plastics Governance: Progress, Predicament and China’s Participation. Pac. J. 2020, 28, 79–90. [Google Scholar] [CrossRef]
  17. Yang, Y.; Chen, L.; Xue, L. Looking for a Chinese solution to global problems: The situation and countermeasures of marine plastic waste and microplastics pollution governance system in China. China Popul. Resour. Environ. 2020, 30, 45–52. [Google Scholar] [CrossRef]
  18. Chambers, C.M.; Chambers, P.E.; Whitehead, J.C. Contingent Valuation of Quasi-Public Goods: Validity, Reliability, and Application To Valuing a Historic Site. Public Financ. Rev. 1998, 26, 137–154. [Google Scholar] [CrossRef]
  19. Grisolía, J.M.; Willis, K.G. Consumer choice of theatrical productions: A combined revealed preference–stated preference approach. Empir. Econ. 2016, 50, 933–957. [Google Scholar] [CrossRef]
  20. Hatton MacDonald, D.; Morrison, M.; Rose, J.M.; Boyle, K.J. Valuing a Multistate River: The Case of the River Murray. Econom. Appl. Econom. Model. E J. 2011, 55, 374–392. [Google Scholar] [CrossRef]
  21. Bostan, Y.; Ardakani, A.F.; Sani, M.F.; Sadeghinia, M. A comparison of stated preferences methods for the valuation of natural resources: The case of contingent valuation and choice experiment. Int. J. Environ. Sci. Technol. 2022, 17, 4031–4046. [Google Scholar] [CrossRef]
  22. Chen, Y.-C. Estimation of willingness-to-pay for the MSW disposal system by choice experiment approach: A case study of Taiwan. Waste Manag. Res. 2019, 37, 365–373. [Google Scholar] [CrossRef]
  23. Wieczerak, T.; Lal, P.; Witherell, B.; Oluoch, S. Public preferences for green infrastructure improvements in Northern New Jersey: A discrete choice experiment approach. SN Soc. Sci. 2022, 2, 15. [Google Scholar] [CrossRef]
  24. McFadden, D. Conditional Logit Analysis of Qualitative Choice Behavior. In Frontiers in Econometrics; Zarembka, P., Ed.; Academic Press: New York, NY, USA, 1974; pp. 105–142. [Google Scholar]
  25. Török, Á.; Gorton, M.; Yeh, C.-H.; Czine, P.; Balogh, P. Understanding Consumers’ Preferences for Protected Geographical Indications: A Choice Experiment with Hungarian Sausage Consumers. Foods 2022, 11, 997. [Google Scholar] [CrossRef]
  26. Dias, V.; Belcher, K.W. Value and provision of ecosystem services from prairie wetlands: A choice experiment approach. Ecosyst. Serv. 2015, 15, 35–44. [Google Scholar] [CrossRef]
  27. Hanley, N.; Wright, R.E.; Adamowicz, V. Using Choice Experiments to Value the Environment. Environ. Resour. Econ. 1998, 11, 413–428. [Google Scholar] [CrossRef]
  28. Hoel, M.; Sterner, T. Discounting and relative prices. Clim. Chang. 2007, 84, 265–280. [Google Scholar] [CrossRef]
  29. National Development and Reform Commission. Development and Reform Environmental Capital (2021). No. 1298, Dated 8 September 2021. Available online: https://www.ndrc.gov.cn/xxgk/zcfb/tz/202109/t20210915_1296580_ext.html (accessed on 20 April 2023).
  30. Hu, X.J. China’s Whole Chain Management of Plastic Pollution. Ecol. Econ. 2021, 11, 9–12. [Google Scholar]
  31. Ma, Z.; Niu, G.; Lu, S. China plastics industry (2022). China Plast. 2022, 37, 110–115. [Google Scholar] [CrossRef]
  32. McConnell, K. Models for referendum data: The structure of discrete choice models for contingent valuation. J. Environ. Econ. Manag. 1990, 18, 19–34. [Google Scholar] [CrossRef]
  33. Latinopoulos, D. Using a choice experiment to estimate the social benefits from improved water supply services. J. Integr. Environ. Sci. 2014, 11, 187–204. [Google Scholar] [CrossRef]
  34. Wei, J. Value and Heterogeneity: Using a Choice Experiment to Evaluate the Coastal Recreational Environment. J. Resour. Ecol. 2021, 12, 80–90. [Google Scholar] [CrossRef]
  35. Chang, M.-Y.; Hsu, Y.-S.; Chen, H.-S. Choice Experiment Method for Sustainable Tourism in Theme Parks. Sustainability 2021, 13, 7146. [Google Scholar] [CrossRef]
  36. Aravena, C.C.; Martinsson, P.; Scarpa, R. Does money talk?—The effect of a monetary attribute on the marginal values in a choice experiment. Energy Econ. 2014, 44, 483–491. [Google Scholar] [CrossRef]
  37. Liu, Y.; Lv, J.; Liao, X.; Yan, J. Understanding Fishermen’s Willingness and Preferences for Eco-compensation of Lake Conservation Projects: A Case Study From Nansi Lake Nature Reserve, China. Environ. Manag. 2022, 70, 513–525. [Google Scholar] [CrossRef] [PubMed]
  38. Mashayekhi, Z.; Danehkar, A.; Sharzehi, G.A.; Majed, V. Coastal Communities WTA Compensation for conservation of mangrove forests: A choice experiment approach. Knowl. Manag. Aquat. Ecosyst. 2016, 417, 20. [Google Scholar] [CrossRef]
  39. Bateman, I.J.; Mace, G.M.; Fezzi, C.; Atkinson, G.; Turner, K. Economic analysis for ecosystem service assessments. Environ. Resour. Econ. 2011, 48, 177–218. [Google Scholar] [CrossRef]
  40. Bennett, E.M.; Cramer, W.; Begossi, A.; Cundill, G.; Díaz, S.; Egoh, B.N.; Geijzendorffer, I.R.; Krug, C.B.; Lavorel, S.; Lazos, E.; et al. Linking biodiversity, ecosystem services, and human well-being: Three challenges for designing research for sustainability. Curr. Opin. Environ. Sustain. 2015, 14, 76–85. [Google Scholar] [CrossRef]
  41. Rodríguez, J.P.; Beard, T.D., Jr.; Bennett, E.M.; Cumming, G.S.; Cork, S.J.; Agard, J.; Dobson, A.P.; Peterson, G.D. Trade-offs across Space, Time, and Ecosystem Services. Ecol. Soc. 2006, 11, 28. [Google Scholar] [CrossRef]
  42. Davidson, M.D. Climate change and the ethics of discounting. Wiley Interdiscip. Rev. Clim. Chang. 2015, 6, 401–402. [Google Scholar] [CrossRef]
  43. Davidson, M.D. Intergenerational Justice: How Reasonable Man Discounts Climate Damage. Sustainability 2012, 4, 106–122. [Google Scholar] [CrossRef]
  44. Kumar, P.; Esen, S.E.; Yashiro, M. Linking ecosystem services to strategic environmental assessment in development policies. Environ. Impact Assess. Rev. 2013, 40, 75–81. [Google Scholar] [CrossRef]
  45. Liu, H.; Liu, H. Value evaluation of biodiversity conservation in Dongting lake wetland. J. Cent. South Univ. For. Technol. 2021, 41, 140–147. [Google Scholar] [CrossRef]
  46. Quaas, M.F.; Baumgärtner, S.; Drupp, M.A.; Meya, J.N. Intertemporal Utility with Heterogeneous Goods and Constant Elasticity of Substitution. Econ. Lett. 2020, 191, 109902. [Google Scholar] [CrossRef]
  47. Echazu, L.; Nocetti, D.C.; Smith, W.T. A New Look into the Determinants of the Ecological Discount Rate: Disentangling Social Preferences. BE J. Econ. Anal. Policy 2011, 12, 1–44. [Google Scholar] [CrossRef]
  48. Drupp, M.A. Limits to Substitution Between Ecosystem Services and Manufactured Goods and Implications for Social Discounting. Environ. Resour. Econ. 2018, 69, 135–158. [Google Scholar] [CrossRef]
  49. Gerlagh, R.; Zwaan, B.C.C. Long-Term Substitutability between Environmental and Man-Made Goods. J. Environ. Econ. Manag. 2002, 44, 329–345. [Google Scholar] [CrossRef]
  50. Drupp, M.A.; Hänsel, M. Relative Prices and Climate Policy: How the Scarcity of Non-Market Goods Drives Policy Evaluation. Am. Econ. J. Econ. Policy 2021, 13, 168–201. [Google Scholar] [CrossRef]
  51. Sterner, T.; Persson, U.M. An even sterner review: Introducing relative prices into the discounting debate. Rev. Environ. Econ. Policy 2008, 2, 61–76. [Google Scholar] [CrossRef]
  52. Angriani, P.; Muhaimin, M.; Hastuti, K.P.; Adyatma, S.; Saputra, A.N. Ban on Plastic Bags Usage: Consumer Perception of Single-Use Plastic Bags in Traditional Market. In Proceedings of the 2nd International Conference on Social Sciences Education (ICSSE 2020), Virtually, 24–27 September 2020; pp. 226–232. [Google Scholar] [CrossRef]
Figure 1. The change in key technical parameters.
Figure 1. The change in key technical parameters.
Sustainability 15 10265 g001
Figure 2. The value curve of plastic pollution control.
Figure 2. The value curve of plastic pollution control.
Sustainability 15 10265 g002
Figure 3. Comparison of value changes under different development rates of plastic pollution control service.
Figure 3. Comparison of value changes under different development rates of plastic pollution control service.
Sustainability 15 10265 g003
Table 1. Summary of the attribute index of the plastic pollution control project.
Table 1. Summary of the attribute index of the plastic pollution control project.
Item AttributeIndexAttribute LevelInterpretation of Attribute Indicators and Level
Source reductionFrequency of use of disposable plastic products30 days every month *The frequency of use of disposable plastic products is used as an indicator to measure source reduction. The lower the frequency, the better the implementation of source reduction.
15 days every month
0 days every month
RecyclingPopularization rate of classification dustbinsPopularization of 30% *Taking the popularity rate of classified garbage cans as an indicator to measure the recycling situation, the higher the popularity rate, the better the implementation of recycling work.
Popularization of 70%
Full popularization
CleanupFrequency of seeing open-air plastic garbage30 days every month *Taking the frequency of seeing open-air plastic waste as an indicator to measure the cleaning and remediation situation, the lower the frequency, the better the implementation of cleaning and remediation work.
15 days every month
0 days every month
Price paid0, 37.5, 75, 112.5 (CNY per capita)CNY 0 per capitaIn the presurvey, the minimum value of the adjustment object’s willingness to pay was 0, and the maximum willingness to pay was 75, with 50% of the maximum value as the middle level and the highest level.
CNY 37.5 per capita
CNY 75 per capita
CNY 112.5 per capita
Note: The attribute level of * is the current level, followed by improved levels 1 and 2.
Table 2. Sample selection set.
Table 2. Sample selection set.
Item AttributeOption 1Option 2Option 3Option 4
(Datum Scheme)
Source reductionThe utilization rate of disposable plastic products decreases by 50%The utilization rate of disposable plastic products decreases by 50%The utilization rate of disposable plastic products decreases by 50%The utilization rate of disposable plastic products is 100%
RecyclingThe popularity rate of classification dustbins increases by 40%Classification dustbins are completely popularizedRetain the status quoThe popularity rate of classification dustbins is 30%
CleanupRetain the status quoRetain the status quoThe frequency of seeing open-air plastic garbage decreases by 50%The frequency of seeing open-air plastic garbage is 100%
Price paidCNY 37.5 per capitaCNY 112.5 per capitaCNY 75 per capitaCNY 0 per capita
Table 3. Statistics of questionnaire collection.
Table 3. Statistics of questionnaire collection.
ItemNumberPercentage
Valid questionnaire45092.40%
Invalid questionnaire377.60%
Total487100%
Table 4. Variable setting and expectation of parameter symbols.
Table 4. Variable setting and expectation of parameter symbols.
Item AttributeVariableIndexExpectation of Parameter Symbols
Source reductionSRFrequency of use of disposable plastic products+
RecyclingRCPopularization rate of classification dustbins+
CleanupCUFrequency of seeing open-air plastic garbage+
Price paidP0, 37.5, 75, 112.5 (CNY per capita)
Table 5. Variance inflation factor (VIF).
Table 5. Variance inflation factor (VIF).
VariableVIF1/VIF
RC2.740.364935
CU2.690.371169
P1.160.863991
Mean VIF2.20-
Table 6. Descriptive statistics of basic sample characteristics.
Table 6. Descriptive statistics of basic sample characteristics.
Demographic FactorsNumberPercentage
GenderFemale24354%
Male20746%
AgeBelow 19419.11%
19–3530868.44%
36–608118%
Above 60204.44%
Duration of education0 a163.56%
1–6 a6113.56%
7–9 a10924.22%
10–12 a10122.44%
Above 13 a16236%
Per capita disposable incomeBelow CNY 10,000 10122.44%
CNY 10,000–24,00010924.22%
Above CNY 24,000 23953.11%
Importance of environmentDo not care at all81.78%
No concern122.67%
General15434.22%
Comparative importance19944.22%
Great importance7717.11%
Environmental impact of plastic wasteA little92%
Relatively little194.22%
Average7316.22%
More Serious22349.56%
Extremely Serious12628%
Willingness to pay for plastic pollution controlWillingness to pay35779.33%
Unwillingness to pay9320.67%
Total450100%
Note: a represents the year.
Table 7. The regression results of the conditional logit model.
Table 7. The regression results of the conditional logit model.
ChoiceCoef.Std. Err.ZP > |Z|
SR0.42191890.19600562.150.031 **
RC0.20300520.12007631.690.091 **
CU0.32514520.14639452.220.024 **
P−0.48247420.1961799−2.460.009 ***
Number of obs. 3570
Log likelihood −87.16734
Prob > chi2 0.00979 ***
Pseudo R2 0.1368
Note: ** and *** indicate significance at 5% and 1%, respectively.
Table 8. Implicit prices of each attribute of plastic pollution control.
Table 8. Implicit prices of each attribute of plastic pollution control.
VariableImplicit Price (CNY per Capita)Serial
SR32.791
RC15.783
CU25.272
Table 9. Changes in parameters under different income marginal utility elasticity and substitution elasticity values (time t = 0).
Table 9. Changes in parameters under different income marginal utility elasticity and substitution elasticity values (time t = 0).
αrlσrpR
10.13590.10.19261.2590−1.0664
10.13590.30.15060.4197−0.2691
10.13590.50.14220.2518−0.1096
10.13590.70.13860.1799−0.0413
10.13590.90.13660.1399−0.0033
1.50.19890.10.25241.2590−1.0066
1.50.19890.30.21040.4197−0.2093
1.50.19890.50.20200.2518−0.0498
1.50.19890.70.19840.17990.0185
1.50.19890.90.19640.13990.0565
20.26180.10.31221.2590−0.9468
20.26180.30.27020.4197−0.1495
20.26180.50.26180.25180.0100
20.26180.70.25820.17990.0783
20.26180.90.25620.13990.1163
Disclaimer/Publisher’s Note: The statements, opinions and data contained in all publications are solely those of the individual author(s) and contributor(s) and not of MDPI and/or the editor(s). MDPI and/or the editor(s) disclaim responsibility for any injury to people or property resulting from any ideas, methods, instructions or products referred to in the content.

Share and Cite

MDPI and ACS Style

Han, L.; You, J.; Meng, J. Environmental Value Assessment of Plastic Pollution Control: A Study Based on Evidence from a Survey in China. Sustainability 2023, 15, 10265. https://doi.org/10.3390/su151310265

AMA Style

Han L, You J, Meng J. Environmental Value Assessment of Plastic Pollution Control: A Study Based on Evidence from a Survey in China. Sustainability. 2023; 15(13):10265. https://doi.org/10.3390/su151310265

Chicago/Turabian Style

Han, Lingmei, Jianqiang You, and Jiening Meng. 2023. "Environmental Value Assessment of Plastic Pollution Control: A Study Based on Evidence from a Survey in China" Sustainability 15, no. 13: 10265. https://doi.org/10.3390/su151310265

APA Style

Han, L., You, J., & Meng, J. (2023). Environmental Value Assessment of Plastic Pollution Control: A Study Based on Evidence from a Survey in China. Sustainability, 15(13), 10265. https://doi.org/10.3390/su151310265

Note that from the first issue of 2016, this journal uses article numbers instead of page numbers. See further details here.

Article Metrics

Back to TopTop