Water Requirements and Comprehensive Benefit Evaluation of Diversified Crop Rotations in the Huang-Huai Plain
Abstract
1. Introduction
2. Materials and Methods
2.1. Study Area
2.2. Data Sources
2.2.1. Meteorological Data
2.2.2. Crop and Crop Parameters
2.3. Classification of Precipitation Year Type
2.4. Alternative Crop Rotations Establishment
2.5. Calculation Method
2.6. Statistical Analysis
3. Results
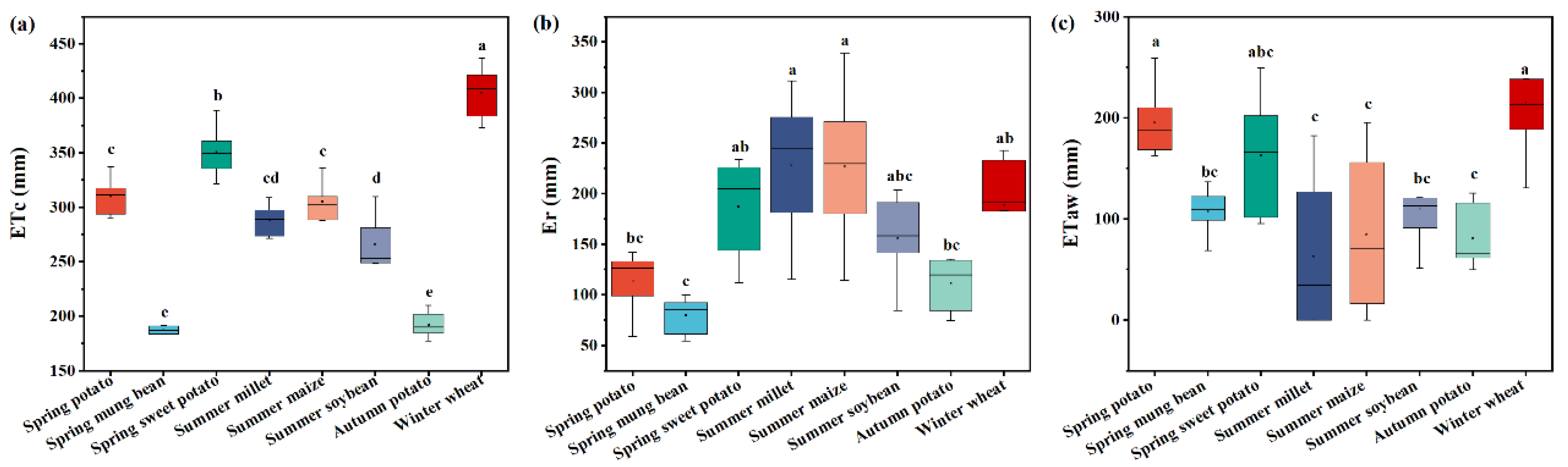
3.1. Water Requirements of Eight Crops in the Growing Season
3.2. Water Requirements of Different Crop Rotations during the Growing Season
3.3. Annual Water Requirement and Precipitation Coupling Degree of Different Crop Rotations
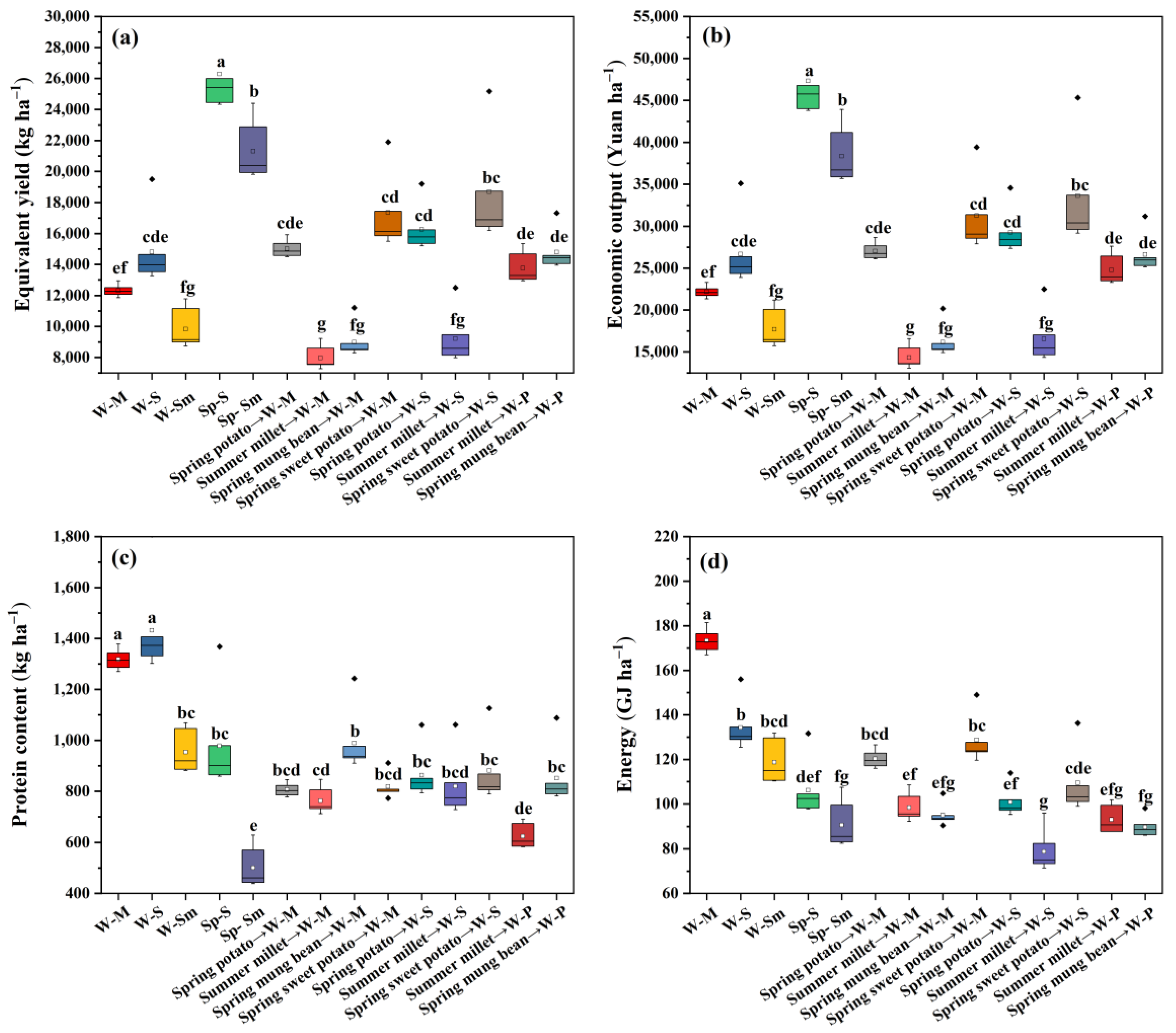
3.4. System Output of Different Crop Rotations
3.5. Comprehensive Evaluation of Diversified Crop Rotations by Entropy-TOPSIS
4. Discussion
4.1. Water Requirements of Diversified Crop Rotations
4.2. Multiple Utilities of Diversified Crop Rotations
4.3. Implications
5. Conclusions
Author Contributions
Funding
Institutional Review Board Statement
Informed Consent Statement
Data Availability Statement
Conflicts of Interest
References
- Bowles, T.M.; Mooshammer, M.; Socolar, Y.; Calderón, F.; Cavigelli, M.A.; Culman, S.W.; Deen, W.; Drury, C.F.; Garcia y Garcia, A.; Gaudin, A.C.M.; et al. Long-term evidence shows that crop-rotation diversification increases agricultural resilience to adverse growing conditions in North America. One Earth 2020, 2, 284–293. [Google Scholar] [CrossRef]
- Massawe, F.; Mayes, S.; Cheng, A. Crop diversity: An unexploited treasure trove for food security. Trends Plant Sci. 2016, 21, 365–368. [Google Scholar] [CrossRef] [PubMed]
- Hufnagel, J.; Reckling, M.; Ewert, F. Diverse approaches to crop diversification in agricultural research. A review. Agron. Sustain. Dev. 2020, 40, 14. [Google Scholar] [CrossRef]
- Lin, B.B. Resilience in agriculture through crop diversification: Adaptive management for environmental change. Bioscience 2011, 61, 183–193. [Google Scholar] [CrossRef]
- Yang, X.L.; Chen, Y.Q.; Pacenka, S.; Gao, W.S.; Ma, L.; Wang, G.Y.; Yan, P.; Sui, P.; Steenhuis, T.S. Effect of diversified crop rotations on groundwater levels and crop water productivity in the North China Plain. J. Hydrol. 2015, 522, 428–438. [Google Scholar] [CrossRef]
- Wang, S.Q.; Xiong, J.R.; Yang, B.Y.; Yang, X.L.; Du, T.S.; Steenhuis, T.S.; Siddique, K.H.; Kang, S.Z. Diversified crop rotations reduce groundwater use and enhance system resilience. Agric. Water. Manag. 2023, 276, 108067. [Google Scholar] [CrossRef]
- Zhou, S.M.; Zhang, M.; Zhang, K.K.; Yang, X.W.; He, D.X.; Jun, Y.I.N.; Wang, C.Y. Effects of reduced nitrogen and suitable soil moisture on wheat (Triticum aestivum L.) rhizosphere soil microbiological, biochemical properties and yield in the Huanghuai Plain, China. J. Integr. Agric. 2020, 19, 234–250. [Google Scholar] [CrossRef]
- Song, N.; Sun, J.S.; Wang, J.L.; Chen, Z.F.; Liu, Z.G. Temporal and spatial variation of water requirement of winter wheat and its influencing factors in Henan Province. Chin. J. Ecol. 2014, 25, 1693–1700. (In Chinese) [Google Scholar] [CrossRef]
- Yang, X.L.; Steenhuis, T.S.; Davis, K.F.; van der Werf, W.; Ritsema, C.J.; Pacenka, S.; Zhang, F.S.; Siddique, K.H.; Du, T.S. Diversified crop rotations enhance groundwater and economic sustainability of food production. Food Energy Secur. 2021, 10, e311. [Google Scholar] [CrossRef]
- Maiga, A.; Alhameid, A.; Singh, S.; Polat, A.; Singh, J.; Kumar, S.; Osborne, S. Responses of soil organic carbon, aggregate stability, carbon and nitrogen fractions to 15 and 24 years of no-till diversified crop rotations. Soil Res. 2019, 57, 149–157. [Google Scholar] [CrossRef]
- Jarecki, M.; Grant, B.; Smith, W.; Deen, B.; Drury, C.; VanderZaag, A.; Qian, B.; Yang, J.; Wagner-Riddle, C. Long-term trends in corn yields and soil carbon under diversified crop rotations. J. Environ. Qual. 2022, 47, 635–643. [Google Scholar] [CrossRef] [PubMed]
- Garbelini, L.G.; Debiasi, H.; Junior, A.A.B.; Franchini, J.C.; Coelho, A.E.; Telles, T.S. Diversified crop rotations increase the yield and economic efficiency of grain production systems. Eur. J. Agron. 2022, 137, 126528. [Google Scholar] [CrossRef]
- Sainju, U.M.; Lenssen, A.W.; Allen, B.L.; Jabro, J.D.; Stevens, W.B. Crop water and nitrogen productivity in response to long-term diversified crop rotations and management systems. Agric. Water. Manag. 2021, 257, 107149. [Google Scholar] [CrossRef]
- Meena, O.P.; Sammauria, R.; Gupta, A.K.; Gupta, K.C.; Behera, B.; Saxena, R.; Yadav, M.R.; Singh, P.; Meena, R.K.; Raza, M.B.; et al. Energy-Carbon Footprint vis-à-vis System Productivity and Profitability of Diversified Crop Rotations in Semi-arid Plains of North-West India. J. Soil Sci. Plant Nutr. 2022, 22, 2026–2041. [Google Scholar] [CrossRef]
- Renwick, L.L.; Deen, W.; Silva, L.; Gilbert, M.E.; Maxwell, T.; Bowles, T.M.; Gaudin, A.C. Long-term crop rotation diversification enhances maize drought resistance through soil organic matter. Environ. Res. Lett. 2021, 16, 084067. [Google Scholar] [CrossRef]
- Jalli, M.; Huusela, E.; Jalli, H.; Kauppi, K.; Niemi, M.; Himanen, S.; Jauhiainen, L. Effects of crop rotation on spring wheat yield and pest occurrence in different tillage systems: A multi-year experiment in Finnish growing conditions. Front. Sustain. Food Syst. 2021, 5, 647335. [Google Scholar] [CrossRef]
- Gao, F.; Luan, X.B.; Yin, Y.L.; Sun, S.K.; Li, Y.; Mo, F.; Wang, J.H. Exploring long-term impacts of different crop rotation systems on sustainable use of groundwater resources using DSSAT model. J. Clean. Prod. 2022, 336, 130377. [Google Scholar] [CrossRef]
- Yang, X.L.; Chen, Y.Q.; Steenhuis, T.S.; Pacenka, S.; Gao, W.S.; Ma, L.; Zhang, M.; Sui, P. Mitigating groundwater depletion in North China Plain with cropping system that alternate deep and shallow rooted crops. Front. Plant Sci. 2017, 8, 980. [Google Scholar] [CrossRef]
- Wang, L.; Zhao, Y.; Al-Kaisi, M.; Yang, J.; Chen, Y.; Sui, P. Effects of Seven Diversified Crop Rotations on Selected Soil Health Indicators and Wheat Productivity. Agronomy 2020, 10, 235. [Google Scholar] [CrossRef]
- Sun, H.Y.; Zhang, X.Y.; Liu, X.J.; Liu, X.W.; Shao, L.W.; Chen, S.Y.; Wang, J.T.; Dong, X.L. Impact of different cropping systems and irrigation schedules on evapotranspiration, grain yield and groundwater level in the North China Plain. Agric. Water. Manag. 2019, 211, 202–209. [Google Scholar] [CrossRef]
- Gao, B.; Ju, X.T.; Meng, Q.F.; Cui, Z.L.; Christie, P.; Chen, X.P.; Zhang, F.S. The impact of alternative cropping systems on global warming potential, grain yield and groundwater use. Agric. Ecosyst. Environ. 2015, 203, 46–54. [Google Scholar] [CrossRef]
- Luo, J.M.; Shen, Y.J.; Qi, Y.Q.; Zhang, Y.C.; Xiao, D.P. Evaluating water conservation effects due to cropping system optimization on the Beijing-Tianjin-Hebei plain, China. Agric. Syst. 2018, 159, 32–41. [Google Scholar] [CrossRef]
- Zhang, Y.F.; Guo, Y.; Shen, Y.J.; Qi, Y.Q.; Luo, J.M. The impact of changes in planting structure on agricultural water demand in the North China Plain. Chin. J. Eco-Agric. 2020, 28, 8–16. [Google Scholar] [CrossRef]
- Luo, J.; Zhang, H.; Qi, Y.; Pei, H.; Shen, Y. Balancing water and food by optimizing the planting structure in the Beijing–Tianjin–Hebei region, China. Agric. Water. Manag. 2022, 262, 107326. [Google Scholar] [CrossRef]
- Davis, K.F.; Chhatre, A.; Rao, N.D.; Singh, D.; Ghosh-Jerath, S.; Mridul, A.; Poblete-Cazenave, M.; Pradhan, N.; DeFries, R. Assessing the sustainability of post-Green Revolution cereals in India. Proc. Natl. Acad. Sci. USA 2019, 116, 25034–25041. [Google Scholar] [CrossRef] [PubMed]
- Groot, J.; Yang, X.L. Trade-Offs in the design of sustainable cropping systems at a regional level: A case study on the North China Plain. FASE 2022, 9, 295–308. [Google Scholar] [CrossRef]
- Zhang, Z. High-yielding wheat planting technology and green control of pests and weeds in Shangqiu City, Henan Province. Agric. Eng. Technol. 2021, 41, 61–63. (In Chinese) [Google Scholar] [CrossRef]
- Han, B.; Zeng, H.; Wang, S.Z.; Shi, H.M.; Sun, X.H.; Wang, Y.M. High-yielding cultivation, and management techniques for semi-winter wheat in Shangqiu City. Agric. Sci. Technol. Commun. 2012, 5, 162–163. (In Chinese) [Google Scholar]
- Guo, T.Z.; Li, Z.P. Screening study on new maize varieties suitable for summer sowing in Joon County, Henan Province. Agric. Sci. Technol. Commun. 2020, 4, 50–52. (In Chinese) [Google Scholar]
- Li, M. Ace potato seed—Yuyu No. 10. Agric. Technol. Serv. 1997, 4, 23–24. (In Chinese) [Google Scholar]
- Kang, Z.H. New high-yielding and early-maturing green bean varieties. Chin. Rural Sci. Technol. 2002, 10, 16–17. (In Chinese) [Google Scholar]
- Liu, Z.L.; Ying, F.Q. Cultivation techniques for autumn planting of potatoes in the Central Plains two-season crop zone. Anhui Agric. Bull. 2006, 7, 93–156. (In Chinese) [Google Scholar]
- Chen, X.W.; Chen, K. High yield and high efficiency cultivation techniques of soybean in Shangqiu Area. Anhui Agric. Bull. 2017, 23, 57–58. (In Chinese) [Google Scholar] [CrossRef]
- Liang, X.A.; Sun, X.Z. Three high-efficiency cultivation patterns for spring potato, spring maize and autumn-winter cauliflower. Henan Agric. Sci. 2005, 8, 79–80. (In Chinese) [Google Scholar]
- Wu, Q.F. Reason for the low yield and cultivation techniques with good-quality and high-yielding of millet in the North Henan. Anhui Agric. Sci. 2003, 31, 443–444. (In Chinese) [Google Scholar] [CrossRef]
- Huang, T.; Xu, D.J.; Wan, C.Q. Determination and analysis of the protein content and hardness of wheat. Anhui Agric. Sci. 2007, 30, 9485–9487. (In Chinese) [Google Scholar] [CrossRef]
- Li, X.H.; Shen, S.X.; Li, Y.L.; Cao, W.M.; Du, H. QTL analysis of protein content in high-oil maize using seed trait QTL explorer. Crop. J. 2011, 4, 40–42. (In Chinese) [Google Scholar] [CrossRef]
- Yang, S.; Xu, L.; Liu, H.M. Determination of protein and water soluble sugar sontent in potato. Agric. Prod. Process. 2022, 5, 71–73. (In Chinese) [Google Scholar] [CrossRef]
- FAO. FAO/INFOODS Food Composition Database for Biodiversity—Version 4.0 (BioFoodComp4.0); Food and Agriculture Orgnaization of the United Nations: Rome, Italy, 2012. Available online: https://www.fao.org/infoods/infoods/tables-and-databases/faoinfoods-databases/en/ (accessed on 1 January 2021).
- Ning, H.L.; Hu, G.H.; Li, W.B.; Li, W.X. The effects of based NPK fertilizer on protein content in soybean. Soybean Sci. 2006, 3, 288–293. (In Chinese) [Google Scholar]
- Liang, Z.P.; Gong, L. Effect of different dosages of nitrogen fertilizer on protein content of cereals. Chin. High-Technol. Enterp. 2011, 36, 99–100. (In Chinese) [Google Scholar] [CrossRef]
- Li, R.G.; Guo, S.Y.; Wang, H.Y. Measurement of content of protein and vitamin c green gram in germination periods and its nutritional value. Food Res. Dev. 2012, 33, 170–173. (In Chinese) [Google Scholar]
- Chen, F. Nongyeshengtaixue, 2nd ed.; China Agricultural University Press: Beijing, China, 2011. (In Chinese) [Google Scholar]
- Zhao, A.J.; Feng, C.T.; Zhou, J.H. Determination of the heat of combustion of cereals. Henan Sci. 2014, 32, 1189–1192. (In Chinese) [Google Scholar] [CrossRef]
- He, P.; Zhang, J.J. Determination and analysis of the calorific values of carbohydrates and common crops in the northern. Grain Fats 2018, 31, 79–81. (In Chinese) [Google Scholar]
- Henan Bureau of Statistics. Henan Agricultural Statistical Yearbook, China. 2019. Available online: http://www.stats.gov.cn/ (accessed on 1 January 2021).
- Wang, B.; van Dam, J.; Yang, X.L.; Ritsema, C.; Du, T.S.; Kang, S.Z. Reducing water productivity gap by optimizing irrigation regime for winter wheat-summer maize system in the North China Plain. Agric. Water. Manag. 2023, 280, 108229. [Google Scholar] [CrossRef]
- Dogliotti, S.; Rossing, W.A.H.; van Ittersum, M.K. ROTAT, a tool for systematically generating crop rotations. Eur. J. Agron. 2003, 19, 239–250. [Google Scholar] [CrossRef]
- Snyder, R.L.; Geng, S.; Orang, M.N.; Matyac, J.S.; Sarreshteh, S. A simulation model for ET of applied water. Acta Hortic. 2004, 664, 623–629. [Google Scholar] [CrossRef]
- Snyder, R.L.; Orang, M.N.; Matyac, S.G.J.S.; Sarreshteh, S. SIMETAW (Simulation of Evapotranspiration of Applied Water), 2005, California. Calif. Water Plan Update 2005, 4, 211–226. [Google Scholar]
- Snyder, R.L.; Geng, S.; Orang, M.; Sarreshteh, S. Calculation and simulation of evapotranspiration of applied water. J. Integr. Agric. 2012, 11, 489–501. [Google Scholar] [CrossRef]
- Shao, Y.; Zhu, Q.Y.; Weng, Z.P. Research on resource utilization efficiency of different crop rotation modes based on equivalent yield. Henan Agric. Sci. 2020, 49, 45–53. (In Chinese) [Google Scholar] [CrossRef]
- Liu, X.G.; Peng, Y.L.; Yang, Q.L.; Wang, X.K.; Cui, N.B. Determining optimal deficit irrigation and fertilization to increase mango yield, quality, and WUE in a dry hot environment based on TOPSIS. Agric. Water. Manag. 2021, 245, 106650. [Google Scholar] [CrossRef]
- Zhong, Z.Z.; Zhao, J.B.; Yu, X.C.; Ju, H. Calculation and analysis of water demand of major dryland crops in Northern China. Chin. J. Agrometeorol. 2000, 2, 2–5+53. (In Chinese) [Google Scholar]
- Mo, Y.C.; Bao, Z.X.; Song, X.M.; Wang, G.Q.; Liu, C.S.; Tian, Y.M. Study on the spatial-temporal evolution of water demand and water shortage of main crops in the Huang Huai Hai basin from 1961 to 2017. J. North Chin. Univ. Water Res. Hydr. 2022, 43, 49–60. [Google Scholar] [CrossRef]
- Bano, H.; Athar, H.U.R.; Zafar, Z.U.; Ogbaga, C.C.; Ashraf, M. Peroxidase activity and operation of photo-protective component of NPQ play key roles in drought tolerance of mung bean [Vigna radiata (L.) Wilcziek]. Physiol. Plant. 2021, 172, 603–614. [Google Scholar] [CrossRef]
- Obidiegwu, J.E.; Bryan, G.J.; Jones, H.G.; Prashar, A. Coping with drought: Stress and adaptive responses in potato and perspectives for improvement. Front. Plant Sci. 2015, 6, 542. [Google Scholar] [CrossRef]
- Pant, S.R.; Irigoyen, S.; Doust, A.N.; Scholthof, K.B.G.; Mandadi, K.K. Setaria: A food crop and translational research model for C-4 grasses. Front. Plant Sci. 2016, 7, 1885. [Google Scholar] [CrossRef]
- Yang, X.L.; Chen, Y.Q.; Pacenka, S.; Steenhuis, T.S.; Sui, P. Managing food and bioenergy crops with declining groundwater levels in the North China Plain. Field Crops Res. 2019, 234, 1–14. [Google Scholar] [CrossRef]
- Li, M.Z.; Hao, H.B.; Xie, N.; Xie, J.X.; Wang, G.R. Feasibility study on biannual rotation of millet and forage in Heilonggang Area. J. Heibei Agr. Sci. 2010, 14, 5–7. (In Chinese) [Google Scholar] [CrossRef]
- Luo, X.P.; Xia, J.; Yang, H. Modeling water requirements of major crops and theirresponses to climate change in the North China Plain. Environ. Earth Sci. 2015, 74, 3531–3541. [Google Scholar] [CrossRef]
- Zhao, J.; Yang, Y.; Zhang, K.; Jeong, J.; Zeng, Z.; Zang, H. Does crop rotation yield more in China? A meta-analysis. Field Crops Res. 2020, 245, 107659. [Google Scholar] [CrossRef]
- Yang, Y.H.; Zou, J.; Huang, W.H.; Manevski, K.; Olesen, J.E.; Rees, R.M.; Hu, S.; Li, W.; Kersebaum, K.-C.; Louarn, G.; et al. Farm-scale practical strategies to increase nitrogen use efficiency and reduce nitrogen footprint in crop production across the North China Plain. Field Crops Res. 2022, 283, 108526. [Google Scholar] [CrossRef]
- Tang, S.; Li, L.; Wang, Y.Q.; Chen, Q.N.; Zhang, W.Y.; Jia, G.Q.; Zhi, H.; Zhao, B.H.; Diao, X.M. Genotype-specific physiological and transcriptomic responses to drought stress in Setaria italica (an emerging model for Panicoideae grasses). Sci. Rep. 2017, 7, 10009. [Google Scholar] [CrossRef]
- Guo, Y.; Hao, D.D.; Wang, X.X.; Wang, H.; Wu, Z.H.; Yang, P.; Zhang, B. Comparative transcriptomics reveals key genes contributing to the differences in drought tolerance among three cultivars of foxtail millet (Setaria italica). Plant Growth Regul. 2023, 99, 45–64. [Google Scholar] [CrossRef]
- Siqinbatu, Y.K.H.; Hirai, R.; Endo, T. Shibuya. Effects of water contents and CO2 concentrations in soil on growth of sweet potato. Field Crops Res. 2013, 152, 36–43. [Google Scholar] [CrossRef]
- Gajanayake, B.; Reddy, K.R. Sweet potato responses to mid-and late-season soil moisture deficits. Crop. Sci. 2016, 56, 1865–1877. [Google Scholar] [CrossRef]
- Arunrat, N.; Sereenonchai, S.; Chaowiwat, W.; Wang, C. Climate change impact on major crop yield and water footprint under CMIP6 climate projections in repeated drought and flood areas in Thailand. Sci. Total Environ. 2022, 807, 150741. [Google Scholar] [CrossRef]
- Yang, J.; Cui, J.X.; Lv, Z.Q.; Ran, M.M.; Sun, B.B.; Sui, P.; Chen, Y.Q. Will maize based cropping systems reduce water consumption without compromise of food security in the North China Plain. Water 2020, 12, 2946. [Google Scholar] [CrossRef]
- Arunrat, N.; Wang, C.; Pumijumnong, N. Alternative cropping systems for greenhouse gases mitigation in rice field: A case study in Phichit province of Thailand. J. Clean. Prod. 2016, 133, 657–671. [Google Scholar] [CrossRef]
- Zhang, Z.; Lu, C. Clustering analysis of soybean production to understand its spatiotemporal dynamics in the North China Plain. Sustainability 2020, 12, 6178. [Google Scholar] [CrossRef]
- Van Vugt, D.; Franke, A.C.; Giller, K.E. Participatory research to close the soybean yield gap on smallholder farmers in Malawi. Exp. Agric. 2017, 53, 396–415. [Google Scholar] [CrossRef]
- Tufa, A.H.; Alene, A.D.; Manda, J.; Akinwale, M.G.; Chikoye, D.; Feleke, S.; Manyong, V. The productivity and income effects of adoption of improved soybean varieties and agronomic practices in Malawi. World Dev. 2019, 124, 104631. [Google Scholar] [CrossRef]
- Wu, Y.H.; Wang, E.R.; Miao, C.H. Fertilizer use in China: The role of agricultural support policies. Sustainability 2019, 11, 4391. [Google Scholar] [CrossRef]
- Shen, Y.W.; Sui, P.; Huang, J.X.; Wang, D.; Whalen, J.K.; Chen, Y.Q. Global warming potential from maize and maize-soybean as affected by nitrogen fertilizer and cropping practices in the North China Plain. Field Crops Res. 2018, 225, 117–127. [Google Scholar] [CrossRef]
- Wijesinha-Bettoni, R.; Mouill’e, B. The contribution of potatoes to global food security, nutrition and healthy diets. Am. J. Potato Res. 2019, 96, 139–149. [Google Scholar] [CrossRef]
- Alam, M.K.; Rana, Z.H.; Islam, S.N.; Akhtaruzzaman, M. Comparative assessment of nutritional composition, polyphenol profile, antidiabetic and antioxidative properties of selected edible wild plant species of Bangladesh. Food Chem. 2020, 320, 126646. [Google Scholar] [CrossRef] [PubMed]
- Alam, M.K.; Rana, Z.H.; Islam, S.N. Comparison of the proximate composition, total carotenoids and total polyphenol content of nine orange-fleshed sweet potato varieties grown in Bangladesh. Foods 2016, 5, 64. [Google Scholar] [CrossRef] [PubMed]
- Islam, S. Antimicrobial activities of Ipomoea batatas (L.) leaf. J. Food Agric. Environ. 2008, 6, 14–17. [Google Scholar] [CrossRef]
- Sun, Y.M.; Pan, Z.J.; Yang, C.X.; Jia, Z.Z.; Guo, X.B. Comparative assessment of phenolic profiles, cellular antioxidant and antiproliferative activities in ten varieties of sweet potato (Ipomoea batatas) storage roots. Molecules 2019, 24, 4476. [Google Scholar] [CrossRef]
- CIP. Institutional Brochure; International Potato Center: Lima, Peru, 2019; Available online: https://hdl.handle.net/10568/99442 (accessed on 1 January 2021).
- Kumar, A.; Tomer, V.; Kaur, A.; Kumar, V.; Gupta, K. Millets: A solution to agrarian and nutritional challenges. Agric. Food Secur. 2018, 7, 31. [Google Scholar] [CrossRef]
- Amadou, I.; Gounga, M.E.; Le, G.W. Millets: Nutritional composition, some health benefits and processing—A review. Emir. J. Food Agric. 2013, 25, 501–508. [Google Scholar] [CrossRef]
- Saleh, A.S.; Zhang, Q.; Chen, J.; Shen, Q. Millet grains: Nutritional quality, processing, and potential health benefits. Compr. Rev. Food Sci. Food Saf. 2013, 12, 281–295. [Google Scholar] [CrossRef]
- Gupta, S.; Shrivastava, S.K.; Shrivastava, M. Proximate composition of seeds of hybrid varieties of minor millets. Int. J. Res. Eng. Technol. 2014, 3, 687–693. [Google Scholar] [CrossRef]
- Lyon, D.J.; Burgener, P.A.; DeBoer, K. EC08-137 Producing and Marketing Proso Millet in the Great Plains; University of Nebraska-Lincoln: Lincoln, NE, USA, 2008; Available online: https://digitalcommons.unl.edu/extensionhist/4794/ (accessed on 1 January 2021).
- Santra, D.K. Proso Millet Varieties for Western Nebraska; University of Nebraska-Lincoln: Lincoln, NE, USA, 2013; Available online: https://extensionpubs.unl.edu/publication/9000016369012 (accessed on 1 January 2021).
- Habiyaremye, C.; Matanguihan, J.B.; D’Alpoim Guedes, J.; Ganjyal, G.M.; Whiteman, M.R.; Kidwell, K.K.; Murphy, K.M. Proso millet (Panicum miliaceum L.) and its potential for cultivation in the Pacific Northwest, US: A review. Front. Plant Sci. 2017, 7, 1961. [Google Scholar] [CrossRef]
- Fathian, M.; Bazrafshan, O.; Jamshidi, S.; Jafari, L. Impacts of climate change on water footprint components of rainfed and irrigated wheat in a semi-arid environment. Environ. Monit. Assess. 2023, 195, 324. [Google Scholar] [CrossRef] [PubMed]
- Jamshidi, S.; Zand-Parsa, S.; Kamgar-Haghighi, A.A.; Shahsavar, A.R.; Niyogi, D. Evapotranspiration, crop coefficients, and physiological responses of citrus trees in semi-arid climatic conditions. Agric. Water Manag. 2020, 227, 105838. [Google Scholar] [CrossRef]
- Xu, X.X.; Zhang, M.; Li, J.P.; Liu, Z.; Zhao, Z.; Zhang, Y.; Zhou, S.; Wang, Z. Improving water use efficiency and grain yield of winter wheat by optimizing irrigations in the North China Plain. Field Crops Res. 2018, 221, 219–227. [Google Scholar] [CrossRef]
- Zhang, S.H.; Wang, H.D.; Sun, X.; Fan, J.L.; Zhang, F.C.; Zheng, J.; Li, Y.P. Effects of farming practices on yield and crop water productivity of wheat, maize and potato in China: A meta-analysis. Agric. Water Manag. 2021, 243, 106444. [Google Scholar] [CrossRef]







| Crops | Sowing Date | Harvest Date | Protein Content (%) | Energy (J g−1) |
|---|---|---|---|---|
| Winter wheat | 10.08 [27] | 06.10 [28] | 12.00 [36] | 15,320 [44] |
| Summer maize | 06.12 [29] | 09.26 [29] | 10.40 [37] | 14,200 [44] |
| Summer soybean | 06.25 [33] | 09.30 [33] | 42.55 [40] | 24,139 [43] |
| Summer millet | 06.15 [35] | 09.20 [35] | 12.71 [41] | 14,410 [44] |
| Autumn potato | 08.10 [32] | 11.10 [32] | 1.66 [38] | 3800 [43] |
| Spring potato | 03.05 [34] | 06.15 [34] | 1.66 [38] | 3800 [43] |
| Spring mung bean | 04.25 [31] | 06.22 [31] | 69.50 [42] | 17,651 [45] |
| Spring sweet potato | 04.10 [30] | 07.20 [30] | 1.60 [39] | 4200 [43] |
| No. | Crop Rotations | Rotation Cycle (Years) |
|---|---|---|
| 1 | Winter wheat–summer maize | 1 |
| 2 | Winter wheat–summer soybean | 1 |
| 3 | Winter wheat–summer millet | 1 |
| 4 | Spring potato–summer soybean | 1 |
| 5 | Spring potato–summer millet | 1 |
| 6 | Spring potato→winter wheat–summer maize | 2 |
| 7 | Summer millet→winter wheat–summer maize | 2 |
| 8 | Spring mung bean→winter wheat–summer maize | 2 |
| 9 | Spring sweet potato→winter wheat–summer maize | 2 |
| 10 | Spring potato→winter wheat–summer soybean | 2 |
| 11 | Summer millet→winter wheat–summer soybean | 2 |
| 12 | Spring sweet potato→winter wheat–summer soybean | 2 |
| 13 | Summer millet→winter wheat–autumn potato | 2 |
| 14 | Spring mung bean→winter wheat–autumn potato | 2 |
| Crop Rotations | D+ | D− | CEI | Rank |
|---|---|---|---|---|
| Sp–S | 0.131 | 0.078 | 0.627 | 1 |
| Spring sweet potato→W–S | 0.095 | 0.082 | 0.538 | 2 |
| Summer millet→W–P | 0.108 | 0.094 | 0.535 | 3 |
| Spring sweet potato→W–M | 0.086 | 0.089 | 0.493 | 4 |
| Spring mung bean→W–P | 0.097 | 0.110 | 0.468 | 5 |
| W–S | 0.092 | 0.106 | 0.466 | 6 |
| Sp–Sm | 0.088 | 0.110 | 0.444 | 7 |
| Summer millet→W–S | 0.095 | 0.127 | 0.427 | 8 |
| W–M | 0.090 | 0.126 | 0.417 | 9 |
| Spring potato→W–S | 0.077 | 0.107 | 0.416 | 10 |
| Summer millet→W–M | 0.089 | 0.132 | 0.402 | 11 |
| Spring potato→W–M | 0.069 | 0.112 | 0.381 | 12 |
| Spring mung bean→W–M | 0.073 | 0.130 | 0.359 | 13 |
| W–Sm | 0.058 | 0.142 | 0.289 | 14 |
Disclaimer/Publisher’s Note: The statements, opinions and data contained in all publications are solely those of the individual author(s) and contributor(s) and not of MDPI and/or the editor(s). MDPI and/or the editor(s) disclaim responsibility for any injury to people or property resulting from any ideas, methods, instructions or products referred to in the content. |
© 2023 by the authors. Licensee MDPI, Basel, Switzerland. This article is an open access article distributed under the terms and conditions of the Creative Commons Attribution (CC BY) license (https://creativecommons.org/licenses/by/4.0/).
Share and Cite
Peng, H.; Xiong, J.; Zhang, J.; Zhu, L.; Wang, G.; Pacenka, S.; Yang, X. Water Requirements and Comprehensive Benefit Evaluation of Diversified Crop Rotations in the Huang-Huai Plain. Sustainability 2023, 15, 10229. https://doi.org/10.3390/su151310229
Peng H, Xiong J, Zhang J, Zhu L, Wang G, Pacenka S, Yang X. Water Requirements and Comprehensive Benefit Evaluation of Diversified Crop Rotations in the Huang-Huai Plain. Sustainability. 2023; 15(13):10229. https://doi.org/10.3390/su151310229
Chicago/Turabian StylePeng, Huanhuan, Jinran Xiong, Jiayi Zhang, Linghui Zhu, Guiyan Wang, Steven Pacenka, and Xiaolin Yang. 2023. "Water Requirements and Comprehensive Benefit Evaluation of Diversified Crop Rotations in the Huang-Huai Plain" Sustainability 15, no. 13: 10229. https://doi.org/10.3390/su151310229
APA StylePeng, H., Xiong, J., Zhang, J., Zhu, L., Wang, G., Pacenka, S., & Yang, X. (2023). Water Requirements and Comprehensive Benefit Evaluation of Diversified Crop Rotations in the Huang-Huai Plain. Sustainability, 15(13), 10229. https://doi.org/10.3390/su151310229

