Deproteinization of Natural Rubber Latex and Its Pale-Colored Thin Films
Abstract
1. Introduction
2. Materials and Methods
2.1. Materials
2.2. Effect of Additives on NRL Stability
2.3. Method of Protein Reduction in NRL
2.4. Characterizations of DNRL and Its Film
2.4.1. pH Measurement
2.4.2. Viscosity Measurement
2.4.3. Total Solid Content (TSC)
2.4.4. Nitrogen Content
2.4.5. Physical Appearance of Dried DNRL Film
2.4.6. Percentage of Swelling
2.5. Statistical Data Analysis
3. Results
3.1. Effect of Additives on the Stability of NRL
3.2. Properties of NRL and DNRL
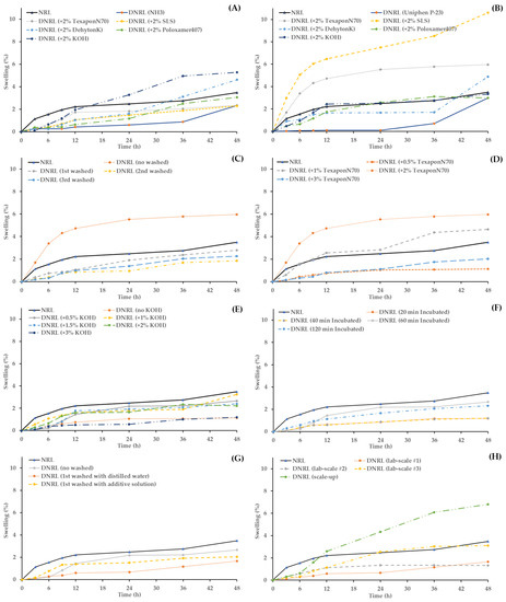
3.2.1. Effect of Additive
3.2.2. Effect of Washing Cycle
3.2.3. Effect of Concentration of Additive
3.2.4. Effect of Alkali Solution
3.2.5. Effect of Incubation Time
3.2.6. Effect of Washing Solution
3.2.7. Reproducibility of Optimum DNRL Formulation
3.2.8. Scale-Up of Optimum DNRL Formulation for Industrial Use
4. Discussion
5. Conclusions
Supplementary Materials
Author Contributions
Funding
Institutional Review Board Statement
Informed Consent Statement
Data Availability Statement
Acknowledgments
Conflicts of Interest
References
- Yunyongwattanakorn, J.; Tanaka, Y.; Kawahara, S.; Klinklai, W.; Sakdapipanich, J. Effect of non-rubber components on storage hardening and gel formation of natural rubber during accelerated storage under various conditions. Rubber Chem. Technol. 2003, 76, 1228–1240. [Google Scholar] [CrossRef]
- Tarachiwin, L.; Sakdapipanich, J.; Ute, K.; Kitayama, T.; Tanaka, Y. Structural characterization of α-terminal group of natural rubber. 2. decomposition of branch-points by phospholipase and chemical treatments. Biomacromolecules 2005, 6, 1858–1863. [Google Scholar] [CrossRef]
- Oouchi, M.; Ukawa, J.; Ishii, Y.; Maeda, H. Structural analysis of the terminal groups in commercial hevea natural rubber by 2D-NMR with DOSY filters and multiple-WET methods using ultrahigh-field NMR. Biomacromolecules 2019, 20, 1394–1400. [Google Scholar] [CrossRef]
- Ernst Kerche-Silva, L.; Gomes Silva Morais Cavalcante, D.; Silva Danna, C.; Silva Gomes, A.; Moratto Carrara, I.; Lourenço Cecchini, A.; Yoshihara, E.; Eloizo Job, A. Free-radical Scavenging properties and Cytotoxic Activity Evaluation of Latex C-serum from Hevea brasiliensis RRIM 600. Free Rad. Antioxid. 2016, 7, 107–114. [Google Scholar] [CrossRef]
- Guerra, N.B.; Sant’Ana Pegorin, G.; Boratto, M.H.; de Barros, N.R.; de Oliveira Graeff, C.F.; Herculano, R.D. Biomedical applications of natural rubber latex from the rubber tree Hevea brasiliensis. Mater. Sci. Eng. C. 2021, 126, 112126. [Google Scholar] [CrossRef] [PubMed]
- Deval, R.; Ramesh, V.; Prasad, G.B.; Jain, A.K. Natural rubber latex allergy. Indian J. Dermatol. Venereol. Leprol. 2008, 74, 304–310. [Google Scholar] [CrossRef]
- Jankangram, W. Natural rubber latex protein. Asia Pac. J. Sci. Technol. 2017, 18, 996–1002. [Google Scholar]
- Perrella, F.W.; Gaspari, A.A. Natural rubber latex protein reduction with an emphasis on enzyme treatment. Methods 2002, 27, 77–86. [Google Scholar] [CrossRef] [PubMed]
- Pichayakorn, W.; Suksaeree, J.; Boonme, P.; Taweepreda, W.; Ritthidej, G.C. Preparation of deproteinized natural rubber latex and properties of films formed by itself and several adhesive polymer blends. Ind. Eng. Chem. Res. 2012, 51, 13393–13404. [Google Scholar] [CrossRef]
- Pichayakorn, W.; Suksaeree, J.; Taweepreda, W. Improved deproteinization process for protein-free natural rubber latex. Adv. Mater. Res. 2014, 844, 474–477. [Google Scholar] [CrossRef]
- Jayadevan, J.; Alex, R.; Gopalakrishnapanicker, U. Deproteinised natural rubber latex grafted poly(dimethylaminoethyl methacrylate)-poly(vinyl alcohol) blend membranes: Synthesis, properties and application. Int. J. Biol. Macromol. 2018, 107, 1821–1834. [Google Scholar] [CrossRef] [PubMed]
- Suksaeree, J.; Waiprib, R.; Pichayakorn, W. Improving the hydrophilic properties of deproteinized natural rubber latex films for lidocaine transdermal patches by starch blending. J. Polym. Environ. 2022, 30, 1574–1586. [Google Scholar] [CrossRef]
- Nanti, S.; Wongputtisin, P.; Sakulsingharoj, C.; Klongklaew, A.; Chomsri, N. Removal of allergenic protein in natural rubber latex using protease from Bacillus sp. Food Appl. Biosci. J. 2017, 2, 216–223. [Google Scholar] [CrossRef]
- Yamamoto, Y.; Nghia, P.T.; Klinklai, W.; Saito, T.; Kawahara, S. Removal of proteins from natural rubber with urea and its application to continuous processes. J. Appl. Polym. Sci. 2008, 107, 2329–2332. [Google Scholar] [CrossRef]
- ASTM D1076; Standard Practice for Standard Specification for Rubber-Concentrated, Ammonia Preserved, Creamed, and Centrifuged Natural Latex D1076. ASTM International: West Conshohocken, PA, USA, 2002.
- ASTM D3533; Standard Test Method for Rubber-Nitrogen Content D3533. ASTM International: West Conshohocken, PA, USA, 2001.
- Al Qahtani, M.Q.; Binsufayyan, S.S. Color change of direct resin-based composites after bleaching: An in vitro study. King Saud Univ. J. Dent. Sci. 2011, 2, 23–27. [Google Scholar] [CrossRef]
- Parisi, C.A.S.; Kelly, K.J.; Ansotegui, I.J.; Gonzalez-Díaz, S.N.; Bilò, M.B.; Cardona, V.; Park, H.-S.; Braschi, M.C.; Macias-Weinmann, A.; Piga, M.A.; et al. Update on latex allergy: New insights into an old problem. World Allergy Organ. J. 2021, 14, 100569. [Google Scholar] [CrossRef] [PubMed]
- Chaikumpollert, O.; Yamamoto, Y.; Suchiva, K.; Kawahara, S. Protein-free natural rubber. Colloid Polym Sci. 2012, 290, 331–338. [Google Scholar] [CrossRef]
- Nawamawat, K.; Sakdapipanich, J.T.; Ho, C.C. Effect of Deproteinized Methods on the Proteins and Properties of Natural Rubber Latex during Storage. Macromol. Symp. 2010, 288, 95–103. [Google Scholar] [CrossRef]
- Kongkaew, C.; Loykulnant, S.; Chaikumpollert, O.; Suchiva, K. Creaming of Skim Natural Rubber Latex with Chitosan Derivatives. J. Appl. Polym. Sci. 2010, 115, 1022–1031. [Google Scholar] [CrossRef]
- Kawahara, S.; Klinklai, W.; Kuroda, H.; Isono, Y. Removal of proteins from natural rubber with urea. Polym. Adv. Technol. 2004, 15, 181–184. [Google Scholar] [CrossRef]
- Nurulhuda, A.; Aziana, A.H.; Norazreen, A.R.; Aziah, A.N.; Qamarina, M.S.N. Urea as a single denaturing agent in deproteinisation of natural rubber latex. J. Rubber Res. 2019, 22, 99–107. [Google Scholar] [CrossRef]
- Hayeemasae, N.; Saiwari, S.; Soontaranon, S.; Masa, A. Influence of Centrifugation Cycles of Natural Rubber Latex on Final Properties of Uncrosslinked Deproteinized Natural Rubber. Polymers 2022, 14, 2713. [Google Scholar] [CrossRef]
- Sekhar, B.C. Improvements to Centrifugation of Rubber Latex. WO2005007704A1, 21 July 2003. [Google Scholar]
- Shabinah Filza, M.S.; Siti Nor Qamarina, M.; Nurulhuda, A.; Norhanifah, M.Y.; Mohamad Akmal, A.R. Purified natural rubber latex: Investigating effect of single anionic surfactant and centrifugation process to latex properties and addition of bio-filler towards latex film performance. NSPM 2017 AIP Conf. Proc. 1985 2018, 1985, 040008. [Google Scholar] [CrossRef]
- Lv, M.; Fang, L.; Yu, H.; Rojruthai, P.; Sakdapipanich, J. Discoloration Mechanisms of Natural Rubber and Its Control. Polymers 2022, 14, 764. [Google Scholar] [CrossRef]
- Ho, C.C.; Ng, W.L. Surface study on the rubber particles in pretreated Hevea latex system. Colloid Polym. Sci. 1979, 257, 406–412. [Google Scholar] [CrossRef]
- Singh, M.; Esquena, J.; Solans, C.; Booten, K.; Tadros, T.F. Influence of hydrophobically modified inulin on the stability of vulcanized natural rubber latex. Colloids Surf. A Physicochem. Eng. Aspects. 2014, 451, 90–100. [Google Scholar] [CrossRef]
- Lu, L.J.; Kurup, V.P.; Fink, J.N.; Kelly, K.J. Comparison of latex antigens from surgical gloves, ammoniated and nonammoniated latex: Effect of ammonia treatment on natural rubber latex proteins. J. Lab. Clin. Med. 1995, 126, 161–168. [Google Scholar] [PubMed]
- Valkova, N.; Lépine, F.; Valeanu, L.; Dupont, M.; Labrie, L.; Bisaillon, J.-G.; Beaudet, R.; Shareck, F.; Villemur, R. Hydrolysis of 4-hydroxybenzoic acid esters (parabens) and their aerobic transformation into phenol by the resistant Enterobacter cloacae strain EM. Appl. Environ. Microbiol. 2001, 67, 2404–2409. [Google Scholar] [CrossRef]
- Gilbert, P.; Beveridge, E.C.; Crone, P.B. Effect of phenoxyethanol on the permeability of Escherichra coli NCTC 5933 to inorganic ions. Microbios. 1977, 19, 17–26. [Google Scholar]
- Singh, M.; Mei, E.L.H. Surfactants and their Use in Latex Technology. MRB Rubber Technol. Dep. 2013, 13, 33–36. [Google Scholar]
- Ng, J.W.; Othman, N.; Yusof, N.H. Various coagulation techniques and their impacts towards the properties of natural rubber latex from Hevea brasiliensis—A comprehensive review related to tyre application. Ind. Crops Prod. 2022, 181, 114835. [Google Scholar] [CrossRef]
- Zong-Qiang, Z.; He-Ping, Y.; Qi-Fang, W.; Guang, L. Effects of coagulation processes on properties of epoxidized natural rubber. J. Appl. Polym. Sci. 2008, 109, 1944–1949. [Google Scholar] [CrossRef]
- Chaiprapat, S.; Wongchana, S.; Loykulnant, S.; Kongkaew, C.; Charnnok, B. Evaluating sulfuric acid reduction, substitution, and recovery to improve environmental performance and biogas productivity in rubber latex industry. Process Saf. Environ. Prot. 2015, 94, 420–429. [Google Scholar] [CrossRef]
- Wathen, G.D.; Gent, A.N. Slow Crystallisation of Natural Rubber Latex. J. Nat. Rubb. Res. 1990, 5, 178–181. [Google Scholar]
- Parra, D.F.; Pinto Martins, C.F.; Collantes, C.H.D.; Lugao, A.B. Extractable proteins from field radiation vulcanized natural rubber latex. Nucl. Instrum. Methods Phys. Res. B 2005, 236, 508–512. [Google Scholar] [CrossRef]
- Deleu, L.J.; Lambrecht, M.A.; de Vondel, J.V.; Delcour, J.A. The impact of alkaline conditions on storage proteins of cereals and pseudo-cereals. Curr. Opin. Food Sci. 2019, 25, 98–103. [Google Scholar] [CrossRef]
- Sriring, M.; Nimpaiboon, A.; Kumarn, S.; Higaki, K.; Higaki, Y.; Kojio, K.; Takahara, A.; Ho, C.C.; Sakdapipanich, J. Film formation process of natural rubber latex particles: Roles of the particle size and distribution of non-rubber species on film microstructure. Colloids Surf. A Physicochem. Eng. Asp. 2020, 592, 124571. [Google Scholar] [CrossRef]
- Bondi, C.A.M.; Marks, J.L.; Wroblewski, L.B.; Raatikainen, H.S.; Lenox, S.R.; Gebhardt, K.E. Human and environmental toxicity of sodium lauryl sulfate (SLS): Evidence for safe use in household cleaning products. Environ. Health Insights 2015, 9, EHI.S31765. [Google Scholar] [CrossRef]
- Heetfeld, A.B.; Schill, T.; Schröder, S.S.; Forkel, S.; Mahler, V.; Pfützner, W.; Schön, M.P.; Geier, J.; Buhl, T. Challenging a paradigm: Skin sensitivity to sodium lauryl sulfate is independent of atopic diathesis. Br. J. Dermatol. 2020, 183, 139–145. [Google Scholar] [CrossRef] [PubMed]
- Boonme, P.; Taweepreda, W.; Pichayakorn, W. Novel process in preparation of deproteinized natural rubber latex. Adv. Mater. Res. 2014, 844, 462–465. [Google Scholar] [CrossRef]
- Suksaeree, J.; Taweepreda, W.; Pichayakorn, W. Surfactant Treatment and Leaching Combination Process for Preparation of Deproteinized Natural Rubber Latex. Key Eng. Mater. 2015, 659, 500–504. [Google Scholar] [CrossRef]
- Dai, L.; Kang, G.; Li, Y.; Nie, Z.; Duan, C.; Zeng, R. In-depth proteome analysis of the rubber particle of Hevea brasiliensis (para rubber tree). Plant Mol. Biol. 2013, 82, 155–168. [Google Scholar] [CrossRef]
- Siti Maznah, K.; Baharin, A.; Hanafi, I.; Azhar, M.E.; Mas Rosemal Hakim, M.H. Effect of soaking in potassium hydroxide solution on the curing, tensile properties and extractable protein content of natural rubber latex films. Polym. Test. 2008, 27, 1013–1016. [Google Scholar] [CrossRef]
- Boonyang, H.; Sakdapipanich, J. The method to produce light-color natural rubber. Adv. Mater. Res. 2014, 844, 85–88. [Google Scholar] [CrossRef]
- Rojruthai, P.; Pareseecharoen, C.; Sakdapipanich, J. Physical decoloration in the concentration process of natural rubber. SPE Polym. 2021, 2, 210–216. [Google Scholar] [CrossRef]



| Additive Groups | Additive Types | Initial Instability Time (Hour) | ||
|---|---|---|---|---|
| Preservatives | ||||
| None | 1% w/w Uniphen P-23 | 0.2% w/w NH3 | ||
| None | - | 2 | 4 | 8 |
| Non-ionic surfactant | Tween 20 | - | 0 | 2 |
| Tween 40 | - | 0 | 2 | |
| Tween 60 | - | 0 | 2 | |
| Tween 80 | - | 0 | 2 | |
| Span 80 | - | 1 | 2 | |
| Span 85 | - | 0 | 2 | |
| Anionic surfactant | Texapon N40 | - | 2 | 8 |
| Texapon N70 | - | 4 | 24 | |
| SLS | - | 8 | 24 | |
| Euperlan PK 771 Benz | - | 1 | 1 | |
| Amphoteric surfactant | Dehyton K | - | 4 | 24 |
| Polymer | Poloxamer 407 | - | 2 | 8 |
| Poloxamer 188 | - | 0 | 1 | |
| PVA 67K | - | 0 | 1 | |
| Nutrilan I50 | - | 1 | 4 | |
| Solvent | Isopropanol | - | 0 | 0 |
| Propylene glycol | - | 0 | 1 | |
| Butylene glycol | - | 1 | 2 | |
| Alkali | NaOH | - | 8 | 24 |
| KOH | - | 24 | 48 | |
| Sample | pH | Viscosity (cps) | TSC (%) | Protein Content (%) | Protein Reduction (%) |
|---|---|---|---|---|---|
| NRL | 6.40 ± 0.07 | 8.71 ± 0.79 | 41.26 ± 0.10 | 3.50 ± 0.34 | - |
| NRL (Batch Scale-up) | 6.28 ± 0.27 | 7.86 ± 0.47 | 45.00 ± 1.60 | 3.39 ± 0.04 | - |
| NRL + 0.2% w/w NH3, incubate for 60 min, no washing | |||||
| No additive | 7.80 ± 0.03 | 8.67 ± 0.04 | 34.34 ± 1.02 | 2.66 ± 0.28 | 24.14 ± 7.88 a |
| +2% w/w Texapon N70 | 7.10 ± 0.06 | 4.92 ± 0.00 | 20.10 ± 0.10 | 1.35 ± 0.21 | 61.57 ± 5.86 a,b |
| +2% w/w SLS | 7.20 ± 0.04 | 4.32 ± 0.00 | 24.45 ± 3.03 | 1.41 ± 0.35 | 59.71 ± 10.10 c |
| +2% w/w Dehyton K | 7.73 ± 0.03 | 5.72 ± 0.07 | 24.26 ± 2.30 | 1.94 ± 0.22 | 44.71 ± 6.26 |
| +2% w/w Poloxamer 407 | 6.63 ± 0.04 | 8.68 ± 0.07 | 26.61 ± 0.98 | 2.82 ± 0.04 | 19.43 ± 1.21 b,c |
| +2% w/w KOH | 12.56 ± 0.05 | 5.66 ± 0.17 | 23.24 ± 0.22 | 2.12 ± 0.37 | 39.57 ± 10.71 |
| NRL + 1% w/w Uniphen P-23, incubate for 60 min, no washing | |||||
| No additive | 6.65 ± 0.02 | 7.43 ± 0.30 | 38.36 ± 0.41 | 3.21 ± 0.43 | 8.29 ± 12.29 a,b,c,d,e |
| +2% w/w Texapon N70 | 6.75 ± 0.03 | 8.02 ± 0.00 | 26.04 ± 0.60 | 0.76 ± 0.27 | 78.19 ± 7.72 a,f |
| +2% w/w SLS | 6.83 ± 0.02 | 4.76 ± 0.07 | 26.07 ± 0.29 | 0.29 ± 0.17 | 91.81 ± 4.76 b,g,h,i |
| +2% w/w Dehyton K | 6.49 ± 0.02 | 7.84 ± 0.07 | 22.10 ± 0.30 | 1.66 ± 0.08 | 52.57 ± 2.23 c,f,g |
| +2% w/w Poloxamer 407 | 6.21 ± 0.03 | 6.00 ± 0.00 | 26.79 ± 0.07 | 1.52 ± 0.17 | 56.67 ± 4.90 d,h |
| +2% w/w KOH | 12.85 ± 0.02 | 11.49 ± 0.66 | 29.35 ± 0.25 | 1.20 ± 0.18 | 65.86 ± 5.05 e,i |
| NRL + 1% w/w Uniphen P-23 + 2% w/w Texapon N70, incubate for 60 min | |||||
| No washing | 6.75 ± 0.03 | 8.02 ± 0.00 | 26.04 ± 0.60 | 0.76 ± 0.27 | 78.19 ± 7.72 a,b |
| 1st wash with distilled water | 6.75 ± 0.03 | 9.59 ± 0.00 | 20.39 ± 0.56 | 0.46 ± 0.02 | 86.95 ± 0.44 |
| 2nd wash with distilled water | 7.07 ± 0.04 | 5.58 ± 0.00 | 16.99 ± 4.28 | 0.34 ± 0.01 | 90.19 ± 0.16 a |
| 3rd wash with distilled water | 6.34 ± 0.03 | 3.98 ± 0.00 | 10.48 ± 0.53 | 0.20 ± 0.02 | 94.19 ± 0.44 b |
| NRL + 1% w/w Uniphen P-23, incubate for 60 min, no washing | |||||
| No additive | 6.65 ± 0.02 | 7.43 ± 0.30 | 38.36 ± 0.41 | 3.21 ± 0.43 | 8.29 ± 12.29 a,b,c |
| +0.5% w/w Texapon N70 | 6.75 ± 0.02 | 13.32 ± 1.13 | 26.25 ± 3.74 | 3.21 ± 0.35 | 8.29 ± 10.10 d,e,f |
| +1% w/w Texapon N70 | 6.75 ± 0.02 | 6.28 ± 0.07 | 29.79 ± 0.24 | 0.91 ± 0.03 | 73.90 ± 0.87 a,d |
| +2% w/w Texapon N70 | 6.75 ± 0.03 | 8.02 ± 0.00 | 26.04 ± 0.60 | 0.76 ± 0.27 | 78.19 ± 7.72 b,e |
| +3% w/w Texapon N70 | 6.84 ± 0.03 | 5.44 ± 0.01 | 26.17 ± 0.05 | 0.64 ± 0.28 | 81.62 ± 7.89 c,f |
| NRL + 1% w/w Uniphen P-23 + 0.5% w/w Texapon N70, incubate for 60 min, no washing | |||||
| No KOH | 6.75 ± 0.02 | 13.32 ± 1.13 | 26.25 ± 3.74 | 3.21 ± 0.35 | 8.29 ± 10.10 a,b,c,d,e |
| +0.5% w/w KOH | 10.77 ± 0.02 | 6.10 ± 0.60 | 27.46 ± 1.35 | 0.84 ± 0.04 | 75.90 ± 1.08 a |
| +1% w/w KOH | 11.70 ± 0.00 | 10.63 ± 0.68 | 29.35 ± 0.95 | 0.83 ± 0.03 | 76.19 ± 0.87 b |
| +1.5% w/w KOH | 12.52 ± 0.00 | 8.51 ± 0.41 | 33.05 ± 0.86 | 0.68 ± 0.03 | 80.67 ± 0.72 c |
| +2% w/w KOH | 12.70 ± 0.13 | 6.80 ± 0.14 | 33.46 ± 1.83 | 0.60 ± 0.12 | 82.76 ± 3.41 d |
| +3% w/w KOH | 13.13 ± 0.07 | 7.72 ± 0.18 | 38.30 ± 0.95 | 0.58 ± 0.10 | 83.43 ± 2.98 e |
| NRL + 1% w/w Uniphen P-23 + 0.5% w/w Texapon N70 + 0.5% w/w KOH, no washing | |||||
| Incubate for 20 min | 10.42 ± 0.01 | 6.45 ± 0.24 | 32.54 ± 0.94 | 0.96 ± 0.04 | 72.48 ± 1.19 |
| Incubate for 40 min | 10.52 ± 0.01 | 6.53 ± 0.29 | 29.06 ± 1.63 | 0.91 ± 0.07 | 74.00 ± 1.87 a |
| Incubate for 60 min | 10.77 ± 0.02 | 6.10 ± 0.60 | 27.46 ± 1.35 | 0.84 ± 0.04 | 75.90 ± 1.08 b |
| Incubate for 120 min | 10.22 ± 0.01 | 6.53 ± 0.35 | 28.90 ± 2.31 | 1.15 ± 0.12 | 67.24 ± 3.41 a,b |
| NRL + 1% w/w Uniphen P-23 + 0.5% w/w Texapon N70 + 0.5% w/w KOH, incubate for 60 min | |||||
| No washing | 10.77 ± 0.02 | 6.10 ± 0.60 | 27.46 ± 1.35 | 0.84 ± 0.04 | 75.90 ± 1.08 a,b |
| 1st wash with distilled water | 10.41 ± 0.20 | 6.68 ± 0.07 | 24.24 ± 1.19 | 0.33 ± 0.08 | 90.48 ± 2.16 a,c |
| 1st wash with additive | 11.79 ± 0.00 | 11.70 ± 0.41 | 16.25 ± 1.11 | 0.18 ± 0.05 | 94.86 ± 1.51 b,c |
| NRL + 1% w/w Uniphen P-23 + 0.5% w/w Texapon N70 + 0.5% w/w KOH, incubate for 60 min, 1st wash with distilled water | |||||
| Reproducibility I | 10.41 ± 0.20 | 6.68 ± 0.07 | 24.24 ± 1.19 | 0.33 ± 0.08 | 90.48 ± 2.16 a |
| Reproducibility II | 9.94 ± 0.01 | 6.72 ± 0.02 | 26.18 ± 0.53 | 0.34 ± 0.02 | 90.19 ± 0.59 b |
| Reproducibility III | 9.84 ± 0.02 | 6.64 ± 0.01 | 24.02 ± 0.30 | 0.31 ± 0.01 | 91.05 ± 0.33 c |
| Scale-up | 11.90 ± 0.02 | 8.89 ± 0.11 | 25.33 ± 1.99 | 0.73 ± 0.03 | 78.54 ± 0.90 a,b,c |
| Sample | L* | a* | b* | ΔE | NBS |
|---|---|---|---|---|---|
| NRL | 72.68 ± 11.21 | −1.30 ± 0.56 | 31.35 ± 9.68 | - | - |
| NRL (Batch Scale-up) | 72.33 ± 1.63 | −2.31 ± 0.10 | 22.95 ± 0.90 | - | - |
| NRL + 0.2% w/w NH3, incubate for 60 min, no washing | |||||
| No additive | 70.21 ± 5.55 | 0.88 ± 1.04 | 23.41 ± 3.08 | 52.44 ± 35.22 a | 48.24 ± 32.40 |
| +2% w/w Texapon N70 | 80.39 ± 2.32 | −1.62 ± 0.26 | 18.95 ± 3.32 | 112.77 ± 53.80 b,c | 103.75 ± 49.49 |
| +2% w/w SLS | 84.26 ± 2.38 | −1.77 ± 0.11 | 10.22 ± 0.56 | 292.67 ± 31.39 a,b,d,e,f | 269.26 ± 28.88 |
| +2% w/w DehytonK | 80.28 ± 0.96 | −1.89 ± 0.18 | 23.07 ± 0.69 | 63.93 ± 12.72 d | 58.81 ± 11.70 |
| +2% w/w Poloxamer 407 | 77.65 ± 0.84 | 0.45 ± 0.41 | 32.75 ± 1.48 | 16.01 ± 1.66 c,e,g | 14.73 ± 1.53 |
| +2% w/w KOH | 83.23 ± 1.38 | −3.39 ± 0.11 | 19.80 ± 2.86 | 128.42 ± 43.56 f,g | 118.14 ± 40.08 |
| NRL + 1% w/w Uniphen P-23, incubate for 60 min, no washing | |||||
| No additive | 80.73 ± 2.99 | −1.35 ± 0.68 | 26.95 ± 3.60 | 50.53 ± 32.31 a,b,c | 46.49 ± 29.73 |
| +2% w/w Texapon N70 | 80.48 ± 0.15 | −1.13 ± 0.04 | 14.11 ± 1.62 | 180.09 ± 28.53 a,d,e | 165.69 ± 26.25 |
| +2% w/w SLS | 83.17 ± 0.41 | −1.22 ± 0.84 | 12.96 ± 2.06 | 226.13 ± 39.18 b,f,g,h | 208.04 ± 36.04 |
| +2% w/w DehytonK | 82.66 ± 1.06 | −1.09 ± 0.27 | 19.17 ± 2.25 | 126.40 ± 35.13 c,f,i | 116.29 ± 32.32 |
| +2% w/w Poloxamer 407 | 81.26 ± 0.79 | −2.05 ± 0.13 | 22.01 ± 0.47 | 81.05 ± 9.87 d,g | 74.56 ± 9.08 |
| +2% w/w KOH | 82.37 ± 0.33 | −2.27 ± 0.07 | 26.41 ± 0.58 | 59.81 ± 4.81 e,h,i | 55.02 ± 4.43 |
| NRL + 1% w/w Uniphen P-23 + 2% w/w Texapon N70, incubate for 60 min | |||||
| No washing | 80.48 ± 0.15 | −1.13 ± 0.04 | 14.11 ± 1.62 | 180.09 ± 28.53 a,b,c | 165.69 ± 26.25 |
| 1st wash with distilled water | 85.43 ± 1.01 | −1.15 ± 0.02 | 4.21 ± 0.36 | 450.18 ±18.67 a,d | 414.16 ± 17.18 |
| 2nd wash with distilled water | 83.67 ± 1.25 | −1.19 ± 0.04 | 4.76 ± 0.21 | 414.61 ± 16.61 b,e | 381.44 ± 15.28 |
| 3rd wash with distilled water | 88.00 ± 0.21 | −1.18 ± 0.03 | 2.47 ± 0.14 | 534.49 ± 1.31 c,d,e | 491.73 ± 1.21 |
| NRL + 1% w/w Uniphen P-23, incubate for 60 min, no washing | |||||
| No additive | 80.73 ± 2.99 | −1.35 ± 0.68 | 26.95 ± 3.60 | 50.53 ± 32.31 a,b | 46.49 ± 29.73 |
| +0.5% w/w Texapon N70 | 73.46 ± 2.50 | 2.35 ± 1.21 | 35.07 ± 3.92 | 22.58 ± 15.95 c,d | 20.77 ± 14.67 |
| +1% w/w Texapon N70 | 72.95 ± 0.74 | 2.31 ± 0.13 | 36.12 ± 0.45 | 18.25 ± 2.49 e,f | 16.79 ± 2.29 |
| +2% w/w Texapon N70 | 80.48 ± 0.15 | −1.13 ± 0.04 | 14.11 ± 1.62 | 180.09 ± 28.53 a,c,e,g | 165.69 ± 26.25 |
| +3% w/w Texapon N70 | 84.07 ± 0.40 | −1.86 ± 0.17 | 8.60 ± 0.67 | 324.10 ± 14.56 b,d,f,g | 298.17 ± 13.39 |
| NRL + 1% w/w Uniphen P-23 + 0.5% w/w Texapon N70, incubate for 60 min, no washing | |||||
| No KOH | 73.46 ± 2.50 | 2.35 ± 1.21 | 35.07 ± 3.92 | 22.58 ± 15.95 a,b,c,d,e | 20.77 ± 14.67 |
| +0.5% w/w KOH | 85.33 ± 0.84 | −2.11 ± 0.13 | 9.04 ± 0.35 | 329.41 ± 12.09 a,f,g,h | 303.05 ± 11.12 |
| +1% w/w KOH | 86.22 ± 0.24 | −2.45 ± 0.03 | 11.71 ± 0.59 | 285.27 ± 14.46 b,i,j,k | 262.45 ± 13.31 |
| +1.5% w/w KOH | 83.18 ± 1.07 | −2.56 ± 0.04 | 18.25 ± 1.78 | 143.28 ± 30.17 c,f,i,l | 131.82 ± 27.76 |
| +2% w/w KOH | 83.98 ± 0.56 | −2.27 ± 0.07 | 26.41 ± 0.58 | 76.81 ± 7.68 d,g,j,l | 70.67 ± 7.07 |
| +3% w/w KOH | 82.25 ± 0.06 | −2.85 ± 0.05 | 22.55 ± 0.21 | 85.72 ± 2.25 e,h,k | 78.86 ± 2.07 |
| NRL + 1% w/w Uniphen P-23 + 0.5% w/w Texapon N70 + 0.5% w/w KOH, no washing | |||||
| Incubate for 20 min | 82.59 ± 0.90 | −1.67 ± 0.08 | 6.61 ± 1.05 | 356.06 ± 34.11 a | 327.57 ± 31.38 |
| Incubate for 40 min | 86.48 ± 0.85 | −1.60 ± 0.03 | 6.17 ± 0.29 | 412.62 ± 18.45 a,b | 379.61 ± 16.97 |
| Incubate for 60 min | 85.33 ± 0.84 | −2.11 ± 0.13 | 9.04 ± 0.35 | 329.41 ± 12.09 b | 303.05 ± 11.12 |
| Incubate for 120 min | 86.18 ± 0.51 | −1.78 ± 0.03 | 7.87 ± 0.11 | 366.95 ± 6.26 | 337.59 ± 5.76 |
| NRL + 1% w/w Uniphen P-23 + 0.5% w/w Texapon N70 + 0.5% w/w KOH, incubate for 60 min | |||||
| No washing | 85.33 ± 0.84 | −2.11 ± 0.13 | 9.04 ± 0.35 | 329.41 ± 12.09 a,b | 303.05 ± 11.12 |
| 1st wash with distilled water | 87.85 ± 0.23 | −1.51 ± 0.01 | 4.49 ± 0.22 | 475.85 ± 9.34 a,c | 437.79 ± 8.60 |
| 1st wash with additive | 87.74 ± 0.09 | −1.64 ± 0.09 | 5.30 ± 0.19 | 452.88 ± 4.80 b,c | 416.65 ± 4.42 |
| NRL + 1% w/w Uniphen P-23 + 0.5% w/w Texapon N70 + 0.5% w/w KOH, incubate for 60 min, 1st wash with distilled water | |||||
| Reproducibility I | 87.85 ± 0.23 | −1.51 ± 0.01 | 4.49 ± 0.22 | 475.85 ± 9.34 a | 437.79 ± 8.60 |
| Reproducibility II | 87.22 ± 2.04 | −1.75 ± 0.07 | 4.27 ± 0.19 | 474.08 ± 31.30 b | 436.15 ± 28.80 |
| Reproducibility III | 87.72 ± 1.38 | −2.02 ± 0.03 | 4.89 ± 0.83 | 464.26 ± 24.53 c | 427.12 ± 22.56 |
| Scale-up | 87.62 ± 0.63 | −1.75 ± 0.08 | 5.39 ± 0.64 | 273.36 ± 47.35 a,b,c | 251.49 ± 43.56 |
Disclaimer/Publisher’s Note: The statements, opinions and data contained in all publications are solely those of the individual author(s) and contributor(s) and not of MDPI and/or the editor(s). MDPI and/or the editor(s) disclaim responsibility for any injury to people or property resulting from any ideas, methods, instructions or products referred to in the content. |
© 2023 by the authors. Licensee MDPI, Basel, Switzerland. This article is an open access article distributed under the terms and conditions of the Creative Commons Attribution (CC BY) license (https://creativecommons.org/licenses/by/4.0/).
Share and Cite
Suksaeree, J.; Bumroongrat, C.; Polraksa, N.; Taweepreda, W.; Phaechamud, T.; Pichayakorn, W. Deproteinization of Natural Rubber Latex and Its Pale-Colored Thin Films. Sustainability 2023, 15, 10015. https://doi.org/10.3390/su151310015
Suksaeree J, Bumroongrat C, Polraksa N, Taweepreda W, Phaechamud T, Pichayakorn W. Deproteinization of Natural Rubber Latex and Its Pale-Colored Thin Films. Sustainability. 2023; 15(13):10015. https://doi.org/10.3390/su151310015
Chicago/Turabian StyleSuksaeree, Jirapornchai, Chanin Bumroongrat, Nantanat Polraksa, Wirach Taweepreda, Thawatchai Phaechamud, and Wiwat Pichayakorn. 2023. "Deproteinization of Natural Rubber Latex and Its Pale-Colored Thin Films" Sustainability 15, no. 13: 10015. https://doi.org/10.3390/su151310015
APA StyleSuksaeree, J., Bumroongrat, C., Polraksa, N., Taweepreda, W., Phaechamud, T., & Pichayakorn, W. (2023). Deproteinization of Natural Rubber Latex and Its Pale-Colored Thin Films. Sustainability, 15(13), 10015. https://doi.org/10.3390/su151310015

