Analysis of Wind Field Characteristics of Ideal V-Shaped and U-Shaped Canyons
Abstract
1. Introduction
2. Numerical Model
2.1. Canyons Section
2.2. Set of Cases
2.3. Numerical Simulation
2.4. Monitoring Point Setting
3. Results and Analysis
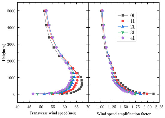
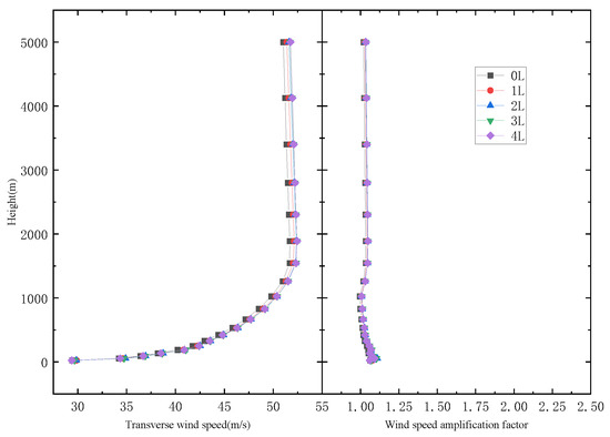
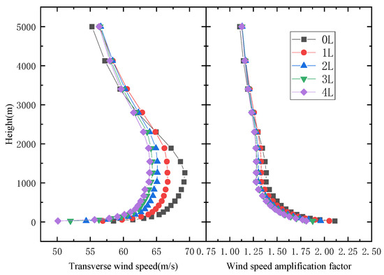
3.1. Wind Profile Characteristics along the River
3.2. Influence of Canyon Width and Angle on Wind Field
3.3. Horizontal Wind Speed Distribution
3.4. Effect of Canyon Height on Wind Profile
3.5. Wind Speed Amplification Factor
4. Conclusions
- The ideal canyon wind speed amplification coefficient in the profile along the height corresponds to a logarithmic evolution pattern, and the acceleration effect of the wind field increases with the increase in canyon height.
- The V-shaped canyon’s angle is linearly related to the wind speed amplification coefficient, while the U-shaped canyon’s width has a logarithmical relationship with the coefficient.
- The wind speed amplification effect curves conform to the logarithmic law and increases as the V-shaped canyon angle or U-shaped canyon width decreases. Incorporating the amplification effect of wind speed variation along height is highly beneficial for establishing more accurate design standards for wind speeds in bridge engineering.
Author Contributions
Funding
Institutional Review Board Statement
Informed Consent Statement
Data Availability Statement
Conflicts of Interest
References
- Wu, L.; Ju, J.; Zhang, J.; Zhang, M.; Li, Y. Vibration Phase Difference Analysis of Long-Span Suspension Bridge during Flutter. Eng. Struct. 2023, 276, 115351. [Google Scholar] [CrossRef]
- Wu, L.; Zhou, Z.; Zhang, J.; Zhang, M. A Numerical Method for Conformal Mapping of Closed Box Girder Bridges and Its Application. Sustainability 2023, 15, 6291. [Google Scholar] [CrossRef]
- Zhang, Y.; Zhou, M. Field Investigation and Wind-Environment Numerical Simulation of Cable-Stayed Bridge Site in the West Midlands Region. Adv. Mater. Res. 2011, 255–260, 4202–4206. [Google Scholar] [CrossRef]
- Li, Y.; Hu, P.; Xu, X.; Qiu, J. Wind Characteristics at Bridge Site in a Deep-Cutting Gorge by Wind Tunnel Test. J. Wind Eng. Ind. Aerodyn. 2017, 160, 30–46. [Google Scholar] [CrossRef]
- Wind-Resistent Design Specification for Highway Bridges; Ministry of Transport of the People’s Republic of China: Beijing, China, 2018.
- Xu, F.Y.; Zhou, J. Review on the Characteristics of Wind Fields at Bridge Site in Mountainous Areas. J. Disaster Prev. Mitig. Eng. 2017, 37, 502–510. [Google Scholar] [CrossRef]
- Wu, F.; Cui, W.; Zhao, L.; Guo, Z.; Li, Q.; Ge, Y. Field Measurements of Wind Microclimate at the Vehicle Level on a Bridge Deck under Typical Canyon Terrain. J. Bridge Eng. 2023, 28, 04023013. [Google Scholar] [CrossRef]
- Huang, G.; Jiang, Y.; Peng, L.; Solari, G. Characteristics of Intense Winds in Mountain Area Based on Field Measurement: Focusing on Thunderstorm Winds. J. Wind Eng. Ind. Aerodyn. 2019, 190, 166–182. [Google Scholar] [CrossRef]
- Zhang, J.; Zhang, M.; Li, Y.; Jiang, F. Comparison of Wind Characteristics in Different Directions of Deep-Cut Gorges Based on Field Measurements. J. Wind Eng. Ind. Aerodyn. 2021, 212, 104595. [Google Scholar] [CrossRef]
- Jiang, F.; Zhang, M.; Li, Y.; Zhang, J. Field Measurement Study of Wind Characteristics in Mountain Terrain: Focusing on Sudden Intense Winds. J. Wind Eng. Ind. Aerodyn. 2021, 218, 104781. [Google Scholar] [CrossRef]
- Liao, H.; Jing, H.; Ma, C.; Tao, Q. Field Measurement Study on Turbulence Field by Wind Tower and Windcube Lidar in Mountain Valley. J. Wind Eng. Ind. Aerodyn. 2020, 197, 104090. [Google Scholar] [CrossRef]
- Zhou, Z.; Mao, W.; Ding, Q. Experimental and Numerical Studies on Flutter Stability of a Closed Box Girder Accounting for Ground Effects. J. Fluids Struct. 2019, 84, 1–17. [Google Scholar] [CrossRef]
- Guo, W.; Wang, Y.; Xia, H.; Lu, S. Wind Tunnel Test on Aerodynamic Effect of Wind Barriers on Train-Bridge System. Sci. China Technol. Sci. 2015, 58, 219–225. [Google Scholar] [CrossRef]
- He, W.; Guo, X.; Zou, Y.; He, X. Wind Tunnel Test on the Effect of Wind Barrier Porosity on Train-Bridge System. J. Vib. Shock 2015, 34, 93–97. [Google Scholar] [CrossRef]
- Zhang, J.; Zhang, M.; Li, Y.; Qian, Y. Local Wind Characteristics on Bridge Deck of Twin-Box Girder Considering Wind Barriers by Large-Scale Wind Tunnel Tests. Nat. Hazards 2020, 103, 751–766. [Google Scholar] [CrossRef]
- Wang, Z.; Zhang, W.; Tian, G.; Liu, Z. Joint Values Determination of Wind and Temperature Actions on Long-Span Bridges: Copula-Based Analysis Using Long-Term Meteorological Data. Eng. Struct. 2020, 219, 110866. [Google Scholar] [CrossRef]
- Xing, L.; Zhang, M.; Li, Y.; Zhang, Z. Large Eddy Simulation of the Fluctuating Wind Environment at a Bridge Site in the Mountainous Area. Adv. Bridge Eng. 2021, 2, 1–23. [Google Scholar] [CrossRef]
- Han, Y.; Shen, L.; Xu, G.; Cai, C.S. Multiscale Simulation of Wind Field on a Long-Span Bridge Site in Mountainous Area. J. Wind Eng. Ind. Aerodyn. 2018, 177, 260–274. [Google Scholar] [CrossRef]
- Tang, H.; Li, Y.; Shum, K.M.; Xu, X. Non-Uniform Wind Characteristics in Mountainous Areas and Effects on Flutter Performance of a Long-Span Suspension Bridge. J. Wind Eng. Ind. Aerodyn. 2020, 201, 104177. [Google Scholar] [CrossRef]
- Lystad, T.M.; Fenerci, A.; Oiseth, O. Evaluation of Mast Measurements and Wind Tunnel Terrain Models to Describe Spatially Variable Wind Field Characteristics for Long-Span Bridge Design. J. Wind Eng. Ind. Aerodyn. 2018, 179, 558–573. [Google Scholar] [CrossRef]
- Song, J.; Li, J.; Flay, R.G.J. Field Measurements and Wind Tunnel Investigation of Wind Characteristics at a Bridge Site in a Y-Shaped Valley. J. Wind Eng. Ind. Aerodyn. 2020, 202, 104199. [Google Scholar] [CrossRef]
- Yu, C.; Li, Y.; Zhang, M.; Zhang, Y.; Zhai, G. Wind Characteristics along a Bridge Catwalk in a Deep-Cutting Gorge from Field Measurements. J. Wind Eng. Ind. Aerodyn. 2019, 186, 94–104. [Google Scholar] [CrossRef]
- Zhang, M.; Zhang, J.; Chen, H.; Xin, X.; Li, Y.; Jiang, F. Probabilistic Wind Spectrum Model Based on Correlation of Wind Parameters in Mountainous Areas: Focusing on von Karman Spectrum. J. Wind Eng. Ind. Aerodyn. 2023, 234, 105337. [Google Scholar] [CrossRef]
- Hu, P.; Han, Y.; Cai, C.S.; Cheng, W. Wind Characteristics and Flutter Performance of a Long-Span Suspension Bridge Located in a Deep-Cutting Gorge. Eng. Struct. 2021, 233, 111841. [Google Scholar] [CrossRef]
- Shen, Z.; Li, J.; Li, R.; Gao, G. Nonuniform Wind Characteristics and Buffeting Response of a Composite Cable-Stayed Bridge in a Trumpet-Shaped Mountain Pass. J. Wind Eng. Ind. Aerodyn. 2021, 217, 104730. [Google Scholar] [CrossRef]
- Wang, F.; Chen, X.; He, R.; Liu, Y.; Hao, J.; Li, J. Wind Characteristics in Mountainous Valleys Obtained through Field Measurement. Appl. Sci. 2021, 11, 7717. [Google Scholar] [CrossRef]
- Bowen, A. Modelling of Strong Wind Flows over Complex Terrain at Small Geometric Scales. J. Wind Eng. Ind. Aerodyn. 2003, 91, 1859–1871. [Google Scholar] [CrossRef]
- Wu, L.; Zhang, M.; Li, Y.; Wei, K. Numerical Simulation of Wind Characteristics at Bridge Sites in Complex Mountainous Terrains. J. Southwest Jiaotong Univ. 2019, 54, 915–922. [Google Scholar] [CrossRef]
- Zhang, M.; Yu, J.; Zhang, J.; Wu, L. Study on the Wind-Field Characteristics over a Bridge Site Due to the Shielding Effects of Mountains in a Deep Gorge via Numerical Simulation. Adv. Struct. Eng. 2019, 22, 3055–3065. [Google Scholar] [CrossRef]
- Hong, X.; Guo, W.; Xiong, A. Numerical Simulation of Distribution Characteristic of Wind Fields and Terrain’s Influence in Mountain Canyon. J. Chang. Univ. 2017, 37, 56–64. [Google Scholar] [CrossRef]
- Uchida, T.; Ohya, Y. Large-Eddy Simulation of Turbulent Airflow over Complex Terrain. J. Wind Eng. Ind. Aerodyn. 2003, 91, 219–229. [Google Scholar] [CrossRef]
- Wang, J. Wind Spatial Distribution Characteristics in the U-Shaped Valley and Its Effect on Buffeting Response of Long-Span Bridges; Chang’an University: Xi’an, China, 2022. [Google Scholar]
- Menter, F.R. Two-Equation Eddy-Viscosity Turbulence Models for Engineering Applications. AIAA J. 1994, 32, 1598–1605. [Google Scholar] [CrossRef]






















| No. | Type | Section Height β (m) | Angle α | Length of the Canyon (m) | No. | Type | Section Height β (m) | Width γ | Length of the Canyon (m) |
|---|---|---|---|---|---|---|---|---|---|
| 1 | V | 1000 | 60° | 16,000 | 10 | U | 1000 | 577 | 16,000 |
| 2 | 1000 | 70° | 16,000 | 11 | 1000 | 700 | 16,000 | ||
| 3 | 1000 | 80° | 16,000 | 12 | 1000 | 839 | 16,000 | ||
| 4 | 1000 | 100° | 16,000 | 13 | 1000 | 1191 | 16,000 | ||
| 5 | 1000 | 120° | 16,000 | 14 | 1000 | 1732 | 16,000 | ||
| 6 | 1000 | 140° | 16,000 | 15 | 1000 | 2747 | 16,000 | ||
| 7 | 1000 | 160° | 16,000 | 16 | 1000 | 5671 | 16,000 | ||
| 8 | 500 | 70° | 16,000 | 17 | 500 | 700 | 16,000 | ||
| 9 | 1500 | 70° | 16,000 | 18 | 1500 | 700 | 16,000 |
| Type | Angle α | a | b | c | Type | Width γ | a | b | c |
|---|---|---|---|---|---|---|---|---|---|
| V | 60° | 1.343 | 0.209 | 0.000 | U | 577 | 1.408 | 0.172 | −0.009 |
| 70° | 1.323 | 0.196 | −0.001 | 700 | 1.359 | 0.147 | −0.009 | ||
| 80° | 1.300 | 0.181 | 0.000 | 839 | 1.327 | 0.132 | −0.006 | ||
| 100° | 1.250 | 0.147 | −0.001 | 1191 | 1.261 | 0.1 | −0.013 | ||
| 120° | 1.198 | 0.113 | 0.002 | 1732 | 1.19 | 0.07 | −0.011 | ||
| 140° | 1.138 | 0.077 | 0.009 | 2747 | 1.111 | 0.04 | −0.016 | ||
| 160° | 1.068 | 0.038 | 0.031 | 5671 | 1.027 | 0.009 | −0.016 |
Disclaimer/Publisher’s Note: The statements, opinions and data contained in all publications are solely those of the individual author(s) and contributor(s) and not of MDPI and/or the editor(s). MDPI and/or the editor(s) disclaim responsibility for any injury to people or property resulting from any ideas, methods, instructions or products referred to in the content. |
© 2023 by the authors. Licensee MDPI, Basel, Switzerland. This article is an open access article distributed under the terms and conditions of the Creative Commons Attribution (CC BY) license (https://creativecommons.org/licenses/by/4.0/).
Share and Cite
Zhou, Z.; Xin, X.; Yu, J.; Liu, M. Analysis of Wind Field Characteristics of Ideal V-Shaped and U-Shaped Canyons. Sustainability 2023, 15, 10011. https://doi.org/10.3390/su151310011
Zhou Z, Xin X, Yu J, Liu M. Analysis of Wind Field Characteristics of Ideal V-Shaped and U-Shaped Canyons. Sustainability. 2023; 15(13):10011. https://doi.org/10.3390/su151310011
Chicago/Turabian StyleZhou, Zelin, Xu Xin, Jiaxin Yu, and Maoyi Liu. 2023. "Analysis of Wind Field Characteristics of Ideal V-Shaped and U-Shaped Canyons" Sustainability 15, no. 13: 10011. https://doi.org/10.3390/su151310011
APA StyleZhou, Z., Xin, X., Yu, J., & Liu, M. (2023). Analysis of Wind Field Characteristics of Ideal V-Shaped and U-Shaped Canyons. Sustainability, 15(13), 10011. https://doi.org/10.3390/su151310011

