Next Article in Journal
Students’ Food Consumption Behavior during COVID-19 Lockdown
Next Article in Special Issue
A Review of Radiative Heat Transfer in Fixed-Bed Particle Solar Receivers
Previous Article in Journal
Effect of Municipal Solid Waste Compost on Yield, Plant Growth and Nutrient Elements in Strawberry Cultivation
Previous Article in Special Issue
Investigation of the Enhancement of Boiling Heat Transfer Performance Utilizing a Hybrid Wetting Surface with a Macroscopic Millimeter-Scale Pillar Array
 
 
Font Type:
Arial Georgia Verdana
Font Size:
Aa Aa Aa
Line Spacing:
Column Width:
Background:
Article

Experimental Investigation of Thermal-Hydraulic Performance of Externally Finned Tubes

by
Aigul Zhanuzakovna Amrenova
1,
Abay Mukhamediyarovich Dostiyarov
1,
Iliya Krastev Iliev
2,
Ayaulym Konysbekovna Yamanbekova
1,
Rakhimzhan Kabievich Orumbayev
1 and
Dias Raybekovich Umyshev
1,*
1
Department of Thermal Power Plants, Institute of Heat Power Engineering and Control Systems, Almaty University of Power Engineering and Telecommunications, Almaty 050013, Kazakhstan
2
Department of Heat, Hydraulics and Environmental Engineering, “Angel Kanchev” University of Ruse, P.O. Box 7017 Ruse, Bulgaria
*
Author to whom correspondence should be addressed.
Sustainability 2023, 15(12), 9448; https://doi.org/10.3390/su15129448
Submission received: 11 May 2023 / Revised: 31 May 2023 / Accepted: 6 June 2023 / Published: 12 June 2023
(This article belongs to the Special Issue Enhancement of Heat Transfer and Energy Recovery)

Abstract

Currently there are various concepts of heat transfer intensification, on the basis of which methods have been developed to increase the heat transfer coefficient in the channels of heat exchange surfaces, which do not lead to significant additional energy costs for flow movement. The article presents the results of an experimental study on the influence of various types of fins on heat transfer processes and hydraulic resistance. The results obtained show that fins in the form of crosses and triangles are the most efficient in terms of heat transfer. However, they create the greatest hydraulic resistance. The largest value of the Nusselt number is relevant for fins type 5 and 6 due to a more active effect on the core of the flow owing to its shape. Fins 7 and 4 have the minimal influence, since they have the ‘smoothest’ shape. Studies have shown that with Reynolds numbers in the range of 13,000–32,000, fins of type 4 and 7 show the greatest resistance. It is shown that it is possible to switch from pipes without fins to pipes with fins by including the coefficient B in the Nusselt equation having a range of 0.03–0.061. It is shown that under certain conditions, heat transfer when using fins can decrease with increasing Reynolds number.

1. Introduction

The intensification of heat transfer processes is an urgent task. Methods of intensification are active, passive and mixed [1,2]. Passive methods include flow turbulence, pulsating heat pipes [3] the use of fins [4], the use of various particles [1,2]. Active methods include: the use of vibration [5], EHD [6], MHD [7]. Compound technologies include nanoparticles + MHD [8], EHD + surface enhancement [9] and different combinations [10].
Among the methods shown in Figure 1, of particular interest to the authors are the passive methods—due to their affordability—for increasing heat transfer in gas ducts of boilers manufactured in Kazakhstan.
In [9] the influence of various parameters, such as the concentration of nanofluids and the air velocity was studied when using tubes with fins. The use of finned tubes and the use of phase-changing metals [10] showed that non-uniform finning makes it possible to increase the effectiveness of the metal melting process. The study [11] of the influence of rib shapes showed that fractal fins are more efficient than rectangular ones. The study of round fins showed [12] that, unlike standard fins, they make it possible to reduce the melting time of the metal. Studies have shown that an increase in the number of fins leads to a reduction in melting time of up to 69.5% with a distance between the fins of 15.65 mm. In [13] rectangular and triangular fins in a nanosized channel were studied. An analysis of the results showed that channels with triangular fins have a more efficient heat transfer compared to channels with rectangular fins. It is noticeable that the number Nu for triangular shapes has a much higher value in certain periods P. In the article [14], four types of fins and their influence on the liquefaction of hydrogen were studied. The analysis showed that jagged, undulating fins can increase the thermal enhancement factor by up to 28.6% at low Reynolds numbers. The study showed [15] that the arrangement of front dense and rear rarefied and front rarefied and rear dense distribution of fins can improve heat transfer by improving the uniformity of the temperature difference distribution in the channel. In [16] the topology of the arrangement of fins for heat transfer processes in a heat exchanger was studied.
In [17], the influence of the ribbed material porosity on the heat transfer efficiency was studied. The analyzes showed that there is a certain limit at which the maximum efficiency of heat transfer between the external coolant and the internal one is achieved. In [18], the heat exchange area was optimized using the Class Topper Optimization method. A study of a fin in the form of a dolphin’s fin using an ANN [19] showed that this shape makes it possible to reduce hydraulic resistance by 28% compared to rectangular fins. In [20], fins in the form of triangles were studied, demonstrating an increase in heat transfer of up to 4 times. Studies of heat transfer and hydraulic resistance in tubes with rotor-assembled strands [21] showed an increase in the Nusselt number by 123%, and the friction coefficient by 74.8%. Studies of rectangular fins [22] showed an increase in the efficiency of ice storage by 9.61% compared to longitudinal fins. In [23], rectangular edges with different heights were studied, in addition to semicircular fins at flows with Reynolds numbers equal to 1000–10,000. In [24,25], the heat transfer process in a gas duct with pipes in the form of a circle, semi-circle an ellipse and a wing was studied at Reynolds numbers from 5000 to 24,000. The studies showed that the forms described above do not affect the heat transfer process, and that there is an optimal value of the Reynolds number at which maximum efficiency is achieved. In [26], Y-shaped fins were studied—such fins make it possible to increase heat transfer up to 81%. In [27], the optimization of heat transfer in a heat exchanger with rectangular fins was carried out. In [28], the heat transfer process of a two-phase flow was studied at low Reynolds numbers. Studies have shown that in order to increase heat transfer during finning, the flows must have a large temperature difference and high values of the Reynolds number. Studies of spiral fins at Reynolds numbers equal to 4000–18,000 showed that with an increase in fin pitch, pressure losses decrease.
In general, the analysis shows that the heat transfer process is affected by the Reynolds number, the shape of the fin, and the location of the fins relative to each other. In this paper, an analysis of 6 types of fins of various shapes is presented. The main focus of our research is not the changes in the Reynolds number, i.e., speed, but on the influence of the shape of the channel created by the fins.
The need to intensify heat transfer by influencing the flow, and not just increasing the speed, is dictated by the specifics of the heating surfaces of small heating boilers for which these fins are being developed. Only a joint analysis of the quantities introduced as a quantitative measure of the intensity of heat transfer and the power consumed for pumping the coolant can give an objective assessment of the experimental results. In existing convective surfaces, due to additional sources of energy dissipation, this ratio is violated in favor of momentum carriers. Therefore, optimal or close conditions for this ratio can only be created artificially with the help of various intensifying effects or their combinations.
It is known that the arrangement of fins installed along a rectangular channel extended to the flow core is more expedient than if they were to be located on the channel walls. The fins affect the angular dead zones of the rectangular channel in such a way that they are more and more connected to the heat exchange process, with a moderate increase in hydraulic resistance. All these considerations were taken into account when designing the new surface formed by the tube panels. This surface should take advantage of the additional pipe sections formed by the fins, as well as the curvilinear flow effect, and, in addition, it should be less uniform in relation to the surface of an equivalent round pipe.
It can be seen from the literature analysys that a lot of work has been done in the field of increasing heat transfer processes. In this article, new forms of ribs are presented to increase heat transfer. The article also presents new dependences Nu and ξ on the location of new types of ribs along the pipe.

2. Materials and Method

Figure 2 presents a general approach to conducting experimental studies. For this, an experimental stand was created, shown in Figure 3. For the experiment a gas duct was chosen, in which pipes with fins were located on one side of the pipe. The air moved in the channel between the finned tubes. Based on the results of the studies, empirical formulas were obtained for the dependence of the hydraulic loss coefficient and the Nu number.
The flue is made of two pipe panels on each side. Pipes of opposite screens are offset relative to each other by h/2, where h is the distance between the centers of adjacent pipes. A channel of a complex shape with longitudinal turbulence fins is formed in the cross section of the gas duct. The presence of corner zones in such a channel impairs heat transfer; therefore, turbulence fins were proposed that changed the flow conditions in the corner zones. Such a surface can be used, for example, in a steel hot water boiler [29,30]. The turbulence fin connects the corner zones of the flue formed by two adjacent pipes to the active heat exchange. Moreover, the gases are directly discarded onto the heat exchange surface of the pipes. At significant gas flow velocities (up to 16 m/s), self-blowing of the pipe surface is expected, the largest in places where the flow is deflected by a fin.
In addition, the location of the longitudinal turbulence fins on the screen tubes was a discontinuous step t, the length of which changed. Part of the flow, getting into the intercostal space, accelerated, and then in the area without fins slowed down. Thus there was a periodic change in the flow rate, which created a corresponding change in static pressure.
The air from the compressor entered the electric heater and was heated to a temperature of 200–250 °C. Heating was carried out by four nichrome wire spirals connected in parallel. In the first variant, thermal resistances made of Kh18N9T stainless steel with a diameter of 12 × 1 mm served as heaters, through which a current of 30 V was passed, with a current of I = 300–1000 amperes. The air temperature was regulated by changing the heating intensity of the spirals (the current strength was changed using a transformer). After the heater, heated air passed through a pipe with a diameter of 89 × 4 mm through a stabilizing section and a diaphragm and then entered the experimental section.
Heated water up to 25–27 °C was supplied to a constant level tank at a height of 2500 mm from the axis of the experimental section and, after passing through all eight pipes, was drained into a supply measuring tank. The water temperatures at the inlet and outlet of the experimental section were measured by laboratory thermometers with a division value of 0.1 °C. The air flow rate was determined by the pressure drop across the narrowing device (diaphragm). The air temperatures at the inlet and outlet of the experimental section were measured using a chromel-copel thermocouples. To determine the coefficient of hydraulic resistance of the experimental section (by air), the difference in static pressure at the inlet and outlet of the section was determined.
Thus, the creation of a new convective surface consists of finding optimal fin parameters (position and pitch) that will provide sufficiently high thermal characteristics with an acceptable gas duct resistance. There is a need to study the influence of these parameters on the heat transfer and resistance of a channel of complex cross-section without longitudinal turbulent fins, and with them. Figure 4 shows a cross-section of a screened flue without longitudinal fins. Figure 5 shows the types of flow turbulators and their location in the pipes.
A fairly large amount of equipment was used for the experiments. Table 1 shows the main equipment and errors.
The measurement error is presented in Table 2. Based on the purpose of the experiments, we measured the dependence of the Nu number on the Re number, pressure on the Reynolds number. All other measurements were obtained by the calculation method from the obtained data of pressure, temperature and velocities. Reynolds number depends on speed, Nusselt number on coolant temperatures, stresses and hydraulic resistances on pressure.
Measurement of the hydrodynamic characteristics of the turbulent flow was carried out on all models of gas duct channels in the range of Re numbers from 5000 to 45,000, which corresponds to a change in the average velocity of 4–30 m/s. All measurements were made after achieving hydrodynamic and thermal stabilization.

3. Results

Figure 6 shows the distribution of static pressure along the length of the gas duct channel at various numbers without split fins. The presence of an inlet confuser section at the beginning of the channel and an increase in velocity explain the sharp drop in static pressure. Starting from the distance x/l = 0.27 and up to x/l = 0.72, the change in the relative static pressure becomes uniform. From a relative distance x/l = 0.82, the relative static pressure increases, since a diffuser is formed at the exit from the experimental section and the exit velocity decreases.
The Pst/Pst.max = ƒ(x/l) dependency graph allows us to determine the static pressure measurement area for calculating the drag coefficient in a straight channel with a complex cross section. In straight channels with a complex cross section, the areas of hydrodynamic stabilization are larger than in a round pipe [31]. This is explained by the fact that in the corner zones of the channel section, a laminar flow regime takes place, even in the presence of a developed turbulent flow regime in the core, and the process of hydrodynamic stabilization can be delayed up to large Re numbers.
Figure 7 shows the total pressure distribution over the channel width. The maximum total pressure in the cross section of the channel without fins falls on the middle of the section.
The distribution of static pressure practically does not differ from the distribution in a straight channel of a rectangular cross section. The static pressure slightly increases when approaching the wall. When measuring the field of total and static pressure in the measurement plane, in the area between the spacers and pipes to optimize the model, asymmetry could not be detected.
All experimental sections of the channel models allow for the distance between the pipe panels to be altered. Figure 8 shows the dependence of the wetted perimeter on the equivalent diameter for a channel without longitudinal fins.
Figure 9 shows the dependences of τw on the coordinates of points located along the channel wall. In case of minimum distance between tube panels position a, the space between opposite tubes of the panels is reduced to 5 mm. In this case, at points 1, 5, and 12 (points 1 and 5 correspond to the corner zones), the minimum values of τw are obtained. At Re = 16,990, respectively, 0.021 and N·s/m, 0.021 N·s/m and 0.031 N·s/m, and at Re = 33,831, respectively, 0.077, 0.077 and 0.099 and N·s/m. This is due to the influence of neighboring boundary layers, their superposition, which leads to a noticeable decrease in velocity in the corner zones and places in proximity to the opposite walls. It is known that shear stress propagates parabolically, and has a maximum value at the extreme ends [32]. As can be seen from Figure 9, at a minimum distance L = 5 mm, Re = 33,831, the shear stress force has a maximum value. Moreover, it can be seen that they are maximum at the highest points and minimum in the corner and flat zones [32]. The decrease in τw in corner zones and narrow annular spaces has been experimentally confirmed.
In this case, processing seems to be a more accurate method (determination of the resistance coefficient ξ, broken down into individual channels, formation by adjacent pipes.
Figure 10 shows the distribution of τ/τaver. along the wall along the perimeter of the channel shown in Figure 3. In this case, the minimum distance between opposite pipes of opposite panels was 16–17 mm with a constant transverse pitch of pipes in the panels. The minimum values of Tw for the numbers Re = 22,815 and Re = 16,990 are obtained only in the corner zones of the channel. There are no minima of τw at all points of the channel. Thus, when the distance between the opposite pipes of the panels increases by more than 17–18 mm or dequiv > 0.038 m, with a constant pitch of the pipes in the panel, their influence on each other is not affected. According to studies [33,34], the influence of the vertical distance between pipes on the flow velocity and perturbations is much greater than the horizontal distance. Therefore, in order to eliminate the influence on the heat transfer of the pipes and ensure optimal air flow, we have carried out a study in which the minimum distance between the pipes is respected and the minimum influence on the flows around the pipes by adjacent pipes.
Processing of the drag coefficient according to the generally accepted method at dequiv = 0.029 m and Fsec = 0.0071 m2 gives an unreasonable increase in ξ relative to a straight round pipe. A further increase in the distance between the tube panels points to an asymmetry in the temperature velocity profile. In this case, one should expect deviations in the values of the coefficient of hydraulic resistance, machined according to the equivalent diameter. Therefore, for experimental studies a distance equal to L = 15 mm was chosen.
The asymmetry of the temperature profile presented in Figure 11 is explained by the influence of the walls of adjacent pipes in the panel, the minimum distance between them is 20–22 mm. The velocity in the core of the flow is greater than in the annulus.
As a result of the study of hydrodynamics in the gas duct channel and the analysis of experimental data, the most acceptable channel turned out to be a channel with a distance between the axes of the pipe panels of the order of L = 15 mm. The location (pitch) of the pipes in the panel is determined by calculations, at which the temperature difference between the midpoint and the root of the membrane should not exceed the value of the temperature difference Δtpr = tav. − troot, at which the rupture stress τΔt < 4 τstr.str.
The rupture stress between the spacer and the pipe due to the temperature difference Δt is four times less than the tensile strength of the spacer and the weld. The experimentally found arrangement of pipes in the gas duct channel seems to be optimal from the point of view of flushing the surface of the pipes that are most involved in the convective surface.
In such a channel, only the corner zones between the spacers and pipes remain. Fins were used in order to intensify the heat transfer by turbulizing the flow, with the maximum use of corner zones and the development of the convective surface. Based on the studies carried out and the laws of hydrodynamics, it is known that when entering a certain area, the flow needs a certain time to stabilize [35]. Based on our experiments, we found that the flow stabilizes at a distance of 0.27 from the length of the entire study area. Similarly, it is known that as the cross section narrows and increases, disturbances occur in the flow, in particular, at the outlet of the experimental setup, the flow was somewhat slowed down, which led to some perturbations in the flow [36]. It has been experimentally shown that the section of the gas duct channel between x/l = 0.27 and x/l = 0.72 is the most suitable for determining the static pressure drop and calculating the drag coefficient. In this section, the static pressure varies along the length according to a linear law. For a hydrodynamically stabilized section, the hydraulic resistance coefficient was reduced to the form (1):
ξ   =   A · Re n  
The coefficient of hydraulic resistance for the channels of the gas duct was determined for isothermal air flow and non-isothermal flow, with a temperature factor τw/τaver. = 0.62–0.74.
Figure 12 shows the dependence of pressure losses for various types of fins. As can be seen from the figure, the smallest losses prevail in a pipe with pipes without fins. The greatest losses are typical for pipes 2.7. In general, it can be seen that the hydraulic resistances of various types of fins largely depend on the Reynolds number, and the maximum discrepancy between them does not exceed 0.06, which is confirmed by the studies conducted in [37].
Figure 13 shows the dependence of the pressure drop ΔP on the drag coefficient ξ. To create a graph, it was customary to average the values of the drag coefficient. As can be seen from the graph, an increase in resistance along the pipe leads to a pressure drop. Moreover, the dependence is linear.
Figure 14 shows the dependences of the drag coefficient on the Reynolds number for gas duct channels without fins, as well as with longitudinal split and discontinuous fins; for comparison, the dependence ξ0 = 0.316/Re25 for a straight smooth pipe is shown. For all studied 7 channels of the off-screen flue, the coefficients of formula (1) were determined by the least squares method. Coefficients A, n and the generalization accuracy are shown in Table 3.
The accuracy of the generalization of the experimental results makes it possible to use the coefficients from Table 1 for practical calculations of hydraulic resistance within the studied limits of Reynolds numbers.
A qualitative representation of the increase in the coefficient of hydraulic resistance according to experimental data depending on the Reynolds number and the relative pitch of the fins is shown in Figure 15 and Figure 16. The increase in the coefficient of hydraulic resistance relative to a technically smooth pipe is determined by the following formula:
ξ i ξ 0 = B 0.316 · Re 0.25 n
Figure 15 shows a plot of the relative drag coefficient ξi0. The increase in the hydraulic resistance coefficient for gas duct channel 1 without longitudinal fins turbulizing the flow is explained by the fact that as the Reynolds number increases, a greater part of the corner zones with a laminar regime is squeezed out by the flow core to the corner vertices. This means a large part of the perimeter of the channel cross section interacts with the flow, eliminating the laminar part of the corner zones. When the cross-section of the screen gas duct channel without longitudinal fins was optimized earlier, the values of the interpanel distance at which there is effectively no influence on the boundary layers of opposite pipes were demonstrated. Thus, in a gas duct channel without fins, with a developed turbulent flow regime, the hydraulic resistance will be greater than that of a straight pipe.
A steeper increase in the coefficient of hydraulic resistance for channels No. 2, No. 3, No. 5, and No. 6 is explained by the presence of discontinuous and split longitudinal fins with bent edges, which contribute to the development of disturbances. In channels No. 2, No. 3, No. 7, and No. 6 a periodic deviation of the main part of the flow in opposite directions in the annular elements and, thereby, the appearance of body forces can be observed, in addition to a periodic change in velocity along the entire channel. In areas where the flow velocity increases, the static pressure drops, and in areas with a lower flow rate, the static pressure is greater. The increase in the value of ξi/ξ0 for model No. 5 is explained by the fact that disturbances periodically arise in this model after t/h = 7.14.
The increase in the coefficient of hydraulic resistance of model No. 7 compared to a straight pipe was about 2.83–3.58 in the range of Reynolds numbers 6.3·103–3.1·105. A further decrease in the relative value of t/h and maintaining the pitch of the pipes in the panel leads to a sharp increase in hydraulic resistance.
Table 4 shows the experimental data on the increase in the hydraulic resistance coefficients in the studied range of Reynolds numbers.
All investigated channels give a relative increase in the coefficient of hydraulic resistance in comparison with a straight pipe depending on the Reynolds number. The largest increase was obtained for channel No. 6—the steeper line.
An increase in the hydraulic resistance coefficient with a decrease in the relative step t/h is shown in Figure 16. This is explained by the fact that for split fins, the main part of the flow often changes direction and is directed to the surface of the pipes. The smallest average of the hydraulic resistance coefficient ξ studied in this work was obtained for the channel of screen gas duct No. 1 without fins. The relative increase in ξi/ξ0 can be explained by the fact that the relative roughness of rectangular channels with a large aspect ratio and those similar in shape to them can be almost 50% higher than that calculated for the hydraulic diameter, this will in turn entail a proportional increase in the calculated drag coefficient. The highest average coefficient of hydraulic resistance was obtained for channel No. 6 with t/h = 14.2.
Channel optimization in terms of hydraulic resistance in itself, without examining the heat transfer, has no practical meaning. Thus we naturally shift our focus onto the further study of heat transfer in the channels of the gas ducts.
The study of heat transfer in the channels of the screened gas duct was carried out on the 7 models, including a channel without longitudinal fins. The Reynolds number varied within (5–35)·104, the temperature of the heated air at the inlet to the experimental section was in the range of 500–600 °K. The heat stress of the heating surface was comparable to values under the conditions of actual operation of heating surfaces and amounted to 3–15 kW/m.
Figure 14 shows the dependence of the Nusselt number on the Reynolds number for the studied 7 channels with split and discontinuous fins, generalized by the least squares method according to the correlation. The values for Formula (3) presented in Table 5.
  Nu = B · Re m
Heat transfer in a technically smooth pipe is described by the equation
Nu = 0.02 · Re 0.8
Dividing the principle Equation (3) by Equation (4), we obtain a formula that characterizes the intensification of heat transfer in the channels of the screen gas duct relative to a technically smooth pipe
  Nu Nu 0 = B 0.02 · Re m 0.8
The values for Formula (5) is presented in Table 6.
Figure 17 shows the results of experimental data on heat transfer enhancement for all 7 investigated channels relative to a straight pipe depending on the Reynolds number. It is necessary to further elaborate on the dependence lgNu = f(lgRe) for channel No. 1 without longitudinal fins. The exponent at the Reynolds number in such a heat exchange channel is greater than 0.7. In this case, as the Reynolds number increases, the heat transfer with respect to a straight round pipe decreases. At Re = 5011 the value of the dependence Nu/Nu0 is 1.18, and at Re = 31,622—it is Nu/Nu0 = 1.09. The intensification of heat transfer in the straight channel of the shielded gas duct is explained by the fact that, with equal equivalent diameters to a round pipe, the wetted perimeter in the gas duct channel is 8.3 times greater than that in the round pipe. Such a channel is closer in its characteristics to straight channels with a rectangular cross section and with a large aspect ratio. Also, when ribs are added to the channel, the flow pattern changes: when the fins are flowed around by a air flow, regions of weak return flows (stagnant zones) are formed at their base, in which the thickness of the boundary layer increases due to the displacement of streamlines from the surface near right angles between the transverse annular fins and surface of the pipe. An increase in the Reynolds number leads to an intensification of this process. Compared to a channel without fins, an increase in the heat transfer coefficient is observed only on the surface of the fins, and the values of the average heat transfer coefficient along the channel length and the transferred heat flux are somewhat less [37].
It is quite reasonable to assume that the relative roughness for rectangular channels with a large aspect ratio can be almost 50% higher than that calculated for the hydraulic diameter, and this will entail a proportional increase in the calculated resistance coefficient, which naturally leads to an increase in heat transfer in such channels.
For channels 2–7, the dependence on the Reynolds number appears to be an exponent less than for a pipe of 0.8 and more than that for a heat transfer in in-line and staggered bundles of smooth pipes 0.65 and 0.6. This explains why in Figure 14 the dependences of Nu/Nu0 on the Reynolds number are lines with different slopes for each step of the longitudinal fins. Moreover, the steeper change in Nu/Nu0 is explained by the separated flow at high Reynolds numbers for the channel with fins No. 3, No. 7, and No. 8. A smooth change in the dependence Nu/Nu0 is typical for channels No. 2, No. 3 and No. 4 with insignificant perturbing actions of both split fins and to a great extent of setups with bent edges. The results of the study are presented in Table 3.
Table 5 shows the values of the coefficients and the accuracy of the generalization of the experimental results. The standard deviation of the experimental points from the generalizing straight line in the coordinates lgNu and lgRe of model 5 is (3.2%) with an average value for all channels of 2.64%. The maximum deviation of the points is 5.0% with an average value of 5.11%.
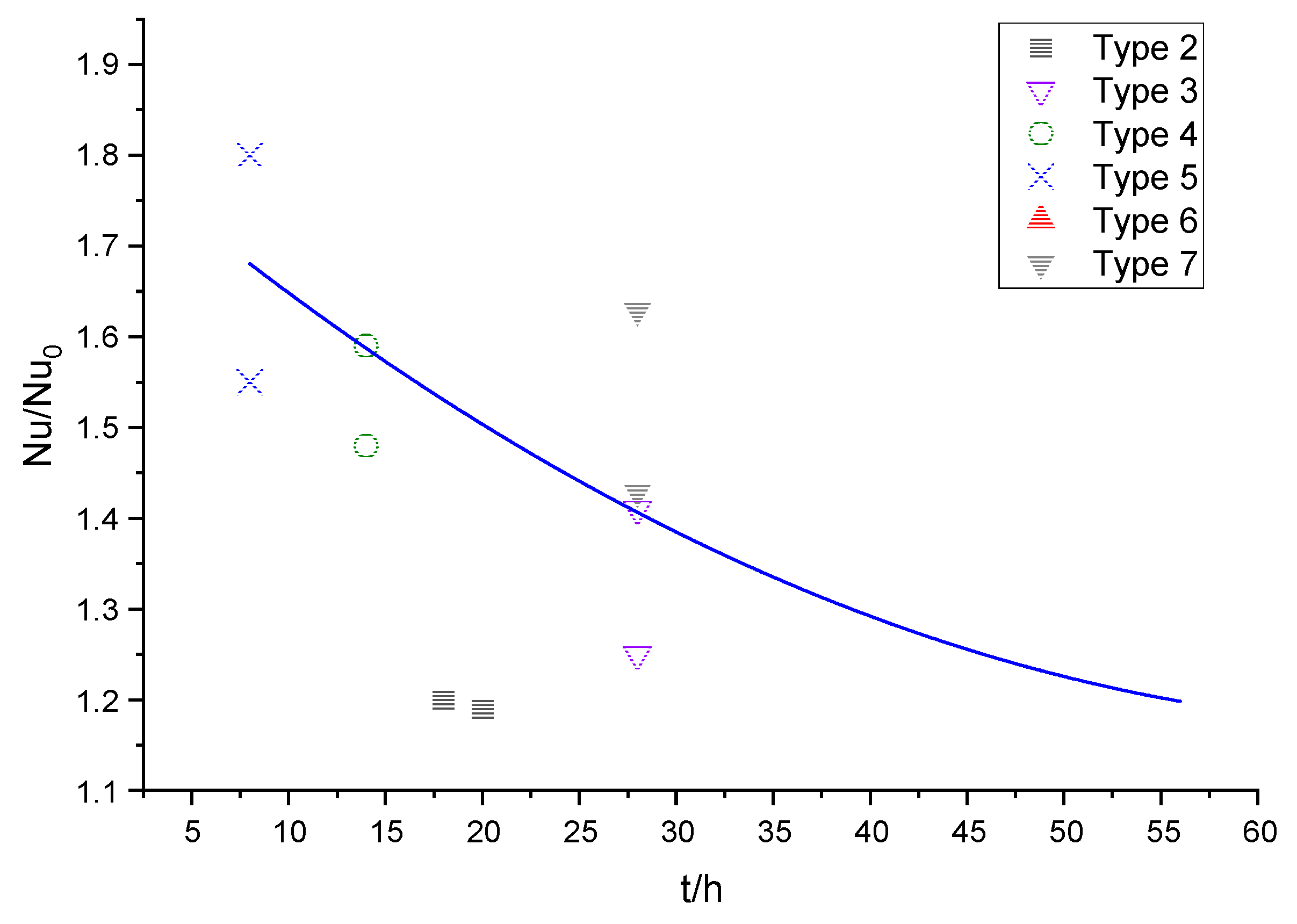
Figure 18 shows the effect of the longitudinal fin pitch t/h on the increase in heat transfer. The range of the Re number is from 5·103–10·103. The graph shows two points for each model. A higher value of heat transfer was obtained at a lower value of the Reynolds number 6309. The considered range in terms of the Reynolds number coincides with the real values in the convective surface of hot water boilers and other heat exchange surfaces. With a decrease in the longitudinal step of the height of the bent edges t/h from 57 to 14, we note an increase in heat transfer Nu/Nu0 to 1.79 at Re = 5011, to 1.22 for model No. 2, and to 1.43 at Re = 5011 for model No. 3 with t/h = 5.
A further decrease in the longitudinal step of the bent edges t/h from 14 to 7 for model No. 6 with split intermittent fins gives an increase in heat transfer to the ratio Nu/Nu0 = 1.97 and 1.59. In channels No. 4 and 5 due to the small gap between each subsequent rib, the section between adjacent fins should be taken as the channel element. The flow in these channels should be broken down into the flow between adjacent fins. In such elements, the edges will affect part of the flow in only one step, as each subsequent one affects the flow part of the neighboring element. The maximum intensification of heat transfer from the studied channels was obtained for model No. 6 with t/h = 14.3. At the value of Re = 5011, the channel of the screen gas duct No. 6 has the ratio Nu/Nu0 = 1.96.
The possibility to calculate the heat transfer coefficient in the channels of a gas duct with fins appears after generalization of the experimental data for the range of the longitudinal pitch of the installation of bent edges from t/h = 7.4 to t/h = 58. Figure 19 summarizes the results of the study of heat transfer in a gas duct with different types of fins. As can be seen from the analysis results, increasing the Reynolds number is the most effective way for all types of fins [38]. However, the largest value of the Nusselt number is relevant for type 5 and 6 fins due to a more pronounced effect on the core of the flow due to its shape. Edges 7 and 4 have the most minimal influence, since they have the “smoothest” shape.
Figure 20 summarizes the results of a resistance study in a gas duct with different types of fins. Fins of type 6 and 5 have the highest level of resistance, due to the impact on the core of the flow. On the one hand, this leads to an increase in heat transfer efficiency, but on the other—to greater hydraulic losses. The most effective in terms of hydraulic resistance are fins of type 4 and 7 due to the more optimal shape.

4. Discussion

The conducted studies show that the use of longitudinal ribs for heat exchange processes and hydraulic losses showed that, depending on the type of fins, it is possible to achieve an increase in heat transfer, but at the same time increase the resistance in the channel. It was shown that along the length of the channel, pressure losses vary in the range ΔP = 3250 − 6675 Pa. Moreover, the maximum losses are observed for ribs of type 2 and 3. For them, the maximum losses are 6750 and 6675, respectively. Similar results were obtained by the authors in [39,40]. The obtained results of the dependence of the Nu number on the Re number for various types of ribs showed that the increase in the Reynolds number allows obtaining values equal to 110–250, with Reynolds numbers varying from 5000–45,000. Similar results were obtained in [41].
Contribution to sustainability: The conducted studies allow more efficient use of heat exchange surfaces. Knowing that electric pumps are used to pump liquids, and the main fuel for electricity generation in Kazakhstan is coal, new types of fins allow saving a certain part of solid fuel from burning. These types of fins are supposed to be used in boilers that will burn organic fuel. Increasing the efficiency of heat transfer will save fuel and, accordingly, reduce the negative impact on the environment.

5. Conclusions

An experimental investigation of the thermal-hydraulic performance of externally finned tubes was conducted. As can be seen from the analysis of the results, increasing the Reynolds number is the most effective way for all types of fins. However, the largest value of the Nusselt number is relevant for the examined fins of type 5 and 6 due to a more active effect on the core of the flow owing to its shape. These fin types also have the highest level of resistance, again due to the impact on the core of the flow. This leads to an increase in the efficiency of heat transfer, but also to greater hydraulic losses. A formula generalizing heat transfer and hydraulic resistance for various types of fins was presented. It is shown that it is possible to switch from pipes without fins to pipes with fins by including the coefficient B in the Nusselt equation having a range of 0.03–0.061. It is shown that under certain conditions, heat transfer when using fins can decrease with increasing Reynolds number.
Fins of type 6 and 5 have the highest level of resistance, due to the impact on the core of the flow. On the one hand, this leads to an increase in heat transfer efficiency, but on the other—to greater hydraulic losses. The most effective in terms of hydraulic resistance are fins of type 4 and 7 due to the more optimal shape. Analysis shows that increasing the Reynolds number is the most effective way for all types of fins. However, the largest value of the Nusselt number is relevant for type 5 and 6 fins due to a more pronounced effect on the core of the flow due to its shape. Tubes with fins type 7 and 4 have the most minimal influence, since they have the “smoothest” shape.

Author Contributions

Conceptualization, D.R.U. and A.M.D., supervision A.M.D. and I.K.I., resources R.K.O. and A.K.Y.; methodology, R.K.O.; software, D.R.U.; validation, R.K.O., A.Z.A. and D.R.U.; formal analysis, A.M.D.; investigation, R.K.O.; resources, R.K.O. and A.K.Y.; data curation, R.K.O.; writing—original draft preparation, R.K.O.; writing—review and editing, D.R.U.; visualization, D.R.U.; supervision, A.M.D. and I.K.I.; project administration, A.M.D.; funding acquisition, A.M.D. All authors have read and agreed to the published version of the manuscript.

Funding

This research received no external funding.

Informed Consent Statement

Not applicable.

Data Availability Statement

The data presented in this study are available on request from the corresponding author. The data are not publicly available due to university restrictions.

Conflicts of Interest

The authors declare no conflict of interest.

References

  1. Bakthavatchalam, B.; Habib, K.; Saidur, R.; Saha, B.B.; Irshad, K. Comprehensive study on nanofluid and ionanofluid for heat transfer enhancement: A review on current and future perspective. J. Mol. Liq. 2020, 305, 112787. [Google Scholar] [CrossRef]
  2. Habibishandiz, M.; Saghir, M. A critical review of heat transfer enhancement methods in the presence of porous media, nanofluids, an d microorganisms. Therm. Sci. Eng. Prog. 2022, 30, 101267. [Google Scholar] [CrossRef]
  3. Der, O.; Alqahtani, A.A.; Marengo, M.; Bertola, V. Characterization of polypropylene pulsating heat stripes: Effects of orientation, heat transfer fluid, and loop geometry. Appl. Therm. Eng. 2020, 184, 116304. [Google Scholar] [CrossRef]
  4. Huang, D.-S.; Chen, T.-C.; Tsai, L.-T.; Lin, M.-T. Design of fins with a grooved heat pipe for dissipation of heat from high-powered automotive LED headlights. Energy Convers. Manag. 2018, 180, 550–558. [Google Scholar] [CrossRef]
  5. Ding, Z.; Xu, L.; Liu, D.; Yang, Y.; Yang, J.; Tang, D. Influence of support gap on flow induced vibration of heat exchange tube. Ann. Nucl. Energy 2023, 180, 109443. [Google Scholar] [CrossRef]
  6. Patel, V.K.; Seyed-Yagoobi, J. Long-Term Performance Evaluation of Microscale Two-Phase Heat Transport Device Driven by EHD Conduction. IEEE Trans. Ind. Appl. 2014, 50, 3011–3016. [Google Scholar] [CrossRef]
  7. Bhatti, M.; Bég, O.A.; Ellahi, R.; Doranehgard, M.; Rabiei, F. Electro-magnetohydrodynamics hybrid nanofluid flow with gold and magnesium oxide nanoparticles through vertical parallel plates. J. Magn. Magn. Mater. 2022, 564, 170136. [Google Scholar] [CrossRef]
  8. Ashraf, M.B.; Rafiullah; Tanveer, A.; Ulhaq, S. Effects of Cattaneo-Christov heat flux on MHD Jeffery nano fluid flow past a stretching cylinder. J. Magn. Magn. Mater. 2023, 565, 170154. [Google Scholar] [CrossRef]
  9. Delouei, A.A.; Atashafrooz, M.; Sajjadi, H.; Karimnejad, S. The thermal effects of multi-walled carbon nanotube concentration on an ultrasonic vibrating finned tube heat exchanger. Int. Commun. Heat Mass Transf. 2022, 135, 106098. [Google Scholar] [CrossRef]
  10. Nedjem, K.; Laouer, A.; Teggar, M.; Mezaache, E.H.; Arıcı, M.; Ismail, K.A. Performance enhancement of triplex tube latent heat storage using fins, metal foam and nanoparticles. Int. Commun. Heat Mass Transf. 2022, 139, 106437. [Google Scholar] [CrossRef]
  11. Shi, S.; Niu, J.; Wu, Z.; Luo, S.; Gao, X.; Fang, Y.; Zhang, Z. Experimental and numerical investigation on heat transfer enhancement of vertical triplex tube heat exchanger with fractal fins for latent thermal energy storage. Int. J. Heat Mass Transf. 2022, 198, 123386. [Google Scholar] [CrossRef]
  12. Sanchouli, M.; Payan, S.; Payan, A.; Nada, S. Investigation of the enhancing thermal performance of phase change material in a double-tube heat exchanger using grid annular fins. Case Stud. Therm. Eng. 2022, 34, 101986. [Google Scholar] [CrossRef]
  13. Wang, M.; Sun, H.; Cheng, L. Enhanced heat transfer characteristics of nano heat exchanger with periodic fins: A mo-lecular dynamics study. J. Mol. Liq. 2021, 341, 116908. [Google Scholar] [CrossRef]
  14. Xu, P.; Wen, J.; Wang, S.; Lei, G.; Li, Y. Study on performance comparison of different fin combinations of catalyst filled plate fin heat exchanger for hydrogen liquefaction. Int. J. Hydrogen Energy 2022, 47, 23661–23678. [Google Scholar] [CrossRef]
  15. Zengxiao, H.; Jiangfeng, G.; Haiyan, L.; Zhongmei, Z.; Xiulan, H. Numerical investigation on the thermal-hydraulic performance of supercritical CO2 in a modified airfoil fins heat exchanger. J. Supercrit. Fluids 2022, 187, 105643. [Google Scholar]
  16. Petrovic, M.; Fukui, K.; Kominami, K. Numerical and experimental performance investigation of a heat exchanger designed using topologically optimized fins. Appl. Therm. Eng. 2023, 218, 119232. [Google Scholar] [CrossRef]
  17. Akbarnataj, K.; Hamidpour, M.R.; Shirani, E.; Salimpour, M.R. Optimization of porous finned heat exchanger configuration using the comprehensive performance methodology. Int. Commun. Heat Mass Transf. 2022, 138, 106318. [Google Scholar] [CrossRef]
  18. Mohapatra, S.; Das, D.K.; Singh, A.K. Minimizing Heat Transfer Area of Plate-fin Heat Exchangers applying Class Topper Optimization. IFAC-PapersOnLine 2022, 55, 878–883. [Google Scholar] [CrossRef]
  19. Bashtani, I.; Esfahani, J.A.; Kim, K.C. Hybrid CFD-ANN approach for evaluation of bio-inspired dolphins dorsal fin turbulators of heat exchanger in turbulent flow. Appl. Therm. Eng. 2023, 219, 119422. [Google Scholar] [CrossRef]
  20. Syed, K.S.; Ishaq, M.; Bakhsh, M. Laminar convection in the annulus of a double-pipe with triangular fins. Comput. Fluids 2011, 44, 43–55. [Google Scholar] [CrossRef]
  21. Yang, W.; Jiang, P.; Yan, H.; He, X.; Guan, C. Performance assessment in a tube with rotor-assembled strands mixed by spiral ladder rotor and low flow resistance rotor. Int. J. Heat Mass Transf. 2015, 84, 319–326. [Google Scholar] [CrossRef]
  22. Liu, Z.; Quan, Z.; Zhao, Y.; Jing, H.; Wang, L.; Liu, X. Numerical research on the solidification heat transfer characteristics of ice thermal storage device based on a compact multichannel flat tube-closed rectangular fin heat exchanger. Energy 2021, 239, 122381. [Google Scholar] [CrossRef]
  23. Aldoori, W.H. The effect of fin height on forced convection heat transfer from rectangular fin array. Mater. Today Proc. 2021, 80, 3181–3188. [Google Scholar] [CrossRef]
  24. Abdelfattah, A.A.; Zawati, H.; Ibrahim, E.Z.; Elsayed, M.L.; Abdelatief, M.A. Assessment strategy for a longitudinally finned semi-circular tube bank. Int. Commun. Heat Mass Transf. 2022, 139, 106489. [Google Scholar] [CrossRef]
  25. El Gharbi, N.; Kheiri, A.; El Ganaoui, M.; Blanchard, R. Numerical optimization of heat exchangers with circular and non-circular shapes. Case Stud. Therm. Eng. 2015, 6, 194–203. [Google Scholar] [CrossRef]
  26. Zhao, M.; Tian, Y.; Hu, M.; Zhang, F.; Yang, M. Topology optimization of fins for energy storage tank with phase change material. Numer. Heat Transf. Part A Appl. 2020, 77, 284–301. [Google Scholar] [CrossRef]
  27. Allahyarzadeh-Bidgoli, A.; Mehrpooya, M.; Yanagihara, J.I. Geometric optimization of thermo-hydraulic performance of multistream plate fin heat exchangers in two-stage condensation cycle: Thermodynamic and operating cost analyses. Process. Saf. Environ. Prot. 2022, 162, 631–648. [Google Scholar] [CrossRef]
  28. Vaisi, A.; Javaherdeh, K.; Moosavi, R. Experimental investigation of the thermal performance in a single-component two-phase flow in multistream multi-fluid plate-fin heat exchangers. Int. J. Therm. Sci. 2021, 171, 107194. [Google Scholar] [CrossRef]
  29. Kiatpachai, P.; Kaewkamrop, T.; Mesgarpour, M.; Ahn, H.S.; Dalkılıç, A.S.; Mahian, O.; Wongwises, S. Air-side performance of embedded and welded spiral fin and tube heat exchangers. Case Stud. Therm. Eng. 2022, 30, 101721. [Google Scholar] [CrossRef]
  30. Antonescu, N.; Stănescu, P.-D. Computational Model for a Condensing Boiler with Finned Tubes Heat Exchanger. Energy Procedia 2017, 112, 555–562. [Google Scholar] [CrossRef]
  31. Ferreira, G.; Sucena, A.; Ferrás, L.L.; Pinho, F.T.; Afonso, A.M. Hydrodynamic Entrance Length for Laminar Flow in Micro-channels with Rectangular Cross Section. Fluids 2021, 6, 240. [Google Scholar] [CrossRef]
  32. Keerthana, R.; Bama, P.S. Shear Stress Distribution in Beams. Int. Res. J. Eng. Technol. 2019, 6, 163. [Google Scholar]
  33. Saqr, K.M.; ElDrainy, Y.A.; Musa, M.N. 3-D numerical study of the effect of fin discontinuity on heat transfer augmentation in pipes having internal longitudinal fins for turbulent compressible flow. Int. J. Mech. Mater. Eng. 2009, 4, 62–69. [Google Scholar]
  34. Rawad, D. Influence of Relative Longitudinal and Transversal Pitch on the Flow Characteristics of a Checker Beam of Tear-shaped Tubes//Reports of the Academy of Sciences of the Higher School of the Russian Federation. Available online: https://journals.nstu.ru/doklady/catalogue/contents/view_article?id=30661 (accessed on 10 May 2023).
  35. Smyk, D.; Mrozik, S.; Wawrzyniak, K.; Peszyński, K. Tabular air deflector in ventilation ducts. In Proceedings of the 23rd International Conference Engineering Mechanics 2017, Svratka, Czech Republic, 15–18 May 2017. [Google Scholar]
  36. Zhukov, N.P. Hydrogasdynamics: Textbook; Publishing House of FGBOU VPO “TSTU”: Tambov, Russia, 2011; 92p. [Google Scholar]
  37. Zubkov, P.T.; Tarasova, E.N. Hydrodynamics and heat transfer in a channel with ring fins. TVT 2004, 42, 917–920. [Google Scholar]
  38. Marcinkowski, M.; Taler, D.; Taler, J.; Weglarz, K. Air-Side Nusselt Numbers and Friction Factor’s Individual Correlations of Finned Heat Exchangers. Energies 2022, 15, 5630. [Google Scholar] [CrossRef]
  39. Shahdad, I.; Fazelpour, F. Numerical analysis of the surface and geometry of plate fin heat exchangers for increasing heat transfer rate. Int. J. Energy Environ. Eng. 2018, 9, 155–167. [Google Scholar] [CrossRef]
  40. Pai, W.; Yeh, R.-H. Experimental investigation of heat transfer and pressure drop characteristics of internal finned tubes. Int. J. Heat Mass Transf. 2022, 183, 122183. [Google Scholar] [CrossRef]
  41. Matice, C.J.; Gao, B. Calculation of Finned Tube Pressure Drop and Heat Transfer Using Fully Three-Dimensional cfd Methods; Stress Engineering Services, Inc.: Baltimore, MD, USA; Calgary, AL, USA, 2010. [Google Scholar]
Figure 1. Methods of intensifying heat transfer in pipes.
Figure 1. Methods of intensifying heat transfer in pipes.
Sustainability 15 09448 g001
Figure 2. Methodology for conducting experimental studies.
Figure 2. Methodology for conducting experimental studies.
Sustainability 15 09448 g002
Figure 3. Scheme of the experimental setup.
Figure 3. Scheme of the experimental setup.
Sustainability 15 09448 g003
Figure 4. Location of pipes in the experimental setup.
Figure 4. Location of pipes in the experimental setup.
Sustainability 15 09448 g004
Figure 5. Drawings of longitudinal turbulators.
Figure 5. Drawings of longitudinal turbulators.
Sustainability 15 09448 g005
Figure 6. Dependence of the static pressure along the length of the flue without fins.
Figure 6. Dependence of the static pressure along the length of the flue without fins.
Sustainability 15 09448 g006
Figure 7. Distribution of total static pressure over sections a and b.
Figure 7. Distribution of total static pressure over sections a and b.
Sustainability 15 09448 g007
Figure 8. Dependence of the wetted perimeter on the equivalent diameter for a channel without fins.
Figure 8. Dependence of the wetted perimeter on the equivalent diameter for a channel without fins.
Sustainability 15 09448 g008
Figure 9. Dependence of the distribution of shear stress along the perimeter of the channel without fins.
Figure 9. Dependence of the distribution of shear stress along the perimeter of the channel without fins.
Sustainability 15 09448 g009
Figure 10. Distribution of τw/τwaver along the perimeter of the section of the flue channel without fins.
Figure 10. Distribution of τw/τwaver along the perimeter of the section of the flue channel without fins.
Sustainability 15 09448 g010
Figure 11. Distribution of T/Tmax over section a.
Figure 11. Distribution of T/Tmax over section a.
Sustainability 15 09448 g011
Figure 12. Distribution of pressure drop along the length of the screen gas duct with longitudinal fins.
Figure 12. Distribution of pressure drop along the length of the screen gas duct with longitudinal fins.
Sustainability 15 09448 g012
Figure 13. Dependence of pressure drop from friction factor along the length of the screen gas duct with longitudinal fins.
Figure 13. Dependence of pressure drop from friction factor along the length of the screen gas duct with longitudinal fins.
Sustainability 15 09448 g013
Figure 14. Dependence of the hydraulic resistance coefficient on the Reynolds number.
Figure 14. Dependence of the hydraulic resistance coefficient on the Reynolds number.
Sustainability 15 09448 g014
Figure 15. Dependence of the relative drag coefficient on the Reynolds number.
Figure 15. Dependence of the relative drag coefficient on the Reynolds number.
Sustainability 15 09448 g015
Figure 16. Dependence of ξ/ξ0 from t/h.
Figure 16. Dependence of ξ/ξ0 from t/h.
Sustainability 15 09448 g016
Figure 17. Dependence of Nu on the Reynolds number.
Figure 17. Dependence of Nu on the Reynolds number.
Sustainability 15 09448 g017
Figure 18. Nu dependence from t/h.
Figure 18. Nu dependence from t/h.
Sustainability 15 09448 g018
Figure 19. Results of generalization of experimental data on heat transfer.
Figure 19. Results of generalization of experimental data on heat transfer.
Sustainability 15 09448 g019
Figure 20. Results of generalization of experimental data on drag cofficient.
Figure 20. Results of generalization of experimental data on drag cofficient.
Sustainability 15 09448 g020
Table 1. Main equipment used in experimental study.
Table 1. Main equipment used in experimental study.
EquipmentPurposeTypeDescriptionError
CompressorTo pressurise airBK-160-E/7Productivity, l/min: 26,500
Pressure, bar: up to 7
Power, kW: 160
Electric heaterTo heat airEHC 250-3.0/1Min. air flow: 270 m3/h
Heating power kW: 3.00
Nichrome wire spirals (in electric heater)To heat airNichrome × 20n80-
TransformerTo control the current LATR 2000VA
U-type manometerTo measure air pressure at the inlet-Pressure range 0–7000 Pa±20 Pa
DiaphragmTo control pressure (with u-type manometer) LSGL1-28
Laboratory thermometersTo measure water temperature Laboratory thermometer TLS 2±1.0 °C
Chromel-copel thermocouplesTo measure air temperature Chromel—an alloy consisting of the following elements: chromium—8.7–10%; nickel—89–91%; silicon, copper, manganese, cobalt—impurities. Kopel is an alloy consisting of the following elements: Ni (43–44%); Fe (2–3%); the rest Cuin the range from minus 40 to plus 375 °C: ±1.5
MultimeterTo display temperatures from thermocouplesMultimeter UNI-T UT139C -
Laser rangefinderTo measure length Laser distance meter UNI-T LM50A Max. measurement accuracy: ±2 mm
Max. measuring range: 50 m
Table 2. Relative error of measurements.
Table 2. Relative error of measurements.
Type of DependenceMeasurementsRelative Error, %
Nu = f(Re)Temperature and velocity5.75
τ = f(n)Pressure1
ξ = f(Re)Pressure and velocity4.75
Table 3. Coefficients according to formula (1) with generalization accuracy.
Table 3. Coefficients according to formula (1) with generalization accuracy.
Channel No.Non-Isothermal
Anσk, %σmax
10.488−0.254.210
20.49−0.2324.6−15
30.529−0.2053.25.6
40.43−0.183.28.1
50.271−0.1242.2−3.5
60.304−0.1231.62.7
70.452−0.1851.9−4.3
Table 4. Increase in the hydraulic resistance coefficient in the examined gas duct channels.
Table 4. Increase in the hydraulic resistance coefficient in the examined gas duct channels.
Channel No.ξi0
Re = 5011
ξi0
Re = 31,622
11.5441.544
21.8071.868
32.4562.668
42.4702.810
52.5043.162
62.8383.586
72.4882.804
Table 5. Values of the coefficients and the accuracy of the generalization of the experimental results.
Table 5. Values of the coefficients and the accuracy of the generalization of the experimental results.
Model No.Bmσk, %σmax
10.03440.7564.27.3
20.0290.7802.56.8
30.0430.7521.93.3
40.0430.7632.9−5.7
50.0710.7203.25.0
60.1060.6842.14.0
70.0610.7261.73.7
Table 6. Values for Formula (5).
Table 6. Values for Formula (5).
No.B/0.02(m-0.8)
11.7190.044
21.4500.020
32.1500.048
42.1500.037
53.5500.080
65.3000.116
73.0500.074
Disclaimer/Publisher’s Note: The statements, opinions and data contained in all publications are solely those of the individual author(s) and contributor(s) and not of MDPI and/or the editor(s). MDPI and/or the editor(s) disclaim responsibility for any injury to people or property resulting from any ideas, methods, instructions or products referred to in the content.

Share and Cite

MDPI and ACS Style

Amrenova, A.Z.; Dostiyarov, A.M.; Iliev, I.K.; Yamanbekova, A.K.; Orumbayev, R.K.; Umyshev, D.R. Experimental Investigation of Thermal-Hydraulic Performance of Externally Finned Tubes. Sustainability 2023, 15, 9448. https://doi.org/10.3390/su15129448

AMA Style

Amrenova AZ, Dostiyarov AM, Iliev IK, Yamanbekova AK, Orumbayev RK, Umyshev DR. Experimental Investigation of Thermal-Hydraulic Performance of Externally Finned Tubes. Sustainability. 2023; 15(12):9448. https://doi.org/10.3390/su15129448

Chicago/Turabian Style

Amrenova, Aigul Zhanuzakovna, Abay Mukhamediyarovich Dostiyarov, Iliya Krastev Iliev, Ayaulym Konysbekovna Yamanbekova, Rakhimzhan Kabievich Orumbayev, and Dias Raybekovich Umyshev. 2023. "Experimental Investigation of Thermal-Hydraulic Performance of Externally Finned Tubes" Sustainability 15, no. 12: 9448. https://doi.org/10.3390/su15129448

APA Style

Amrenova, A. Z., Dostiyarov, A. M., Iliev, I. K., Yamanbekova, A. K., Orumbayev, R. K., & Umyshev, D. R. (2023). Experimental Investigation of Thermal-Hydraulic Performance of Externally Finned Tubes. Sustainability, 15(12), 9448. https://doi.org/10.3390/su15129448

Note that from the first issue of 2016, this journal uses article numbers instead of page numbers. See further details here.

Article Metrics

Back to TopTop