Does Stronger Environmental Regulation Promote Firms’ Export Sophistication? A Quasi-Natural Experiment Based on Sewage Charges Standard Reform in China
Abstract
1. Introduction
2. Policy Background and Theoretical Hypothesis
2.1. Policy Background
2.2. Theoretical Hypothesis
2.2.1. Innovation Compensation Effect
2.2.2. Product Switching Effect
3. Research Design
3.1. Model Specification
3.2. Data Source
3.3. Variables
3.3.1. Dependent Variable
3.3.2. Independent Variable
3.3.3. Mediating Variables
3.3.4. Control Variables
4. Main Results
4.1. Baseline Analysis
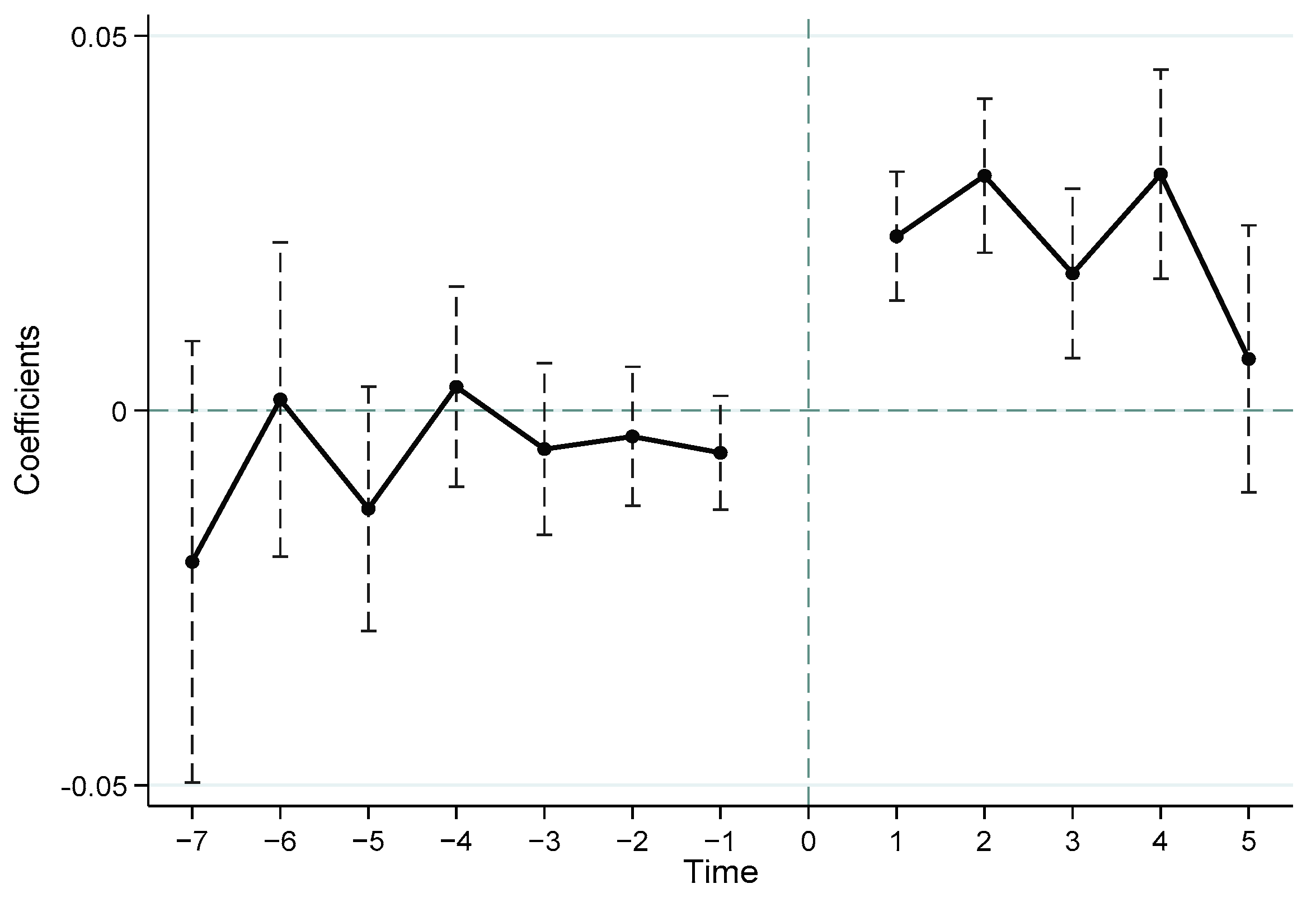
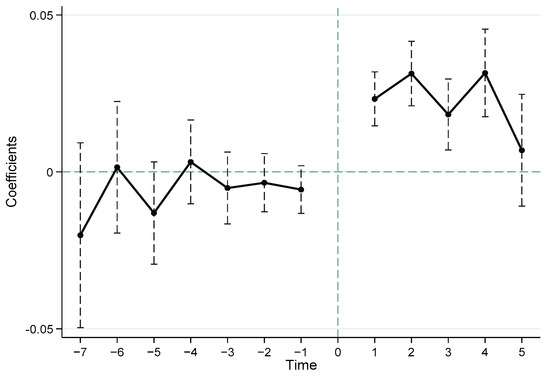
4.2. Parallel Trend Check
4.3. Robustness Checks
4.3.1. Alternative Measurement of ESI
4.3.2. Adjusting Identification of Policy Year
4.3.3. Excluding the Sample of Municipalities
4.3.4. Excluding Interference from Other Environmental Regulations
4.3.5. Placebo Test
5. Further Analysis
5.1. Heterogeneity Analysis
5.1.1. Heterogeneity of Trade Mode
5.1.2. Heterogeneity of Ownership
5.1.3. Heterogeneity of Firm Size
5.2. Mechanism Analysis
6. Conclusions and Policy Implications
6.1. Conclusions
6.2. Policy Implications
Author Contributions
Funding
Institutional Review Board Statement
Informed Consent Statement
Data Availability Statement
Conflicts of Interest
References
- Liu, Q.; Lu, Y. Firm Investment and Exporting: Evidence from China’s Value-Added Tax Reform. J. Int. Econ. 2015, 97, 392–403. [Google Scholar] [CrossRef]
- He, J.-K. Global Low-Carbon Transition and China’s Response Strategies. Spec. Top. Sino India Monit. NDCs 2016, 7, 204–212. [Google Scholar] [CrossRef]
- Porter, M.E. America’s Green Strategy. Sci. Am. 1991, 264, 168. [Google Scholar] [CrossRef]
- Li, S.; Zhang, M.; Tze, S.O.; Siong, H.L. Environmental Regulation, Technological Innovation and Firm Performance-Empirical Evidence from Yangtze River Delta Region, China. Cent. Eur. Manag. J. 2023, 31, 197–217. [Google Scholar] [CrossRef]
- Zhong, C.; Hamzah, H.Z.; Yin, J.; Wu, D.; Cao, J.; Mao, X.; Li, H. Impact of Environmental Regulations on the Industrial Eco-Efficiency in China—Based on the Strong Porter Hypothesis and the Weak Porter Hypothesis. Environ. Sci. Pollut. Res. 2023, 30, 44490–44504. [Google Scholar] [CrossRef] [PubMed]
- Sun, C.; Zhan, Y.; Gao, X. Does Environmental Regulation Increase Domestic Value-Added in Exports? An Empirical Study of Cleaner Production Standards in China. World Dev. 2023, 163, 106154. [Google Scholar] [CrossRef]
- Franco, C.; Marin, G. The Effect of Within-Sector, Upstream and Downstream Environmental Taxes on Innovation and Productivity. Environ. Resour. Econ. 2017, 66, 261–291. [Google Scholar] [CrossRef]
- Zhao, A.; Wang, J.; Sun, Z.; Guan, H. Environmental Taxes, Technology Innovation Quality and Firm Performance in China—A Test of Effects Based on the Porter Hypothesis. Econ. Anal. Policy 2022, 74, 309–325. [Google Scholar] [CrossRef]
- Zhang, Y.; Song, Y. Tax Rebates, Technological Innovation and Sustainable Development: Evidence from Chinese Micro-Level Data. Technol. Forecast. Soc. Chang. 2022, 176, 121481. [Google Scholar] [CrossRef]
- Zhou, C.; Li, Y.; Sun, Z. Has the Carbon Trading Pilot Market Improved Enterprises’ Export Green-Sophistication in China? Sustainability 2022, 14, 10113. [Google Scholar] [CrossRef]
- Zhang, D.; Kong, Q.; Wang, Y.; Vigne, S.A. Exquisite Workmanship through Net-Zero Emissions? The Effects of Carbon Emission Trading Policy on Firms’ Export Product Quality. Energy Econ. 2023, 123, 106701. [Google Scholar] [CrossRef]
- Cai, W.; Ye, P. How Does Environmental Regulation Influence Enterprises’ Total Factor Productivity? A Quasi-Natural Experiment Based on China’s New Environmental Protection Law. J. Clean. Prod. 2020, 276, 124105. [Google Scholar] [CrossRef]
- Dechezleprêtre, A.; Sato, M. The Impacts of Environmental Regulations on Competitiveness. Rev. Environ. Econ. Policy 2017, 11, 183–206. [Google Scholar] [CrossRef]
- Eriksson, C. Phasing out a Polluting Input in a Growth Model with Directed Technological Change. Econ. Model. 2018, 68, 461–474. [Google Scholar] [CrossRef]
- Zapata, A.; Arrazola, M.; de Hevia, J. Determinants of High-Tech Exports: New Evidence from OECD Countries. J. Knowl. Econ. 2023. [Google Scholar] [CrossRef]
- Shahzad, U.; Madaleno, M.; Dagar, V.; Ghosh, S.; Doğan, B. Exploring the Role of Export Product Quality and Economic Complexity for Economic Progress of Developed Economies: Does Institutional Quality Matter? Struct. Chang. Econ. Dyn. 2022, 62, 40–51. [Google Scholar] [CrossRef]
- Zhu, S.; Li, R. Economic Complexity, Human Capital and Economic Growth: Empirical Research Based on Cross-Country Panel Data. Appl. Econ. 2017, 49, 3815–3828. [Google Scholar] [CrossRef]
- Sami, S.; Ridha, N. Re-Examining the Relationship Between Export Upgrading and Economic Growth: Is There a Threshold Effect? Econ. Soc. Rev. 2018, 49, 437–454. [Google Scholar]
- Chrid, N.; Saafi, S.; Chakroun, M. Export Upgrading and Economic Growth: A Panel Cointegration and Causality Analysis. J. Knowl. Econ. 2021, 12, 811–841. [Google Scholar] [CrossRef]
- Xu, B. The Sophistication of Exports: Is China Special? China Econ. Rev. 2010, 21, 482–493. [Google Scholar] [CrossRef]
- Amiti, M.; Freund, C. The Anatomy of China’s Export Growth. In China’s Growing Role in World Trade; University of Chicago Press: Chicago, IL, USA, 2010; pp. 35–56. [Google Scholar]
- Assche, A.V.; Gangnes, B. Electronics Production Upgrading: Is China Exceptional? Appl. Econ. Lett. 2010, 17, 477–482. [Google Scholar] [CrossRef]
- Song, Y.; Hao, X.; Zheng, L. Intermediate Import, Independent Innovation and Export Sophistication of Chinese Manufacturing Enterprises. Struct. Chang. Econ. Dyn. 2022, 60, 126–140. [Google Scholar] [CrossRef]
- Peng, J.; Zhang, Y. Impact of Global Value Chains on Export Technology Content of China’s Manufacturing Industry. Sustainability 2020, 12, 432. [Google Scholar] [CrossRef]
- Anwar, S.; Sun, S. Foreign Direct Investment and Export Quality Upgrading in China’s Manufacturing Sector. Int. Rev. Econ. Financ. 2018, 54, 289–298. [Google Scholar] [CrossRef]
- Zhang, S.; Chen, C. Does Outward Foreign Direct Investment Facilitate China’s Export Upgrading? China World Econ. 2020, 28, 64–89. [Google Scholar] [CrossRef]
- Feenstra, R.C.; Wei, S.-J. China’s Growing Role in World Trade; University of Chicago Press: Chicago, IL, USA, 2010; ISBN 0-226-23972-1. [Google Scholar]
- Liu, Z.; Zheng, S.; Zhang, X.; Mo, L. The Impact of Green Finance on Export Technology Complexity: Evidence from China. Sustainability 2023, 15, 2625. [Google Scholar] [CrossRef]
- Li, X.; Peng, S.; Huang, W.-C.; Zhou, Q. What Drives Chinese Firms’ Export Sophistication? A Perspective from the Rise of Minimum Wages. China World Econ. 2022, 30, 28–59. [Google Scholar] [CrossRef]
- Tu, Z.; Zhou, T.; Zhang, N. Does China’s Pollution Levy Standards Reform Promote Green Growth? Sustainability 2019, 11, 6186. [Google Scholar] [CrossRef]
- Cheng, Z.; Li, X. Do Raising Environmental Costs Promote Industrial Green Growth? A Quasi-Natural Experiment Based on the Policy of Raising Standard Sewage Charges. J. Clean. Prod. 2022, 343, 131004. [Google Scholar] [CrossRef]
- Albrizio, S.; Kozluk, T.; Zipperer, V. Environmental Policies and Productivity Growth: Evidence across Industries and Firms. J. Environ. Econ. Manag. 2017, 81, 209–226. [Google Scholar] [CrossRef]
- Tang, H.; Liu, J.; Wu, J. The Impact of Command-and-Control Environmental Regulation on Enterprise Total Factor Productivity: A Quasi-Natural Experiment Based on China’s “Two Control Zone” Policy. J. Clean. Prod. 2020, 254, 120011. [Google Scholar] [CrossRef]
- Wang, C.; Wu, J.; Zhang, B. Environmental Regulation, Emissions and Productivity: Evidence from Chinese COD-Emitting Manufacturers. J. Environ. Econ. Manag. 2018, 92, 54–73. [Google Scholar] [CrossRef]
- Ambec, S.; Cohen, M.A.; Elgie, S.; Lanoie, P. The Porter Hypothesis at 20: Can Environmental Regulation Enhance Innovation and Competitiveness? Rev. Environ. Econ. Policy 2013, 7, 2–22. [Google Scholar] [CrossRef]
- Chen, Z.; Zhang, X.; Chen, F. Do Carbon Emission Trading Schemes Stimulate Green Innovation in Enterprises? Evidence from China. Technol. Forecast. Soc. Chang. 2021, 168, 120744. [Google Scholar] [CrossRef]
- Calel, R.; Dechezleprêtre, A. Environmental Policy and Directed Technological Change: Evidence from the European Carbon Market. Rev. Econ. Stat. 2016, 98, 173–191. [Google Scholar] [CrossRef]
- Chen, X.; He, J.; Qiao, L. Does Environmental Regulation Affect the Export Competitiveness of Chinese Firms? J. Environ. Manag. 2022, 317, 115199. [Google Scholar] [CrossRef]
- Lopresti, J. Multiproduct Firms and Product Scope Adjustment in Trade. J. Int. Econ. 2016, 100, 160–173. [Google Scholar] [CrossRef]
- Meng, N.; Milner, C.; Song, H. Antidumping and Heterogeneous Quality Adjustment of Multi-Product Firms: Evidence from Chinese Exporters. Econ. Model. 2020, 92, 147–161. [Google Scholar] [CrossRef]
- Elrod, A.A.; Malik, A.S. The Effect of Environmental Regulation on Plant-Level Product Mix: A Study of EPA’s Cluster Rule. J. Environ. Econ. Manag. 2017, 83, 164–184. [Google Scholar] [CrossRef]
- Ghosh, D.; Shah, J.; Swami, S. Product Greening and Pricing Strategies of Firms under Green Sensitive Consumer Demand and Environmental Regulations. Ann. Oper. Res. 2020, 290, 491–520. [Google Scholar] [CrossRef]
- Li, D.; Lv, H. Investment in Environmental Innovation with Environmental Regulation and Consumers’ Environmental Awareness: A Dynamic Analysis. Sustain. Prod. Consum. 2021, 28, 1366–1380. [Google Scholar] [CrossRef]
- Wang, R.; Hu, Y.; Yang, F. Optimal Bundling of Products with Different Environmental Impacts Considering Consumer Environmental Awareness. J. Clean. Prod. 2022, 363, 132383. [Google Scholar] [CrossRef]
- Lipscomb, M. The Effect of Environmental Enforcement on Product Choice and Competition: Theory and Evidence from India; Working Paper; Center for Economic Analysis Department of Economics, University of Colorado at Boulder: Boulder, CO, USA, 2008; Volume 13. [Google Scholar]
- Manova, K.; Yu, Z. Multi-Product Firms and Product Quality. J. Int. Econ. 2017, 109, 116–137. [Google Scholar] [CrossRef]
- BECK, T.; LEVINE, R.; LEVKOV, A. Big Bad Banks? The Winners and Losers from Bank Deregulation in the United States. J. Finance 2010, 65, 1637–1667. [Google Scholar] [CrossRef]
- Brandt, L.; Van Biesebroeck, J.; Zhang, Y. Creative Accounting or Creative Destruction? Firm-Level Productivity Growth in Chinese Manufacturing. J. Dev. Econ. 2012, 97, 339–351. [Google Scholar] [CrossRef]
- Yu, M. Processing Trade, Tariff Reductions and Firm Productivity: Evidence from Chinese Firms. Econ. J. 2015, 125, 943–988. [Google Scholar] [CrossRef]
- Hausmann, R.; Hwang, J.; Rodrik, D. What You Export Matters. J. Econ. Growth 2007, 12, 1–25. [Google Scholar] [CrossRef]
- Bernard, A.B.; Redding, S.J.; Schott, P.K. Multiple-Product Firms and Product Switching. Am. Econ. Rev. 2010, 100, 70–97. [Google Scholar] [CrossRef]
- Gan, L.; Hernandez, M.A.; Ma, S. The Higher Costs of Doing Business in China: Minimum Wages and Firms’ Export Behavior. J. Int. Econ. 2016, 100, 81–94. [Google Scholar] [CrossRef]
- Wang, Y.; Shen, N. Environmental Regulation and Environmental Productivity: The Case of China. Renew. Sustain. Energy Rev. 2016, 62, 758–766. [Google Scholar] [CrossRef]
- Lu, Y.; Tao, Z.; Zhu, L. Identifying FDI Spillovers. J. Int. Econ. 2017, 107, 75–90. [Google Scholar] [CrossRef]
- Tanaka, S. Environmental Regulations on Air Pollution in China and Their Impact on Infant Mortality. J. Health Econ. 2015, 42, 90–103. [Google Scholar] [CrossRef]
- Wang, L.; Cui, L.; Weng, S.; Liu, C. Promoting Industrial Structure Advancement through an Emission Trading Scheme: Lessons from China’s Pilot Practice. Comput. Ind. Eng. 2021, 157, 107339. [Google Scholar] [CrossRef]
- Liu, Y.; Mao, J. How Do Tax Incentives Affect Investment and Productivity? Firm-Level Evidence from China. Am. Econ. J. Econ. Policy 2019, 11, 261–291. [Google Scholar] [CrossRef]
- Deng, Y.; Wu, Y.; Xu, H. Political Turnover and Firm Pollution Discharges: An Empirical Study. China Econ. Rev. 2019, 58, 101363. [Google Scholar] [CrossRef]
- Brandt, L.; Van Biesebroeck, J.; Wang, L.; Zhang, Y. WTO Accession and Performance of Chinese Manufacturing Firms. Am. Econ. Rev. 2017, 107, 2784–2820. [Google Scholar] [CrossRef]
- Fairchild, A.J.; MacKinnon, D.P. A General Model for Testing Mediation and Moderation Effects. Prev. Sci. 2009, 10, 87–99. [Google Scholar] [CrossRef]


| Province | Time |
|---|---|
| Jiangsu | 1 July 2007 |
| Anhui | 1 January 2008 |
| Shandong | 1 July 2008 |
| Hebei | 1 July 2008 |
| Inner Mongolia | 10 July 2008 |
| Guangxi | 1 January 2009 |
| Shanghai | 1 January 2009 |
| Yunnan | 1 January 2009 |
| Guangdong | 1 April 2010 |
| Liaoning | 1 August 2010 |
| Tianjin | 20 December 2010 |
| Xinjiang | 1 August 2012 |
| Variables | Definition | Mean | S.D. | Min | Max |
|---|---|---|---|---|---|
| lnESI | Firms’ export sophistication | 9.4035 | 0.5325 | 7.8604 | 10.8338 |
| DID | Sewage charges standard reform (SCSR) for each province | 0.3032 | 0.4596 | 0.0000 | 1.0000 |
| IL | Innocation leve | 0.1914 | 0.6864 | 0.0000 | 5.9540 |
| PS | Product switching | 0.8164 | 0.7141 | 0.0000 | 6.2146 |
| TFP | Total factor productivity | 5.1941 | 1.1862 | −5.8932 | 13.3540 |
| CAP | Capital intensity | 11.0258 | 1.3736 | 0.6425 | 21.1318 |
| SIZE | Firm size | 5.2999 | 1.0695 | 2.0794 | 11.7688 |
| AGE | Firm durations | 2.1686 | 0.6226 | 0.0000 | 4.1744 |
| FIN | Financial constrains | 0.1003 | 0.3114 | −19.9232 | 0.9951 |
| CS | Capital structure | 0.5436 | 0.2846 | −0.0044 | 20.1371 |
| ROA | Return on assets | 0.0780 | 0.1792 | −3.7265 | 9.3092 |
| HHI | Industry competition | 0.0341 | 0.0611 | 0.0015 | 1.0000 |
| INF | Level of infrastructure | 2.7375 | 0.4165 | 1.4445 | 5.0500 |
| OPEN | Foreign trade dependence | 0.7349 | 0.4603 | 0.0348 | 1.7705 |
| STR | Strength of environmental enforcement | 0.3004 | 0.2162 | 0.0307 | 2.2864 |
| Variable | (1) | (2) | (3) |
|---|---|---|---|
| DID | 0.0115 *** | 0.0117 *** | 0.0106 *** |
| (0.0040) | (0.0040) | (0.0040) | |
| TFP | 0.0066 *** | 0.0069 *** | |
| (0.0017) | (0.0017) | ||
| CAP | 0.0015 | 0.0003 | |
| (0.0018) | (0.0018) | ||
| SIZE | 0.0095 *** | 0.0085 *** | |
| (0.0026) | (0.0026) | ||
| AGE | 0.0166 ** | 0.0158 ** | |
| (0.0072) | (0.0072) | ||
| FIN | 0.0040 | 0.0037 | |
| (0.0063) | (0.0063) | ||
| CS | 0.0054 | 0.0047 | |
| (0.0073) | (0.0073) | ||
| ROA | 0.0327 *** | 0.0288 *** | |
| (0.0066) | (0.0066) | ||
| HHI | −0.1318 *** | ||
| (0.0319) | |||
| INF | 0.0027 | ||
| (0.0094) | |||
| OPEN | 0.0474 *** | ||
| (0.0140) | |||
| STR | −0.0992 *** | ||
| (0.0087) | |||
| Constant | 9.4000 *** | 9.2565 *** | 9.2686 *** |
| (0.0012) | (0.0332) | (0.0397) | |
| Firm Fixed-effect | Yes | Yes | Yes |
| Year Fixed-effect | Yes | Yes | Yes |
| Observations | 191,025 | 191,025 | 191,025 |
| adj.R2 | 0.7399 | 0.7402 | 0.7407 |
| Variable | (1) | (2) | (3) | (4) | (5) | (6) |
|---|---|---|---|---|---|---|
| DID | 0.0219 *** | 0.0081 * | 0.0104 ** | 0.0106 *** | 0.0110 *** | 0.0110 *** |
| (0.0017) | (0.0043) | (0.0043) | (0.0040) | (0.0040) | (0.0040) | |
| TCZ | 0.0032 | 0.0063 | ||||
| (0.0621) | (0.0620) | |||||
| ETP | −0.0227 *** | −0.0227 *** | ||||
| (0.0048) | (0.0048) | |||||
| TFP | 0.1352 *** | 0.0068 *** | 0.0075 *** | 0.0069 *** | 0.0066 *** | 0.0066 *** |
| (0.0014) | (0.0017) | (0.0018) | (0.0017) | (0.0017) | (0.0017) | |
| CAP | 0.0100 *** | 0.0003 | 0.0005 | 0.0004 | 0.0005 | 0.0005 |
| (0.0009) | (0.0018) | (0.0019) | (0.0018) | (0.0018) | (0.0018) | |
| SIZE | −0.0114 *** | 0.0085 *** | 0.0107 *** | 0.0085 *** | 0.0087 *** | 0.0087 *** |
| (0.0013) | (0.0026) | (0.0027) | (0.0026) | (0.0026) | (0.0026) | |
| AGE | 0.0529 *** | 0.0158 ** | 0.0143 * | 0.0158 ** | 0.0157 ** | 0.0157 ** |
| (0.0035) | (0.0072) | (0.0075) | (0.0072) | (0.0072) | (0.0072) | |
| FIN | 0.0361 *** | 0.0036 | 0.0049 | 0.0037 | 0.0036 | 0.0036 |
| (0.0029) | (0.0063) | (0.0066) | (0.0063) | (0.0063) | (0.0063) | |
| CS | 0.0319 *** | 0.0046 | 0.0049 | 0.0047 | 0.0049 | 0.0049 |
| (0.0033) | (0.0073) | (0.0077) | (0.0073) | (0.0073) | (0.0073) | |
| ROA | 0.0461 *** | 0.0289 *** | 0.0310 *** | 0.0288 *** | 0.0283 *** | 0.0283 *** |
| (0.0035) | (0.0066) | (0.0068) | (0.0066) | (0.0065) | (0.0065) | |
| HHI | −0.3364 *** | −0.1323 *** | −0.1449 *** | −0.1318 *** | −0.1309 *** | −0.1308 *** |
| (0.0224) | (0.0319) | (0.0346) | (0.0319) | (0.0318) | (0.0318) | |
| INF | 0.0092 ** | 0.0031 | −0.0076 | 0.0027 | 0.0103 | 0.0103 |
| (0.0038) | (0.0094) | (0.0111) | (0.0094) | (0.0096) | (0.0096) | |
| OPEN | 0.0534 *** | 0.0449 *** | 0.0676 *** | 0.0473 *** | 0.0502 *** | 0.0501 *** |
| (0.0060) | (0.0140) | (0.0163) | (0.0140) | (0.0141) | (0.0141) | |
| STR | −0.0517 *** | −0.1008 *** | −0.1027 *** | −0.0992 *** | −0.0906 *** | −0.0906 *** |
| (0.0035) | (0.0086) | (0.0094) | (0.0087) | (0.0086) | (0.0086) | |
| Constant | 1.8251 *** | 9.2709 *** | 9.2610 *** | 9.2658 *** | 9.2488 *** | 9.2433 *** |
| (0.0180) | (0.0397) | (0.0442) | (0.0665) | (0.0400) | (0.0668) | |
| Firm Fixed-effect | Yes | Yes | Yes | Yes | Yes | Yes |
| Year Fixed-effect | Yes | Yes | Yes | Yes | Yes | Yes |
| Observartions | 160,540 | 191,025 | 170,627 | 191,025 | 191,025 | 191,025 |
| adj.R2 | 0.9338 | 0.7407 | 0.7400 | 0.7407 | 0.7408 | 0.7408 |
| Variable | (1) | (2) | (3) | (4) | (5) | (6) |
|---|---|---|---|---|---|---|
| DID | 0.0208 *** | 0.0056 | 0.0084 | 0.0163 ** | 0.0182 *** | −0.0030 |
| (0.0063) | (0.0053) | (0.0053) | (0.0064) | (0.0061) | (0.0059) | |
| TFP | 0.0123 *** | 0.0028 | 0.0043 * | 0.0105 *** | 0.0080 *** | 0.0067 *** |
| (0.0026) | (0.0025) | (0.0023) | (0.0027) | (0.0030) | (0.0024) | |
| CAP | 0.0002 | 0.0008 | −0.0005 | 0.0015 | 0.0042 | −0.0004 |
| (0.0026) | (0.0028) | (0.0027) | (0.0025) | (0.0042) | (0.0028) | |
| SIZE | 0.0073 * | 0.0091 ** | 0.0087 ** | 0.0088 ** | 0.0144 *** | 0.0045 |
| (0.0039) | (0.0037) | (0.0037) | (0.0037) | (0.0051) | (0.0040) | |
| AGE | 0.0106 | 0.0201 ** | 0.0087 | 0.0251 ** | −0.0135 | 0.0186 * |
| (0.0109) | (0.0100) | (0.0097) | (0.0108) | (0.0119) | (0.0104) | |
| FIN | 0.0069 | 0.0017 | −0.0008 | 0.0063 | 0.0150 | 0.0062 |
| (0.0093) | (0.0091) | (0.0091) | (0.0090) | (0.0107) | (0.0090) | |
| CS | 0.0004 | 0.0060 | 0.0024 | 0.0069 | 0.0247 * | 0.0089 |
| (0.0110) | (0.0102) | (0.0101) | (0.0109) | (0.0127) | (0.0103) | |
| ROA | 0.0279 *** | 0.0220 ** | 0.0263 *** | 0.0340 *** | 0.0420 *** | 0.0155 * |
| (0.0093) | (0.0095) | (0.0089) | (0.0102) | (0.0155) | (0.0083) | |
| HHI | −0.1466 *** | −0.1130 ** | −0.1039 ** | −0.1554 *** | −0.1878 *** | −0.0508 |
| (0.0449) | (0.0483) | (0.0474) | (0.0437) | (0.0490) | (0.0452) | |
| INF | −0.0029 | 0.0060 | 0.0184 | −0.0030 | −0.0264 * | 0.0139 |
| (0.0156) | (0.0126) | (0.0121) | (0.0155) | (0.0151) | (0.0134) | |
| OPEN | 0.0774 *** | 0.0250 | 0.0263 | 0.0842 *** | 0.0215 | 0.0327 |
| (0.0241) | (0.0186) | (0.0183) | (0.0241) | (0.0212) | (0.0205) | |
| STR | −0.0728 *** | −0.1092 *** | −0.1157 *** | −0.0734 *** | −0.0623 *** | −0.1442 *** |
| (0.0141) | (0.0112) | (0.0112) | (0.0141) | (0.0127) | (0.0130) | |
| Constant | 9.1944 *** | 9.3336 *** | 9.2943 *** | 9.1919 *** | 9.3865 *** | 9.2222 *** |
| (0.0619) | (0.0575) | (0.0544) | (0.0631) | (0.0836) | (0.0568) | |
| Firm Fixed-effect | Yes | Yes | Yes | Yes | Yes | Yes |
| Year Fixed-effect | Yes | Yes | Yes | Yes | Yes | Yes |
| Observations | 90,126 | 102,378 | 101,990 | 90,514 | 92,561 | 99,943 |
| adj.R2 | 0.7272 | 0.7576 | 0.7481 | 0.7347 | 0.7326 | 0.7505 |
| Variable | (1) | (2) | (3) | (4) | (5) |
|---|---|---|---|---|---|
| lnESI | IL | lnESI | PS | lnESI | |
| DID | 0.0106 *** | 0.0157 ** | 0.0106 *** | 0.0299 *** | 0.0105 *** |
| (0.0040) | (0.0069) | (0.0040) | (0.0064) | (0.0040) | |
| IL | 0.0034 ** | ||||
| (0.0015) | |||||
| PS | 0.0042 *** | ||||
| (0.0013) | |||||
| TFP | 0.0069 *** | 0.0314 *** | 0.0068 *** | 0.0058 * | 0.0068 *** |
| (0.0017) | (0.0026) | (0.0017) | (0.0030) | (0.0017) | |
| CAP | 0.0003 | 0.0415 *** | 0.0002 | −0.0033 | 0.0004 |
| (0.0018) | (0.0031) | (0.0018) | (0.0031) | (0.0018) | |
| SIZE | 0.0085 *** | 0.0388 *** | 0.0083 *** | 0.0082 * | 0.0084 *** |
| (0.0026) | (0.0049) | (0.0026) | (0.0044) | (0.0026) | |
| AGE | 0.0158 ** | −0.0546 *** | 0.0159 ** | −0.2147 *** | 0.0167 ** |
| (0.0072) | (0.0122) | (0.0072) | (0.0111) | (0.0072) | |
| FIN | 0.0037 | 0.0556 *** | 0.0035 | 0.0080 | 0.0036 |
| (0.0063) | (0.0106) | (0.0063) | (0.0112) | (0.0063) | |
| CS | 0.0047 | 0.0435 *** | 0.0046 | 0.0060 | 0.0047 |
| (0.0073) | (0.0118) | (0.0073) | (0.0125) | (0.0073) | |
| ROA | 0.0288 *** | −0.0490 *** | 0.0290 *** | −0.0293 ** | 0.0289 *** |
| (0.0066) | (0.0088) | (0.0066) | (0.0116) | (0.0066) | |
| HHI | −0.1318 *** | −0.0796 | −0.1315 *** | −0.1052 ** | −0.1314 *** |
| (0.0319) | (0.0649) | (0.0319) | (0.0466) | (0.0319) | |
| INF | 0.0027 | 0.0428 *** | 0.0026 | −0.0616 *** | 0.0030 |
| (0.0094) | (0.0135) | (0.0094) | (0.0155) | (0.0094) | |
| OPEN | 0.0474 *** | 0.0157 | 0.0473 *** | −0.0431 * | 0.0475 *** |
| (0.0140) | (0.0235) | (0.0140) | (0.0227) | (0.0140) | |
| STR | −0.0992 *** | 0.0866 *** | −0.0995 *** | −0.0366 *** | −0.0991 *** |
| (0.0087) | (0.0104) | (0.0087) | (0.0129) | (0.0087) | |
| Constant | 9.2686 *** | −0.6988 *** | 9.2709 *** | 1.4488 *** | 9.2624 *** |
| (0.0397) | (0.0631) | (0.0397) | (0.0650) | (0.0398) | |
| Sobel Test | 1.847 * | 2.753 *** | |||
| Firm Fixed-effect | Yes | Yes | Yes | Yes | Yes |
| Year Fixed-effect | Yes | Yes | Yes | Yes | Yes |
| Observations | 191,025 | 191,025 | 191,025 | 191,025 | 191,025 |
| adj.R2 | 0.7407 | 0.4258 | 0. 7407 | 0.3985 | 0.7407 |
Disclaimer/Publisher’s Note: The statements, opinions and data contained in all publications are solely those of the individual author(s) and contributor(s) and not of MDPI and/or the editor(s). MDPI and/or the editor(s) disclaim responsibility for any injury to people or property resulting from any ideas, methods, instructions or products referred to in the content. |
© 2023 by the authors. Licensee MDPI, Basel, Switzerland. This article is an open access article distributed under the terms and conditions of the Creative Commons Attribution (CC BY) license (https://creativecommons.org/licenses/by/4.0/).
Share and Cite
Zhang, W.; Xu, H.; Xu, Y. Does Stronger Environmental Regulation Promote Firms’ Export Sophistication? A Quasi-Natural Experiment Based on Sewage Charges Standard Reform in China. Sustainability 2023, 15, 9023. https://doi.org/10.3390/su15119023
Zhang W, Xu H, Xu Y. Does Stronger Environmental Regulation Promote Firms’ Export Sophistication? A Quasi-Natural Experiment Based on Sewage Charges Standard Reform in China. Sustainability. 2023; 15(11):9023. https://doi.org/10.3390/su15119023
Chicago/Turabian StyleZhang, Weihao, Helian Xu, and Yuanyuan Xu. 2023. "Does Stronger Environmental Regulation Promote Firms’ Export Sophistication? A Quasi-Natural Experiment Based on Sewage Charges Standard Reform in China" Sustainability 15, no. 11: 9023. https://doi.org/10.3390/su15119023
APA StyleZhang, W., Xu, H., & Xu, Y. (2023). Does Stronger Environmental Regulation Promote Firms’ Export Sophistication? A Quasi-Natural Experiment Based on Sewage Charges Standard Reform in China. Sustainability, 15(11), 9023. https://doi.org/10.3390/su15119023
