Strength Characteristics and Micro-Mechanism of Silty Soil Modified by Red Mud Co-Cement
Abstract
1. Introduction
2. Materials and Methods
2.1. Materials
2.2. Test Methods
2.2.1. Compaction Test
2.2.2. Unconfined Compressive Strength Test
2.2.3. Microstructural Test
2.2.4. Environmental Index Test
2.3. Experimental Scheme
3. Results and Analysis
3.1. Raw Materials
3.2. Compaction Characteristic
3.3. Unconfined Compressive Strength
3.3.1. Axial Stress–Strain Curve
3.3.2. Deformation Characteristic
3.3.3. Strength Characteristic
3.3.4. Failure Modes
3.4. Environmental Index Parameters
3.5. Micro-Mechanism
3.5.1. X-ray Diffraction Analysis
3.5.2. Thermogravimetric-Differential Thermal Analysis
3.5.3. Scanning Electron Microscopy
4. Conclusions
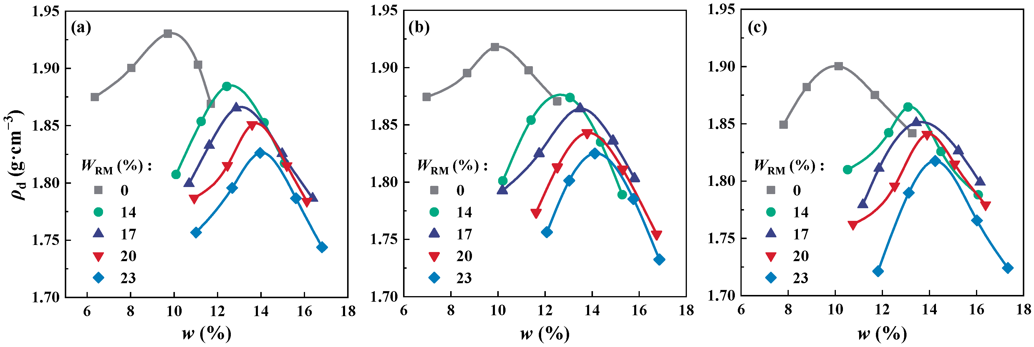
- (a)
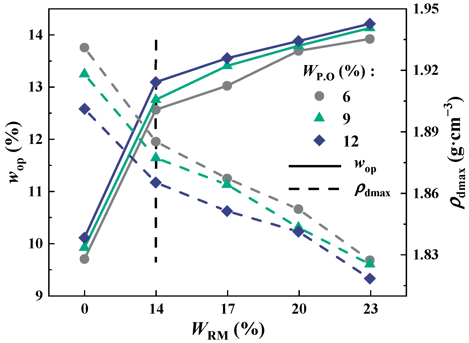
- With the increase of RM and WP.O, the wop of P.O-RMS increased gradually and the ρdmax decreased gradually. As the WRM increases, the water content of P.O-RMS is greater than wop, resulting in an enhanced water sensitivity.
- (b)
- As the WRM increased from 14% to 23%, there was an initial rise followed by a subsequent decline in the UCS of the specimen. At a WRM of 20%, the UCS reached its peak value, at which point, the material also displayed optimal toughness and deformation-resistance characteristics.
- (c)
- The variation of UCS depends on the active ions of silicon and aluminum reacting chemically with Ca2+–or Na+(or K+) in the alkaline environment from RM to form gel products, such as C-S-H, with higher strength, or expansive products, such as Na2SiO3 gel, to decrease the strength.
- (d)
- The environmental indices of P.O-RMS under the optimal WRM satisfy the requirements of China’s environmental norms. The environmental impact of P.O-RMS is significantly less than that of pure RM.
Author Contributions
Funding
Institutional Review Board Statement
Informed Consent Statement
Data Availability Statement
Conflicts of Interest
References
- Feng, Y.; Yang, C. Analysis on physical and mechanical properties of red mud materials and stockpile stability after dilatation. Adv. Mater. Sci. Eng. 2018, 2018, 8784232. [Google Scholar] [CrossRef]
- Mukiza, E.; Zhang, L.; Liu, X.; Zhang, N. Utilization of red mud in road base and subgrade materials: A review. Resour. Conserv. Recycl. 2019, 141, 187–199. [Google Scholar] [CrossRef]
- Salih, W.T.; Yu, W.; Dong, X.; Hao, W. Study on stress-strain-resistivity and microscopic mechanism of red mud waste modified by desulphurization gypsum-fly ash under drying-wetting cycles. Constr. Build. Mater. 2020, 249, 118772. [Google Scholar] [CrossRef]
- Khanna, R.; Konyukhov, Y.V.; Burmistrov, I.; Cayumil, R.; Belov, V.A.; Rogachev, S.O.; Leybo, D.V.; Mukherjee, P.S. An innovative route for valorising iron and aluminium oxide rich industrial wastes: Recovery of multiple metals. J. Environ. Manag. 2021, 295, 113035. [Google Scholar] [CrossRef]
- Sadangi, J.K.; Das, S.P.; Tripathy, A.; Biswal, S.K. Investigation into recovery of iron values from red mud dumps. Sep. Sci. Technol. 2018, 53, 2186–2191. [Google Scholar] [CrossRef]
- Narayanan, S.L.; Venkatesan, G.; Potheher, I.V. Equilibrium studies on removal of lead (II) ions from aqueous solution by adsorption using modified red mud. Int. J. Environ. Sci. Technol. 2018, 15, 1687–1698. [Google Scholar] [CrossRef]
- Belviso, C.; Kharchenko, A.; Agostinelli, E.; Cavalcante, F.; Peddis, D.; Varvaro, G.; Yaacoub, N.; Mintova, S. Red mud as aluminium source for the synthesis of magnetic zeolite. Micropor. Mesopor. Mat. 2018, 270, 24–29. [Google Scholar] [CrossRef]
- Hou, S.M.; Gao, S.; Li, Q.Y. Preparation technology and mechanism of alkali-activated red mud based cementitious materials. J. Concrete 2020, 1, 27–31. [Google Scholar]
- Garanayak, L. Strength effect of alkali activated red mud slag cement in ambient condition. Mater. Today Proc. 2021, 44, 1437–1443. [Google Scholar] [CrossRef]
- Yang, W.G.; Sun, Z.Y.; Li, Y.X. Analysis of road mechanical characteristics of improved red mud solidification material. J. Transp. Technol. Econ. 2020, 22, 65–68, 74. [Google Scholar] [CrossRef]
- Sun, Z.; Wei, J.; Cheng, Y. Study on modulus Characteristics of Modified Bayer Red Mud Roadbed. Sino-Foreign Highw. 2018, 38, 54–57. [Google Scholar]
- Ma, Q.; Duan, W.; Liu, X.; Fang, P.; Chen, R.; Wang, T.; Hao, Z. Engineering Performance Evaluation of Recycled Red Mud Stabilized Loessial Silt as a Sustainable Subgrade Material. Materials 2022, 15, 3391. [Google Scholar] [CrossRef] [PubMed]
- Ma, S.; Sun, Z.; Wei, J.; Zhang, X.; Zhang, L. Utilization of Modified Red Mud Waste from the Bayer Process as Subgrade and Its Performance Assessment in a Large-Sale Application. Coatings 2022, 12, 471. [Google Scholar] [CrossRef]
- JTG 3430-2020; Test Methods of Soils for Highway Engineering. Ministry of Transportation: Beijing, China, 2020.
- ASTM D1557-09; Standard Test Methods for Laboratory Compaction Characteristics of Soil Using Modified Effort. ASTM International: West Conshohocken, PA, USA, 2009.
- Liang, L.; Zhang, J.; Fang, P.; Suo, C. Study on Properties of Copper-Contaminated Soil Solidified by Solid Waste System Combined with Cement. Sustainability 2022, 14, 5604. [Google Scholar] [CrossRef]
- Zhang, Z.; Xie, C.; Sang, Z.; Li, D. Optimizing the Mechanical Performance and Microstructure of Alkali-Activated Soda Residue-Slag Composite Cementing Materials by Various Curing Methods. Sustainability 2022, 14, 13661. [Google Scholar] [CrossRef]
- Yuan, S.; Wang, R.; Zhang, H.; Li, Y.; Liu, L.; Fu, Y. Investigation of Mineral Phase Transformation Technology Followed by Magnetic Separation for Recovery of Iron Values from Red Mud. Sustainability 2022, 14, 13787. [Google Scholar] [CrossRef]
- GB/T 15555.12-1995; Solid Waste—Glass Electrode Test—Method of Corrosivity. Ministry of Ecology and Environment: Beijing, China, 1995.
- GB 5085.1-2019; Identification Standards for Hazardous Wastes-Identification for Corrosivity. Ministry of Transportation: Beijing, China, 2019.
- GB 5085.3-2019; Identification Standards for Hazardous Wastes-Identification for Extraction Toxicity. Ministry of Transportation: Beijing, China, 2019.
- GB 6566-2010; Limits of Radionuclides in Building Materials. Standardization Administration of China: Beijing, China, 2010.
- GB 5085.7-2019; General Standard for Identification of Hazardous Waste. Ministry of Ecology and Environment: Beijing, China, 2019.
- He, J.; Wang, X.Q.; Shi, X.K. Unconfined Compressive Strength and Microscopic Characteristics of Soft Soil Solidified with Soda Residue and Ground Granulated Blast Furnace Slag. J. Chin. J. Appl. Basic Eng. Sci. 2021, 29, 376–386. [Google Scholar] [CrossRef]
- JTG/T F20-2015; Technical Specification for Highway Pavement Base Construction. Ministry of Transportation: Beijing, China, 2015.
- Huang, Y.; Zhou, Z.; Bai, J.; Chen, Q. Micro-experiments on a soft ground improved by cement-mixed soils with gypsum additive. Geotech. Eng. 2010, 32, 1179–1183. [Google Scholar]
- Cai, G.; Zhou, Y.; Pan, Z.; Li, J. Physical and mechanical performance of quicklime-activated GGBS stabilized Hong Kong marinesediment at high water content. Geotechnics 2022, 43, 327–336. [Google Scholar] [CrossRef]
- Liu, Z.; Li, H.; Huang, M.; Jia, D.; Zhang, N. Effects of cooling method on removal of sodium from active roasting red mud based on water leaching. Hydrometallurgy 2017, 167, 92–100. [Google Scholar] [CrossRef]
- Krivenko, P.; Kovalchuk, O.; Pasko, A.; Croymans, T.; Hult, M.; Lutter, G.; Vandevenne, N.; Schreurs, S.; Schroeyers, W. Development of alkali activated cements and concrete mixture design with high volumes of red mud. Constr. Build. Mater. 2017, 151, 819–826. [Google Scholar] [CrossRef]
- Zhang, J.; Zhang, N.; Li, C.; Zhang, Y. Strength development mechanism of a marine binding material with red mud and seawater. Constr. Build. Mater. 2021, 303, 124428. [Google Scholar] [CrossRef]

















| Physical Property | Materials | |
|---|---|---|
| Silty Soil | Red Mud (RM) | |
| Specific gravity | 2.65 | 2.83 |
| Plastic limit (%) | 8.2 | 33.8 |
| Liquid limit (%) | 19.2 | 50.2 |
| Plasticity index | 11 | 10.4 |
| Optimum water content (%) | 9.3 | 31.3 |
| Maximum dry density (g·cm−3) | 1.913 | 1.518 |
| Uniformity coefficient | 11.7 | 1.7 |
| Curvature coefficient | 1.65 | 0.73 |
| Loss-on-ignition (%) | / | 14.67 |
| Material | Al2O3 | SiO2 | Fe2O3 | CaO | TiO2 | K2O | MgO | Na2O | SO3 | Others |
|---|---|---|---|---|---|---|---|---|---|---|
| Silty soil | 9.58 | 67.89 | 5.97 | 3.04 | 2.86 | 1.75 | 2.82 | / | 0.46 | 5.63 |
| RM | 20.10 | 13.28 | 3.32 | 32.02 | 3.81 | 0.35 | 1.16 | 10.9 | / | 15.06 |
| Specific Area (m2·kg−1) | Cl (%) | SO3 (%) | MgO (%) | Loss-on-Ignition (%) | Initial Setting (Time/min) | Final Setting (Time/min) | Stability |
|---|---|---|---|---|---|---|---|
| 352 | 0.043 | 2.77 | 3.51 | 3.51 | 209 | 291 | qualified |
| Type of Test | Cement Content (WP.O) (%) | RM Content (WRM) (%) | Curing Age (d) | Specimen Number |
|---|---|---|---|---|
| Mechanical test | 6, 9, 12 | 0, 14, 17, 20, 23 | 7, 28, 90 | \ |
| Microscopic test | 12 | 20 | 28 | R-1 |
| 9 | 20 | R-2 | ||
| 23 | R-3 | |||
| 0 | R-4 | |||
| 9 | 20 | 90 | R-5 |
Disclaimer/Publisher’s Note: The statements, opinions and data contained in all publications are solely those of the individual author(s) and contributor(s) and not of MDPI and/or the editor(s). MDPI and/or the editor(s) disclaim responsibility for any injury to people or property resulting from any ideas, methods, instructions or products referred to in the content. |
© 2023 by the authors. Licensee MDPI, Basel, Switzerland. This article is an open access article distributed under the terms and conditions of the Creative Commons Attribution (CC BY) license (https://creativecommons.org/licenses/by/4.0/).
Share and Cite
Li, X.; Yan, P.; Yin, S.; Zhang, X.; Liu, P.; Wang, Y. Strength Characteristics and Micro-Mechanism of Silty Soil Modified by Red Mud Co-Cement. Sustainability 2023, 15, 8762. https://doi.org/10.3390/su15118762
Li X, Yan P, Yin S, Zhang X, Liu P, Wang Y. Strength Characteristics and Micro-Mechanism of Silty Soil Modified by Red Mud Co-Cement. Sustainability. 2023; 15(11):8762. https://doi.org/10.3390/su15118762
Chicago/Turabian StyleLi, Xinming, Pan Yan, Song Yin, Xianwei Zhang, Pengfei Liu, and Yulong Wang. 2023. "Strength Characteristics and Micro-Mechanism of Silty Soil Modified by Red Mud Co-Cement" Sustainability 15, no. 11: 8762. https://doi.org/10.3390/su15118762
APA StyleLi, X., Yan, P., Yin, S., Zhang, X., Liu, P., & Wang, Y. (2023). Strength Characteristics and Micro-Mechanism of Silty Soil Modified by Red Mud Co-Cement. Sustainability, 15(11), 8762. https://doi.org/10.3390/su15118762

