Synergistic Effect of Micro-Silica and Recycled Tyre Steel Fiber on the Properties of High-Performance Recycled Aggregate Concrete
Abstract
1. Introduction
2. Materials and Methods
2.1. Materials
2.1.1. Cement and Micro-Silica
2.1.2. Aggregates
2.1.3. Fiber Reinforcement
2.1.4. Plasticizer
2.2. Details and Preparation of Concrete Mixtures
2.3. Testing Methods
3. Results and Discussions
3.1. Density
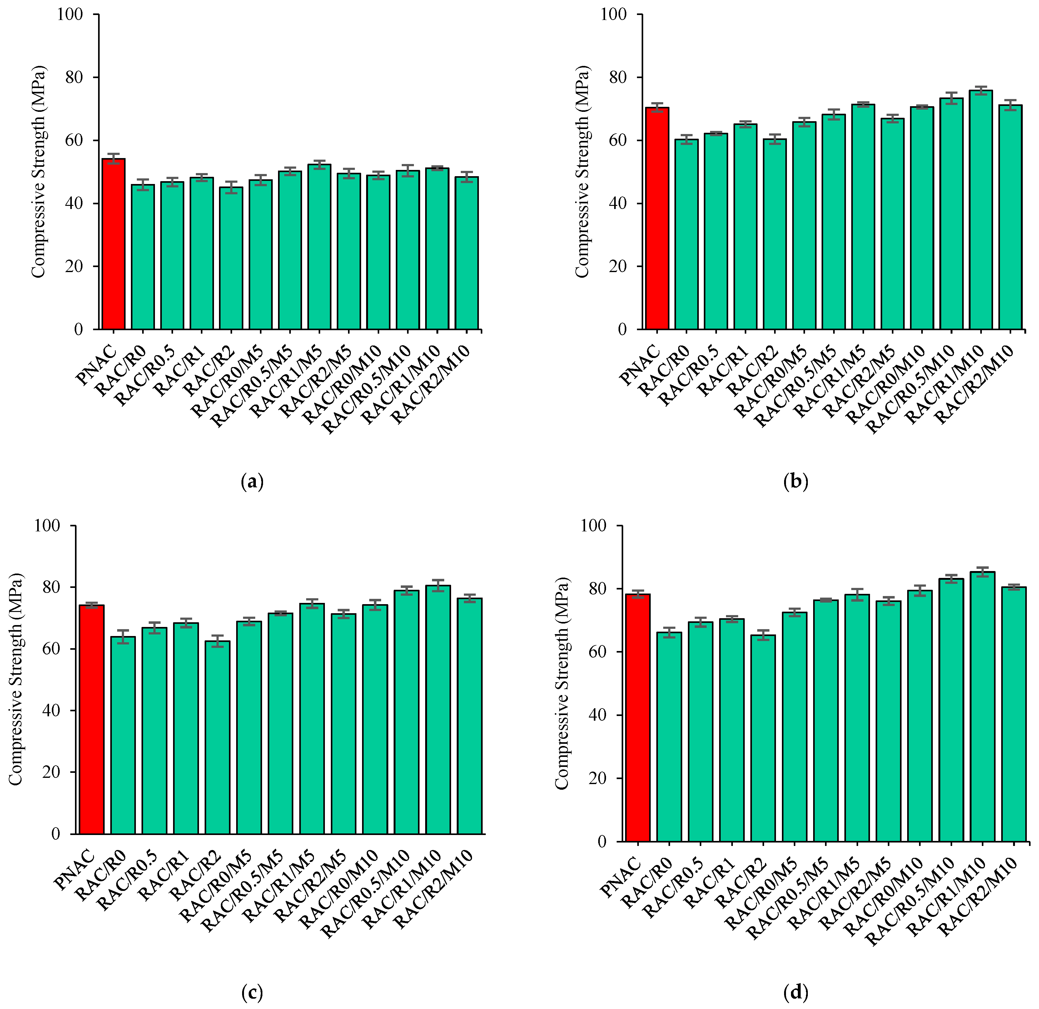
3.2. Compressive Strength
3.3. Splitting Tensile Strength
3.4. Water Absorption

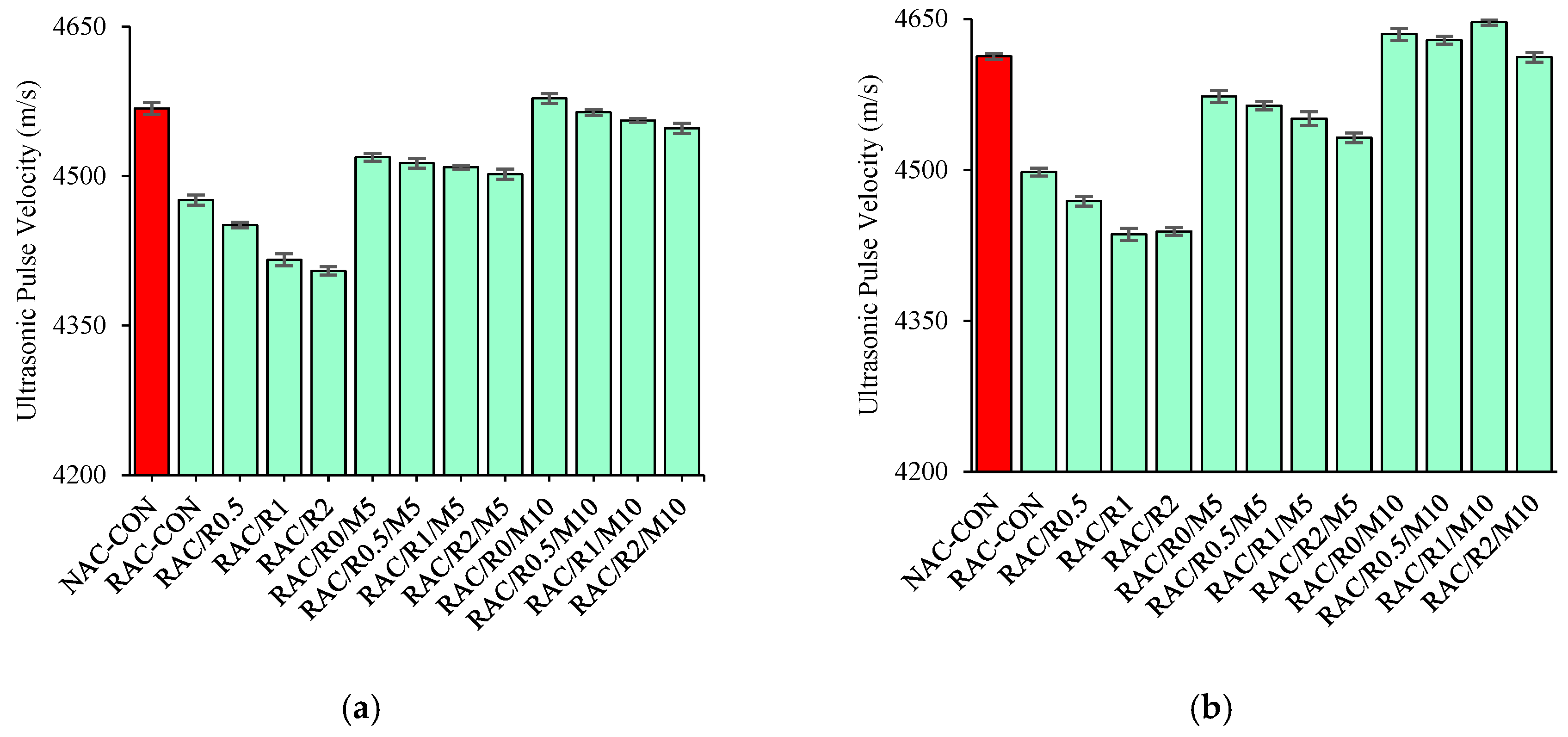
3.5. Ultrasonic Pulse Velocity (km/s)
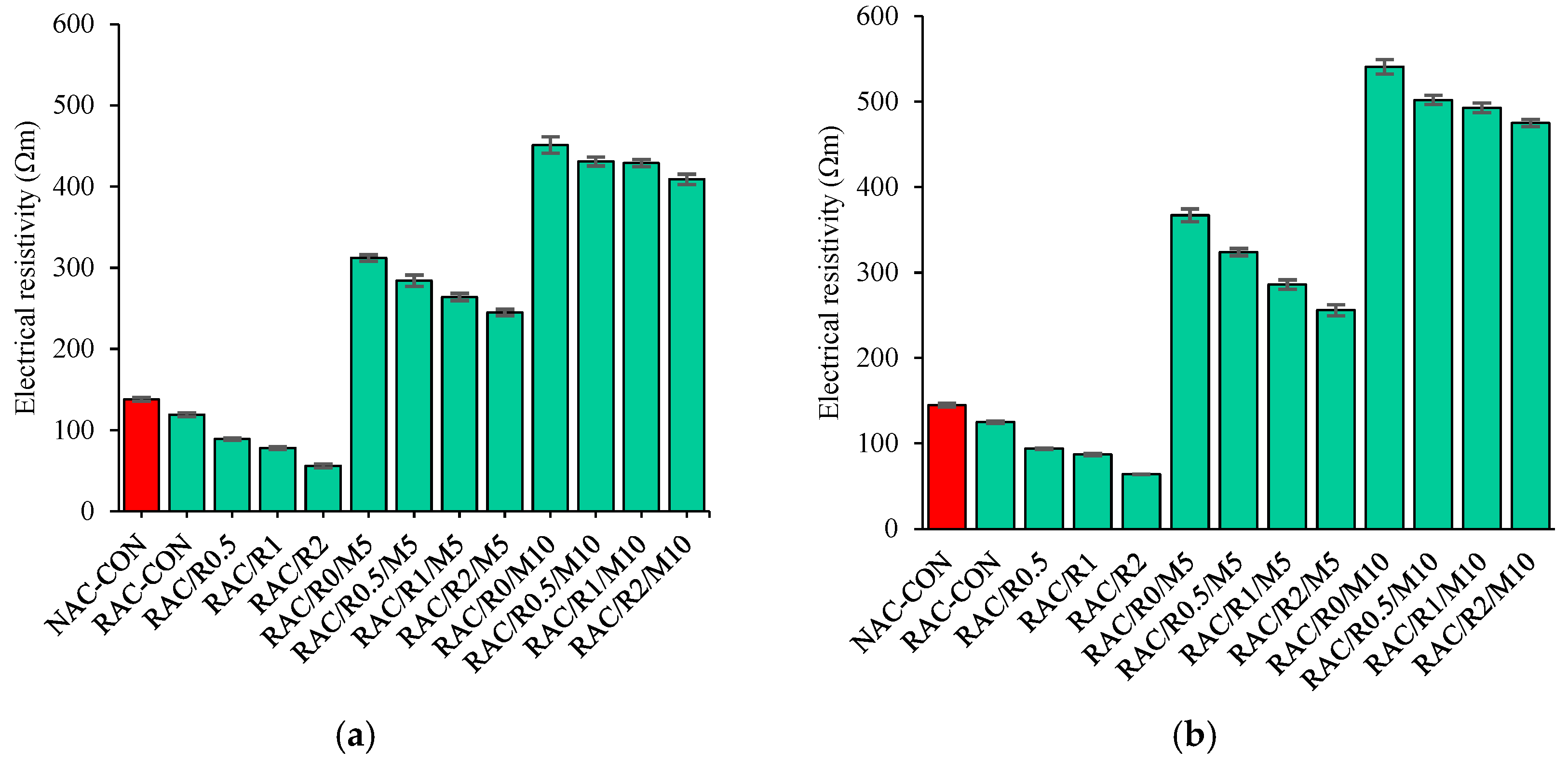
3.6. Electrical Resistivity
4. Conclusions
- The overall density of RAC may be increased by the incorporation of both RTSF and MS. However, the increase in fiber content could increase the voids/pore connectivity in the plain concrete matrix. Seemingly, owing to the filling action and pozzolanicity, MS addition showed minor improvements in the density of concrete.
- The optimum dosage of RTSF can be taken as ‘1%’ considering the maximum improvement in fcm and fctm. RAC made with 10% MS and 1% RTSF could show 7.6–8.5% higher fcm compared to PNAC.
- The fctm of RAC with all contents of RTSF was found to be higher compared to the PNAC. At the age of 90 days, RAC made with 10% MS and 1% RTSF could result in 54% more fctm than PNAC. MS inclusion could result in improvement in the utilization of RTSF towards the ductility of RAC. The increased fiber efficiency with MS addition seemed to be linked with the increased bond strength at the ITZs between fiber filaments and plain matrix.
- Even though 2% RTSF did not cause a noticeable improvement in mechanical performance but samples with 2% RTSF can yield showed smaller crack widths after peak load than samples with low levels of RTSF.
- The efficiency of RTSF can be increased by improving the mechanical properties with MS incorporation and increase in age.
- The UPV of RAC was slightly reduced due to the RTSF addition. Therefore, UPV could not be taken as a good measure to estimate the mechanical properties of steel fiber-reinforced concretes.
- Fine MS particles can ensure a strong interaction between the binder phase and fiber filaments. Thus, the intensity of the negative effect of RTSF on the void ratio can be minimized with the application of MS.
- The absorption capacity of RAC notably can be decreased due to MS addition. At 10% MS addition, RAC exhibited 15–23% lower WA than PNAC.
- The corrosion-risk potential of RAC could increase with RTSF incorporation. While MS could notably enhance the ER of RAC. The corrosion-risk potential of RAC made with 5 and 10% MS was ‘not probable’. MS seemed to be effective in controlling the corrosion resistance of RAC made with RTSF.
Author Contributions
Funding
Data Availability Statement
Acknowledgments
Conflicts of Interest
References
- Akhtar, A.; Sarmah, A.K. Construction and Demolition Waste Generation and Properties of Recycled Aggregate Concrete: A Global Perspective. J. Clean. Prod. 2018, 186, 262–281. [Google Scholar] [CrossRef]
- Kurda, R.; Silvestre, J.D.; de Brito, J. Life Cycle Assessment of Concrete Made with High Volume of Recycled Concrete Aggregates and Fly Ash. Resour. Conserv. Recycl. 2018, 139, 407–417. [Google Scholar] [CrossRef]
- Şahmaran, M.; Li, V.C. Durability Properties of Micro-Cracked ECC Containing High Volumes Fly Ash. Cem. Concr. Res. 2009, 39, 1033–1043. [Google Scholar] [CrossRef]
- Strieder, H.L.; Dutra, V.F.P.; Graeff, Â.G.; Núñez, W.P.; Merten, F.R.M. Performance Evaluation of Pervious Concrete Pavements with Recycled Concrete Aggregate. Constr. Build. Mater. 2022, 315, 125384. [Google Scholar] [CrossRef]
- Hoffmann, C.; Schubert, S.; Leemann, A.; Motavalli, M. Recycled Concrete and Mixed Rubble as Aggregates: Influence of Variations in Composition on the Concrete Properties and Their Use as Structural Material. Constr. Build. Mater. 2012, 35, 701–709. [Google Scholar] [CrossRef]
- Shi, X.; Mukhopadhyay, A.; Zollinger, D.; Grasley, Z. Economic Input-Output Life Cycle Assessment of Concrete Pavement Containing Recycled Concrete Aggregate. J. Clean. Prod. 2019, 225, 414–425. [Google Scholar] [CrossRef]
- Kurad, R.; Silvestre, J.D.; de Brito, J.; Ahmed, H. Effect of Incorporation of High Volume of Recycled Concrete Aggregates and Fly Ash on the Strength and Global Warming Potential of Concrete. J. Clean. Prod. 2017, 166, 485–502. [Google Scholar] [CrossRef]
- Kurda, R.; Silvestre, J.D.; de Brito, J. Toxicity and Environmental and Economic Performance of Fly Ash and Recycled Concrete Aggregates Use in Concrete: A Review. Heliyon 2018, 4, e00611. [Google Scholar] [CrossRef]
- Maia, M.B.; De Brito, J.; Martins, I.M.; Silvestre, J.D. Toxicity of Recycled Concrete Aggregates: Review on Leaching Tests. Open Constr. Build. Technol. J. 2018, 12, 187–196. [Google Scholar] [CrossRef]
- Kurda, R.; de Brito, J.; Silvestre, J.D. Influence of Recycled Aggregates and High Contents of Fly Ash on Concrete Fresh Properties. Cem. Concr. Compos. 2017, 84, 198–213. [Google Scholar] [CrossRef]
- Kou, S.; Poon, C.; Agrela, F. Comparisons of Natural and Recycled Aggregate Concretes Prepared with the Addition of Different Mineral Admixtures. Cem. Concr. Compos. 2011, 33, 788–795. [Google Scholar] [CrossRef]
- Lam, C.S.; Poon, C.S.; Chan, D. Enhancing the Performance of Pre-Cast Concrete Blocks by Incorporating Waste Glass—ASR Consideration. Cem. Concr. Compos. 2007, 29, 616–625. [Google Scholar] [CrossRef]
- Dilbas, H.; Şimşek, M.; Çakır, Ö. An Investigation on Mechanical and Physical Properties of Recycled Aggregate Concrete (RAC) with and without Silica Fume. Constr. Build. Mater. 2014, 61, 50–59. [Google Scholar] [CrossRef]
- Koushkbaghi, M.; Kazemi, M.J.; Mosavi, H.; Mohseni, E. Acid Resistance and Durability Properties of Steel Fiber-Reinforced Concrete Incorporating Rice Husk Ash and Recycled Aggregate. Constr. Build. Mater. 2019, 202, 266–275. [Google Scholar] [CrossRef]
- Xie, J.; Fang, C.; Lu, Z.; Li, Z.; Li, L. Effects of the Addition of Silica Fume and Rubber Particles on the Compressive Behaviour of Recycled Aggregate Concrete with Steel Fibres. J. Clean. Prod. 2018, 197, 656–667. [Google Scholar] [CrossRef]
- He, W.; Kong, X.; Fu, Y.; Zhou, C.; Zheng, Z. Experimental Investigation on the Mechanical Properties and Microstructure of Hybrid Fiber Reinforced Recycled Aggregate Concrete. Constr. Build. Mater. 2020, 261, 120488. [Google Scholar] [CrossRef]
- Kazmi, S.M.S.; Munir, M.J.; Wu, Y.-F.; Patnaikuni, I.; Zhou, Y.; Xing, F. Axial Stress-Strain Behavior of Macro-Synthetic Fiber Reinforced Recycled Aggregate Concrete. Cem. Concr. Compos. 2019, 97, 341–356. [Google Scholar] [CrossRef]
- Kurda, R.; de Brito, J.; Silvestre, J.D. Water Absorption and Electrical Resistivity of Concrete with Recycled Concrete Aggregates and Fly Ash. Cem. Concr. Compos. 2019, 95, 169–182. [Google Scholar] [CrossRef]
- Ali, B.; Raza, S.S.; Kurda, R.; Alyousef, R. Synergistic Effects of Fly Ash and Hooked Steel Fibers on Strength and Durability Properties of High Strength Recycled Aggregate Concrete. Resour. Conserv. Recycl. 2021, 168, 105444. [Google Scholar] [CrossRef]
- Çakır, Ö.; Sofyanlı, Ö.Ö. Influence of Silica Fume on Mechanical and Physical Properties of Recycled Aggregate Concrete. HBRC J. 2015, 11, 157–166. [Google Scholar] [CrossRef]
- Sasanipour, H.; Aslani, F.; Taherinezhad, J. Chloride Ion Permeability Improvement of Recycled Aggregate Concrete Using Pretreated Recycled Aggregates by Silica Fume Slurry. Constr. Build. Mater. 2021, 270, 121498. [Google Scholar] [CrossRef]
- Dimitriou, G.; Savva, P.; Petrou, M.F. Enhancing Mechanical and Durability Properties of Recycled Aggregate Concrete. Constr. Build. Mater. 2018, 158, 228–235. [Google Scholar] [CrossRef]
- Ali, B.; Qureshi, L.A.; Khan, S.U. Flexural Behavior of Glass Fiber-Reinforced Recycled Aggregate Concrete and Its Impact on the Cost and Carbon Footprint of Concrete Pavement. Constr. Build. Mater. 2020, 262, 120820. [Google Scholar] [CrossRef]
- Kazmi, S.M.S.; Munir, M.J.; Wu, Y.-F.; Patnaikuni, I. Effect of Macro-Synthetic Fibers on the Fracture Energy and Mechanical Behavior of Recycled Aggregate Concrete. Constr. Build. Mater. 2018, 189, 857–868. [Google Scholar] [CrossRef]
- Afroughsabet, V.; Biolzi, L.; Ozbakkaloglu, T. Influence of Double Hooked-End Steel Fibers and Slag on Mechanical and Durability Properties of High Performance Recycled Aggregate Concrete. Compos. Struct. 2017, 181, 273–284. [Google Scholar] [CrossRef]
- Das, C.S.; Dey, T.; Dandapat, R.; Mukharjee, B.B.; Kumar, J. Performance Evaluation of Polypropylene Fibre Reinforced Recycled Aggregate Concrete. Constr. Build. Mater. 2018, 189, 649–659. [Google Scholar] [CrossRef]
- Ali, B.; Qureshi, L.A.; Shah, S.H.A.; Rehman, S.U.; Hussain, I.; Iqbal, M. A Step towards Durable, Ductile and Sustainable Concrete: Simultaneous Incorporation of Recycled Aggregates, Glass Fiber and Fly Ash. Constr. Build. Mater. 2020, 251, 118980. [Google Scholar] [CrossRef]
- Mastali, M.; Dalvand, A. Use of Silica Fume and Recycled Steel Fibers in Self-Compacting Concrete (SCC). Constr. Build. Mater. 2016, 125, 196–209. [Google Scholar] [CrossRef]
- Wang, L.E.I.; Guo, F.; Yang, H.; Wang, Y.A.N.; Tang, S. Comparison of Fly Ash, PVA Fiber, MgO and Shrinkage-Reducing Admixture on the Frost Resistance of Face Slab Concrete via Pore Structural and Fractal Analysis. Fractals 2021, 29, 2140002. [Google Scholar] [CrossRef]
- Wang, L.; Zeng, X.; Li, Y.; Yang, H.; Tang, S. Influences of MgO and PVA Fiber on the Abrasion and Cracking Resistance, Pore Structure and Fractal Features of Hydraulic Concrete. Fractal Fract. 2022, 6, 674. [Google Scholar] [CrossRef]
- Zarei, A.; Rooholamini, H.; Ozbakkaloglu, T. Evaluating the Properties of Concrete Pavements Containing Crumb Rubber and Recycled Steel Fibers Using Response Surface Methodology. Int. J. Pavement Res. Technol. 2022, 15, 470–484. [Google Scholar] [CrossRef]
- Papachristoforou, M.; Anastasiou, E.K.; Papayianni, I. Durability of Steel Fiber Reinforced Concrete with Coarse Steel Slag Aggregates Including Performance at Elevated Temperatures. Constr. Build. Mater. 2020, 262, 120569. [Google Scholar] [CrossRef]
- Ali, B.; Raza, S.S.; Hussain, I.; Iqbal, M. Influence of Different Fibers on Mechanical and Durability Performance of Concrete with Silica Fume. Struct. Concr. 2020; in press. [Google Scholar] [CrossRef]
- Ali, B.; Qureshi, L.A.; Kurda, R. Environmental and Economic Benefits of Steel, Glass, and Polypropylene Fiber Reinforced Cement Composite Application in Jointed Plain Concrete Pavement. Compos. Commun. 2020, 22, 100437. [Google Scholar] [CrossRef]
- Xie, J.; Zhang, Z.; Lu, Z.; Sun, M. Coupling Effects of Silica Fume and Steel-Fiber on the Compressive Behaviour of Recycled Aggregate Concrete after Exposure to Elevated Temperature. Constr. Build. Mater. 2018, 184, 752–764. [Google Scholar] [CrossRef]
- Chan, R.; Santana, M.A.; Oda, A.M.; Paniguel, R.C.; Vieira, L.B.; Figueiredo, A.D.; Galobardes, I. Analysis of Potential Use of Fibre Reinforced Recycled Aggregate Concrete for Sustainable Pavements. J. Clean. Prod. 2019, 218, 183–191. [Google Scholar] [CrossRef]
- Hu, H.; Papastergiou, P.; Angelakopoulos, H.; Guadagnini, M.; Pilakoutas, K. Mechanical Properties of SFRC Using Blended Recycled Tyre Steel Cords (RTSC) and Recycled Tyre Steel Fibres (RTSF). Constr. Build. Mater. 2018, 187, 553–564. [Google Scholar] [CrossRef]
- Zhong, H.; Zhang, M. Experimental Study on Engineering Properties of Concrete Reinforced with Hybrid Recycled Tyre Steel and Polypropylene Fibres. J. Clean. Prod. 2020, 259, 120914. [Google Scholar] [CrossRef]
- Revuelta, D.; Carballosa, P.; García Calvo, J.L.; Pedrosa, F. Residual Strength and Drying Behavior of Concrete Reinforced with Recycled Steel Fiber from Tires. Materials 2021, 14, 6111. [Google Scholar] [CrossRef]
- Khan, M.; Rehman, A.; Ali, M. Efficiency of Silica-Fume Content in Plain and Natural Fiber Reinforced Concrete for Concrete Road. Constr. Build. Mater. 2020, 244, 118382. [Google Scholar] [CrossRef]
- Islam, M.S.; Ahmed, S.J.U. Influence of Jute Fiber on Concrete Properties. Constr. Build. Mater. 2018, 189, 768–776. [Google Scholar] [CrossRef]
- Liew, K.M.; Akbar, A. The Recent Progress of Recycled Steel Fiber Reinforced Concrete. Constr. Build. Mater. 2020, 232, 117232. [Google Scholar] [CrossRef]
- Aiello, M.A.; Leuzzi, F.; Centonze, G.; Maffezzoli, A. Use of Steel Fibres Recovered from Waste Tyres as Reinforcement in Concrete: Pull-out Behaviour, Compressive and Flexural Strength. Waste Manag. 2009, 29, 1960–1970. [Google Scholar] [CrossRef] [PubMed]
- Ahmadi, M.; Farzin, S.; Hassani, A.; Motamedi, M. Mechanical Properties of the Concrete Containing Recycled Fibers and Aggregates. Constr. Build. Mater. 2017, 144, 392–398. [Google Scholar] [CrossRef]
- Moghadam, A.S.; Omidinasab, F.; Abdalikia, M. The Effect of Initial Strength of Concrete Wastes on the Fresh and Hardened Properties of Recycled Concrete Reinforced with Recycled Steel Fibers. Constr. Build. Mater. 2021, 300, 124284. [Google Scholar] [CrossRef]
- ASTM-C150; Standard Specification for Portland Cement. ASTM International: West Conshohocken, PA, USA, 2018.
- ASTM C33/C33M-18; Standard Specification for Concrete Aggregates. ASTM International: West Conshohocken, PA, USA, 2018.
- ASTM-C127; Standard Test Method for Relative Density (Specific Gravity) and Absorption of Coarse Aggregate. ASTM International: West Conshohocken, PA, USA, 2015.
- ASTM-C128; Standard Test Method for Density, Relative Density (Specific Gravity), and Absorption of Fine Aggregate. ASTM International: West Conshohocken, PA, USA, 2001.
- Raza, S.S.; Ali, B.; Noman, M.; Fahad, M.; Elhadi, K.M. Mechanical Properties, Flexural Behavior, and Chloride Permeability of High-Performance Steel Fiber-Reinforced Concrete (SFRC) Modified with Rice Husk Ash and Micro-Silica. Constr. Build. Mater. 2022, 359, 129520. [Google Scholar] [CrossRef]
- ASTM-C143; Standard Test Method for Slump of Hydraulic-Cement Concrete. ASTM International: West Conshohocken, PA, USA, 2015.
- ASTM C39/C39M-12; Standard Test Method for Compressive Strength of Cylindrical Concrete Specimens. ASTM International: West Conshohocken, PA, USA, 2012.
- ASTM-C496; Standard Test Method for Splitting Tensile Strength of Cylindrical Concrete Specimens. ASTM International: West Conshohocken, PA, USA, 2017.
- ASTM-C948; Standard Test Method for Dry and Wet Bulk Density, Water Absorption, and Apparent Porosity of Thin Sections of Glass-Fiber Reinforced Concrete. ASTM International: West Conshohocken, PA, USA, 2016.
- ASTM C1876-19; Standard Test Method for Bulk Electrical Resistivity or Bulk Conductivity of Concrete. ASTM International: West Conshohocken, PA, USA, 2019. Available online: https://www.astm.org/c1876-19.html (accessed on 5 September 2020).
- ASTM C597-16; Standard Test Method for Pulse Velocity through Concrete. ASTM International: West Conshohocken, PA, USA, 2016. Available online: https://www.astm.org/c0597-16.html (accessed on 5 September 2020).
- Xie, J.; Guo, Y.; Liu, L.; Xie, Z. Compressive and Flexural Behaviours of a New Steel-Fibre-Reinforced Recycled Aggregate Concrete with Crumb Rubber. Constr. Build. Mater. 2015, 79, 263–272. [Google Scholar] [CrossRef]
- Wu, Z.; Shi, C.; Khayat, K.H. Influence of Silica Fume Content on Microstructure Development and Bond to Steel Fiber in Ultra-High Strength Cement-Based Materials (UHSC). Cem. Concr. Compos. 2016, 71, 97–109. [Google Scholar] [CrossRef]
- Simalti, A.; Singh, A.P. Comparative Study on Performance of Manufactured Steel Fiber and Shredded Tire Recycled Steel Fiber Reinforced Self-Consolidating Concrete. Constr. Build. Mater. 2021, 266, 121102. [Google Scholar] [CrossRef]
- Mastali, M.; Dalvand, A.; Sattarifard, A.R.; Abdollahnejad, Z.; Nematollahi, B.; Sanjayan, J.G.; Illikainen, M. A Comparison of the Effects of Pozzolanic Binders on the Hardened-State Properties of High-Strength Cementitious Composites Reinforced with Waste Tire Fibers. Compos. Part B Eng. 2019, 162, 134–153. [Google Scholar] [CrossRef]
- Zhang, S.; He, P.; Niu, L. Mechanical Properties and Permeability of Fiber-Reinforced Concrete with Recycled Aggregate Made from Waste Clay Brick. J. Clean. Prod. 2020, 268, 121690. [Google Scholar] [CrossRef]
- Alsaif, A.; Bernal, S.A.; Guadagnini, M.; Pilakoutas, K. Durability of Steel Fibre Reinforced Rubberised Concrete Exposed to Chlorides. Constr. Build. Mater. 2018, 188, 130–142. [Google Scholar] [CrossRef]
- Yazıcı, Ş.; İnan, G.; Tabak, V. Effect of Aspect Ratio and Volume Fraction of Steel Fiber on the Mechanical Properties of SFRC. Constr. Build. Mater. 2007, 21, 1250–1253. [Google Scholar] [CrossRef]
- Afroughsabet, V.; Biolzi, L.; Ozbakkaloglu, T. High-Performance Fiber-Reinforced Concrete: A Review. J. Mater. Sci. 2016, 51, 6517–6551. [Google Scholar] [CrossRef]
- Singh, N.; Singh, S.P. Carbonation and Electrical Resistance of Self Compacting Concrete Made with Recycled Concrete Aggregates and Metakaolin. Constr. Build. Mater. 2016, 121, 400–409. [Google Scholar] [CrossRef]
- Nili, M.; Afroughsabet, V. The Long-Term Compressive Strength and Durability Properties of Silica Fume Fiber-Reinforced Concrete. Mater. Sci. Eng. A 2012, 531, 107–111. [Google Scholar] [CrossRef]
- Kou, S.-C.; Poon, C.-S.; Etxeberria, M. Influence of Recycled Aggregates on Long Term Mechanical Properties and Pore Size Distribution of Concrete. Cem. Concr. Compos. 2011, 33, 286–291. [Google Scholar] [CrossRef]
- Qureshi, L.A.; Ali, B.; Ali, A. Combined Effects of Supplementary Cementitious Materials (Silica Fume, GGBS, Fly Ash and Rice Husk Ash) and Steel Fiber on the Hardened Properties of Recycled Aggregate Concrete. Constr. Build. Mater. 2020, 263, 120636. [Google Scholar] [CrossRef]









| Chemical Properties | % Composition |
| Lime (CaO) | 63.15 |
| Alumina (Al2O3) | 5.24 |
| Silica (SiO2) | 19.6 |
| Iron Oxide (Fe2O3) | 4.36 |
| Magnesia (MgO) | 0.76 |
| Loss in the ignition (LOI) | 1.13 |
| Physical Properties | Result |
| Specific gravity | 3.11 |
| Specific surface area (m2/kg) | 371 |
| Initial setting time (h) | 1.45 |
| Final setting time (h) | 2.93 |
| 7-days fcm | 45.5 |
| 28-days fcm | 52.4 |
| Aggregate Type | Grain Size (mm) | 24-h’ WA (%) | Gs | FM | |
|---|---|---|---|---|---|
| Max. | Min. | ||||
| Sand | 4.75 | 0.075 | 0.81 | 2.68 | 2.91 |
| Crushed sandstone | 12.5 | 2.36 | 0.93 | 2.73 | - |
| RCA (Crushed-concrete waste) | 12.5 | 2.36 | 3.56 | 2.57 | - |
| Mix ID | RTSF (%) | MS (%) | Cement (kg/m3) | MS (kg/m3) | RTSF (kg/m3) | Fine Aggregate (kg/m3) | Coarse Aggregate (kg/m3) | Water (kg/m3) | SP (kg/m3) |
|---|---|---|---|---|---|---|---|---|---|
| PNAC | 0 | 0 | 505 | 0 | 0 | 812 | 935 | 151.5 | 2 |
| RAC/R0 | 0 | 0 | 505 | 0 | 0 | 812 | 860 | 151.5 | 2 |
| RAC/R0.5 | 0.5 | 0 | 505 | 0 | 39 | 806 | 854 | 151.5 | 2 |
| RAC/R1 | 1 | 0 | 505 | 0 | 78 | 799 | 847 | 151.5 | 2.5 |
| RAC/R2 | 2 | 0 | 505 | 0 | 156 | 786 | 834 | 151.5 | 2.5 |
| RAC/R0/M5 | 0 | 5 | 480 | 19 | 0 | 812 | 860 | 151.5 | 2.5 |
| RAC/R0.5/M5 | 0.5 | 5 | 480 | 19 | 39 | 806 | 854 | 151.5 | 3 |
| RAC/R1/M5 | 1 | 5 | 480 | 19 | 78 | 799 | 847 | 151.5 | 3 |
| RAC/R2/M5 | 2 | 5 | 480 | 19 | 156 | 786 | 834 | 151.5 | 3.5 |
| RAC/R0/M10 | 0 | 10 | 455 | 37 | 0 | 812 | 860 | 151.5 | 3 |
| RAC/R0.5/M10 | 0.5 | 10 | 455 | 37 | 39 | 806 | 854 | 151.5 | 3 |
| RAC/R1/M10 | 1 | 10 | 455 | 37 | 78 | 799 | 847 | 151.5 | 3.5 |
| RAC/R2/M10 | 2 | 10 | 455 | 37 | 156 | 786 | 834 | 151.5 | 3.5 |
Disclaimer/Publisher’s Note: The statements, opinions and data contained in all publications are solely those of the individual author(s) and contributor(s) and not of MDPI and/or the editor(s). MDPI and/or the editor(s) disclaim responsibility for any injury to people or property resulting from any ideas, methods, instructions or products referred to in the content. |
© 2023 by the authors. Licensee MDPI, Basel, Switzerland. This article is an open access article distributed under the terms and conditions of the Creative Commons Attribution (CC BY) license (https://creativecommons.org/licenses/by/4.0/).
Share and Cite
Amir, M.T.; Riaz, S.; Ahmed, H.; Raza, S.S.; Shohan, A.A.A.; Alsulamy, S. Synergistic Effect of Micro-Silica and Recycled Tyre Steel Fiber on the Properties of High-Performance Recycled Aggregate Concrete. Sustainability 2023, 15, 8642. https://doi.org/10.3390/su15118642
Amir MT, Riaz S, Ahmed H, Raza SS, Shohan AAA, Alsulamy S. Synergistic Effect of Micro-Silica and Recycled Tyre Steel Fiber on the Properties of High-Performance Recycled Aggregate Concrete. Sustainability. 2023; 15(11):8642. https://doi.org/10.3390/su15118642
Chicago/Turabian StyleAmir, Muhammad Talha, Sobia Riaz, Hawreen Ahmed, Syed Safdar Raza, Ahmed Ali A. Shohan, and Saleh Alsulamy. 2023. "Synergistic Effect of Micro-Silica and Recycled Tyre Steel Fiber on the Properties of High-Performance Recycled Aggregate Concrete" Sustainability 15, no. 11: 8642. https://doi.org/10.3390/su15118642
APA StyleAmir, M. T., Riaz, S., Ahmed, H., Raza, S. S., Shohan, A. A. A., & Alsulamy, S. (2023). Synergistic Effect of Micro-Silica and Recycled Tyre Steel Fiber on the Properties of High-Performance Recycled Aggregate Concrete. Sustainability, 15(11), 8642. https://doi.org/10.3390/su15118642

