Study on a Stomatal Conductance Model of Grape Leaves in Extremely Arid Areas
Abstract
1. Introduction
2. Materials and Methods
2.1. Experimental Site
2.2. Experimental Design
2.3. Stomatal Conductance Model
2.3.1. Jarvis Model
2.3.2. Ball–Woodrow–Berry Model
2.3.3. Model Improvements
2.4. Model Evaluation
2.5. Data Processing and Analysis
3. Results
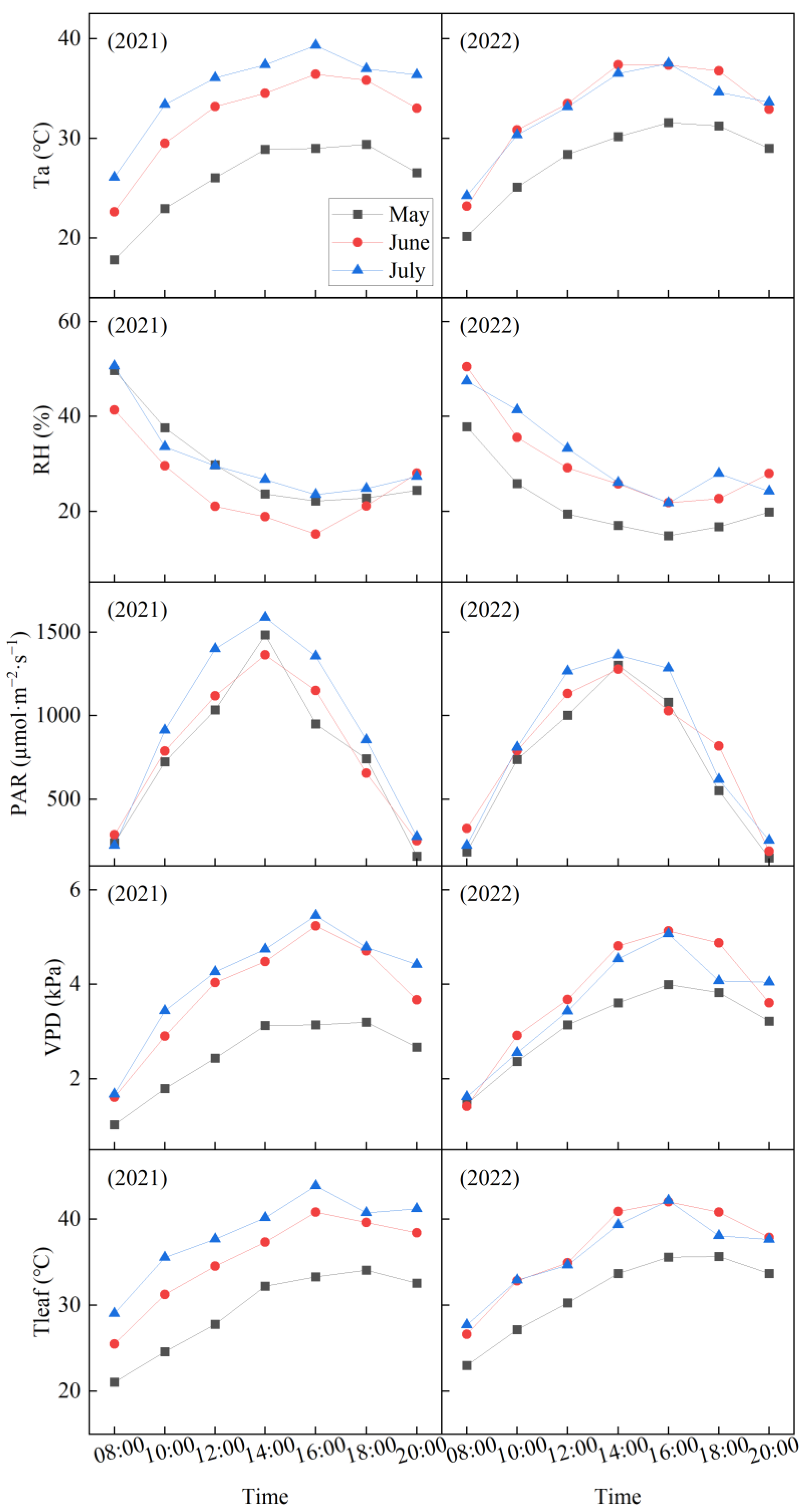
3.1. Daily Change of Environmental Factors
3.2. Daily Change in Stomatal Conductance
3.3. Correlation between Stomatal Conductance and Environmental Factors
3.4. Stomatic Conductance Model Parameter Determination and Performance Evaluation
3.4.1. Jarvis Model
3.4.2. BWB Model
3.5. Model Simulation Effect Verification
3.5.1. Model Performance Analysis
3.5.2. Simulation Analysis of Daily Changes in Stomatal Conductance
4. Discussion
5. Conclusions
Author Contributions
Funding
Institutional Review Board Statement
Informed Consent Statement
Data Availability Statement
Acknowledgments
Conflicts of Interest
References
- Buckley, T.N.; Mott, K.A. Modelling stomatal conductance in response to environmental factors. Plant Cell Environ. 2013, 36, 1691–1699. [Google Scholar] [CrossRef]
- Zhang, J.; Guan, K.; Peng, B.; Pan, M.; Zhou, W.; Grant, R.F.; Franz, T.E.; Rudnick, D.R.; Heeren, D.M.; Suyker, A.; et al. Assessing different plant-centric water stress metrics for irrigation efficacy using soil-plant-atmosphere-continuum simulation. Water Resour. Res. 2021, 57, e2021WR030211. [Google Scholar] [CrossRef]
- Vialet-Chabrand, S.R.M.; Matthews, J.S.A.; McAusland, L.; Blatt, M.R.; Griffiths, H.; Lawson, T. Temporal dynamics of stomatal behavior: Modeling and implications for photosynthesis and water use. Plant Physiol. 2017, 174, 603–613. [Google Scholar] [CrossRef]
- Roche, D. Stomatal conductance is essential for higher yield potential of c-3 crops. Crit. Rev. Plant Sci. 2015, 34, 429–453. [Google Scholar] [CrossRef]
- Wong, S.; Cowan, I.; Farquhar, G. Stomatal conductance correlates with photosynthetic capacity. Nature 1979, 282, 424–426. [Google Scholar] [CrossRef]
- Yin, X.; Struik, P.C. C-3 and c-4 photosynthesis models: An overview from the perspective of crop modelling. NJAS Wagen. J. Life Sci. 2009, 57, 27–38. [Google Scholar] [CrossRef]
- Han, T.; Feng, Q.; Yu, T.; Yang, X.; Zhang, X.; Li, K. Characteristic of stomatal conductance and optimal stomatal behaviour in an arid oasis of northwestern china. Sustainability 2022, 14, 968. [Google Scholar] [CrossRef]
- Munjonji, L.; Ayisi, K.K.; Boeckx, P.; Haesaert, G. Stomatal behavior of cowpea genotypes grown under varying moisture levels. Sustainability 2018, 10, 12. [Google Scholar] [CrossRef]
- Jarvis, P. The interpretation of the variations in leaf water potential and stomatal conductance found in canopies in the field. Philos. Trans. R. Soc. B 1976, 273, 593–610. [Google Scholar]
- Ball, J.T.; Woodrow, I.E.; Berry, J.A. A model predicting stomatal conductance and its contribution to the control of photosynthesis under different environmental conditions. Prog. Photosynth. Res. 1987, 4, 221–224. [Google Scholar]
- Ono, K.; Maruyama, A.; Kuwagata, T.; Mano, M.; Takimoto, T.; Hayashi, K.; Hasegawa, T.; Miyata, A. Canopy-scale relationships between stomatal conductance and photosynthesis in irrigated rice. Glob. Chang. Biol. 2013, 19, 2209–2220. [Google Scholar] [CrossRef]
- Medlyn, B.E.; Duursma, R.A.; Eamus, D.; Ellsworth, D.S.; Prentice, I.C.; Barton, C.V.; Crous, K.Y.; De Angelis, P.; Freeman, M.; Wingate, L. Reconciling the optimal and empirical approaches to modelling stomatal conductance. Glob. Chang. Biol. 2011, 17, 2134–2144. [Google Scholar] [CrossRef]
- Buchholcerová, A.; Fleischer, P.; Štefánik, D.; Bičárová, S.; Lukasová, V. Specification of modified jarvis model parameterization for pinus cembra. Atmosphere 2021, 12, 1388. [Google Scholar] [CrossRef]
- Matsumoto, K.; Ohta, T.; Tanaka, T. Dependence of stomatal conductance on leaf chlorophyll concentration and meteorological variables. Agric. For. Meteorol. 2005, 132, 44–57. [Google Scholar] [CrossRef]
- Bao, Y.; Liu, T.; Duan, L.; Tong, X.; Ji, H.; Zhang, L.; Singh, V.P. A comparative study of three stomatal conductance models for estimating evapotranspiration in a dune ecosystem in a semi-arid region. Sci. Total Environ. 2022, 802, 149937. [Google Scholar] [CrossRef]
- Li, C.; Wang, N.; Luo, X.; Li, Y.; Zhang, T.; Ding, D.; Dong, Q.; Feng, H.; Zhang, W. Introducing water factors improves simulations of maize stomatal conductance models under plastic film mulching in arid and semi-arid irrigation areas. J. Hydrol. 2023, 617, 128908. [Google Scholar] [CrossRef]
- Wang, C.; Yang, P.; Li, Y.; Ren, S. Characteristics of e. Japonicus stomatal conductance under water-deficit stress using a nonlinear jarvis modified model. Math. Comput. Model. 2013, 58, 799–806. [Google Scholar] [CrossRef]
- Qi, Y.; Zhang, Q.; Hu, S.; Wang, R.; Wang, H.; Zhang, K.; Zhao, H.; Zhao, F.; Chen, F.; Yang, Y.; et al. Applicability of stomatal conductance models comparison for persistent water stress processes of spring maize in water resources limited environmental zone. Agric. Water Manag. 2023, 277, 108090. [Google Scholar] [CrossRef]
- Chen, R.; Chang, H.; Wang, Z.; Lin, H. Determining organic-inorganic fertilizer application threshold to maximize the yield and quality of drip-irrigated grapes in an extremely arid area of xinjiang, China. Agric. Water Manag. 2023, 276, 108070. [Google Scholar] [CrossRef]
- Casson, S.A.; Hetherington, A.M. Environmental regulation of stomatal development. Curr. Opin. Plant Biol. 2010, 13, 90–95. [Google Scholar] [CrossRef]
- Massman, W.J.; Kaufmann, M.R. Stomatal response to certain environmental factors: A comparison of models for subalpine trees in the rocky mountains. Agric. For. Meteorol. 1991, 54, 155–167. [Google Scholar] [CrossRef]
- Hofstra, G.; Hesketh, J. The effect of temperature on stomatal aperture in different species. Can. J. Bot. 1969, 47, 1307–1310. [Google Scholar] [CrossRef]
- Jia, W.; Zhang, J. Stomatal movements and long-distance signaling in plants. Plant Signal. Behav. 2008, 3, 772–777. [Google Scholar] [CrossRef] [PubMed]
- Ran, L.; Pleim, J.; Song, C.; Band, L.; Walker, J.T.; Binkowski, F.S. A photosynthesis-based two-leaf canopy stomatal conductance model for meteorology and air quality modeling with wrf/cmaq px lsm. J. Geophys. Res. Atmos. 2017, 122, 1930–1952. [Google Scholar] [CrossRef] [PubMed]
- Johnson, D.M.; Woodruff, D.R.; McCulloh, K.A.; Meinzer, F.C. Leaf hydraulic conductance, measured in situ, declines and recovers daily: Leaf hydraulics, water potential and stomatal conductance in four temperate and three tropical tree species. Tree Physiol. 2009, 29, 879–887. [Google Scholar] [CrossRef]
- Larsen, F.; Higgins, S.; Al Wir, A. Diurnal water relations of apple, apricot, grape, olive and peach in an arid environment (Jordan). Sci. Hortic. 1989, 39, 211–222. [Google Scholar] [CrossRef]
- Sabir, A. Diurnal dynamics of stomatal conductance and leaf temperature of grapevines (Vitis vinifera L.) in response to daily climatic variables. Acta Sci. Pol. Hortorum Cultus 2015, 14, 3–15. [Google Scholar]
- Yu, L.-Y.; Cai, H.-J.; Zheng, Z.; Li, Z.-J.; Wang, J. Towards a more flexible representation of water stress effects in the nonlinear jarvis model. J. Integr. Agric. 2017, 16, 210–220. [Google Scholar] [CrossRef]
- Li, G.; Lin, L.; Dong, Y.; An, D.; Li, Y.; Luo, W.; Yin, X.; Li, W.; Shao, J.; Zhou, Y.; et al. Testing two models for the estimation of leaf stomatal conductance in four greenhouse crops cucumber, chrysanthemum, tulip and lilium. Agric. For. Meteorol. 2012, 165, 92–103. [Google Scholar] [CrossRef]
- Gao, G.; Zhang, X.; Yu, T.; Chang, J.; Zhao, H. Simulation of leaf stomatal conductance of populus euphratica oliv. Under extremely dry conditions. Arid Land Geogr. 2016, 39, 607–612. [Google Scholar]
- Zhang, J.; Guan, K.; Peng, B.; Pan, M.; Zhou, W.; Jiang, C.; Kimm, H.; Franz, T.E.; Grant, R.F.; Yang, Y. Sustainable irrigation based on co-regulation of soil water supply and atmospheric evaporative demand. Nat. Commun. 2021, 12, 5549. [Google Scholar] [CrossRef]
- Blonder, B.; Michaletz, S.T. A model for leaf temperature decoupling from air temperature. Agric. For. Meteorol. 2018, 262, 354–360. [Google Scholar] [CrossRef]
- Zhou, S.; Duursma, R.A.; Medlyn, B.E.; Kelly, J.W.G.; Prentice, I.C. How should we model plant responses to drought? An analysis of stomatal and non-stomatal responses to water stress. Agric. For. Meteorol. 2013, 182, 204–214. [Google Scholar] [CrossRef]
- Muellers, Y.; Postma, J.A.; Poorter, H.; van Dusschoten, D. Stomatal conductance tracks soil-to-leaf hydraulic conductance in faba bean and maize during soil drying. Plant Physiol. 2022, 190, 2279–2294. [Google Scholar] [CrossRef]
- Eksteen, A.B.; Grzeskowiak, V.; Jones, N.B.; Pammenter, N.W. Stomatal characteristics of eucalyptus grandis clonal hybrids in response to water stress. South. For. A J. For. Sci. 2013, 75, 105–111. [Google Scholar] [CrossRef]
- Wang, Q.; He, Q.; Zhou, G. Applicability of common stomatal conductance models in maize under varying soil moisture conditions. Sci. Total Environ. 2018, 628, 141–149. [Google Scholar] [CrossRef]
- Sun, R.; Ma, J.; Sun, X.; Zheng, L.; Guo, J. Responses of the leaf water physiology and yield of grapevine via different irrigation strategies in extremely arid areas. Sustainability 2023, 15, 2887. [Google Scholar] [CrossRef]




| Ta | RH | PAR | VPD | ΔT | |
|---|---|---|---|---|---|
| 2021 | 0.363 ** | 0.004 | 0.570 ** | 0.258 ** | −0.714 ** |
| 2022 | 0.243 ** | 0.259 ** | 0.645 ** | 0.055 | −0.686 ** |
| Model | Parameter | p | ||||||
|---|---|---|---|---|---|---|---|---|
| a1 | b1 | b2 | c1 | c2 | c3 | d1 | ||
| Jarvis1 | 174.6798 | 0.1151 | 0.6136 | −0.0382 | 0.0009 | <0.01 | ||
| Jarvis2 | 190.3139 | −1.7007 | −0.1021 | 0.0285 | −0.0017 | <0.01 | ||
| Jarvis3 | 195.1951 | 0.0463 | −1.8142 | −0.6070 | 0.0805 | −0.0031 | <0.01 | |
| Jarvis1–ΔT | 36.7521 | 0.0979 | 0.4347 | −0.0262 | 0.0008 | −0.1491 | <0.01 | |
| Jarvis2–ΔT | 67.0107 | −3.1266 | −1.2016 | 0.1469 | −0.0058 | −0.1378 | <0.01 | |
| Jarvis3–ΔT | 67.1491 | 0.0039 | −3.2114 | −1.3246 | 0.1595 | −0.0062 | −0.1376 | <0.01 |
| Model | R2 | RMSE | MAE | b |
|---|---|---|---|---|
| Jarvis1 | 0.4712 | 0.0313 | 0.0260 | 0.9527 |
| Jarvis2 | 0.5886 | 0.0276 | 0.0230 | 0.9632 |
| Jarvis3 | 0.5976 | 0.0273 | 0.0227 | 0.9640 |
| Jarvis1–ΔT | 0.8028 | 0.0191 | 0.0149 | 0.9824 |
| Jarvis2–ΔT | 0.8676 | 0.0157 | 0.0128 | 0.9882 |
| Jarvis3–ΔT | 0.8676 | 0.0157 | 0.0128 | 0.9882 |
| Model | Parameter | p | R2 | RMSE | MAE | b | ||
|---|---|---|---|---|---|---|---|---|
| m | g0 | d1 | ||||||
| BWB | 0.0497 | 0.0873 | <0.01 | 0.4259 | 0.0326 | 0.0263 | 0.9486 | |
| BWB–ΔT | 0.0878 | 0.0968 | −0.3009 | <0.01 | 0.5099 | 0.0301 | 0.0244 | 0.9562 |
| BWB1 | 2.7493 | 0.0422 | <0.01 | 0.8438 | 0.0170 | 0.0140 | 0.9860 | |
| BWB1–ΔT | 2.8595 | 0.0481 | −0.0364 | <0.01 | 0.8497 | 0.0167 | 0.0138 | 0.9866 |
| Model | R2 | RMSE |
|---|---|---|
| Jarvis1 | 0.6728 | 0.0231 |
| Jarvis1–ΔT | 0.8479 | 0.0162 |
| Jarvis2 | 0.6390 | 0.0259 |
| Jarvis2–ΔT | 0.8846 | 0.0151 |
| Jarvis3 | 0.6702 | 0.0254 |
| Jarvis3–ΔT | 0.8847 | 0.0151 |
| BWB | 0.4340 | 0.0317 |
| BWB–ΔT | 0.6119 | 0.0252 |
| BWB1 | 0.8178 | 0.0185 |
| BWB1–ΔT | 0.8408 | 0.0171 |
Disclaimer/Publisher’s Note: The statements, opinions and data contained in all publications are solely those of the individual author(s) and contributor(s) and not of MDPI and/or the editor(s). MDPI and/or the editor(s) disclaim responsibility for any injury to people or property resulting from any ideas, methods, instructions or products referred to in the content. |
© 2023 by the authors. Licensee MDPI, Basel, Switzerland. This article is an open access article distributed under the terms and conditions of the Creative Commons Attribution (CC BY) license (https://creativecommons.org/licenses/by/4.0/).
Share and Cite
Sun, R.; Ma, J.; Sun, X.; Bai, S.; Zheng, L.; Guo, J. Study on a Stomatal Conductance Model of Grape Leaves in Extremely Arid Areas. Sustainability 2023, 15, 8342. https://doi.org/10.3390/su15108342
Sun R, Ma J, Sun X, Bai S, Zheng L, Guo J. Study on a Stomatal Conductance Model of Grape Leaves in Extremely Arid Areas. Sustainability. 2023; 15(10):8342. https://doi.org/10.3390/su15108342
Chicago/Turabian StyleSun, Ruifeng, Juanjuan Ma, Xihuan Sun, Shijian Bai, Lijian Zheng, and Jiachang Guo. 2023. "Study on a Stomatal Conductance Model of Grape Leaves in Extremely Arid Areas" Sustainability 15, no. 10: 8342. https://doi.org/10.3390/su15108342
APA StyleSun, R., Ma, J., Sun, X., Bai, S., Zheng, L., & Guo, J. (2023). Study on a Stomatal Conductance Model of Grape Leaves in Extremely Arid Areas. Sustainability, 15(10), 8342. https://doi.org/10.3390/su15108342
