Abstract
The effectiveness of a hybrid approach comprising electrocoagulation (EC) and adsorption (AD) (using natural zeolite and/or palygorskite) processes to treat raw sanitary landfill leachate (SLL) was investigated in terms of color, dissolved chemical oxygen demand (d-COD), nitrate nitrogen (NO3−-N) and ammonium nitrogen (NH4+-N) removal. Optimal EC conditions were found with a current density of 30 mA cm−2, Fe electrode material and pH 8. Implementation of the AD process using zeolite (ADzeo) as pre- or post-treatment for EC significantly increased the NH4+-N removal efficiency. The ADzeo-EC sequential treatment showed considerably higher color removal compared to the EC-ADzeo sequential treatment and was therefore determined to be the optimal sequential treatment. Integration of the AD process using palygorskite (ADpal) into the first or middle stage of the ADzeo-EC treatment system enhanced the overall NO3−-N removal efficiency. The hybrid ADzeo-ADpal-EC treatment system exhibited the highest simultaneous removal efficiencies of color, d-COD, NO3−-N and NH4+-N, corresponding to 95.06 ± 0.19%, 48.89 ± 0.89%, 68.38 ± 0.93% and 78.25 ± 0.61%, respectively. The results of this study indicate that the ADzeo-ADpal-EC hybrid system is a promising and efficient approach for treating raw landfill leachate.
1. Introduction
Sanitary landfill leachate (SLL) is extensively generated in sanitary landfills [] as a result of rainwater infiltrating the disposed solid waste, which undergoes biological and physicochemical decomposition, as well as its inherent moisture content []. SLL is a dark-colored heterogeneous mixture [,] consisting of high concentrations of organic matter quantified as chemical oxygen demand (COD), heavy metals, chlorinated organic and inorganic salts, and extremely high concentrations of ammonium nitrogen (NH4+-N) [,,]. The improper operation of a sanitary landfill, including leachate collection and treatment, poses serious risks to nearby surface waters, surrounding soils and groundwater [,]. Effective treatment of the leachate, with a drastic reduction in the harmful substances it contains, is therefore imperative before its discharge to a natural receptor [].
A plethora of techniques have been applied for the treatment of leachate (membrane filtration, advanced oxidation processes (AOPs), electrochemical processes, etc.) [,,,,,,,,]. Electrocoagulation (EC) has attracted immense attention in recent years due to the numerous advantages it offers: high efficacy, simple equipment requirements, ease of operation and automation, short treatment time, no chemical requirements, low capital and operating costs, and reduced sludge production compared to the conventional coagulation process [,,,]. During this process, metal ions are generated by electrolytic oxidation of a sacrificial anodic metal electrode under an applied electric potential [] which then form hydrated metal ions in the solution that produce polymeric hydroxides that serve as coagulants and neutralize the ionic species in the solution to form flocs []. These flocs are removed by precipitation or electroflotation, whereby they are attached to the H2 bubbles that evolve at the cathode [,].
The EC process has proven effective in treating landfill leachate, removing a diverse range of pollutants, such as color, turbidity, suspended solids, COD, heavy metals and other macro-molecular organic compounds [,,]. Most EC studies focus on the effect of different operating parameters, such as the electrode material [,,], the inter-electrode distance [,,], the current density [,,,], the electrolysis time and the initial pH of the leachate [,,], on pollutant removal efficiency. Different electrode materials have been used in EC studies to treat raw landfill leachate, including aluminum (Al), iron (Fe), stainless steel, zinc, carbon, nickel, copper, palladium, platinum and silver [,,,]. Of these materials, Al and Fe electrodes are the most commonly used because of their low cost, availability, reliability and effectiveness [,,]. While there is limited research on the influence of Al electrodes, the current density and the initial pH of landfill leachate on the simultaneous removal of color, dissolved chemical oxygen demand (d-COD), NO3−-N and NH4+-N during the EC process [], no studies exist on the influence of Fe electrodes on the simultaneous removal all four above-mentioned pollutants. It is worth noting that even though both Al and Fe electrodes have proven to be effective in treating raw leachate compared to other electrode materials, Fe electrodes do have an advantage over Al in terms of lower operating cost and reduced toxicity [].
Despite the high efficiency and reliability of the EC process, some recalcitrant pollutants remain in the leachate after EC treatment, such as organic substances and NH3-N [,,,,]. From the literature, it can be inferred that no single procedure, including EC, is effective for the treatment of leachate [,] due to the complexity of its composition, and therefore combined systems are essential to address environmental restrictions [,]. The conjunction of EC with another physicochemical and/or biological method is a possible solution to achieve simultaneous elimination of the pollutants and higher purification performance []. Several combined treatments, such as EC-biofiltration [,], EC-nanofiltration [,], EC-electrooxidation (EO)-sulphate radical based AOP [], ultrasound-ozone (O3)-EC [], EC-submerged membrane bioreactor (SMEBR) treatment [] and biological treatment-membrane filtration-EC-EO [], have been applied for the effective treatment of raw landfill leachates. Nevertheless, the combinations of EC with these processes demonstrate critical limitations. To elaborate further, the implementation of AOP- based hybrid systems is not financially viable for treatment plants on a large scale, given the high operational costs associated with the electricity consumption of the equipment and the addition of large amounts of oxidants []. Moreover, combinations of EC with membrane processes are restricted by treatment costs and membrane fouling [], while biological methods may require long treatment times [,]. Therefore, a simple, fast, efficient and low-cost combined system is required for the treatment of leachate [].
Adsorption (AD) processes using naturally occurring and low-cost adsorbents, such as zeolite and/or palygorskite, may be interesting approaches to support the EC process in a combined treatment system because of their high efficiency in terms of pollutant removal, their cost-effectiveness and simple usage, and the potential reuse of the adsorbent [,,]. Zeolite is a ubiquitous, naturally occurring, hydrated aluminosilicate mineral with a three-dimensional crystalline microporous structure consisting of interconnected SiO4 and AlO4 frameworks via shared oxygen atoms [,]. By substituting tetravalent silicon (Si4+) with trivalent aluminum (Al3+) in the mineral structure, a net negative charge is created and balanced by cations, e.g., Ca2+, Na+ and K+, found in cavities, which can be exchanged with other inorganic and organic cations present in the surrounding environment [,]. Similar to natural zeolite, natural palygorskite is also widely available. Palygorskite is a natural, crystalloid, hydrated magnesium-aluminum silicate clay and a 2:1 type clay mineral characterized by a fibrous morphology and a ribbon-like structure [,]. Its structure consists of a continuous two-dimensional tetrahedral silica sheet, in which the apical oxygens are periodically inverted every four Si atoms (two tetrahedral chains), and a discontinuous octahedral sheet conversely broken into ribbons [,]. The replacement of Al3+ with Mg2+ and Fe2+ in the octahedral sheet of palygorskite results in a moderately high structural charge which facilitates the interaction of the mineral with cations []. Natural [] and modified [] zeolite have been shown to be highly selective for NH4+-N in raw landfill leachate. On the other hand, natural [,] and modified [] palygorskite have proved to be highly effective in removing color from raw wastewaters (e.g., textile wastewater, landfill leachate, and printing and dye wastewater). According to the literature, natural palygorskite for color removal from real landfill leachate through adsorption has been studied only by Genethliou et al. []; they found that the decolorization of a raw SLL reached a value of 82.31 ± 0.57% at 180 min of adsorption treatment with simultaneous high removal of d-COD and NH4+-N (54.68 ± 0.59% and 41.87 ± 0.53%, respectively) []. Depending on the requirements of the combined AD and EC treatments, the EC process could be used as a pre- or post-treatment step.
Previous published research [] has investigated the addition of zeolite adsorbent to an EC cell as a co-treatment method for removing ammonia and color from a raw saline landfill leachate using a pair of Al electrodes. The results showed that the percentage removals of ammonia and color realized were 70% and 88%, respectively. In another work [], an adsorption process with granular activated carbon was employed as a post-treatment for the EC process in which a pair of Fe electrodes was used. The focus of the authors was to remove the disinfection by-products (DBPs) potentially formed during EC treatment of landfill leachates; however, they also evaluated COD removal after four hours of adsorption, which was enhanced from 21.8 ± 1.4% to 45.5 ± 4.2%. De et al. [] studied an integrated multistage approach (air stripping, coagulation–flocculation, electrocoagulation and adsorption) comprising a batch EC reactor with four Fe electrodes and an adsorption column packed with chitosan beads in series to treat raw landfill leachate. The overall removals of NH4+-N, BOD5, COD and Hg achieved were 96.87%, 95.97%, 90.23% and 99.93%, respectively. Recently, a hybrid pilot-scale system has been examined using AD (with zeolite), EC (with Al electrodes) and biological processes as post-treatments []. The overall removal efficiencies for NH4+-N, color and d-COD achieved were 95.5 ± 0.1%, 98.8 ± 0.1% and 85.7 ± 0.8%, respectively. However, according to reports in the literature, zeolite has not been examined in sequential EC and AD processes (or vice versa) for the treatment of raw landfill leachate using Fe electrodes. Zeolite in combination with palygorskite has also not been reported yet in a hybrid system consisting of EC and AD.
In this study, hybrid EC and AD systems using zeolite and/or palygorskite as adsorbents were developed for the first time to efficiently treat raw SLL and simultaneously remove color, d-COD, NO3−-N and NH4+-N. Specifically, a pair of iron (Fe) electrodes was examined for the simultaneous removal of the above-mentioned pollutants from raw landfill leachates for the first time. Two hybrid EC and AD systems consisting of a batch adsorption reactor containing natural zeolite and an EC reactor were applied to assess the optimal arrangement of the combined EC and AD system by changing the sequence of the two processes within the system (EC-ADzeo and ADzeo-EC). In addition, in a hybrid EC and AD system, adsorption by palygorskite (ADpal) was integrated into the first or second stage of the optimal EC and AD sequential treatment determined to enhance the overall treatment of the raw SLL. Therefore, two hybrid systems were evaluated for the simultaneous removal of the pollutants, namely, ADpal-ADzeo-EC and ADzeo-ADpal-EC. A parametric evaluation was also carried out during the single EC process, including the determination of the effects of the electrode material (Fe or Al electrode), current density and initial pH of the landfill leachate on the simultaneous removal of color, d-COD, NO3−-N and NH4+-N.
2. Materials and Methods
2.1. SLL Origin and Sampling
Raw landfill leachate was supplied by a municipal sanitary landfill situated in Flokas (Patras, Greece) which has been in operation since 2003. The landfill occupies a total area of 20.5 ha and features an aerobic biological wastewater treatment plant. The SLL used in the study was sampled from the equilibration tank and kept at −20 °C for the duration of the experimentation period. Table 1 summarizes the physicochemical characteristics of the raw SLL.

Table 1.
Characteristics of the sampled leachate from the Flokas sanitary landfill.
2.2. Adsorbents
Natural fibrous palygorskite was provided by Geohellas S.A. Industry, located in Athens (Greece) [], while natural zeolite was supplied by S&B Industrial Minerals AD (Greece), situated in the Rhodope Prefecture (Greece). The zeolite and palygorskite used in the current research were prepared according to Genethliou et al. [,].
2.3. Experimental Set-Up and Procedure
2.3.1. Electrocoagulation
The EC experimental set-up was selected based on the study of Papadopoulos et al. []. A glass electrolytic cell with a total internal volume of 0.6 L was used as a batch reactor (Figure 1). A pair of Al or Fe electrodes, consisting of one anode and one cathode, were placed vertically in the EC reactor and connected in monopolar parallel mode to a DC regulated power supply (model QJ3005C). The dimensions of the electrodes were 10 cm (length) × 2 cm (width) × 0.005 cm (thickness), and the total effective surface area was 12 cm2. To reduce energy consumption, the inter-electrode distance was kept low at 0.30 cm [].

Figure 1.
Schematic diagram of EC process.
For the EC experiments, 0.50 L of raw SLL was placed into the electrolytic cell and stirred with a magnetic stirrer at a speed of 200 rpm to promote a more homogeneous solution medium that would improve the interaction between pollutants and coagulants []. It should be mentioned that no electrolyte was added in the leachate, since the conductivity was 14.74 ± 0.13 mS cm−1 (Table 1). The temperature inside the cell was kept constant (27 ± 1 °C) using a water bath, and the total duration of electrolysis was 120 min for each experiment. The electrodes were smoothed with sandpaper to eliminate any solid particles from their surfaces before usage [].
In the current research, various current densities were tested (10, 30, 60 and 100 mA cm−2) on color, d-COD, NO3−-N and ΝH4+-Ν removal in batch EC experiments using both electrode materials (Al and Fe). For the above-mentioned current densities, the respective applied intensities were 0.12, 0.36, 0.50 and 1.20 A, calculated as the applied current divided by the submerged surface area of the electrode studied (12 cm2) []. Three different initial pH values of the SLL were also examined (6, 8 and 10) in terms of the afore-mentioned pollutants, using the optimum electrode material identified. The pH of the solutions was adjusted using either sulfuric acid (H2SO4) or sodium hydroxide (NaOH) solutions prior to the initiation of the EC experiments.
SLL samples (of 5 mL volume) were collected (using a pipette) at different time intervals and allowed to settle overnight []. Next, the samples were centrifuged (5000 rpm, 3 min) and filtered (0.45 μm membrane filters) [] and the supernatants obtained were analyzed for color, d-COD, NO3−-N and ΝH4+-Ν concentration. All EC tests were performed in duplicate.
2.3.2. Hybrid AD-EC Systems Comprising AD and EC
Hybrid systems were developed by combining the AD process with the EC process in series (within different reactors) to enhance the treatment efficiency of the SLL for the simultaneous removal of color, d-COD, NO3−-N and ΝH4+-Ν. Different hybrid AD-EC treatment systems, operating in batch mode, were applied using naturally occurring zeolite and/or palygorskite as adsorbents. Samples from each process (5 mL for EC and 4 mL for AD) were collected at different time intervals, centrifuged (5000 rpm, 3 min) and filtered (0.45 μm membrane filters), and the supernatants obtained were analyzed for color, d-COD, NO3−-N and ΝH4+-Ν. All experiments were performed in duplicate.
Assessment of the Optimal Arrangement of the Hybrid System Consisting of an Adsorption Process Using Zeolite (ADzeo) and EC
For the AD experiments, the optimal zeolite conditions were adopted from a previous study by our research team []. According to Genethliou et al. [], a zeolite particle size of 0.930 μm, a 133 g L−1 adsorbent dosage, a 1.18 m s−1 stirring rate using a jar test apparatus (VELP Scientifica, Usmate Velate, Italy), a leachate pH of 8 (natural SLL) and three hours of contact time led to the optimal pollutant removal efficiencies. For this reason, the same operating conditions were also applied in the present research study. For the EC process, a current density of 30 mA cm−2, Fe electrodes, a solution pH of 8 (natural SLL), a magnetic stirring speed of 200 rpm and an electrolysis time of 120 min were applied, based on the EC parameter estimation of the current study.
Two different hybrid systems (ADzeo-EC and EC-ADzeo) were implemented to determine the optimal sequence of the system’s processes for the simultaneous removal of color, d-COD, NO3−-N and ΝH4+-Ν. This was achieved by changing the sequence of the processes (ADzeo and EC) within the combined system.
Specifically, in the hybrid ADzeo-EC system, 300 mL of raw SLL was first treated with 40 g of natural zeolite in a 600 mL glass beaker for 180 min. The suspension was then centrifuged (5000 rpm, 5 min) and the liquid phase was treated in the EC reactor for an additional 120 min. Conversely, in the hybrid EC-ADzeo system, 300 mL of raw SLL was first placed into the EC reactor to be treated for 120 min. After EC treatment, the effluent was centrifuged (5000 rpm, 5 min) and then the liquid phase was placed into 600 mL glass beakers containing 40 g of zeolite for a secondary treatment which lasted 180 min.
Hybrid Systems Including Adsorption with Zeolite and Palygorskite
An AD process using palygorskite (ADpal) was integrated into the first or middle stage of the ADzeo-EC sequential system (as was determined to be optimal), resulting in the implementation of two more hybrid systems: ADpal-ADzeo-EC and ADzeo-ADpal-EC. The experimental set-up, procedure and conditions of the sequential adsorption combinations (ADpal-ADzeo, ADzeo-ADpal) were based on our previous research [,]. For both ADzeo and ADpal, the following parameters were applied: adsorbent dosage: 133 g L−1, stirring rate: 1.18 m s−1, leachate pH: 8 (natural SLL). The contact time was 60 min for ADzeo and 15 min for ADpal. For the EC experiments, a current density of 30 mA cm−2, Fe electrodes, pH 8 (natural SLL) and 60 min electrolysis time were applied. Shorter operating times were applied in each process, as only a slight increase in the removal efficiency of each pollutant was observed after 60, 15 and 60 min in the single ADzeo, ADpal [] and EC process, respectively.
Following ADzeo treatment in the ADzeo-ADpal-EC system, the suspension was centrifuged (5000 rpm, 5 min) and the liquid phase was transferred into 600 mL beakers containing 40 g of palygorskite for the second treatment stage, which lasted an additional 15 min. The suspension produced following the sequential adsorption combination was centrifuged (5000 rpm, 5 min) and the supernatant was placed into the EC cell for tertiary treatment, which lasted 60 min. Regarding the ADpal-ADzeo-EC system, the suspension obtained after the ADpal treatment was centrifuged (5000 rpm, 5 min) and the liquid phase was then placed into 600 mL beakers containing 40 g of zeolite for a secondary treatment stage of 60 min duration. The suspension obtained after the two-stage adsorption was centrifuged (5000 rpm, 5 min) and the supernatant was placed into the EC reactor for 60 min.
2.4. Analytical Methods
The leachate samples collected before, during and after the AD and EC tests underwent centrifugation (5000 rpm, 3 min) and filtration (0.45 μm membrane filters) prior to analysis []. The concentration of ΝH4+-Ν was determined using the modified Salicylate method of Verdouw et al. [], as described in detail by Genethliou et al. []. In brief, the samples were mixed with 6% sodium hypochlorite solution and salicylate/catalyst solution (sodium salicylate 10%, sodium nitroferricyanide 0.04% and sodium hydroxide 0.5%). Following color development, the NH4+-N concentration was measured at a wavelength of 625 nm using a UV–VIS spectrophotometer (Hach Lange, DR-500). Color in the leachate samples was measured at a wavelength of 452 nm, also using a UV-VIS spectrophotometer. d-COD was determined by applying the closed reflux method based on Standard Methods [], according to which the samples were sequentially reacted with potassium dichromate solution and silver sulfate solution, which were used as oxidizing agent and catalyst, respectively, and placed into the COD Digester (HANNA instruments C98000 reactor) at 150 °C for two hours. COD values of the samples were then measured using a photometer (HANNA HI 83214). NO3−-N was measured at 220 nm with the spectrophotometer according to method 4500-NO3−-B of Standard Methods []. The concentrations of Fe, manganese (Mn), nickel (Ni) and zinc (Zn) were analyzed using an ICP-OES (Optima 8000, Perkin Elmer). The SLL samples were filtered and acidized to 2% using 65% HNO3 and diluted prior to analysis. All analyses were performed in duplicate.
3. Results and Discussion
3.1. Effect of Current Density and Electrode Material
Current density is considered the most crucial parameter in the EC process, since it directly affects the performance and operating cost of the process [,,]. It determines the coagulant dosage rate, the bubble production rate, and the size and growth of the flocs []. Selecting the proper electrode material is also essential to determine the overall cost of the EC process and the chemical reactions that occur [,]. Al and Fe electrodes are widely used due to their low cost and high availability and efficiency [,]. According to the relevant literature, two different mechanisms have been described as occurring within an EC cell when using Al or Fe anodes for the production of metal hydroxides, and these depend on the operating conditions [].
The effect of current density and electrode material on color, NO3−-N, NH4+-N and d-COD removal efficiency from the SLL was investigated at current densities in the range of 10 to 100 mA cm−2 using Al (Figure 2a–d) and Fe (Figure 3a–d) electrodes. It is obvious that color, d-COD, NO3−-N and ΝH4+-Ν removal efficiency increased with increasing current density, reaching values up to 84.70 ± 0.94%, 46.64 ± 0.07%, 58.62 ± 0.15% and 18.61 ± 0.08% for Al (Figure 2a–d) and up to 86.28 ± 1.29%, 47.37 ± 0.59%, 59.81 ± 1.64% and 7.38 ± 0.12% for Fe (Figure 3a–d) electrodes, respectively, after 120 min of treatment.

Figure 2.
Effect of current density on (a) color, (b) d-COD, (c) NO3−-N and (d) ΝH4+-Ν removal efficiencies by EC with Al electrodes (raw SLL, pH not adjusted, current densities: 10, 30, 50 and 100 mA cm−2).

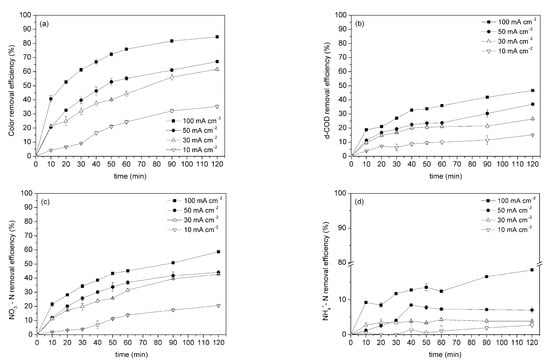
Figure 3.
Effect of current density on (a) color, (b) d-COD, (c) NO3−-N and (d) ΝH4+-Ν removal efficiencies by EC with Fe electrodes (raw SLL, pH not adjusted, current densities: 10, 30, 50 and 100 mA cm−2).
These results are attributed to the higher amount of anodic metal electrode (Al or Fe) dissolved in the SLL at higher current densities, since, according to Faraday’s law, the amount of anodic metal electrode dissolved in the solution is directly proportional to the current density [,]. As the current density increases, the dissolution of the anodic electrode also increases, resulting in a larger concentration of metal hydroxide flocs, thus enhancing the removal efficiency of the pollutants through sedimentation. In addition, an increase in current density results in an increased rate of bubble generation and a decrease in bubble size, leading to a faster removal of pollutants through H2 flotation [,]. Similar results were also reported by Zailani et al. [] and Ricordel and Djelal [] using Al electrodes in EC reactors for the treatment of landfill leachate. Specifically, Zailani et al. [] revealed that the removal efficiency of color, COD and ammonia increased from about 25% to 81%, 11% to 43% and 0.3% to 9%, respectively, when the current density increased from 5 to 30 mA cm−2 after 30 min of electrolysis time. Ricordel and Djelal [] also observed a significant increase in NO3−-N removal (from 23% to 40%) after 210 min electrolysis time with increasing current density (from 2.3 to 9.5 mA cm−2). Li et al. [] examined Fe electrodes; however, similar COD and NH3-N removal trends were also reported when the current density was raised from 1.98 to 4.96 mA cm−2 in 30 min experiments.
Concerning color removal (Figure 2a), the results are in general agreement with those of Bouhezila et al. [], who recorded up to 56% color removal (in raw LL) when the current density reached 50 mA cm−2 after 30 min of EC treatment using Al electrodes. However, it should be highlighted that the removal efficiency of pollutants does not increase with an increase in current density beyond the optimal value, as an adequate amount of metal hydroxide flocs are present for the sedimentation of pollutants []. Furthermore, with increasing current density, the electrical energy consumption increases, thus increasing the operating cost of the EC process [,].
As shown in Figure 2a and Figure 3a, the EC process significantly reduced the color of SLL using either Al or Fe electrodes. Specifically, Fe electrodes ensured a faster removal rate of color than Al electrodes, thus achieving higher decolorization of SLL in less treatment time, at current densities of 30, 50 and 100 mA cm−2 (75.95 ± 2.83%, 83.16 ± 0.14% and 86.28 ± 1.29%, respectively). This finding suggests greater settleability of the particles formed by Fe(OH)3 than those formed by Al(OH)3 [,,,]. Ghanbari et al. [] also compared the performance of Fe and Al electrode pairs in terms of color removal from a raw landfill leachate (pH 6.3) at a current density of 25 mA cm−2 for 50 min, and they found that the color was significantly reduced with both electrode types (Al: about 87%, Fe: about 85%). In the research of Huda et al. [], up to 82.7% of the color of a raw SLL (pH 7.73) was removed using an Fe electrode pair and NaCl as an electrolyte after 60 min of EC treatment with an electrical current of 1 A.
According to Figure 3a, no decolorization of SLL was observed in the early stages of the EC process with Fe electrodes at lower current densities (10 and 30 mA cm−2). In more detail, the color of the SLL darkened during the first 30 min at a current density of 10 mA cm−2 and during the first 20 min at s current density of 30 mA cm−2; therefore, the decolorization of the leachate started at 40 and 30 min, respectively, reaching percentage color removals of 34.84 ± 1.11% and 75.95 ± 2.83%. A similar trend was also reported by Benekos et al. [], who treated a table olive processing wastewater with an initial COD concentration of 3000 mg L−1 using Fe electrodes at a current density of 41.7 mA cm−2. They observed that the color of the wastewater became progressively darker in the initial stages of the EC process, and eventually complete decolorization was achieved at the end of the treatment time (90 min). In general, the dark brown color of the leachate is attributed to the oxidation of ferrous ions (Fe2+) to ferric ions (Fe3+) causing the formation of ferric hydroxide colloids and fulvic/humic complexes [,]. Hence, the release of Fe2+ ions due to the electrolytic oxidation of the Fe anodic electrode and its subsequent oxidation to Fe3+ ions may have led to further formation of these colored colloids and complexes with fulvic and humic acids present in the SLL, thus enhancing the dark brown color of the leachate in the early stages of the EC process. These substances may then be oxidized and adsorbed into metal hydroxide flocs produced during EC so that SLL decolorization occurs []. Probably, at high current densities (50 and 100 mA cm−2), the intermediate colored colloids and complexes are immediately oxidized and adsorbed into flocs, and therefore color removal was observed even in the first minutes of the procedure.
As shown in Figure 2b and Figure 3b, the Fe electrodes demonstrated higher d-COD removal performance at all tested current densities compared to the Al electrodes during EC. This finding is in general agreement with the results of Ghanbari et al. [], who reported that Fe electrodes were more effective in reducing COD from a raw LL (pH 6.3) than Al electrodes, reaching values up to 60.2% and 50.8%, respectively, when the applied current density in the EC reactor reached 25 mA cm−2 at the end of a 50 min reaction time. Yadav and Dikshit [] also reported that Fe electrodes presented higher removal efficiency of COD in raw LL (pH 8) compared to Al electrodes, the values ranging from 38% to 48% for Fe and from 27% to 47% for Al, when the current density increased from 16.6 to 46.6 mA cm−2 at 60 min electrolysis time. Based on the literature, d-COD removal during the EC treatment of raw leachates has been mostly attributed to the removal of humic acids [,]. Humic acids present high molecular weights (10–100 KDa) and negatively charged surfaces due to the presence of hydroxyl and carboxyl functional groups, which can react and co-precipitate with the positively charged metal hydroxides formed during EC [,].
Similar to color removal efficiency, NO3−-N removal rates were faster using Fe electrodes than Al electrodes (Figure 2c and Figure 3c). Le et al. [] examined the performance of Al and Fe anodic electrodes for a raw LL (pH 8) in terms of NO3−-N removal, and they reported a lower percentage removal (by 27–28%) using the Al anode compared to the Fe anode; however, four pairs of cathodes (stainless steel) and anodes (Al or Fe) were used in their EC treatment system. Similar to color, delayed NO3−-N removals were observed using Fe electrodes at current densities of 10 and 30 mA cm−2 for the first 30 and 20 min, respectively, while negligible NO3−-N removal was noticed at 50 mA cm−2 within 10 min of treatment (Figure 3c). The slight increase in NO3−-N levels during the initial stages of the process suggests that the NH4+-N in the SLL was partially converted into NO3−-N at the anodic Fe electrode when the respective electrical currents were applied [,]. The NO3−-N produced along with that already existing in the SLL were subsequently reduced to nitrite, ammonia (NH3) and nitrogen gas (Ν2) at the Fe cathode with simultaneous anode oxidation [,,].
Concerning NH4+-N (Figure 2d and Figure 3d), the EC process using the Al electrode yielded higher NH4+-N removal efficiency at current densities of 50 and 100 mA cm−2, whereas the Fe electrode was more effective for NH4+-N removal at current densities of 10 and 30 mA cm−2. The small fluctuations observed for both electrode types during EC treatment were possibly due to the production of NH4+-N through the reduction of NO3−-N in the vicinity of the cathode [,,,]. However, NH4+-N removal efficiencies for both electrode types were not significant, indicating that the EC process is ineffective in removing NH4+-N from the leachates under the tested conditions. This was expected, as it is well known that EC has low efficiency for NH4+-N removal [,]. Previous studies have also reported low NH4+-N removal using EC processes with either Fe or Al electrodes to treat raw leachates [,,]. In particular, Ricordel and Djelal [] reported that the NH4+-N concentration remained constant during 210 min of EC treatment with Al electrodes at a current density of 9.5 mA cm−2. In the study of Ilhan et al. [], NH4+-N removals of only about 14% and 11% were recorded for Al and Fe electrode pairs, respectively, at a current density of 63.1 mA cm−2 in 30 min experiments.
It may be suggested that the current density and electrode material play an important role in the efficiency of the removal of pollutants. Although high overall removals were achieved with both electrode types, the Fe electrode was selected as the optimum, as it exhibited a faster removal rate of the pollutants during EC as well as higher environmental safety, and the cost of the iron element was lower compared to the Al element []. The current density of 30 mA cm−2 was chosen as the optimal value for further testing since it was the lowest current density that yielded high color, NO3−-N, NH4+-N and d-COD removal efficiency, thus maintaining an economical operating cost at an appropriate level of energy consumption.
3.2. Effect of pH
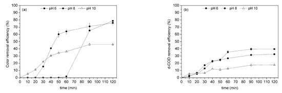
pH is a critical factor influencing the performance of the EC process in terms of pollutant removal [,,], since the type of metal hydroxide species formed by the dissolution of the anodic electrode material in the solution and the surface charge of the particles depend on the initial pH of the SLL [,]. The effect of the initial SLL’s pH on the simultaneous color, d-COD, NO3−-N and ΝH4+-Ν removal was evaluated using Fe electrodes. pH values of 6, 8 (the natural pH of SLL) and 10 were selected (Figure 4a–d).


Figure 4.
Effect of pH on (a) color, (b) d-COD, (c) NO3−-N and (d) ΝH4+-Ν removal efficiencies (raw SLL, Fe electrodes, current density: 30 mA cm−2, pH: 6, 8 and 10).
As can be seen in Figure 4a, color removal was drastically affected by the initial pH of the SLL. The highest color removal efficiency was obtained at pH 8, corresponding to 75.95 ± 2.83%. According to the literature, an initial pH value of 8–9 is favorable for the complete oxidation of the electrogenerated Fe2+ ions (which are highly soluble, poor coagulants with no adsorption capacity for pollutants) to Fe3+ ions, which therefore results in the formation of insoluble monomeric/polymeric hydroxides [,,]. The formed iron hydroxides remained as suspension, inducing the removal of coloring agents through coagulation, adsorption and co-precipitation []. Significant color removal was also achieved at pH 6 after 60 min electrolysis time and reached a value of 78.80 ± 0.02% at the end of the EC treatment. At pH values above 5 and below 8 (pH 6), Fe2+ ions are also oxidized to Fe3+ ions; however, the rate of Fe2+ oxidation is slower, thus resulting in the formation of a mixture of soluble Fe2+ ions and insoluble monomeric/polymeric hydroxides [,]. Consequently, lower removal of color was realized. The delayed SLL’s decolorization at pH 6 and 8 was probably due to further formation of colloids and complexes with the fulvic/humic acids presented in the SLL, as was previously described (Section 3.1). The color removal efficiency for pH 10 was significantly lower compared to the other pH values, since it hardly reached 46.06 ± 0.44% after 120 min. This was due to the dominant formation of soluble [Fe(OH)4]−, which is not suitable for the formation of flocs [,]. The results are consistent with the study of Huda et al. [], who used the response surface methodology (RMS) for the optimization of the process parameters, and they reported that the optimum pH value for the decolorization of a raw SLL using Fe electrodes as the electrolytes was 7.73, along with a current intensity of 1 A and an operating time of 60 min), achieving 82.7% color removal (using 2.00 g L−1 of sodium chloride (NaCl). In general, they found that the decolorization of the leachate was very high at neutral and alkaline pHs, but very low in acidic media, when the initial pH increased from 2 to 9.
Figure 4b,c show that d-COD and NO3−-N removals decreased with increase in the pH of the SLL from 6 to 10. In particular, the highest d-COD and NO3−-N removals were attained at pH 6 after 120 min, reaching values of 39.62 ± 0.84% and 59.86 ± 1.28%, respectively. As reported in the literature, this phenomenon can be attributed to the fact that, under acidic conditions, the solubility of humic acids is lower, and therefore the precipitation of humic acid solids may be higher, contributing to the amelioration of the d-COD removal efficiency [,]. A similar COD removal tendency was also presented by Yadav and Dikshit [], who used an Fe electrode pair to treat LL under the same range of pH values (6–10); they reported that the optimum COD removal efficiency (56%) was also obtained at pH 6, at a current density of 46.6 mA cm−2 for a 90 min electrolysis time. Regarding NO3−-N (Figure 4c), a delayed removal efficiency was observed at pH values of 6 and 8, suggesting that the NH4+-N presented in the SLL was partially converted into NO3−-N at the anodic Fe electrode, when the current intensity was applied [,], as was mentioned above.
ΝH4+-Ν removal efficiency was similar between the pH values of 6 and 8 throughout the EC treatment, whereas for pH 10 it was twice as high (13.07 ± 0.20%) (Figure 4d). The latter result was attributed to the shift of the ΝH4+-ΝH3 equilibrium towards NH3 in alkaline pH [,,,,] and the subsequent oxidation of the NH3 to N2 at the anode which leaves the system [], resulting in a higher removal efficiency of ΝH4+-Ν from the SLL. Different results have been reported by Li et al. [], who examined the EC treatment of a raw LL (386 mg NH4+-N L−1) with pH values in the range of 3.9–10.1; however, using ten Fe electrodes, they found that the maximum NH4+-N removal was obtained at pH 7.5, at 25.3% (current density: 2.98 mA cm−2, electrolysis time: 30 min). In the work of Tanyol et al. [], the maximum NH4+-N removal efficiency, 23.8%, was also achieved at pH 10 using two Fe anodes and two Al cathodes in a batch EC reactor to treat a raw LL (current density: 16 mA cm−2, electrolysis time: 60 min). Despite the adjustment of the different initial pH values in the SLL, the ΝH4+-Ν removals were still quite low in the present research, thus verifying that the EC process is not effective in removing ΝH4+-Ν from the leachate. On the contrary, EC seemed to be a highly effective technology for color but also for NO3−-N and quite effective for d-COD treatment.
In general, an adequate pollutant removal efficiency was recorded at a pH value of 8, corresponding to the initial pH of the SLL. Furthermore, seeking a simple, low-cost and environmentally friendly procedure, the SLL without any pH adjustment was therefore selected as the optimum value for the subsequent experiments.
3.3. Performance of the Combined ADzeo and EC Systems
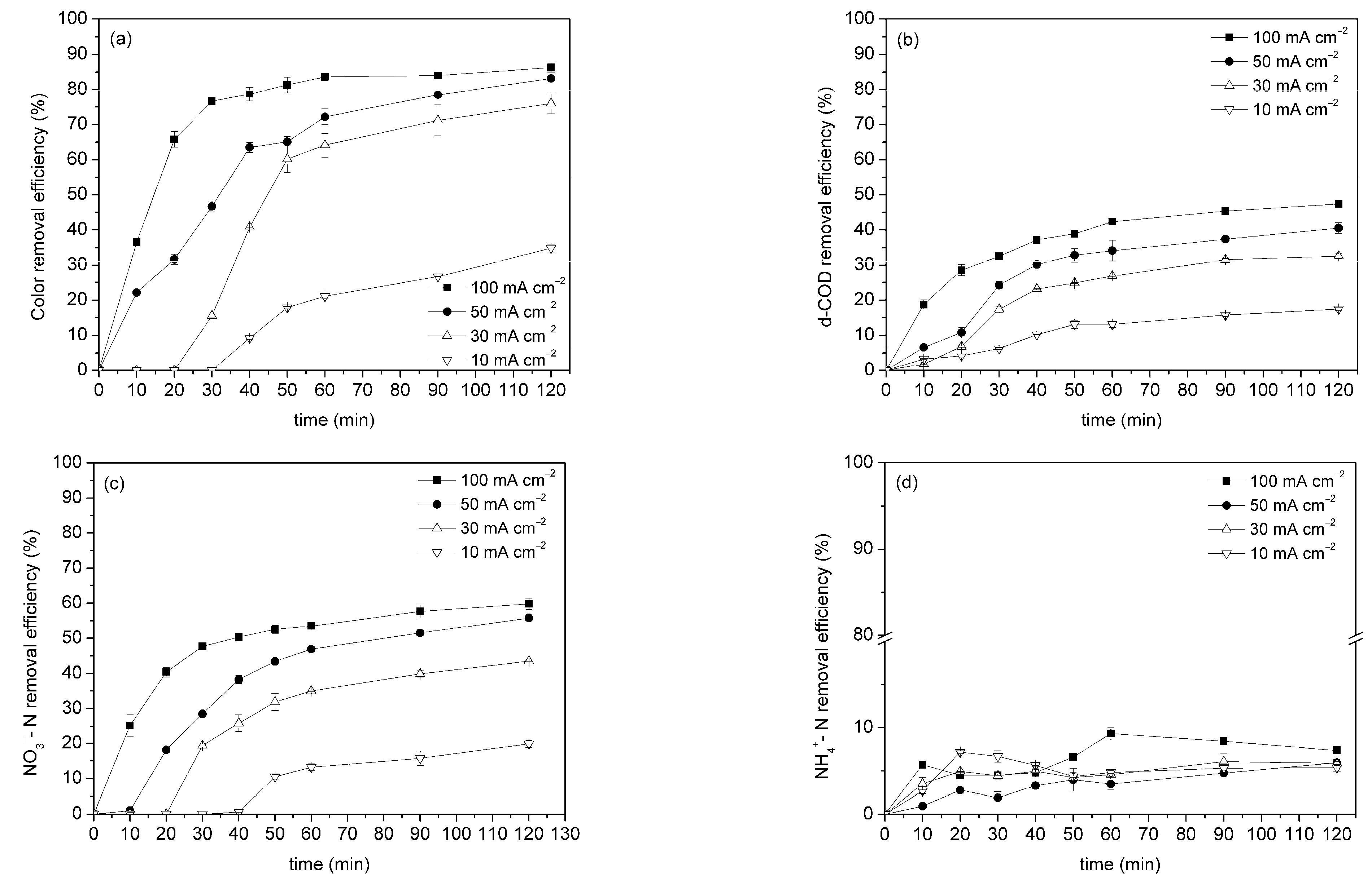
As already mentioned in Section 3.1 and Section 3.2, the removal of ΝH4+-Ν was very low during the EC treatment. Therefore, the AD process with zeolite (ADzeo) was also examined for ΝH4+-Ν removal. The selection of the optimal sequence of EC and AD processes was investigated by applying two hybrid systems. Figure 5a,b illustrate the performance of the ADzeo-EC and EC-ADzeo sequential treatment systems, respectively, in pollutant removal (ΝH4+-Ν, NO3−-N, d-COD and color) under the optimal operating conditions for EC (30 mA cm−2, Fe electrodes, pH 8).

Figure 5.
Performance of (a) ADzeo-EC and (b) EC-ADzeo hybrid systems in terms of color, d-COD, NO3−-N and ΝH4+-Ν removal efficiencies (raw SLL, Fe electrodes, current density: 30 mA cm−2, pH not adjusted).
3.3.1. Performance of the ADzeo-EC Hybrid System
According to Figure 5a, NH4+-N removal efficiency reached a value of 50.37 ± 1.55% within 2.5 min of contact time with zeolite and 78.49 ± 0.50% after 180 min, while color, d-COD and NO3−-N were removed by up to 50.90 ± 0.14%, 20.63 ± 1.11% and 32.93 ± 1.02%, respectively, at the end of the AD experiments. The conjunction of the AD process with EC led to a significant increase in color removal efficiency by 67% within the first 30 min of electrolysis time (Figure 5a). This value was much higher than that obtained by single EC in the same time interval, while no increase in color absorbance was observed, and therefore no delayed decolorization of the leachate occurred during the EC of the combined system. This implies that, probably, an amount of humic and/or fulvic acids was removed from the SLL during the AD process, as was clearly shown from the color percentage removal, thus significantly enhancing the decolorization of the leachate in the successive EC treatment. After 30 min, the color removal increased further, reaching an overall value of 91.35 ± 0.26%. Similar to color, no increase in NO3−-N concentration was observed in the early stages of the EC of the combined system in contrast to the single EC, probably due to the removal of a high NH4+-N concentration during the AD with zeolite, thus preventing the partial conversion of NH4+-N into NO3−-N at the anodic Fe electrode in the sequential EC process [,]. The NO3−-N removal efficiency reached a value of 49.68 ± 0.57% after EC treatment. In terms of d-COD, the removal efficiency increased by up to 42.83 ± 0.28% after 2 h of electrolysis time, and it was higher compared to the single EC (32.58 ± 0.67%). On the contrary, no NH4+-N removal was observed during the consecutive EC treatment of the effluent, as was expected. Earlier work [] yielded slightly lower overall removals of NH4+-N and color (70% and 88%, respectively), when natural zeolite was augmented in an EC cell equipped with a pair of Al plate electrodes for the treatment of a raw saline LL (60 mA cm−2 current density, 60 min treatment time). High NH4+-N, d-COD and color removal efficiencies were also achieved (about 95%, 49% and 84%, respectively) in another study [], in which a pilot-scale adsorption column filled with zeolite and a pilot-scale EC cell equipped with a set of 16 Al plate electrodes were sequentially applied for the treatment of a raw SLL [].
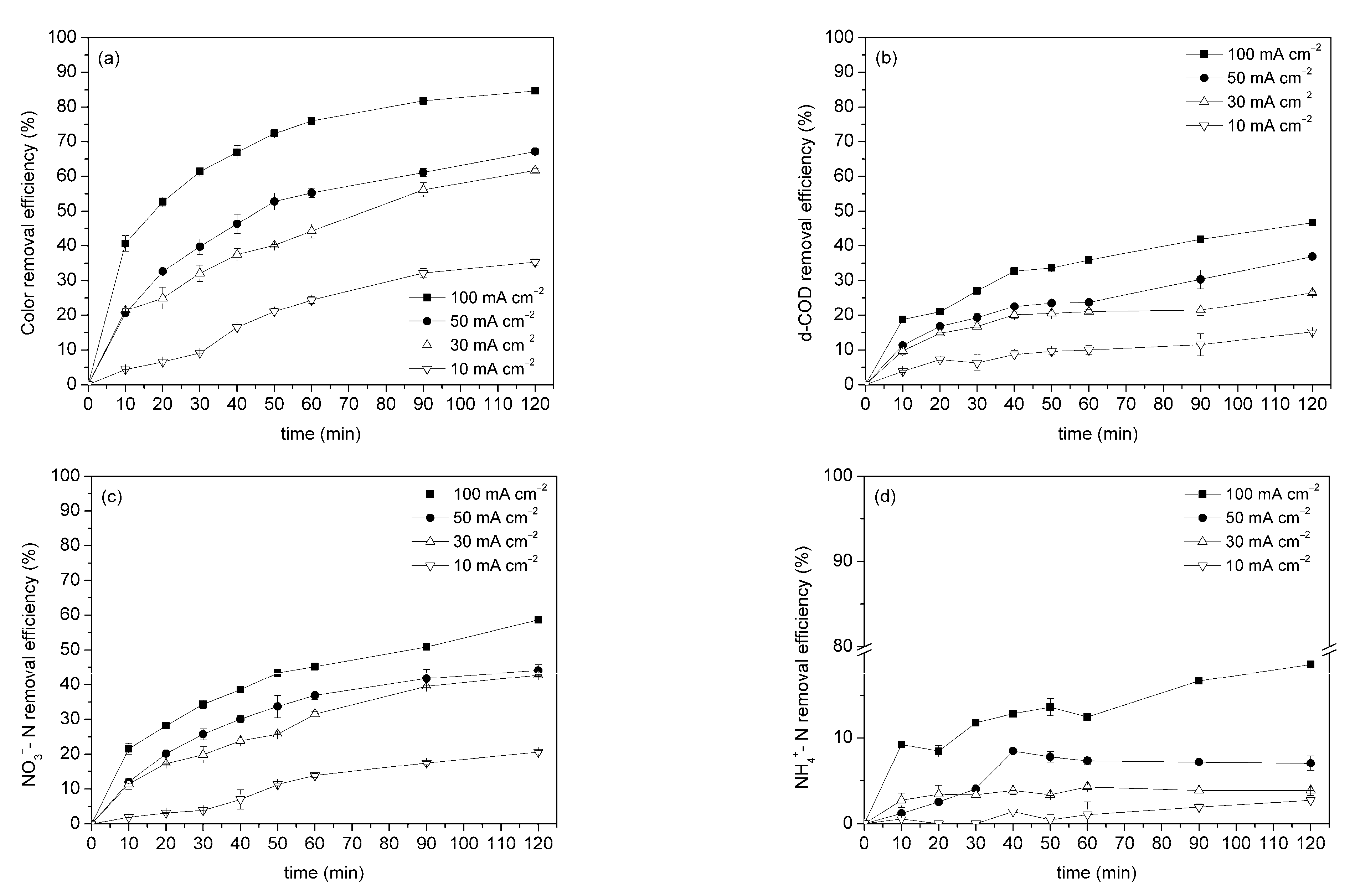
3.3.2. Performance of the EC-ADzeo Hybrid System
Regarding Figure 5b, the initial treatment of the raw SLL by EC resulted in color, d-COD, ΝO3−-Ν and ΝH4+-Ν removals of 72.69 ± 1.19%, 30.36 ± 0.60%, 38.24 ± 0.38% and 6.11 ± 0.16%, respectively, after 120 min electrolysis time, which values are similar to the previously recorded results for single EC (Section 3.1 and Section 3.2). Based on the literature, the electrogenerated Fe2+ ions were completely oxidized to Fe3+ during the EC (leachate pH 8), which in turn resulted in the formation of insoluble monomeric/polymeric hydroxides which remained as suspension and induced the decolorization of the leachate through coagulation, adsorption and co-precipitation [,,]. Therefore, free iron metal ions did not interfere with the pollutant uptake from the pre-treated leachate by the zeolite during the subsequent ADzeo. After EC treatment (Figure 5b), no significant removals were recorded for color or NO3−-N. On the contrary, the subsequent AD treatment significantly improved ΝH4+-Ν removal efficiency by 61% within the first 2.5 min of contact with zeolite, with an additional removal of 53% at 300 min. According to the literature, the high selectivity of zeolite for ΝH4+-Ν cations is due to the existence of alkaline earth metal cations on its negatively charged surface which are easily exchanged with SLL cations, such as ΝH4+-Ν cations, leading to higher uptake of ΝH4+-Ν through ion exchange, chemisorption and diffusion mechanisms []. d-COD removal also increased during the AD, resulting in an overall percentage removal of 45.25 ± 1.04%. Xu et al. [] also reported that COD removal was improved from 21.8 ± 1.4% to 45.5 ± 4.2% in a raw LL, though when granular activated carbon was used as an adsorbent for the post-treatment (4 h duration) of the EC effluent previously treated with a pair of Fe electrodes.
The findings suggest that the integration of ADzeo into the EC treatment led to higher overall removal efficiencies for all pollutants—in particular, ΝH4+-Ν—compared to single EC. Comparing the two hybrid systems (Figure 5a,b), it can be seen that although the EC-ADzeo sequential treatment presented slightly higher ΝH4+-Ν removal efficiency in the SLL, the ADzeo-EC sequential treatment exhibited higher performance in terms of ΝO3−-Ν and especially color removal. The d-COD values were similar between the two hybrid systems. Based on the achieved removal efficiencies, the ADzeo-EC arrangement was selected as the optimum to further develop hybrid systems consisting of AD and EC processes.
3.4. Performance of the ADzeo – ADpal – EC and ADpal – ADzeo – EC hybrid systems
An adsorption process using palygorskite (ADpal) was examined as the first or middle stage of the ADzeo-EC sequential arrangement, as was determined to be optimal. Therefore, two more hybrid systems were implemented: ADpal – ADzeo – EC and ADzeo – ADpal – EC. Table 2 summarizes the performance of each process in each hybrid system in terms of color, d-COD, NO3−-N and ΝH4+-Ν removal efficiency.

Table 2.
Color, d-COD, NO3−-N and NH4+-N removal efficiency of SLL effluent after each step of the ADpal-ADzeo-EC and ADzeo- ADpal-EC hybrid systems.
The pre-treatment of raw landfill leachate with palygorskite resulted in a considerable removal of color after 15 min of treatment, corresponding to 81.18 ± 0.02%. d-COD, NO3−-N and ΝH4+-Ν removal efficiencies of 38.38 ± 3.47%, 48.73 ± 0.78% and 36.75 ± 0.07%, respectively, were also achieved. These results indicate that the natural palygorskite is highly effective for the simultaneous removal of color, d-COD, NO3−-N and ΝH4+-Ν, even in short operating times. After ADpal, the effluent treated with zeolite for 60 min yielded low removal of the pollutants, except for ΝH4+-Ν, which was removed by 66.63 ± 0.43%. This was attributed to the higher selectivity of zeolite for ΝH4+-Ν ions []. The subsequent treatment by EC for 60 min electrolysis time led to an increase in color and NO3−-N removal by 36.93 ± 0.80% and 22.44 ± 0.95%, respectively, whereas no significant reduction in d-COD and ΝH4+-Ν concentration was observed.
Regarding the hybrid ADzeo – ADpal – EC system (Table 2), ΝH4+-Ν was removed by up to 65.83 ± 0.39% after 60 min of contact time with zeolite, along with significant removal of color, which reached 43.51 ± 1.24%, while the removal efficiencies of d-COD and NO3−-N were lower (20.76 ± 1.25% and 28.54 ± 0.50%, respectively). The sequential AD with palygorskite resulted in a considerable increase in color removal of 77.12 ± 0.03%. NO3−-N was also significantly removed by 43.71 ± 0.06%, while ΝH4+-Ν and d-COD removals during the ADpal process were 25.73 ± 0.64% and 25.46 ± 1.47%, respectively. The following application of the EC process greatly affected color removal, which increased by 61.86 ± 1.20%. ΝH4+-Ν removal was also higher after the EC post-treatment compared to the value obtained by the EC in the ADzeo – ADpal – EC; however, the overall ΝH4+-Ν removal efficiency was similar between the hybrid systems.
The outcomes indicate that although both hybrid systems were effective in the simultaneous removal of color, d-COD, NO3−-N and ΝH4+-Ν from raw SLL, the ADzeo – ADpal – EC hybrid system exhibited slightly greater performance in removing all pollutants compared to the ADpal – ADzeo – EC system and was therefore selected as the optimal AD-EC hybrid system. The pollutant removals in the ADzeo – ADpal – EC system were also higher compared to the removals obtained with ADzeo-EC sequential treatment (Section 3.3.1), especially NO3−-N. In general, the integration of ADpal into the first or middle stage of the ADzeo-EC sequential treatment enhanced the overall removal efficiency of NO3−-N. In addition, the ADzeo – ADpal – EC hybrid system of three sequential stages showed significantly better results regarding pollutant removal than the single EC (Section 3.1 and Section 3.2).
Hybrid sequential treatment ADzeo – ADpal – EC performed in laboratory-scale experiments appears a promising and efficient method for the treatment of raw landfill leachates. It should be mentioned that the saturated zeolite can either be regenerated with NaCl solution, and therefore successfully reused in new adsorption cycles for even greater ΝH4+-Ν removal, or applied as slow ΝH4+-Ν releasing fertilizer [], thus eliminating the generation of by-products in the hybrid system. In addition, as reported in a previous study [], the spent palygorskite enriched with organic compounds and nutrients could be used as an organic fertilizer to enhance the chemical, physical and biological properties of poor soils. However, further research is required to determine whether the optimal operating conditions of the current study are applicable to large-scale implementation. This investigation should also explore the potential corrosion of the electrodes being utilized. It is worth noting that photovoltaics can serve as an alternative energy source, which could also lower the overall cost of the treatment process.
4. Conclusions
This research investigated the effectiveness of sequential-treatment hybrid systems consisting of electrocoagulation and adsorption with natural zeolite and/or palygorskite in order to treat raw sanitary landfill leachate, using different arrangements of the processes. The results of a parametric evaluation for EC showed that the optimal conditions were a current density of 30 mA cm−2, Fe electrodes and pH 8, reaching values up to 75.95 ± 2.83%, 32.58 ± 0.67%, 43.46 ± 0.06% for color, d-COD and NO3−-N, respectively. Nevertheless, single EC was not effective in removing NH4+-N from the raw SLL. The implementation of ADzeo as pre- or post-treatment for the EC significantly enhanced the removal efficiency of NH4+-N. ADzeo-EC sequential treatment was superior to EC-ADzeo sequential treatment with respect to color removal, resulting in overall removal efficiencies of 91.35 ± 0.26%, 42.83 ± 0.28%, 49.68 ± 0.57% and 73.33 ± 0.01% for color, d-COD, NO3−-N and NH4+-N, respectively. Integrating ADpal into the first or middle stage of the ADzeo-EC sequential treatment enhanced the overall removal efficiency of NO3−-N, suggesting that the ADpal is an effective pre-treatment for the EC process. The highest simultaneous removal efficiencies of color, d-COD, NO3−-N and NH4+-N were achieved by the hybrid ADzeo-ADpal-EC treatment system, corresponding to 95.06 ± 0.19%, 48.89 ± 0.89%, 68.38 ± 0.93% and 78.25 ± 0.61%, respectively.
Landfill leachate is loaded with hazardous substances and is also produced in large quantities. The combination of adsorption using two readily available natural materials (zeolite and palygorskite) and the electrocoagulation process has emerged as a promising and efficient approach for removing pollutants from raw landfill leachate.
Author Contributions
Conceptualization, C.G., I.-E.T., A.G.T. and D.V.V.; methodology, C.G., I.-E.T. and A.G.T.; validation, C.G., D.C., A.G.T. and D.V.V.; formal analysis, C.G., D.C. and A.G.T.; investigation, C.G., I.-E.T. and D.C.; data curation, C.G., I.-E.T. and A.G.T.; writing—original draft preparation, C.G. and A.G.T.; writing—review and editing, C.G., A.G.T. and D.V.V.; supervision, D.V.V. All authors have read and agreed to the published version of the manuscript.
Funding
This research was co-financed by Greece and the European Union (European Social Fund- ESF) through the Operational Programme «Human Resources Development, Education and Lifelong Learning» in the context of the project “Strengthening Human Resources Research Potential via Doctorate Research—2nd Cycle” (MIS-5000432), implemented by the State Scholarships Foundation (IKΥ).
Institutional Review Board Statement
Not applicable.
Informed Consent Statement
Not applicable.
Data Availability Statement
Not applicable.
Conflicts of Interest
The authors declare no conflict of interest.
References
- Fernandes, A.; Pacheco, M.J.; Ciríaco, L.; Lopes, A. Review on the electrochemical processes for the treatment of sanitary landfill leachates: Present and future. Appl. Catal. B Environ. 2015, 176–177, 183–200. [Google Scholar] [CrossRef]
- Lim, C.K.; Seow, T.W.; Neoh, C.H.; Md Nor, M.H.; Ibrahim, Z.; Ware, I.; Mat Sarip, S.H. Treatment of landfill leachate using ASBR combined with zeolite adsorption technology. 3 Biotech 2016, 6, 195. [Google Scholar] [CrossRef] [PubMed]
- Salas-Enríquez, B.G.; Torres-Huerta, A.M.; Conde-Barajas, E.; Domínguez-Crespo, M.A.; Negrete-Rodríguez, M.L.X.; Dorantes-Rosales, H.J.; López-Oyama, A.B. Stabilized landfill leachate treatment using Guadua amplexifolia bamboo as a source of activated carbon: Kinetics study. Environ. Technol. 2019, 40, 768–783. [Google Scholar] [CrossRef] [PubMed]
- Martins, T.H.; Souza, T.S.O.; Foresti, E. Ammonium removal from landfill leachate by Clinoptilolite adsorption followed by bioregeneration. J. Environ. Chem. Eng. 2017, 5, 63–68. [Google Scholar] [CrossRef]
- Torretta, V.; Ferronato, N.; Katsoyiannis, I.A.; Tolkou, A.K.; Airoldi, M. Novel and conventional technologies for landfill leachates treatment: A review. Sustainability 2017, 9, 9. [Google Scholar] [CrossRef]
- Karadag, D.; Tok, S.; Akgul, E.; Turan, M.; Ozturk, M.; Demir, A. Ammonium removal from sanitary landfill leachate using natural Gördes clinoptilolite. J. Hazard. Mater. 2008, 153, 60–66. [Google Scholar] [CrossRef]
- Tsarpali, V.; Kamilari, M.; Dailianis, S. Seasonal alterations of landfill leachate composition and toxic potency in semi-arid regions. J. Hazard. Mater. 2012, 233–234, 163–171. [Google Scholar] [CrossRef]
- de Pauli, A.R.; Espinoza-Quiñones, F.R.; Trigueros, D.E.G.; Módenes, A.N.; de Souza, A.R.C.; Borba, F.H.; Kroumov, A.D. Integrated two-phase purification procedure for abatement of pollutants from sanitary landfill leachates. Chem. Eng. J. 2018, 334, 19–29. [Google Scholar] [CrossRef]
- Hilles, A.H.; Abu Amr, S.S.; Hussein, R.A.; El-Sebaie, O.D.; Arafa, A.I. Performance of combined sodium persulfate/H2O2 based advanced oxidation process in stabilized landfill leachate treatment. J. Environ. Manag. 2016, 166, 493–498. [Google Scholar] [CrossRef]
- Mohamad Zailani, L.W.; Mohd Amdan, N.S.; Zin, N.S.M. Removal Efficiency of Electrocoagulation Treatment Using Aluminium Electrode for Stabilized Leachate. In Proceedings of the IOP Conference Series: Earth and Environmental Science, April 2018; Institute of Physics Publishing: Bristol, UK, 2018; Volume 140, p. 12049. [Google Scholar]
- Rada, E.; Istrate, I.; Ragazzi, M.; Andreottola, G.; Torretta, V. Analysis of Electro-Oxidation Suitability for Landfill Leachate Treatment through an Experimental Study. Sustainability 2013, 5, 3960–3975. [Google Scholar] [CrossRef]
- Azmi, N.B.; Bashir, M.J.K.; Sethupathi, S.; Aun, N.C.; Lam, G.C. Optimization of preparation conditions of sugarcane bagasse activated carbon via microwave-induced KOH activation for stabilized landfill leachate remediation. Environ. Earth Sci. 2016, 75, 902. [Google Scholar] [CrossRef]
- De, S.; Hazra, T.; Dutta, A. Treatment of landfill leachate by integrated sequence of air stripping, coagulation–flocculation and adsorption. Environ. Dev. Sustain. 2019, 21, 657–677. [Google Scholar] [CrossRef]
- Ates, H.; Argun, M.E. Removal of PAHs from leachate using a combination of chemical precipitation and Fenton and ozone oxidation. Water Sci. Technol. 2018, 78, 1064–1070. [Google Scholar] [CrossRef]
- Assou, M.; El Fels, L.; El Asli, A.; Fakidi, H.; Souabi, S.; Hafidi, M. Landfill leachate treatment by a coagulation–flocculation process: Effect of the introduction order of the reagents. Desalin. Water Treat. 2016, 57, 21817–21826. [Google Scholar] [CrossRef]
- Huda, N.; Raman, A.A.A.; Bello, M.M.; Ramesh, S. Electrocoagulation treatment of raw landfill leachate using iron-based electrodes: Effects of process parameters and optimization. J. Environ. Manag. 2017, 204, 75–81. [Google Scholar] [CrossRef]
- Rusdianasari; Taqwa, A.; Jaksen; Syakdani, A. Treatment of landfill leachate by electrocoagulation using aluminum electrodes. MATEC Web Conf. 2017, 101, 02010. [Google Scholar] [CrossRef]
- Dia, O.; Drogui, P.; Buelna, G.; Dubé, R. Hybrid process, electrocoagulation-biofiltration for landfill leachate treatment. Waste Manag. 2018, 75, 391–399. [Google Scholar] [CrossRef]
- Naje, A.S.; Ajeel, M.A.; Ali, I.M.; Al-Zubaidi, H.A.M.; Alaba, P.A. Raw landfill leachate treatment using an electrocoagulation process with a novel rotating electrode reactor. Water Sci. Technol. 2019, 80, 458–465. [Google Scholar] [CrossRef]
- Xu, B.; Iskander, S.M.; He, Z. Dominant formation of unregulated disinfection by-products during electrocoagulation treatment of landfill leachate. Environ. Res. 2020, 182, 109006. [Google Scholar] [CrossRef]
- Ricordel, C.; Djelal, H. Treatment of landfill leachate with high proportion of refractory materials by electrocoagulation: System performances and sludge settling characteristics. J. Environ. Chem. Eng. 2014, 2, 1551–1557. [Google Scholar] [CrossRef]
- Deng, Y.; Chen, N.; Feng, C.; Chen, F.; Wang, H.; Kuang, P.; Feng, Z.; Liu, T.; Gao, Y.; Hu, W. Treatment of organic wastewater containing nitrogen and chlorine by combinatorial electrochemical system: Taking biologically treated landfill leachate treatment as an example. Chem. Eng. J. 2019, 364, 349–360. [Google Scholar] [CrossRef]
- Li, R.; Wang, B.; Owete, O.; Dertien, J.; Lin, C.; Ahmad, H.; Chen, G. Landfill Leachate Treatment by Electrocoagulation and Fiber Filtration. Water Environ. Res. 2017, 89, 2015–2020. [Google Scholar] [CrossRef] [PubMed]
- Ghanbari, F.; Wu, J.; Khatebasreh, M.; Ding, D.; Lin, K.Y.A. Efficient treatment for landfill leachate through sequential electrocoagulation, electrooxidation and PMS/UV/CuFe2O4 process. Sep. Purif. Technol. 2020, 242, 116828. [Google Scholar] [CrossRef]
- Bhagawan, D.; Poodari, S.; Chaitanya, N.; Ravi, S.; Rani, Y.M.; Himabindu, V.; Vidyavathi, S. Industrial solid waste landfill leachate treatment using electrocoagulation and biological methods. Desalin. Water Treat. 2017, 68, 137–142. [Google Scholar] [CrossRef]
- Mussa, Z.H.; Othman, M.R.; Abdullah, M.P. Electrocoagulation and decolorization of landfill leachate. AIP Conf. Proc. 2013, 1571, 829. [Google Scholar] [CrossRef]
- Bouhezila, F.; Hariti, M.; Lounici, H.; Mameri, N. Treatment of the OUED SMAR town landfill leachate by an electrochemical reactor. Desalination 2011, 280, 347–353. [Google Scholar] [CrossRef]
- Alver, A.; Altaş, L. Characterization and electrocoagulative treatment of landfill leachates: A statistical approach. Process Saf. Environ. Prot. 2017, 111, 102–111. [Google Scholar] [CrossRef]
- Guo, Z.; Zhang, Y.; Jia, H.; Guo, J.; Meng, X.; Wang, J. Electrochemical methods for landfill leachate treatment: A review on electrocoagulation and electrooxidation. Sci. Total Environ. 2022, 806, 150529. [Google Scholar] [CrossRef]
- Li, X.; Song, J.; Guo, J.; Wang, Z.; Feng, Q. Landfill leachate treatment using electrocoagulation. Procedia Environ. Sci. 2011, 10, 1159–1164. [Google Scholar] [CrossRef]
- Moussa, D.T.; El-Naas, M.H.; Nasser, M.; Al-Marri, M.J. A comprehensive review of electrocoagulation for water treatment: Potentials and challenges. J. Environ. Manag. 2017, 186, 24–41. [Google Scholar] [CrossRef]
- De Pauli, A.R.; Espinoza-Quiñones, F.R.; Dall’Oglio, I.C.; Trigueros, D.E.G.; Módenes, A.N.; Ribeiro, C.; Borba, F.H.; Kroumov, A.D. New insights on abatement of organic matter and reduction of toxicity from landfill leachate treated by the electrocoagulation process. J. Environ. Chem. Eng. 2017, 5, 5448–5459. [Google Scholar] [CrossRef]
- Hamid, M.A.A.; Aziz, H.A.; Yusoff, M.S.; Rezan, S.A. Optimization and Analysis of Zeolite Augmented Electrocoagulation Process in the Reduction of High-Strength Ammonia in Saline Landfill Leachate. Water 2020, 12, 247. [Google Scholar] [CrossRef]
- Hamid, M.A.A.; Aziz, H.A.; Yusoff, M.S.; Rezan, S.A. Clinoptilolite augmented electrocoagulation process for the reduction of high-strength ammonia and color from stabilized landfill leachate. Water Environ. Res. 2020, 93, 596–607. [Google Scholar] [CrossRef]
- Ilhan, F.; Kurt, U.; Apaydin, O.; Gonullu, M.T. Treatment of leachate by electrocoagulation using aluminum and iron electrodes. J. Hazard. Mater. 2008, 154, 381–389. [Google Scholar] [CrossRef]
- Asaithambi, P.; Govindarajan, R.; Busier Yesuf, M.; Selvakumar, P.; Alemayehu, E. Enhanced treatment of landfill leachate wastewater using sono(US)-ozone(O3)–electrocoagulation(EC) process: Role of process parameters on color, COD and electrical energy consumption. Process Saf. Environ. Prot. 2020, 142, 212–218. [Google Scholar] [CrossRef]
- Kurtoǧlu Akkaya, G.; Bilgili, M.S. Evaluating the performance of an electro-membrane bioreactor in treatment of young leachate. J. Environ. Chem. Eng. 2020, 8, 104017. [Google Scholar] [CrossRef]
- Ding, J.; Wang, K.; Wang, S.; Zhao, Q.; Wei, L.; Huang, H.; Yuan, Y.; Dionysiou, D.D. Electrochemical treatment of bio-treated landfill leachate: Influence of electrode arrangement, potential, and characteristics. Chem. Eng. J. 2018, 344, 34–41. [Google Scholar] [CrossRef]
- Zolfaghari, M.; Dia, O.; Klai, N.; Drogui, P.; Brar, S.K.; Buelna, G.; Dubé, R. Removal of Pollutants in Different Landfill Leachate Treatment Processes on the Basis of Organic Matter Fractionation. J. Environ. Qual. 2018, 47, 297–305. [Google Scholar] [CrossRef]
- Mariam, T.; Nghiem, L.D. Landfill leachate treatment using hybrid coagulation-nanofiltration processes. Desalination 2010, 250, 677–681. [Google Scholar] [CrossRef]
- Top, S.; Sekman, E.; Hoşver, S.; Bilgili, M.S. Characterization and electrocaogulative treatment of nanofiltration concentrate of a full-scale landfill leachate treatment plant. Desalination 2011, 268, 158–162. [Google Scholar] [CrossRef]
- Norma, D.; Fernandes, A.; Pacheco, M.J.; Ciríaco, L.; Lopes, A. Electrocoagulation and anodic oxidation integrated process to treat leachate from a Portuguese sanitary landfill. Port. Electrochim. Acta 2012, 30, 221–234. [Google Scholar] [CrossRef]
- Oumar, D.; Patrick, D.; Gerardo, B.; Rino, D.; Ihsen, B.S. Coupling biofiltration process and electrocoagulation using magnesium-based anode for the treatment of landfill leachate. J. Environ. Manag. 2016, 181, 477–483. [Google Scholar] [CrossRef] [PubMed]
- Sadani, M.; Karimaei, M.; Ghahramani, E.; Ghadiri, K.; Taghizadeh, M.; Faraji, M.; Mehrizi, E. Isotherms and kinetics of lead and cadmium uptake from the waste leachate by natural and modified clinoptilolite. Int. J. Environ. Health Eng. 2012, 1, 26. [Google Scholar] [CrossRef]
- Song, C.; Wu, S.; Cheng, M.; Tao, P.; Shao, M.; Gao, G. Adsorption studies of coconut shell carbons prepared by KOH activation for removal of lead(ii) from aqueous solutions. Sustainability 2014, 6, 86. [Google Scholar] [CrossRef]
- Lee, S.; Lee, J.; Song, M.K.; Ryu, J.C.; An, B.; Lee, C.G.; Park, C.; Lee, S.H.; Choi, J.W. Effective regeneration of an adsorbent for the removal of organic contaminants developed based on UV radiation and toxicity evaluation. React. Funct. Polym. 2015, 95, 62–70. [Google Scholar] [CrossRef]
- Malamis, S.; Katsou, E. A review on zinc and nickel adsorption on natural and modified zeolite, bentonite and vermiculite: Examination of process parameters, kinetics and isotherms. J. Hazard. Mater. 2013, 252–253, 428–461. [Google Scholar] [CrossRef]
- Delkash, M.; Bakhshayesh, B.E.; Kazemian, H. Using zeolitic adsorbents to cleanup special wastewater streams: A review. Microporous Mesoporous Mater. 2015, 214, 224–241. [Google Scholar] [CrossRef]
- Wang, L.; Wang, F.; Huang, B.; Tang, Q. Recent advances in superhydrophobic composites based on clay minerals. Appl. Clay Sci. 2020, 198, 105793. [Google Scholar] [CrossRef]
- Galan, E. Properties and applications of palygorskite-sepiolite clays. Clay Miner. 1996, 31, 443–453. [Google Scholar] [CrossRef]
- Giustetto, R.; Wahyudi, O. Sorption of red dyes on palygorskite: Synthesis and stability of red/purple Mayan nanocomposites. Microporous Mesoporous Mater. 2011, 142, 221–235. [Google Scholar] [CrossRef]
- Sarkar, B.; Megharaj, M.; Xi, Y.; Naidu, R. Surface charge characteristics of organo-palygorskites and adsorption of p-nitrophenol in flow-through reactor system. Chem. Eng. J. 2012, 185–186, 35–43. [Google Scholar] [CrossRef]
- Genethliou, C.; Triantaphyllidou, I.E.; Giannakis, D.; Papayianni, M.; Sygellou, L.; Tekerlekopoulou, A.G.; Koutsoukos, P.; Vayenas, D.V. Simultaneous removal of ammonium nitrogen, dissolved chemical oxygen demand and color from sanitary landfill leachate using natural zeolite. J. Hazard. Mater. 2021, 406, 124679. [Google Scholar] [CrossRef]
- Aydın Temel, F.; Kuleyin, A. Ammonium removal from landfill leachate using natural zeolite: Kinetic, equilibrium, and thermodynamic studies. Desalin. Water Treat. 2016, 57, 23873–23892. [Google Scholar] [CrossRef]
- Wambuguh, D.; Chianelli, R.R. Indigo dye waste recovery from blue denim textile effluent: A by-product synergy approach. New J. Chem. 2008, 32, 2189–2194. [Google Scholar] [CrossRef]
- Genethliou, C.; Lazaratou, C.V.; Triantaphyllidou, I.E.; Xanthaki, E.; Mourgkogiannis, N.; Sygellou, L.; Tekerlekopoulou, A.G.; Koutsoukos, P.; Vayenas, D.V. Adsorption studies using natural palygorskite for the treatment of real sanitary landfill leachate. J. Environ. Chem. Eng. 2022, 10, 108545. [Google Scholar] [CrossRef]
- Guo, X.; Yao, Y.; Yin, G.; Kang, Y.; Luo, Y.; Zhuo, L. Preparation of decolorizing ceramsites for printing and dyeing wastewater with acid and base treated clay. Appl. Clay Sci. 2008, 40, 20–26. [Google Scholar] [CrossRef]
- De, S.; Hazra, T.; Dutta, A. Application of integrated sequence of air stripping, coagulation flocculation, electrocoagulation and adsorption for sustainable treatment of municipal landfill leachate. Clean. Waste Syst. 2022, 3, 100033. [Google Scholar] [CrossRef]
- Genethliou, C.; Tatoulis, T.; Charalampous, N.; Dailianis, S.; Tekerlekopoulou, A.G.; Vayenas, D.V. Treatment of raw sanitary landfill leachate using a hybrid pilot-scale system comprising adsorption, electrocoagulation and biological process. J. Environ. Manag. 2023, 330, 117129. [Google Scholar] [CrossRef]
- Kastritis, I.D.; Kacandes, G.H.; Mposkos, E. The Palygorskite and Mg-Fe-Smectite Clay Deposits of the Ventzia Basin, Western Macedonia, Greece. In Mineral Exploration and Sustainable Development-Proceedings of the 7th SGA Meeting; MillPress: Rotterdam, The Netherlands, 2003. [Google Scholar]
- Papadopoulos, K.P.; Argyriou, R.; Economou, C.N.; Charalampous, N.; Dailianis, S.; Tatoulis, T.I.; Tekerlekopoulou, A.G.; Vayenas, D.V. Treatment of printing ink wastewater using electrocoagulation. J. Environ. Manag. 2019, 237, 442–448. [Google Scholar] [CrossRef]
- Hakizimana, J.N.; Gourich, B.; Chafi, M.; Stiriba, Y.; Vial, C.; Drogui, P.; Naja, J. Electrocoagulation process in water treatment: A review of electrocoagulation modeling approaches. Desalination 2017, 404, 1–21. [Google Scholar] [CrossRef]
- Soomro, G.S.; Qu, C.; Ren, N.; Meng, S.; Li, X.; Liang, D.; Zhang, S.; Li, Y. Efficient removal of refractory organics in landfill leachate concentrates by electrocoagulation in tandem with simultaneous electro-oxidation and in-situ peroxone. Environ. Res. 2020, 183, 109249. [Google Scholar] [CrossRef] [PubMed]
- Verdouw, H.; Van Echteld, C.J.A.; Dekkers, E.M.J. Ammonia determination based on indophenol formation with sodium salicylate. Water Res. 1978, 12, 399–402. [Google Scholar] [CrossRef]
- Baird, R. Standard Methods for the Examination of Water and Wastewater, 23rd ed.; American Public Health Association: Washington, DC, USA, 2017; ISBN 9780875532875. [Google Scholar]
- Pirsaheb, M.; Azizi, E.; Almasi, A.; Soltanian, M.; Khosravi, T.; Ghayebzadeh, M.; Sharafi, K. Evaluating the efficiency of electrochemical process in removing COD and NH4-N from landfill leachate. Desalin. Water Treat. 2016, 57, 6644–6651. [Google Scholar] [CrossRef]
- Majlesi, M.; Mohseny, S.M.; Sardar, M.; Golmohammadi, S.; Sheikhmohammadi, A. Improvement of aqueous nitrate removal by using continuous electrocoagulation/electroflotation unit with vertical monopolar electrodes. Sustain. Environ. Res. 2016, 26, 287–290. [Google Scholar] [CrossRef]
- Tanyol, M.; Ogedey, A.; Oguz, E. COD removal from leachate by electrocoagulation process: Treatment with monopolar electrodes in parallel connection. Water Sci. Technol. 2018, 77, 177–186. [Google Scholar] [CrossRef]
- Ogedey, A.; Tanyol, M. Optimizing electrocoagulation process using experimental design for COD removal from unsanitary landfill leachate. Water Sci. Technol. 2017, 76, 2907–2917. [Google Scholar] [CrossRef] [PubMed]
- Bazrafshan, E.; Mohammadi, L.; Ansari-Moghaddam, A.; Mahvi, A.H. Heavy metals removal from aqueous environments by electrocoagulation process—A systematic review. J. Environ. Health Sci. Eng. 2015, 13, 74. [Google Scholar] [CrossRef]
- Le, T.S.; Dang, N.M.; Tran, D.T. Performance of coupling electrocoagulation and biofiltration processes for the treatment of leachate from the largest landfill in Hanoi, Vietnam: Impact of operating conditions. Sep. Purif. Technol. 2021, 255, 117677. [Google Scholar] [CrossRef]
- Benekos, A.K.; Zampeta, C.; Argyriou, R.; Economou, C.N.; Triantaphyllidou, I.E.; Tatoulis, T.I.; Tekerlekopoulou, A.G.; Vayenas, D.V. Treatment of table olive processing wastewaters using electrocoagulation in laboratory and pilot-scale reactors. Process Saf. Environ. Prot. 2019, 131, 38–47. [Google Scholar] [CrossRef]
- Chu, L.M.; Cheung, K.C.; Wong, M.H. Variations in the chemical properties of landfill leachate. Environ. Manag. 1994, 18, 105–117. [Google Scholar] [CrossRef]
- Mojiri, A.; Ziyang, L.; Tajuddin, R.M.; Farraji, H.; Alifar, N. Co-treatment of landfill leachate and municipal wastewater using the ZELIAC/zeolite constructed wetland system. J. Environ. Manag. 2016, 166, 124–130. [Google Scholar] [CrossRef] [PubMed]
- García-García, P.; López-López, A.; Moreno-Baquero, J.M.; Garrido-Fernández, A. Treatment of wastewaters from the green table olive packaging industry using electro-coagulation. Chem. Eng. J. 2011, 170, 59–66. [Google Scholar] [CrossRef]
- Yadav, J.S.; Dikshit, A.K. Stabilized old landfill leachate treatment using electrocoagulation. EnvironmentAsia 2017, 10, 25–33. [Google Scholar] [CrossRef]
- Ghimire, U.; Jang, M.; Jung, S.; Park, D.; Park, S.; Yu, H.; Oh, S.-E. Electrochemical Removal of Ammonium Nitrogen and COD of Domestic Wastewater using Platinum Coated Titanium as an Anode Electrode. Energies 2019, 12, 883. [Google Scholar] [CrossRef]
- Nanayakkara, N.; Koralage, A.; Meegoda, C.; Kariyawasam, S. Removing nitrogenous compounds from landfill leachate using electrochemical techniques. Environ. Eng. Res. 2019, 24, 339–346. [Google Scholar] [CrossRef]
- Tezcan Un, U.; Kandemir, A.; Erginel, N.; Ocal, S.E. Continuous electrocoagulation of cheese whey wastewater: An application of response surface methodology. J. Environ. Manag. 2014, 146, 245–250. [Google Scholar] [CrossRef]
- Lakshmanan, D.; Clifford, D.A.; Samanta, G. Ferrous and ferric ion generation during iron electrocoagulation. Environ. Sci. Technol. 2009, 43, 3853–3859. [Google Scholar] [CrossRef] [PubMed]
- Aziz, H.A.; Foul, A.A.; Isa, M.H.; Hung, Y.T. Physico-chemical treatment of anaerobic landfill leachate using activated carbon and zeolite: Batch and column studies. Int. J. Environ. Waste Manag. 2010, 5, 269–285. [Google Scholar] [CrossRef]
- Rodríguez, J.; Castrillón, L.; Marañón, E.; Sastre, H.; Fernández, E. Removal of non-biodegradable organic matter from landfill leachates by adsorption. Water Res. 2004, 38, 3297–3303. [Google Scholar] [CrossRef]
- Ye, Z.; Wang, J.; Sun, L.; Zhang, D.; Zhang, H. Removal of ammonium from municipal landfill leachate using natural zeolites. Environ. Technol. 2015, 36, 2919–2923. [Google Scholar] [CrossRef]
- Hankins, N.P.; Pliankarom, S.; Hilal, N. An equilibrium ion-exchange study on the removal of NH4 + ion from aqueous effluent using clinoptilolite. Sep. Sci. Technol. 2004, 39, 3639–3663. [Google Scholar] [CrossRef]
- Brönsted, J.N. Einige Bemerkungen über den Begriff der Säuren und Basen. Recl. Trav. Chim. Pays-Bas. 1923, 42, 718–728. [Google Scholar] [CrossRef]
- Lowry, T.M. The uniqueness of hydrogen. J. Soc. Chem. Ind. 1923, 42, 43–47. [Google Scholar] [CrossRef]
Disclaimer/Publisher’s Note: The statements, opinions and data contained in all publications are solely those of the individual author(s) and contributor(s) and not of MDPI and/or the editor(s). MDPI and/or the editor(s) disclaim responsibility for any injury to people or property resulting from any ideas, methods, instructions or products referred to in the content. |
© 2023 by the authors. Licensee MDPI, Basel, Switzerland. This article is an open access article distributed under the terms and conditions of the Creative Commons Attribution (CC BY) license (https://creativecommons.org/licenses/by/4.0/).