Evaluating the Effectiveness of Environmental Interpretation in National Parks Based on Visitors’ Spatiotemporal Behavior and Emotional Experience: A Case Study of Pudacuo National Park, China
Abstract
1. Introduction
2. Literature Review and Research Framework
2.1. Research Overview
2.1.1. Evaluation of the Effectiveness of Environmental Interpretation Services
2.1.2. A Study of the Relationship between Temporal Behavior and Emotional Experience
2.2. Research Objectives
3. Study Area, Data, and Methodology
3.1. Case-Site Selection
3.2. Data Collection
3.3. Research Method
3.3.1. K-Means Spatiotemporal Clustering Analysis
3.3.2. GPS Data Geoprocessing Model Construction
3.3.3. Calculation of Visitors’ Emotional Experience Value
4. Results
4.1. Participant Characteristics
4.2. Visitor Cluster Clustering
4.3. Visitor Spatiotemporal Behavior
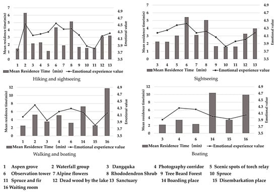
4.4. Visitor Emotional Experience
4.5. Evaluation of the Effectiveness of Environmental Interpretation Services
5. Optimization Solutions
6. Conclusions and Discussion
6.1. Research Conclusions
6.2. Discussion
Author Contributions
Funding
Institutional Review Board Statement
Informed Consent Statement
Data Availability Statement
Acknowledgments
Conflicts of Interest
References
- Newsome, D.; Moore, S.A.; Dowling, R.K. Natural Area Tourism: Ecology, Impacts and Management; Channel View Publications: Bristol, UK, 2013. [Google Scholar]
- The General Office of the CPC Central Committee and the General Office of the State Council Issued the Overall Plan for the Establishment of a National Park System. Available online: http://www.people.com.cn/ (accessed on 5 March 2022).
- Ham, S. Environmental Interpretation: A Practical Guide for People with Big Ideas and Small Budgets; North American Press: Golden, CO, USA, 1993. [Google Scholar]
- Moscardo, G. Interpretation and sustainable tourism: Functions, examples and principles. J. Tour. Stud. 1998, 9, 2–13. [Google Scholar]
- Munro, J.K.; Morrison-Saunders, A.; Hughes, M. Environmental Interpretation Evaluation in Natural Areas. J. Ecotourism 2008, 7, 1–14. [Google Scholar] [CrossRef]
- McNamara, K.E.; Prideaux, B. Reading, Learning and Enacting: Interpretation at Visitor Sites in the Wet Tropics Rainforest of Australia. Environ. Educ. Res. 2010, 16, 73–88. [Google Scholar] [CrossRef]
- Ham, S.H.; Weiler, B. Interpretation as the centerpiece of sustainable tourism. In Sustainable Tourism: A Global Perspective; Butterworth-Heinneman: London, UK, 2002. [Google Scholar]
- Wei, D.Y.A. Review of environmental interpretation evaluation studies. Tour. Sci. 2010, 24, 84–94. [Google Scholar] [CrossRef]
- Sharpe, G.W. An Overview of Interpretatio, 2nd ed.; John Wiley & Sons Inc.: New York, NY, USA, 1982. [Google Scholar]
- Bihu, W.; Jinhua, Z.L. Research on tourism interpretation system—Beijing as an example. Hum. Geogr. 1999, 2, 32–34. [Google Scholar]
- Moscardo, P.L. Visitor centers and environmental interpretation. Environ. Psychol. 1986, 6, 89–108. [Google Scholar] [CrossRef]
- Moscardo, G. Mindfui visitos: Heritage and Tourism. Ann. Tour. Res. 1996, 23, 376–397. [Google Scholar] [CrossRef]
- Zhao, M.Y.; Dong, S.C.; Gao, N.; Li, Y.; Ma, H.; Shao, D.; Xu, N. Construction of Environmental Interpretation Opportunity Spectrum for Metropolitan Forest Park: A Case Study of Beijing. Urban Res. 2018, 25, 10–22. [Google Scholar]
- Zhao, M. Progress in Research on Environmental Commentary and Its Implications for Scenic Area Management Practice. J. Chongqing Norm. Univ. Nat. Sci. Ed. 2011, 5, 85–90. [Google Scholar]
- Carolyn, J. The Effectiveness of Interpretation in Reducing the Impacts of Visitors in National Parks. Ph.D. Thesis, Griffith University, Brisbane, Australia, 2003. [Google Scholar]
- Lee, W.H.; Moscardo, G. Understanding the impact of ecotourism resort experiencing on tousists’environmental attitudes and behavioral intentions. J. Sustain. Tour. 2005, 13, 546–565. [Google Scholar] [CrossRef]
- Medio, D.; Ormond, R.F.G.; Pearson, M. Effect of briefing on rates of damage to corals by SCUBA divers. Biol. Conserv. 1997, 79, 91–95. [Google Scholar] [CrossRef]
- Anderson, K.; Smith, S.J. Emotional geographies. Trans. Inst. Br. Geogr. 2001, 26, 7–10. [Google Scholar] [CrossRef]
- Davidson, J.; Bondi, L.; Smith, M. Emotional Geographies; VT and Aldershot: Farnham, UK, 2005. [Google Scholar]
- Huang, X.T. A Study of Tourist’ Emotional Experience Process Based on Space-Time Path: A Case Study of Ocean Park in Hong Kong. Tour. Trib. 2015, 30, 39–45. [Google Scholar]
- Payntar, N.D.; Hsiao, W.L.; Covey, R.A.; Grauman, K. Learning patterns of tourist movement and photography from geotagged photos at archaeological heritage sites in Cuzco, Peru. Tour. Manag. 2021, 82, 104165. [Google Scholar] [CrossRef]
- Park, S.B.; Kim, J.; Lee, Y.K.; Ok, C.M. Visualizing theme park visitors’ emotions using social media analytics and geospatial analytics. Tour. Manag. 2020, 80, 104127. [Google Scholar] [CrossRef]
- Shoval, N.; Schvimer, Y.; Tamir, M. Real-Time Measurement of Tourists’ Objective and Subjective Emotions in Time and Space. J. Travel Res. 2018, 57, 3–16. [Google Scholar] [CrossRef]
- Zhao, M.Y.; Dong, S.C.; Cui, Q.J.; Li, Z.H. Impact of national park environmental interpretation service on guiding public behavior. Resour. Environ. Arid. Areas 2019, 7, 203–220. [Google Scholar]
- Zhao, M.Y.; Dong, S.C.; Cui, Q.J.; Li, Z.H.; Vladimiror, I.; Leonid, K.; Zlydneva, I. Construction of environmental interpretation system in national park of China based on natural education function. Environ. Sustain. Dev. 2019, 3, 98–100. [Google Scholar]
- Huang, X.T. A study on the spatio-temporal behavior pattern of tourists in scenic spots based on temporal geography: Beijing Summer Palace as an example. J. Tour. 2009, 6, 82–87. [Google Scholar]
- Lefebvre, H. Rhythmanalysis: Space, Time and Everyday Life; Bloomsbury Publishing: London, UK, 2004; pp. 15–29. [Google Scholar]
- O’Brien, W.; Lloyd, K.; Riot, C. Exploring the emotional geography of the leisure time physical activity space with mothers of young children. Leis. Stud. 2017, 36, 220–230. [Google Scholar] [CrossRef]
- Bai, K.; Zhou, X.Y.; Lv, Y.Y. The progress of social cultural geography in China in recent 10 years. J. Geogr. Sci. 2014, 69, 1190–1206. [Google Scholar]
- Rennie, F.E. Interpretive Evaluation: An Applied Methodology for Self Guided Trails. Master’s Thesis, University of Guelph (Canada), Guelph, ON, Canada, 1980. [Google Scholar]
- Farber, M.E.; Hall, T.E. Emotional and environment: Visitors extraordinary experiences along the Dalton highway in Alaska. J. Leis. Res. 2007, 39, 248–270. [Google Scholar] [CrossRef]
- Stewart, E.J.; Hayward, B.M.; Devlin, P.J.; Kirby, V.G. The ”place” of interpretation: A new approach to the evaluation of interpretation. Tour. Manag. 1998, 19, 257–266. [Google Scholar] [CrossRef]
- Marcotte, C.; Stokowski, P.A. Park Resources Interpretation. Ph.D. Thesis, Texas A&M University, College Station, TX, USA, 1976. [Google Scholar]






| Variables | Distribution | Frequency | Percent(%) | Variables | Distribution | Frequency | Percent(%) |
|---|---|---|---|---|---|---|---|
| Gender | Male Female | 192 | 52.6 | Monthly income | >3000 | 16 | 4.3 |
| 173 | 47.3 | 3000–5000 | 58 | 15.8 | |||
| Age | >18 | 9 | 2.4 | 5000–10,000 | 148 | 40.5 | |
| 19–30 | 243 | 66.5 | 10,000–15,000 | 64 | 17.5 | ||
| 31–45 | 97 | 26.5 | 15,000–20,000 | 47 | 12.8 | ||
| 45–60 | 12 | 3.2 | 20,000 above | 32 | 8.7 | ||
| <60 | 4 | 1 | Student | 87 | 23.8 | ||
| Educational background | Middle school | 9 | 2.4 | Occupation | Teachers and technicians | 54 | 14.7 |
| High school | 55 | 15 | Government officials | 52 | 14.2 | ||
| Bachelor | 258 | 43.2 | Company personnel | 103 | 28.2 | ||
| Master’s degree and above | 43 | 11.7 | Other | 69 | 18.9 | ||
| Visit frequency | Only once More than once | 358 7 | 98 1.9 |
| Clustering Types | Hiking and Sightseeing | Sightseeing | Walking and Boating | Boating |
|---|---|---|---|---|
| Spatial elements | ||||
| Aspen grove Waterfall group | 1 1 | 0 0 | 1 1 | 0 0 |
| Dangquka | 1 | 1 | 1 | 1 |
| Photography corridor Scenic spots of the torch relay Observation tower | 1 1 1 | 1 0 1 | 1 1 1 | 1 0 1 |
| Boarding place | 0 | 0 | 1 | 1 |
| Alpine flowers | 1 | 1 | 0 | 0 |
| Rhododendron Shrub | 1 | 1 | 0 | 0 |
| Tree Beard Forest | 1 | 1 | 0 | 0 |
| Spruce | 1 | 1 | 0 | 0 |
| Spruce and fir | 1 | 1 | 0 | 0 |
| Dead wood by the lake | 1 | 1 | 0 | 0 |
| Sanctuary | 1 | 1 | 0 | 0 |
| Disembarkation place Waiting room | 0 0 | 0 0 | 1 1 | 1 1 |
| Time element | ||||
| Equipment distribution time | 9:56:00 | 9:27:00 | 12:45:00 | 15:03:00 |
| Equipment recycling period | 13:25:00 | 12:14:00 | 15:36:00 | 16:56:00 |
| Clustering sample size | 98 | 125 | 75 | 67 |
| Theme | Main Idea | Explanation Point | Media | Content |
|---|---|---|---|---|
| Explore the lake ecosystem | Waterfall group | Interpretive panels, Portable audition media | Knowledge of highland lake ecosystems, formation and characteristics of lakes, their habitats, and their historical legends and stories | |
| Shudu Lake is a shining pearl on the plateau | The diverse landscapes, distinctive water bodies, and pristine natural environment will take visitors to a fairytale world. | Dangquka, Photography corridor, Observation tower | Interpretive panels, Interpretation by fixed-point personnel, Brochures, Portable audition media | 1. Natural landscape interpretation is the main focus, taking into account the introduction of environmental facilities 2. Many works of art, photography, film, and art literature portray Shudu Lake |
| Explore life in the water | Shudu Lake is rich in rare fish resources | Boarding place En route by boat Disembarkation place | Interpretive panels, Interpretation by fixed-point personnel, Brochures, | Introduction of the fish species in the water of Shudu Lake |
| Recognizing Highland Plants | Species and Characteristics of Upland Plant Communities | Alpine flowers Rhododendron Shrub, Tree Beard Forest, Spruce, and fir | Interpretive panels, Interpretation by fixed-point personnel, Explanation manual | Characteristics, roles, and habitat animals of alpine vegetation such as spruce forests, fir forests, and redwoods, the difference between vertical grazing and vertical migration |
| Shudu Lake Lake has a good biological cycle and is also a paradise and a haven for birds | The benign biosphere of the Shudu Lake | Dead wood by the lake, Sanctuary | Interpretive panels, Brochures, Portable audition media Explanation manual | Reasons for the formation of fallen dead wood, providing fuel for other organisms |
| The importance of protecting the ecological environment of highland lakes | Shudu Lake is a precious treasure, and mankind and nature are in harmony | Waiting room | Interpretive panels, Brochures, Portable audition media Explanation manual, Interpretation by fixed-point personnel, Performance | The scarcity of ecological environment on the Shudu Lake plateau, environmental protection is the focus of ecological civilization construction |
Disclaimer/Publisher’s Note: The statements, opinions and data contained in all publications are solely those of the individual author(s) and contributor(s) and not of MDPI and/or the editor(s). MDPI and/or the editor(s) disclaim responsibility for any injury to people or property resulting from any ideas, methods, instructions or products referred to in the content. |
© 2023 by the authors. Licensee MDPI, Basel, Switzerland. This article is an open access article distributed under the terms and conditions of the Creative Commons Attribution (CC BY) license (https://creativecommons.org/licenses/by/4.0/).
Share and Cite
Xie, C.; Zhao, M.; Li, Y.; Tang, T.; Meng, Z.; Ding, Y. Evaluating the Effectiveness of Environmental Interpretation in National Parks Based on Visitors’ Spatiotemporal Behavior and Emotional Experience: A Case Study of Pudacuo National Park, China. Sustainability 2023, 15, 8027. https://doi.org/10.3390/su15108027
Xie C, Zhao M, Li Y, Tang T, Meng Z, Ding Y. Evaluating the Effectiveness of Environmental Interpretation in National Parks Based on Visitors’ Spatiotemporal Behavior and Emotional Experience: A Case Study of Pudacuo National Park, China. Sustainability. 2023; 15(10):8027. https://doi.org/10.3390/su15108027
Chicago/Turabian StyleXie, Chunwen, Minyan Zhao, Yu Li, Tiantian Tang, Zichao Meng, and Yan Ding. 2023. "Evaluating the Effectiveness of Environmental Interpretation in National Parks Based on Visitors’ Spatiotemporal Behavior and Emotional Experience: A Case Study of Pudacuo National Park, China" Sustainability 15, no. 10: 8027. https://doi.org/10.3390/su15108027
APA StyleXie, C., Zhao, M., Li, Y., Tang, T., Meng, Z., & Ding, Y. (2023). Evaluating the Effectiveness of Environmental Interpretation in National Parks Based on Visitors’ Spatiotemporal Behavior and Emotional Experience: A Case Study of Pudacuo National Park, China. Sustainability, 15(10), 8027. https://doi.org/10.3390/su15108027

