Next Article in Journal
Under the Risk of COVID-19 Epidemic: A Study on the Influence of Life Attitudes, Leisure Sports Values, and Workplace Risk Perceptions on Urban Development and Public Well-Being
Next Article in Special Issue
Sport Events and Emissions Reporting: An Analysis of the Council for Responsible Sport Standard in Running Events
Previous Article in Journal
Communicating Sustainable Brand Equity in a High Carbon Footprint and High-Risk Sector: Comparing Malaysia and Indonesia Oil and Gas Industry
Previous Article in Special Issue
A Theoretical Model of Strategic Communication for the Sustainable Development of Sport Tourism
 
 
Font Type:
Arial Georgia Verdana
Font Size:
Aa Aa Aa
Line Spacing:
Column Width:
Background:
Article

The Relationship between Marine Sports Tourist Destinations, Social Responsibility, and Environmentally Responsible Behavior

Department of Sports Coaching, Suwon Women’s University, Suwon-si 16632, Republic of Korea
*
Author to whom correspondence should be addressed.
Sustainability 2023, 15(10), 7739; https://doi.org/10.3390/su15107739
Submission received: 24 February 2023 / Revised: 23 April 2023 / Accepted: 28 April 2023 / Published: 9 May 2023
(This article belongs to the Special Issue Sport Tourism: From Local to Global Sustainability Efforts)

Abstract

This study investigated the structural relationship between tourist destination identification and environmental responsibility practices based on the social responsibility activities for visitors of marine sports tourist destinations where domestic travel has been active since COVID-19. Furthermore, we aimed to provide academic and practical implications by investigating the relationship between DSR, a major variable in sustainable marine sports tourism, and ERB. Data from a survey of tourists who participated in marine sports (n = 392) were analyzed using structural equation modeling and Hayes PROCESS macro with bootstrapping procedures. According to the analysis results, it was found that marine sports tourist DSR positively affected destination identification and ERB, and that tourist destination identification positively influenced ERB. Second, it was shown that the effect of the social responsibility of a marine sports tourist destination on ERB is mediated via the influence of tourist destination identification.

1. Introduction

The tourism industry’s trends have drastically changed since the spread of COVID-19. According to the United Nations World Tourism Organization (UNWTO, Madrid, Spain) report published in 2021, the number of overseas tourists plummeted by 73% globally in 2020 [1]. While overseas tourism took a downward turn following the spread of COVID-19, tourists shifted their attention to domestic destinations to satisfy their travel needs (Korea Tourism Organization, Seoul, Republic of Korea 2021). This shift brought many changes to marine sports tourism since many countries promote domestic travel as an alternative strategy in the current crisis of limited international travel [2] (Todman–Lewis, meaning has been retained2017).
Tourist destination social responsibility is essential for positive changes in the tourism industry because changes brought by tourists to these destinations are not always positive. Su and Swanson [3] suggested that destination social responsibility (DSR) enhances the economic profit of the region attained through the development of tourist destinations and tourist behavior. An extension of the concept of corporate social responsibility (CSR), DSR is a set of obligations and behaviors applied to all stakeholders, including tourists, the local community, and the government [4]. It refers to the social responsibility of the stakeholders in tourist destinations. Su, Huang, and Pearce [5] focused on minimizing the negative environmental impact of tourist destinations and representing stakeholders’ activities to generate additional economic, social, and environmental benefits for the local community through DSR. Hence, DSR enables positive experiences for marine sports tourists at tourist destinations while reducing the negative impact on local residents caused by the influx of marine sports touri Has confirmed. thank yousts.
DSR stakeholders form a complex ecosystem. This ecosystem could involve anyone in a tourist destination region, including governmental institutions, relevant associations, tourists, and local residents [6]. Furthermore, the natural environment could be included in the list of stakeholders, and these diverse stakeholders are bound to a relationship of reciprocal influence [7,8]. A complex web of stakeholders indicates the importance of considering various aspects of social responsibility activities at marine sports tourist destinations.
The emphasis on the tourism development paradigm that takes into account the legal, social, environmental, and economic impact of marine sports tourism on tourist destinations grows. Stakeholders are the main actors of DSR, and tourist destinations mainly depend on their DSR behavior. This dependency could affect the tourist destination’s environment and environmentally responsible behavior perceived by the visitors [5,9].
According to the social exchange theory, the decision to conclude an exchange should only be made when the expected gains outweigh the costs [5]. Therefore, the environmentally responsible behavior of local residents and marine sports tourists is motivated by DSR activities when various benefits are expected from a tourist destination. Sports tourists’ inappropriate behavior at tourist destinations is the main reason why tourists’ environmentally responsible behavior is highlighted [10]. In addition, participation in marine sports tourism activities is essentially related to causing environmental problems [11,12].
In order to reduce the negative impact of sports tourism on the environment, encouraging environmentally responsible behavior (ERB) that contributes to the conservation of resources and environmental protection is important when enhancing sports tourists’ positive experiences [13]. ERB refers to environmentally responsible behavior exhibited by individuals to protect the environment and solve the issues caused by environmental pollution to reduce negative economic, environmental, and social impacts [11,14,15,16]. This concept encompasses all conscious and proactive measures taken to reduce the negative environmental impacts [5,17]. The development of marine sports tourist destinations greatly depends on natural and cultural resources [3] and can potentially cause positive and negative environmental impacts [18,19]. Hence, marine sports tourist destinations must utilize their tourism resources for sustainable development, inducing a continuous and sustainable inflow of marine sports tourists. In order to better understand ERB in sports tourism, understanding antecedent variables should be strengthened [20].
When organizations connected to marine sports tourist destinations demonstrate social responsibility behavior, the process by which sports tourists show ERB can be affected simultaneously. Tourist destination identification refers to a tourist’s psychological state when the perceived self-identity of the tourist and the image of a tourist destination coincide [3]. Sports tourist destination visitors have a high perception of tourist destination identification when the perceived value of a tourist destination corresponds to their standards and values [21,22]. Therefore, if the social responsibility activities of stakeholders related to sports tourist destinations are perceived positively, tourist destination identification will be positive and, ultimately, ERB can be expected to improve.
Furthermore, tourist destination trust is a crucial factor for tourists. Therefore, trust is a critical variable that positively affects identification and tourists’ actions toward their destination [23,24]. Due to their adventurous and temporary characteristics, marine sports tourist activities can strengthen sports tourists’ risk perception of the destination in question. As such, the importance of fostering trust in the tourist environment increases [24,25,26]. In addition, Vlachos et al. [27] suggested that trust mediated the relationship between consumers’ service perception, loyalty, and positive word of mouth. As it stands, few studies were conducted on tourist destination trust for sports tourists, even though trust is an essential consumer variable in empirical research [28].
In the case of tourist destinations, the research did not pay much attention to the performance of social responsibilities by tourism-related entities and their impact. This is because, unlike in business organizations, the range of stakeholders in tourist destinations varies, and tourism development centered on its positive economic and social effects rather than its negative ripple effects on the local community [3,6,29]. In Korea, at this point, it is necessary to apply the concept of social responsibility currently used by companies to marine sports tourist destinations, draw implications, and conduct an analysis because the damage caused by tourism development affects local residents—key stakeholders in marine sports tourist destinations—following the development of marine sports tourism supported by Korea’s geographical characteristics and the emergence of touristification, a concept similar to gentrification. Therefore, this study investigated the structural relationship between tourist destination identification and environmental responsibility practices based on the social responsibility activities for visitors of marine sports tourist destinations where domestic travel has been active since COVID-19. Furthermore, we aim to provide academic and practical implications by investigating the relationship between DSR, a major variable in sustainable marine sports tourism, and ERB.

2. Methodology

2.1. Research Model

This study investigates the impact of marine sports tourists’ perception of the social responsibility of marine sports tourist destinations on the environmentally responsible behavior of marine sports tourist destinations in Korea and the mediating effect of tourist destination identification and the moderating effect of tourist destination trust (Figure 1). Based on the research model in this study, the implications were drawn in the form of essential data for healthy leisure activities of marine sports tourists.
Hypothesis 1 (H1). 
Marine sports tourist destination’s economic responsibility is positively related to tourist destination identification.
Hypothesis 2 (H2). 
Marine sports tourist destination’s sociocultural responsibility is positively related to tourist destination identification.
Hypothesis 3 (H3). 
Marine sports tourist destination’s environmental responsibility is positively related to tourist destination identification.
Hypothesis 4 (H4). 
Marine sports tourist destination’s economic responsibility is positively related to ERB.
Hypothesis 5 (H5). 
Marine sports tourist destination’s sociocultural responsibility is positively related to ERB.
Hypothesis 6 (H6). 
Marine sports tourist destination’s environmental responsibility is positively related to ERB.
Hypothesis 7 (H7). 
Marine sports tourist destination identification is positively related to ERB.
Hypothesis 8 (H8). 
Marine sports tourist destination identification positively mediates the relationship between DSR and ERB.
Hypothesis 9 (H9). 
Tourist destination trust will strengthen the influence of marine sports tourist destination’s economic responsibility on ERB.
Hypothesis 10 (H10). 
Tourist destination trust will strengthen the influence of marine sports tourist destination’s sociocultural responsibility on ERB.
Hypothesis 11 (H11). 
Tourist destination trust will strengthen the influence of marine sports tourist destination’s environmental responsibility on environmentally responsible behavior.

2.2. Research Subjects

In this study, participants in marine sports tourist destinations, and marine sports tourists who visited them within one year were selected as survey subjects. Towns known as marine sports tourist destinations in Gangwon-do, South Korea, were visited during the two months (starting from August 2021), and 400 tourists who participated in marine sports were selected by convenient sampling method. The survey questionnaires were created, distributed, and collected online and offline. Among the completed survey questionnaires, 392 were used for analysis, and eight were excluded due to invalid data (see Table 1).

2.3. Research Tools

First, to measure tourist DSR, we modified and used the scale applied in the studies by Su, Huang, and Pearce [5], and Su and Swanson [3]. To measure tourist DSR, we used 16 items, including four questions on environmental responsibility, four on sociocultural responsibility, four on economic responsibility, and four on ethical responsibility. Second, to measure tourist destination identification, we modified and used the scale applied in the studies by Keh and Xie [23], as well as So, King, Sparks, and Wang [30], that centered on the organizational scale developed by Mael and Ashforth [31]. The tourist destination identification factor contained four items. To measure tourist destination trust, we modified the scale utilized in the research by Alwi and Kithen [32] and used it in our study. The tourist destination trust factor comprised five items. To measure environmentally responsible behavior, we used the scale utilized in research by Smith–Sebasto and D’Costa [33] and Thapa [34]. The environmentally responsible behavior factor contained six items. Finally, demographical characteristics included sex, age, duration of participation period, and participation activity.

3. Validity and Reliability Analysis

In this study, the collected data underwent confirmatory factor analysis and convergent validity and discriminant validity verifications after content validity verification by five professors specializing in sports management and tourism. The Tucker–Lewis index (TLI) and comparative fit index (CFI) were used as the relative goodness-of-fit indicators for the measurement model, while the root mean square error of approximation (RMSEA) was used as the absolute fit index between the model and the data. Then, χ2 verification was conducted. The model evaluation using χ2 verification had a problem because the result values were affected by the sample size. Hence, it was not selected as the sole verification method of the model. In this study, the TLI, CFI, incremental fit index (IFI), goodness-of-fit index (GFI), and RMSEA were selected to verify the model. A model fit is deemed acceptable when the values of TLI, CFI, IFI, or GFI are above 0.90 and the value of RMSEA is less than 0.08 [35]. The analysis results suggested that the values of TLI and CFI were above 0.9, and the RMSEA value was less than 0.1, which displayed a good fit (Table 2). Each factor’s reliability coefficients ranged from 0.638 to 0.885, which was above 0.6, suggested by DeVellis [36] as sufficient to confirm the reliability of the factors’ items. Validity analysis includes convergent validity and discriminant validity. Convergent validity indicates the degree to which the measurement items reflect the construct and can be achieved when each factor loadings are greater than 0.5 [37]. Table 2 shows that the factor loadings of measurements were greater than 0.479. On the other hand, the average variance extracted (AVE) for all constructs ranged between 0.553 and 0.748, which exceeded the minimum of 0.50, confirming the convergent validity of all measurement models suggested.
This study was conducted to verify the discriminant validity, which refers to the degree each construct differs from the others. Based on the research conducted by Fornell and Larcker [38], AVE using correlation coefficients of two random constructs to verify discriminant validity was calculated. The analysis showed that the AVE values were higher than the correlation coefficients, confirming the discriminant validity.

4. Data Processing Method

Empirical data analysis was conducted on 392 completed questionnaires using SPSS 18.0 (SPSS Inc., Chicago, IL, USA) and AMOS 20.0 (IBM Co., Armonk, NY, USA). First, a frequency analysis was carried out in order to understand the demographic and other general characteristics of the research subject. Second, Cronbach’s alpha coefficient was calculated to determine the reliability of the survey items’ concepts to be measured through internal consistency and operational definitions.
Third, a confirmatory factor analysis was conducted to verify the validity of the measurement tools derived from examining previous studies. Fourth, descriptive statistical analysis was performed for normality testing to check the skewness and kurtosis of each variable. Fifth, the correlations and directions between variables were analyzed before examining the research hypotheses. Sixth, a structural equation model analysis was carried out for hypotheses verification suggested in this study. Seventh, to verify the mediating effect of tourist destination identification in the relationship between social responsibility and ERB of marine sports tourism destinations, the SPSS macro PROCESS Model 4 suggested by Hayes [39] was used.

5. Research Results

5.1. Normality Test

In this research, the estimation of the measurement model and the structural model was performed by the maximum likelihood method, while skewness and kurtosis were analyzed to determine normality. According to the analysis results in Table 3, the skewness values were between −0.168 and 0.148, while the kurtosis values were between −0.883 and 0.092. These results can be interpreted as confirming normality by satisfying the criteria of skewness ± 2 and kurtosis ± 4.

5.2. Correlation Analysis Results

Table 4 presents the results of calculating the Pearson correlation coefficient to examine the correlations between factors. The correlations between all factors were statistically significant at the significance level of p < 0.01, which was lower than 0.8, indicating no multicollinearity problem.

6. Hypotheses Validation

The research model was verified through the structural equation model analysis, and the fit of the model was tested (see Table 5). The maximum likelihood (ML) method was used to estimate the model. The fit test results for the model showed that χ2 = 256.278 (p = 0.000), df = 74, GFI = 0.910, RMR = 0.030, TLI = 0.894, RMSEA = 0.079, CFI = 0.914, and IFI = 0.915. A model is deemed acceptable when the GFI, IFI, and CFI indices used for the assessment of the model are above 0.8–0.9, and when the RMR is below 0.05–0.08 [35]. Hence, it was decided that the research hypotheses and the research model suggested in this study were sufficient for explaining the empirical data.
The significance of the paths set for analyzing the causal relationships between variables in this study was verified and analyzed (Table 6). First, the analysis results of (H1, H2, H3), according to which the social responsibility perceived by marine sports participants will positively influence the tourist destination identification, showed that the path coefficients were 0.175–0.228 and the t values were 3.055–3.894, indicating a statistically significant (p < 0.01) positive effect. It can be interpreted that marine sports participants who are highly aware of the social responsibility of tourist destinations have high tourist destination identification. Second, the analysis results of (H4, H5, H6), according to which tourist DSR perceived by marine sports participants will positively influence the ERB, showed that path coefficients were 0.143–0.307, and t values were 2.954–5.867, indicating a statistically significant positive effect (p < 0.01). It can be interpreted that marine sports participants who are highly aware of the social responsibility of tourist destinations have high environmentally responsible behavior.
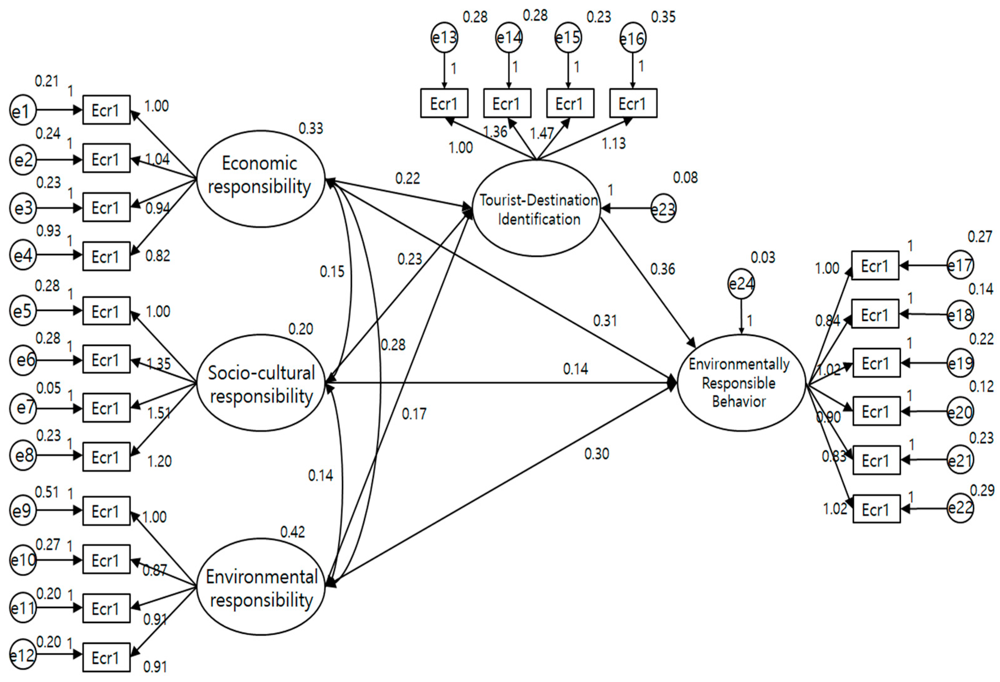
Third, the analysis results of (H7), according to which the tourist destination identification of marine sports participants will positively affect the ERB, showed that the path coefficient was 0.358 and the t value was 4.789, indicating a statistically significant positive effect (p < 001). It can be interpreted that marine sports participants with a high identification of tourist destinations have high environmental responsibility behavior. (see Figure 2, Table 7).
In addition, to determine whether the size of the mediating effect was statistically significant, the bootstrapping results revealed that the lower limit confidence interval (LLCI) of the 95% confidence interval was 0.126, and the upper limit confidence interval (ULCI) was 1.132. Therefore, the indirect effect of tourist destination identification was statistically significant based on Hayes’ [40] argument that if there was no zero (0) between the lower and upper bounds, an indirect effect could exist. In particular, according to the research result that tourist DSR perceived by tourists positively affected the ERB, it could be seen that the tourist destination identification partially mediated the relationship between the two factors.
Next, Table 8 shows how the impact of DSR on ERB is mediated via the effect of tourist destination trust. First, the interaction term between economic responsibility and tourist destination trust positively impacts ERB (B = 0.175, p < 0.001). Second, the interaction term between environmental responsibility and tourist destination trust positively affects ERB (B = 0.207, p < 0.001). Third, the interaction term between environmental responsibility and tourist destination trust positively impacts ERB (B = 0.207, p < 0.001).)
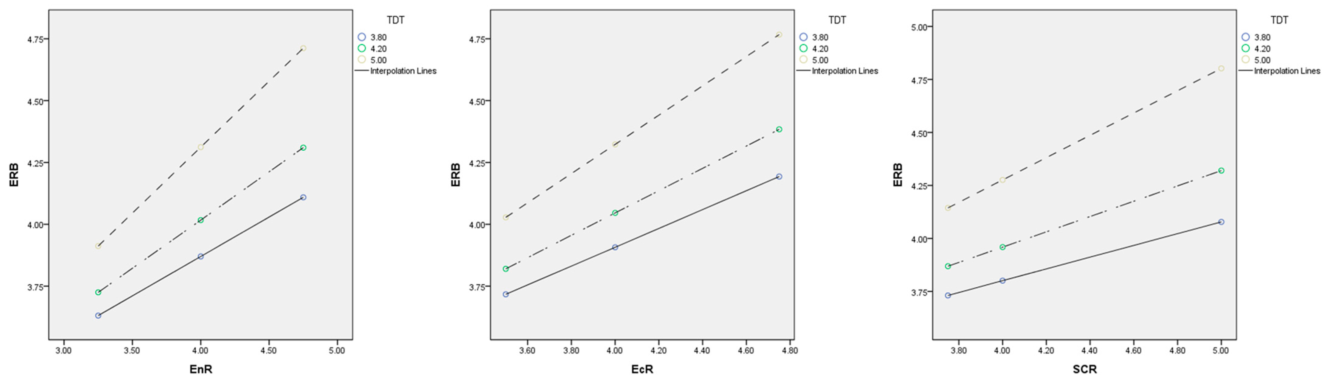
The significance of the simple regression line was examined in order to verify the statistical significance and to verify the mediated effect between tourist DSR and ERB with the average value of tourist destination trust and an average value of ±1 SD. When the influence that the social responsibility of tourist destination has on ERB was in accordance to the level of tourist destination trust, the tourist destination trust did not include 0 between the lowest and highest values in the low level (B = 0.278–0.381, p < 0.001), medium level (B = 0.361–0.451, p < 0.001), or high level (B = 0.527–0.591, p < 0.001), which confirms its significance. According to Figure 3, as tourist destination trust decreased, the slope between tourist DSR and ERB increased. It was found that the lower the tourist destination trust, the higher the ERB due to the increase in tourist DSR.

7. Discussion and Conclusions

7.1. Discussion

This study attempted to investigate the structural relationship between tourist destination identification and ERB based on the socially responsible behavior of a marine sports tourist destination. The discussion according to the research results is as follows. First, marine sports tourist DSR positively affected tourist destination identification and ERB, and tourist destination identification positively affected ERB. In connection to this, Rodríguez and Cruz [41] argued that socially responsible behavior affects the positive behaviors of tourists. In addition, Hassan and Soliman [42] examined the relationship between social responsibility and destination identification. Their studies demonstrated that social responsibility was positively related to destination identification, which is in line with the outcomes of this study. Regarding the relationship between marine sports tourist DSR and ERB, the socially responsible behavior of a tourist destination can lead to positive behaviors of marine sports tourists through feedback actions such as tourism development support and ERB [5]. In other words, marine sports DSR can influence positive behaviors such as ERB. In addition, Florek [43] and Jorgensen and Stedman [44] argued that the identification between people and places could be explained by an affection for the place. Affection for the place is a good predictor of ERB [45,46,47]. In addition, tourists’ identification with the place increases ERB at destinations [48,49,50].
Therefore, the results of this study imply that the stakeholders related to marine sports tourist destinations should increase their support to fulfill their social responsibility for tourist destinations and focus their efforts on incorporating it into their long-term strategy. With the combined efforts of the local authorities and businesses to provide a broader range of marine sports services in tourist destinations, the experiences available for marine sports tourists will be diversified. In addition, a comprehensive communication program for a marine sports tourist destination should be developed to enhance the marine sports tourists’ perception of socially responsible behaviors in the destination. It was argued that tourist destinations should focus on local identities and build a coherent brand image [16]. Given the hedonistic nature of marine sports tourism, feelings about tourist destinations can influence tourist behavior. Consequently, this will allow marine sports tourism officials to elicit positive emotions from marine sports participants and reduce negative emotions. In addition, by focusing on socially responsible activities of tourist destinations, it will be possible to induce positive tourist behavior in the future.
Second, the impact of marine sports tourist DSR on ERB was mediated via tourist destination identification. Related to this, Su and Swanson [3] confirmed that, in the tourist destination context, tourist destination identification mediates DSR in influencing ERB. Furthermore, Hu, Tuou, and Liu [51] examined the relationship between tourist DSR and ERB mediated by the affection for a place and found that the relationship between DSR and ERB was mediated via the influence of the affection for a specific place. In addition, the study that showed that identification with a place mediated the effect of perceived corporate social responsibility (CSR) activities on customers’ positive behavior supports the outcome of this study [23,52,53,54,55]. These results support the findings of previous studies, according to which tourist destination identification is an important strategy for the success and existence of a marine sports tourist destination in a competitive market, such as the domestic tourism industry [23,52,56]. As a result, it will serve as the criteria for choosing a specific marine sports tourist destination, as the social responsibility of stakeholders in marine sports tourism destinations increases the identification of tourists with marine sports areas.
Third, tourist destination trust reinforces the impact of marine sports tourist DSR on ERB. Many researchers attempted to understand the gap between environmental attitudes, perceptions, and behaviors, as well as the factors that influenced environmentally friendly behaviors, and found that many variants, from limitations in time and finances to values and belief systems, could potentially promote or hinder ERB [15,46,57,58,59]. In other words, researchers continuously investigated human attitudes, perceptions, and behaviors towards the environment as solutions for minimizing the negative influence on the environment while encouraging beneficial effects, and they tried to find out how human values and beliefs affect environmentally friendly behaviors through diverse causes [46,57].
The cognition represents beliefs and knowledge, whereas emotion represents emotional responses (feeling and mood). In previous research, the environmental awareness dimension was composed of environmental knowledge, perception, and interest [60]. Therefore, the marine sports tourists’ perceptions of ERB could be affected by knowledge about, perceptions of, and interest in the environment. It means that environmentally friendly behaviors can be assessed based on knowledge about, perceptions of, and interests in the environment. These factors can affect personal emotions, such as trust in the tourist destination, which encourages ERB.
Tourist destination trust is a precedent factor for maintaining a continuous and long-term relationship with the tourist destination, which is, in turn, a vital precedent factor for inducing ERB. It was suggested that marine sports tourists form their loyalty to a specific destination via their trust in hospitality, management, and problem-solving abilities [61]. The overall impression of a marine sports tourism destination is the basis for a positive or negative emotional judgment of a tourist. The fact that a tourist maintains a favorable attitude toward a marine sports tourist destination implies that the tourist has already formed a favorable preference for that destination, which means that the tourist would be willing to exhibit positive behavior toward that tourist destination. Hence, positive behavior toward a marine sports tourist destination can be regarded as the consequence of the trust that a tourist has in the diverse characteristics of the marine sports tourist destination.
Forming the positive behaviors of tourists according to social responsibility activities of marine sports destinations in a short time is difficult. Therefore, scholars must focus on researching socially responsible behaviors in marine sports tourist destinations. Often, tourists do not view the socially responsible behaviors of marine sports tourist destinations as positive local activities but as profit-generation activities. This implies that the socially responsible behavior of a tourist destination does not correspond to the purpose pursued by the destination. Therefore, significant improvements are needed for marine sports tourist destinations’ socially responsible behaviors, and socially responsible behaviors corresponding to a marine sports tourist destination are required to encourage tourists’ ERB. Marine sports tourist destinations’ socially responsible behaviors for local development are becoming more of a necessity than a choice. From a long-term perspective, making efforts to induce positive and environmentally responsible behaviors of tourists and engaging in socially responsible behaviors following the goals pursued by the local community is essential.

7.2. Conclusions

This study aimed to investigate the structural relationship between tourist destination identification based on the social responsibility activities of a marine sports tourist destination and ERB, with visitors of marine sports tourist destinations as the research subjects after the reactivation of domestic travel post-COVID-19. Marine sports tourists, or visitors who visited domestic marine sports tourist destinations within a year, were chosen as research subjects. As per the sampling method, cities known as marine sports tourist destinations located in Gangwon-do, South Korea, were visited for two months from August 2021. As a result, 400 tourists participating in marine sports were recruited as research participants by a convenient sampling method. The questionnaires were distributed and collected online and offline, and 392 completed questionnaires were used for data analysis. For data processing, SPSS 18.0 and AMOS 20.0 were used for frequency analysis, confirmatory factor analysis, reliability analysis, descriptive statistical analysis, correlation analysis, and structural equation model analysis. SPSS macro-PROCESS was used for mediating effects analysis.
According to the analysis results, it was found that marine sports tourist DSR positively affected destination identification and ERB, and that tourist destination identification positively influenced ERB. Second, it was shown that the effect of the social responsibility of a marine sports tourist destination on ERB is mediated via the influence of tourist destination identification. This implies that the socially responsible behavior of a marine sports tourist destination requires significant improvement and that the socially responsible behavior of a marine sports tourist destination should encourage tourists’ ERB. Furthermore, marine sports tourist destinations’ socially responsible behavior has become more of a necessity than a choice for local development. This implies a need for long-term efforts to stimulate diverse positive behaviors alongside tourists’ ERB and perform socially responsible behaviors that suit the purposes pursued by local communities.
While this study has several implications regarding the social responsibility of marine sports tourist destinations, it has some limitations. The limitations of this study and the directions for potential follow-up research are summarized below. First, the research subjects of this study were marine sports tourists in Gangwon-do, South Korea. However, additional research on the social responsibility of a tourist destination perceived by clients who visited it for reasons other than participating in marine sports is needed. In addition, it is expected that including more marine sports regions in addition to Gangwon-do, such as Namhae, Yellow Sea, or Jeju Island, would make future research more meaningful.
Second, the social responsibility of a marine sports tourist destination was selected as the antecedent variable in this research. However, due to the lack of research on DSR in South Korea’s sports tourism industry, this research utilized questionnaires developed, used, and measured abroad. Regions’ socially responsible behaviors and stakeholders differ from country to country, and the development of DSR criteria corresponding to South Korea’s situation is required for future research.
Third, this research was conducted with tourists who recently visited marine sports tourist destinations as research subjects, assuming that they were interested in socially responsible behavior. However, there is a limitation in that the research results could differ depending on the degree of understanding of the social responsibility behavior of tourism development entities perceived by marine sports tourists.

Author Contributions

Conceptualization, J.S. and J.K.; methodology, J.S.; software, J.K.; validation, J.S. and J.K.; formal analysis, J.S.; investigation, J.K.; resources, J.S. and J.K.; data curation, J.S.; writing—original draft preparation, J.S. and J.K.; writing—review and editing, J.S. and J.K.; visualization, J.S. and J.K.; supervision, J.S. and J.K.; project administration, J.S. and J.K. All authors have read and agreed to the published version of the manuscript.

Funding

This research received no external funding.

Institutional Review Board Statement

Not applicable.

Informed Consent Statement

Not applicable.

Data Availability Statement

Not applicable.

Conflicts of Interest

The authors declare no conflict of interest.

References

  1. UNWTO. International Tourism and COVID-19. 2021. Available online: https://www.unwto.org/international-tourism-and-covid-19 (accessed on 15 December 2022).
  2. Todman-Lewis, C.V. Strategies for Crisis Preparedness of Tourist Destinations. Ph.D. Thesis, Walden Dissertations and Doctoral Studies, Walden University,, Minneapolis, MN, USA, 2017; p. 3327. Available online: https://scholarworks.waldenu.edu/dissertations/3327 (accessed on 1 December 2022).
  3. Su, L.; Swanson, S.R. The effect of destination social responsibility on tourist environmentally responsible behavior: Compared analysis of first-time and repeat tourists. Tour. Manag. 2017, 60, 308–321. [Google Scholar] [CrossRef]
  4. Su, L.; Wang, L.; Law, R.; Chen, X.; Fong, D. Influences of destination social responsibility on the relationship quality with residents and destination economic performance. J. Travel Tour. Mark. 2017, 34, 488–502. [Google Scholar] [CrossRef]
  5. Su, L.; Huang, S.; Pearce, J. How does destination social responsibility ntricobute to environmentally responsible behaviour? A destination resident perspective. J. Bus. Res. 2018, 86, 179–189. [Google Scholar] [CrossRef]
  6. Su, L.; Huang, S.; Huang, J. Effects of Destination Social Responsibility and Tourism Impacts on Residents’ Support for Tourism and Perceived Quality of Life. J. Hosp. Tour. Res. 2016, 42, 1039–1057. [Google Scholar] [CrossRef]
  7. Nunkoo, R.; Ramkissoon, H. Developing a community support model for tourism. Ann. Tour. Res. 2011, 38, 964–988. [Google Scholar] [CrossRef]
  8. Nunkoo, R.; Gursoy, D.; Juwaheer, T.D. Island residents’ identities and their support for tourism: An integration of two theories. J. Sustain. Tour. 2010, 18, 675–693. [Google Scholar] [CrossRef]
  9. Byrd, E.T.; Bosley, H.E.; Dronberger, M.G. Comparisons of stakeholder perceptions of tourism impacts in rural eastern North Carolina. Tour. Manag. 2009, 30, 693–703. [Google Scholar] [CrossRef]
  10. Li, S.; Liu, M.; Wei, M. Host sincerity and tourist environmentally responsible behavior: The mediating role of tourists’ emotional solidarity with hosts. J. Destin. Mark. Manag. 2021, 19, 100548. [Google Scholar] [CrossRef]
  11. Han, H.; Yoon, H.J. Hotel customers’ environmentally responsible behavioral intention: Impact of key constructs on decision in green consumerism. Int. J. Hosp. Manag. 2015, 45, 22–33. [Google Scholar] [CrossRef]
  12. Han, H.; Jae, M.; Hwang, J. Cruise travelers’ environmentally responsible decision-making: An integrative framework of goal-directed behavior and norm activation process. Int. J. Hosp. Manag. 2016, 53, 94–105. [Google Scholar] [CrossRef]
  13. Tezer, A.; Bodur, H.O. The Greenconsumption Effect: How Using Green Products Improves Consumption Experience. J. Consum. Res. 2020, 47, 25–39. [Google Scholar] [CrossRef]
  14. Lee, T.H. How recreation involvement, place attachment and conservation commitment affect environmentally responsible behavior. J. Sustain. Tour. 2011, 19, 895–915. [Google Scholar] [CrossRef]
  15. Schultz, P.W. New Environmental Theories: Empathizing With Nature: The Effects of Perspective Taking on Concern for Environmental Issues. J. Soc. Issues 2000, 56, 391–406. [Google Scholar] [CrossRef]
  16. Stren, P.C. Toward a coherent theory of environmentally significant behaviour. J. Soc. Issues 2000, 56, 407–424. [Google Scholar] [CrossRef]
  17. Kollmuss, A.; Agyeman, J. Mind the gap: Why do people act environmentally and what are the barriers to pro-environmental behavior? Environ. Educ. Res. 2002, 8, 239–260. [Google Scholar] [CrossRef]
  18. Sheldon, P.J.; Park, S.-Y. An Exploratory Study of Corporate Social Responsibility in the U.S. Travel Industry. J. Travel Res. 2011, 50, 392–407. [Google Scholar] [CrossRef]
  19. Su, L.; Huang, S.; Pearce, J. Toward a model of destination resident–Environment relationship: The case of Gulangyu, China. J. Travel Tour. Mark. 2019, 36, 469–483. [Google Scholar] [CrossRef]
  20. Su, L.; Lian, Q.; Huang, Y. How do tourists’ attribution of destination social responsibility motives impact trust and intention to visit? The moderating role of destination reputation. Tour. Manag. 2020, 77, 103970. [Google Scholar] [CrossRef]
  21. Perez, A.; Rodriguez del Bosque, I. An integrative framework to understand how CSR affects customer loyalty through identification, emotions, and satisfaction. J. Bus. Ethics 2015, 129, 571–584. [Google Scholar] [CrossRef]
  22. Scott, S.G.; Lane, V.R. A stakeholder approach to organizational identity. Acad. Manag. Rev. 2000, 25, 43–62. [Google Scholar] [CrossRef]
  23. Keh, H.T.; Xie, Y. Corporate reputation and customer behavioral intentions: The roles of trust, identification and commitment. Ind. Mark. Manag. 2009, 38, 732–742. [Google Scholar] [CrossRef]
  24. Mohammed Abubakar, A. Does eWOM influence destination trust and travel in tention: A medical tourism perspective. Econ. Res. Ekon. Istraživanja 2016, 29, 598–611. [Google Scholar] [CrossRef]
  25. Ekinci, Y.; Hosany, S. Destination Personality: An Application of Brand Personality to Tourism Destinations. J. Travel Res. 2006, 45, 127–139. [Google Scholar] [CrossRef]
  26. Roodurmun, J.; Juwaheer, T.D. Influence of Trust on Destination Loyalty: An Empirical Analysis the Discussion of the Research Approach. Int. Res. Symp. Serv. Manag. 2010, 7, 24–27. [Google Scholar]
  27. Vlachos, P.A.; Theotokis, A.; Panagopoulos, N.G. Sales force reactions to corporate social responsibility: Attributions, outcomes, and the mediating role of organizational trust. Ind. Mark. Manag. 2010, 39, 1207–1218. [Google Scholar] [CrossRef]
  28. Artigas, E.M.; Yrigoyen, C.C.; Moraga, E.T.; Villalón, C.B. Determinants of trust towards tourist destinations. J. Destin. Mark. Manag. 2017, 6, 327–334. [Google Scholar] [CrossRef]
  29. Su, L.; Pan, Y.; Chen, X. Corporate social responsibility: Findings from the Chinese hospitality industry. J. Retail. Consum. Serv. 2017, 34, 240–247. [Google Scholar] [CrossRef]
  30. So, K.K.F.; King, C.; Sparks, B.A.; Wang, Y. The influence of customer brand identification on hotel brand evaluation and loyalty development. Int. J. Hosp. Manag. 2013, 34, 31–41. [Google Scholar] [CrossRef]
  31. Mael, F.; Ashforth, B.E. Alumni and their alma matter: A partial test of the reformulated model of organization identification. J. Organ. Behav. 1992, 13, 103–123. [Google Scholar] [CrossRef]
  32. Alwi, S.F.S.; Kitchen, P.J. Projecting corporate brand image and behavioral response in business schools: Cognitive or affective brand attributes? J. Bus. Res. 2014, 67, 2324–2336. [Google Scholar] [CrossRef]
  33. Smith-Sebasto, N.J.; D’Costa, A. Designing a Likert-Type Scale to Predict Environmentally Responsible Behavior in Undergraduate Students: A Multistep Process. J. Environ. Educ. 1995, 27, 14–20. [Google Scholar] [CrossRef]
  34. Thapa, B. The Mediation Effect of Outdoor Recreation Participation on Environmental Attitude-Behavior Correspondence. J. Environ. Educ. 2010, 41, 133–150. [Google Scholar] [CrossRef]
  35. Hu, L.T.; Bentler, P.M. Cutoff criteria for fit indexes in covariance structure analysis: Conventional criteria versus new alternatives. Struct. Equ. Model. 1999, 6, 1–55. [Google Scholar] [CrossRef]
  36. DeVellis, R.F. Scale Development: Theory and Applications, 3rd ed.; Sage Publications: Saunders Oaks, CA, USA, 2012; pp. 50–100. [Google Scholar]
  37. Anderson, J.C.; Gerbing, D.W. Structural equation modeling in practice: A review and recommended two-step approach. Psychol. Bull. 1988, 103, 411–423. [Google Scholar] [CrossRef]
  38. Fornell, C.; Larcker, D.F. Evaluating structural equation models with unobservable variables and measurement error. J. Mark. Res. 1981, 18, 39–50. [Google Scholar] [CrossRef]
  39. Hayes, A.F. Introduction to Mediation, Moderation, and Conditional Process Analysis: A Regression-Based Approach; Guilford Publications: New York, NY, USA, 2018. [Google Scholar]
  40. Hayes, A.F. Methodology in the Social Sciences. Introduction to Mediation, Moderation, and Conditional Process Analysis: A Regression-Based Approach; Guilford Press: New York, NY, USA, 2013. [Google Scholar]
  41. Rodríguez, F.J.G.; Cruz, Y.D.M.A. Relation between social-environmental responsibility and performance in hotel firms. Int. J. Hosp. Manag. 2007, 26, 824–839. [Google Scholar] [CrossRef]
  42. Hassan, S.B.; Soliman, M. COVID-19 and repeat visitation: Assessing the role of destination social responsibility, destination reputation, holidaymakers’ trust and fear arousal. J. Destin. Mark. Manag. 2021, 19, 100495. [Google Scholar] [CrossRef]
  43. Florek, M. No place like home: Perspectives on place attachment and impacts on city management. J. Town City Manag. 2011, 1, 346–354. [Google Scholar]
  44. Jorgensen, B.S.; Stedman, R.C. Sense of place as an attitude: Lakeshore owners attitudes toward their properties. J. Environ. Psychol. 2001, 21, 233–248. [Google Scholar] [CrossRef]
  45. Cheng, T.-M.; Wu, H. How do environmental knowledge, environmental sensitivity, and place attachment affect environmentally responsible behavior? An integrated approach for sustainable island tourism. J. Sustain. Tour. 2015, 23, 557–576. [Google Scholar] [CrossRef]
  46. Halpenny, E.A. Pro-environmental behaviours and park visitors: The effect of place attachment. J. Environ. Psychol. 2010, 30, 409–421. [Google Scholar] [CrossRef]
  47. Hines, J.M.; Hungerford, H.R.; Tomera, A.N. Analysis and Synthesis of Research on Responsible Environmental Behavior: A Meta-Analysis. J. Environ. Educ. 1987, 18, 1–8. [Google Scholar] [CrossRef]
  48. Carr, A. Grass Roots and Green Tape: Principles and Practices of Environmental Stewardship; Federation Press: Sydney, Australia, 2002. [Google Scholar]
  49. Harrison, C.; Burgess, J.; Clark, J. Discounted knowledges: Farmers’ and residents’ understanding of nature conservation goals and policies. J. Environ. Manag. 1998, 54, 305–320. [Google Scholar] [CrossRef]
  50. Pooley, J.; O’Connor, M. Environmental Education and Attitudes: Emotions and Beliefs Are What Is Needed. Environ. Behav. 2000, 32, 711–723. [Google Scholar] [CrossRef]
  51. Hu, B.; Tuou, Y.; Liu, J. How Does Destination Social Responsibility Impact Residents’ Pro-Tourism Behaviors? The Mediating Role of Place Attachment. Sustainability 2019, 11, 3373. [Google Scholar] [CrossRef]
  52. Bhattacharya, C.; Sen, S. Consumer–Company Identification: A Framework for Understanding Consumers’ Relationships with Companies. J. Mark. 2003, 67, 76–88. [Google Scholar] [CrossRef]
  53. He, H.; Li, Y. CSR and Service Brand: The Mediating Effect of Brand Identification and Moderating Effect of Service Quality. J. Bus. Ethics 2011, 100, 673–688. [Google Scholar] [CrossRef]
  54. He, H.; Li, Y.; Harris, L. Social identity perspective on brand loyalty. J. Bus. Res. 2012, 65, 648–657. [Google Scholar] [CrossRef]
  55. Martínez, P.; Rodriguez del Bosque, I. CSR and customer loyalty: The roles of trust, customer identification with the company and satisfaction. Int. J. Hosp. Manag. 2013, 35, 89–99. [Google Scholar] [CrossRef]
  56. Su, L.; Swanson, S.R.; Chen, X. The effects of perceived service quality on repurchase intentions and subjective well-being of Chinese tourists: The mediating role of relationship quality. Tour. Manag. 2016, 52, 82–95. [Google Scholar] [CrossRef]
  57. Bamberg, S.; Moser, G. Twenty Years after Hines, Hungerford, and Tomera: A New Meta-Analysis of Psycho-Social Determinants of Pro-Environmental Behavior. J. Environ. Psychol. 2007, 27, 14–25. [Google Scholar] [CrossRef]
  58. Blake, D.E. Contextual effects on environmental attitudes and behavior. Environ. Behav. 2001, 33, 708–725. [Google Scholar] [CrossRef]
  59. Dietz, T.; Kalof, L.; Stern, P.C. Gender, Values, and Environmentalism. Soc. Sci. Q. 2002, 83, 353–364. [Google Scholar] [CrossRef]
  60. Xue, J.; Li, J.; Sun, C.; Zhao, S.; Mao, J.; Dong, D.; Li, Y.; Feng, J. Decadal-scale teleconnection between South Atlantic SST and southeast Australia surface air temperature in austral summer. Clim. Dyn. 2018, 50, 2687–2703. [Google Scholar] [CrossRef]
  61. Sirdeshmukh, D.; Singh, J.; Sabol, B. Consumer Trust, Value, and Loyalty in Relational Exchanges. J. Mark. 2002, 66, 15–37. [Google Scholar] [CrossRef]
Figure 1. Research model.
Figure 1. Research model.
Sustainability 15 07739 g001
Figure 2. Structural model results.
Figure 2. Structural model results.
Sustainability 15 07739 g002
Figure 3. Moderating role tourist destination trust.
Figure 3. Moderating role tourist destination trust.
Sustainability 15 07739 g003
Table 1. Demographic structures of respondents.
Table 1. Demographic structures of respondents.
FactorCategoryFrequencyPercentage
GenderMale27870.9
Female11429.1
AgeBelow 30 years old4611.7
31–5028873.5
Above 51 years old5814.8
Participation period5 years or less51.3
5–10 years16742.6
10–15 years12331.4
15–20 years4411.2
20 years or more5313.5
Participation activitySkin and scuba diving19349.2
Surfing16341.6
Others(Snorkeling, windsurfing, jet ski)369.2
Number of visitsOnce153.8
2–4 times16742.6
5–6 times12331.4
7–9 times348.7
10 times or more5313.5
Total392100.0
Table 2. Results of the measurement models.
Table 2. Results of the measurement models.
FactorItemBβsdtαC. R.AVE
EnREnvironmentally responsible10.846 0.7270.8260.553
Conservation of local environmental resources1.0470.8560.05519.116
Waste disposal for the protection of the local environment0.8550.7530.05216.426
Reduction of negative impact on the environment0.7340.4790.0789.465
SCRProvision of various benefits to the local residents10.689 0.8410.8940.682
Improvement of infrastructure for the local residents1.4160.8490.09115.482
Learning and experiencing local traditions and culture1.4270.9460.08616.651
Respecting and communicating with the local residents1.2440.7790.08714.316
EcRPurchased food helps the local economy10.657 0.8270.8690.629
Purchased products help the local residents0.8440.6920.07411.374
Accommodation helps the local economy0.9340.7960.07412.566
Return of profits to the local community0.8490.7550.0712.141
ERBComplying with rules not to harm the environment10.689 0.8730.9270.680
Reporting environmental pollution and destruction to the administration0.7840.6790.06412.259
Putting waste in waste bins0.9960.7570.07413.535
Willingness to participate in activities to improve the environment0.9370.8060.06614.297
Efforts to convince others to protect the environment0.8480.6770.06912.229
Efforts not to harm flora and fauna1.0580.7180.08212.895
TDIInterested in opinions on the destination10.639 0.7770.8750.639
Considering the destination’s success as their own1.2860.7370.11111.626
Perceiving the destination’s praise as a personal compliment1.4320.8110.11612.326
Embarrassment when the destination is criticized1.0370.6410.09910.464
TDTThinking that a visited destination can be trusted10.683 0.8860.9370.748
Visited tourist destinations manage tourists’ personal information of tourists well0.9620.7540.07213.383
Thinking that visited destinations sell honestly1.0380.8150.07314.315
Visited destinations tend to keep their promises to tourists1.0370.8380.07114.63
Visited tourist destinations are operated with clear standards and principles1.1580.7500.08713.319
χ2 = 613.603, df = 309, p = 0.000, TLI = 0.938, CFI = 0.945, IFI = 0.946, GFI = 0.896, RMSEA = 0.050, SRMR = 0.0536.
Note. EnR = environmental responsibility; SCR = sociocultural responsibility; EcR = economic responsibility; ERB = environmentally responsible behavior; TDI = tourist destination identification; TDT = tourist destination trust.
Table 3. Descriptive statistics.
Table 3. Descriptive statistics.
FactorNMSDSkewnessKurtosis
MSDMSD
Environmental responsibility3924.0000.624−0.3430.1230.0920.246
Sociocultural responsibility3924.2140.573−0.1860.123−0.8830.246
Economic responsibility3924.0630.657−0.4390.123−0.1060.246
Environmentally responsible behavior3924.0310.571−0.0760.123−0.1650.246
Tourist destination identification3924.2970.532−0.2310.123−0.5500.246
Tourist destination trust3924.1140.5300.1480.123−0.5990.246
Table 4. Correlation coefficients.
Table 4. Correlation coefficients.
Environmental ResponsibilitySociocultural ResponsibilityEconomic ResponsibilityEnvironmentally Responsible BehaviorToursit Destination IdentificationTourist Destination Trust
Environmental responsibility1
Sociocultural responsibility0.5321
Economic responsibility0.3760.2331
Environmentally responsible behavior0.4850.2450.5871
Tourist destination identification0.3470.2770.4260.5971
Tourist destination trust0.4510.4000.4490.5940.5561
Table 5. Goodness-of-fit verification.
Table 5. Goodness-of-fit verification.
χ2dfχ2/dfRMSEAGFIIFIRMRTLICFISRMR
657.5551993.3040.0770.8710.9030.0330.8870.9030.0540
Acceptance criteria--Under 3Under 0.08Over 0.8–0.9Over 0.8–0.9Under 0.05–0.08Over 0.8–0.9Over 0.8–0.9Under 0.1
Table 6. Mediating effect of tourist destination identification analysis.
Table 6. Mediating effect of tourist destination identification analysis.
CoeffsetpLLCIULCI
Constant0.8900.1237.2420.0000.6481.132
EcR0.4190.02814.9440.0000.3640.474
TDI0.3770.03211.6720.0000.3140.441
R2 = 0.651, F = 362.236, p = 0.000
Direct effectEffectsetpLLCIULCI
0.4190.02814.9440.0000.3640.474
Indirect effectEffectBootSE BootLLCIBootULCI
0.1670.022 0.1260.212
coeffsetpLLCIULCI
Constant0.8010.1196.7170.0000.5671.036
EnR0.4750.02916.5120.0000.4190.532
TDI0.3500.03111.1410.0000.2890.412
R2 = 0.677, F = 407.073, p = 0.000
Direct effectEffectsetpLLCIULCI
0.4750.02916.5120.0000.4190.532
Indirect effectEffectBootSE BootLLCIBootULCI
0.1680.022 0.1290.213
coeffsetpLLCIULCI
Constant0.8190.1455.6690.0000.5351.104
SCR0.3920.03710.7450.0000.3200.464
TDI0.4070.03711.1190.0000.3350.479
R2 = 0.576, F= 264.155, p= 0.000
Direct effectEffectsetpLLCIULCI
0.3920.03710.7450.0000.3200.464
Indirect effectEffectBootSE BootLLCIBootULCI
0.2220.027 0.1700.277
Table 7. Hypothesis verification results.
Table 7. Hypothesis verification results.
HypothesisPath of Latent VariablesBβSEtp
(H1)EcR→TDI0.2200.3130.0723.0350.002
(H2)SCR→TDI0.2280.2540.0593.8940.000
(H3)EnR→TDI0.1750.2800.0573.0550.002
(H4)EcR→ERB0.3070.3340.0634.8450.000
(H5)SCR→ERB0.1430.1210.0482.9540.003
(H6)EnR→ERB0.3040.3730.0525.8670.000
(H7)TDI→ERB0.3580.2730.0754.7890.000
Table 8. Moderating effect of trust on tourist destinations and results of bootstrapping.
Table 8. Moderating effect of trust on tourist destinations and results of bootstrapping.
CoeffSetpLLCI *ULCI **
constant3.7260.8004.6580.0002.1545.299
EcR−0.2840.203−1.4040.161−0.6830.114
TDT−0.3530.189−1.8700.062−0.7250.018
Int_10.1750.0473.7640.0000.0840.267
R2 = 0.663, F= 254.905, p = 0.000
TDTEffectsetpLLCI *ULCI **
−1 SD0.3810.0399.7800.0000.3040.457
Mean0.4510.03114.3430.0000.3890.513
+1 SD0.5910.04513.1850.0000.5030.679
R2 = 0.012, F = 14.167, p = 0.000
coeffsetpLLCI *ULCI **
constant4.3371.0584.0980.0002.2576.418
EnR−0.5100.254−2.0090.045−1.010−0.011
TDT−0.4340.247−1.7560.080−0.9190.052
Int_10.2070.0583.5760.0000.0930.321
R2 = 0.589, F = 185.141, p = 0.000
TDTEffectsetpLLCI *ULCI **
−1 SD0.2780.0485.8250.0000.1840.371
Mean0.3610.0379.7390.0000.2880.434
+1 SD0.5270.0539.9550.0000.4230.631
R2 = 0.014, F= 12.786, p= 0.000
coeffsetpLLCI *ULCI **
constant3.9110.8114.8240.0002.3175.505
SCR−0.3600.200−1.7980.073−0.7550.034
TDT−0.3460.191−1.8120.071−0.7220.029
Int_10.1790.0463.8870.0000.0880.269
R2 = 0.642, F = 232.094, p = 0.000
TDTEffectsetpLLCI *ULCI **
−1 SD0.3190.0388.4060.0000.2440.393
Mean0.3900.03012.9280.0000.3310.450
+1 SD0.5330.04312.2700.0000.4480.619
R2 = 0.014, F = 15.109, p = 0.000
* Lower limit confidence interval, ** Upper limit confidence interval, Dependent variable: Leisure life satisfaction.
Disclaimer/Publisher’s Note: The statements, opinions and data contained in all publications are solely those of the individual author(s) and contributor(s) and not of MDPI and/or the editor(s). MDPI and/or the editor(s) disclaim responsibility for any injury to people or property resulting from any ideas, methods, instructions or products referred to in the content.

Share and Cite

MDPI and ACS Style

Song, J.; Kang, J. The Relationship between Marine Sports Tourist Destinations, Social Responsibility, and Environmentally Responsible Behavior. Sustainability 2023, 15, 7739. https://doi.org/10.3390/su15107739

AMA Style

Song J, Kang J. The Relationship between Marine Sports Tourist Destinations, Social Responsibility, and Environmentally Responsible Behavior. Sustainability. 2023; 15(10):7739. https://doi.org/10.3390/su15107739

Chicago/Turabian Style

Song, Jeongmyeong, and Jihyun Kang. 2023. "The Relationship between Marine Sports Tourist Destinations, Social Responsibility, and Environmentally Responsible Behavior" Sustainability 15, no. 10: 7739. https://doi.org/10.3390/su15107739

APA Style

Song, J., & Kang, J. (2023). The Relationship between Marine Sports Tourist Destinations, Social Responsibility, and Environmentally Responsible Behavior. Sustainability, 15(10), 7739. https://doi.org/10.3390/su15107739

Note that from the first issue of 2016, this journal uses article numbers instead of page numbers. See further details here.

Article Metrics

Back to TopTop