Scoping Review (SR) via Text Data Mining on Water Scarcity and Climate Change
Abstract
1. Introduction
2. Materials and Methods
2.1. Research Approach
2.2. Data Collection and Analysis
2.2.1. Dataset
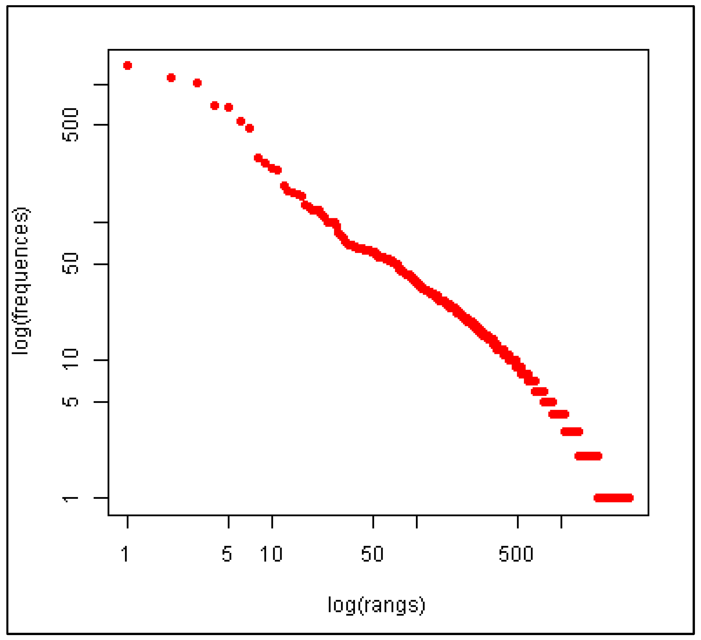
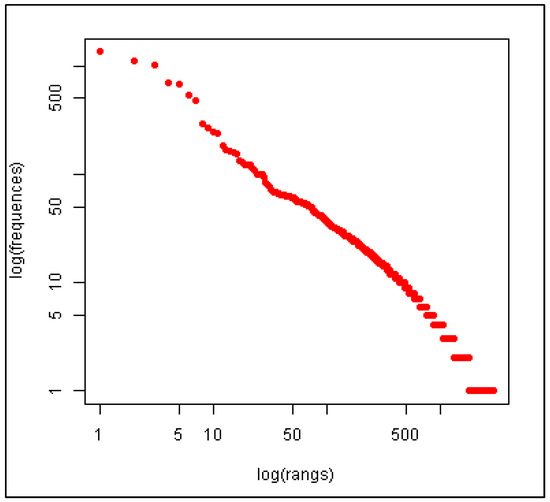
2.2.2. Lexicometric Analysis
2.2.3. Cluster Analysis using Reinert’s Method
3. Results
3.1. Descriptive Results
- (a)
- identifier: **** number
- (b)
- author: * author_author name
- (c)
- year: * year_number
- (d)
- source: * source_journal name
3.2. Cluster Analysis Using Reinert’s Method
- Number of texts: 127
- Number of text segments: 715
- Number of modules: 3786
- Number of occurrences: 25,719
- Number of lemmas: 2.539
- Number of supplementary modules: 397
- Number of active forms with frequency ≥ 3: 1092
- Average of shapes per segment: 35.970629
- 617 classified segments out of 715 (86.29%)
- Cluster 1 classified 251 text segments out of a total of 617 (40.68%)
- Cluster 2 classified 175 text segments out of a total of 617 (28.36%)
- Cluster 3 classified 191 text segments out of a total of 617 (30.96%)
4. Discussion and Conclusions
Author Contributions
Funding
Institutional Review Board Statement
Informed Consent Statement
Data Availability Statement
Conflicts of Interest
References
- Lucas, E.W.M.; dos Santos Silva, F.D.; de Souza, F.D.A.S.; Pinto, D.D.C.; Gomes, H.B.; Gomes, H.B.; Lins, M.C.C.; Herdies, D.L. Regionalization of Climate Change Simulations for the Assessment of Impacts on Precipitation, Flow Rate and Electricity Generation in the Xingu River Basin in the Brazilian Amazon. Energies 2022, 15, 7698. [Google Scholar] [CrossRef]
- Wilbanks, T.J. Integrating climate change and sustainable development in a place-based context. Clim. Policy 2003, 3, S147–S154. [Google Scholar] [CrossRef]
- Minenna, M.; Aversa, D. A Revised European Stability Mechanism to Realize Risk Sharing on Public Debts at Market Conditions and Realign Economic Cycles in the Euro Area. Econ. Notes 2018, 48, 12118. [Google Scholar] [CrossRef]
- Aversa, D.; Cincinelli, P. The contribution of the Italian banking system to the Italian economic and social growth in The politics of banking: Regulatory capture, thin political markets, ideology and beyond. Aracne Rome 2020, 53–84. [Google Scholar]
- Adamashvili, N.; Chiara, F.; Fiore, M. Food Loss and Waste, a global responsibility?! Econ. Agro-Aliment. 2019, 21, 825–846. [Google Scholar] [CrossRef]
- Mancosu, N.; Snyder, R.L.; Kyriakakis, G.; Spano, D. Water Scarcity and Future Challenges for Food Production. Water 2015, 7, 975–992. [Google Scholar] [CrossRef]
- Giné-Garriga, R.; Delepiere, A.; Ward, R.; Alvarez-Sala, J.; Alvarez-Murillo, I.; Mariezcurrena, V.; Sandberg, H.G.; Saikia, P.; Avello, P.; Thakar, K.; et al. COVID-19 water, sanitation, and hygiene response: Review of measures and initiatives adopted by governments, regulators, utilities, and other stakeholders in 84 countries. Sci. Total Environ. 2021, 795, 148789. [Google Scholar] [CrossRef]
- United Nations. Ensure Access to Water and Sanitation for All. Available online: https://www.un.org/sustainabledevelopment/water-and-sanitation/ (accessed on 15 October 2022).
- Seckler, D.; Barker, R.; Amarasinghe, U. Water Scarcity in the Twenty-first Century. Int. J. Water Resour. Dev. 1999, 15, 29–42. [Google Scholar] [CrossRef]
- Mianabadi, A.; Salari, K.; Pourmohamad, Y. Drought monitoring using the long-term CHIRPS precipitation over southeastern Iran. Appl. Water Sci. 2022, 12, 183. [Google Scholar] [CrossRef]
- Tschand, A. Semi-supervised machine learning analysis of crop color for autonomous irrigation. Smart Agric. Technol. 2023, 3, 100116. [Google Scholar] [CrossRef]
- Zhang, J.; Deng, M.; Yang, T.; Pang, M.; Wang, Z. Spatiotemporal pattern of reference crop evapotranspiration and its response to meteorological factors in northwest China over years 2000–2019. Environ. Sci. Pollut. Res. 2022, 29, 69831–69848. [Google Scholar] [CrossRef] [PubMed]
- Mehmood, Y.; Arshad, M.; Kächele, H. Effects of wastewater reuse on perceived health risks of farmers in pakistan: Application of the zero-inflated poisson regression model. J. Clean. Prod. 2022, 369, 133430. [Google Scholar] [CrossRef]
- Dang, X.; Li, L.; Fan, L. Spatiotemporal variation of household water consumption and coping strategies in water-stressed city of arid and semiarid northwest china. Front. Environ. Sci. 2022, 10, 1144. [Google Scholar] [CrossRef]
- Cacciuttolo, C.; Valenzuela, F. Efficient use of water in tailings management: New technologies and environmental strategies for the future of mining. Water 2022, 14, 1741. [Google Scholar] [CrossRef]
- Vila-Tojo, S.; Sabucedo, J.; Andrade, E.; Gómez-Román, C.; Alzate, M.; Seoane, G. From scarcity problem diagnosis to recycled water acceptance: A perceptive-axiological model (PAM) of low and high contact uses. Water Res. 2022, 217, 118380. [Google Scholar] [CrossRef]
- Afsari, N.; Murshed, S.B.; Uddin, S.M.N.; Hasan, M. Opportunities and barriers against successive implementation of rainwater harvesting options to ensure water security in southwestern coastal region of Bangladesh. Front. Water 2022, 4, 44. [Google Scholar] [CrossRef]
- UN. Sustainable Development Goals. 2022. Available online: https://unstats.un.org/sdgs/report/2022/The-Sustainable-Development-Goals-Report-2022.pdf (accessed on 5 December 2022).
- FAO. The State of Food and Agriculture. Overcoming Water Challenges in Agriculture. Rome. 2020. Available online: https://www.fao.org/policy-support/tools-and-publications/resources-details/en/c/1333955/ (accessed on 17 December 2022).
- UNICEF. Water Sequrity for All. 2021. Available online: https://www.unicef.org/media/95241/file/water-security-for-all.pdf (accessed on 5 December 2022).
- Word Bank. Water Overview. 2022. Available online: https://www.worldbank.org/en/topic/water/overview (accessed on 5 December 2022).
- EC. Water Scarcity: Commission Advises on Safe Water Reuse in Agriculture. 2022. Available online: https://environment.ec.europa.eu/news/water-scarcity-commission-advises-safe-water-reuse-agriculture-2022-08-03_en (accessed on 5 December 2022).
- Viala, E. What is Water Security? Available online: https://winrock.org/what-is-water-security/ (accessed on 5 December 2022).
- Tricco, A.C.; Lillie, E.; Zarin, W.; O’Brien, K.; Colquhoun, H.; Kastner, M.; Levac, D.; Ng, C.; Sharpe, J.P.; Wilson, K.; et al. A scoping review on the conduct and reporting of scoping reviews. BMC Med. Res. Methodol. 2016, 16, 15. [Google Scholar] [CrossRef]
- Reinert, M. Une methode de classification descendante hierarchique: Application a l’analyse lexicale par contexte. Les Cah. L’analyse Des Donnees 1983, 8, 187–198. [Google Scholar]
- Reinert, M. Alceste une methodologie d’analyse des donnees textuelles et une application: Aurelia de Gerard de Nerval’. Bull. Methodol. Sociol. 1990, 26, 24–54. [Google Scholar] [CrossRef]
- Rana, R.L.; Tricase, C.; De Cesare, L. Blockchain technology for a sustainable agri-food supply chain. Br. Food J. 2021, 123, 3471–3485. [Google Scholar] [CrossRef]
- Gough, D.; Oliver, S.; Thomas, J. An Introduction to Systematic Reviews; Sage: London, UK, 2012. [Google Scholar]
- Adamashvili, N.; State, R.; Tricase, C.; Fiore, M. Blockchain-Based Wine Supply Chain for the Industry Advancement. Sustainability 2021, 13, 13070. [Google Scholar] [CrossRef]
- Frankowska, M.; Błoński, K.; Mańkowska, M.; Rzeczycki, A. Research on the concept of hydrogen supply chains and power grids powered by renewable energy sources: A scoping review with the use of text mining. Energies 2022, 15, 866. [Google Scholar] [CrossRef]
- Chiarello, F.; Trivelli, L.; Bonaccorsi, A.; Fantoni, G. Extracting and mapping industry 4.0 technologies using wikipedia. Comput. Ind. 2018, 118, 244–257. [Google Scholar] [CrossRef]
- Feng, L.; Chiam, Y.; Lo, S.K. Text-Mining Techniques and Tools for Systematic Literature Reviews: A Systematic Literature Review. In Proceedings of the 24th Asia-Pacific Software Engineering Conference (APSEC), Nanjing, China, 4–8 December 2017; pp. 41–50. [Google Scholar] [CrossRef]
- O’Mara-Eves, A.; Thomas, J.; McNaught, J.; Miwa, M.; Ananiadou, S. Using text mining for study identification in systematic reviews: A systematic review of current approaches. Syst. Rev. 2015, 4, 5. [Google Scholar] [CrossRef] [PubMed]
- Grabowska, S.; Saniuk, S. Business Models in the Industry 4.0 Environment—Results of Web of Science Bibliometric Analysis. J. Open Innov. Technol. Mark. Complex. 2022, 8, 19. [Google Scholar] [CrossRef]
- Zhao, D.; Strotmann, A. Analysis and visualization of citation networks. Synth. Lect. Inf. Concepts Retrieval Serv. 2015, 7, 1–207. [Google Scholar] [CrossRef]
- Grzybowska, K.; Awasthi, A. Literature review on sustainable logistics and sustainable production for Industry 4.0. In Sustainable Logistics and Production in Industry 4.0 New Opportunities and Challenges; Grzybowska, K., Awasthi, A., Sawhney, R., Eds.; Springer: New York, NY, USA, 2020; pp. 1–19. [Google Scholar] [CrossRef]
- Cui, Q.; Xia, Y.; Wu, Q.; Chang, Q.; Niu, K.; Zhao, Y. A meta-analysis of the reproducibility of food frequency questionnaires in nutritional epidemiological studies. Int. J. Behav. Nutr. Phys. Act. 2021, 18, 12. [Google Scholar] [CrossRef] [PubMed]
- Oliveira Júnior, A.P.; Salerno, S. Research trend on the use of historical approaches for the teaching of Statistics in Brazil. J. Res. Pharm. Sci. 2021, 7, 20–34. [Google Scholar]
- Hochdorn, A.; Faleiros, V.P.; Valerio, P.; Vitelli, R. Narratives of transgender people detained in prison: The role played by the utterances "not" (as a feeling of hetero- and auto-rejection) and "exist" (as a feeling of hetero- and auto-acceptance) for the construction of a discursive self. A suggestion of goals and strategies for psychological counseling. Front. Psychol. 2018, 8, 2367. [Google Scholar] [CrossRef]
- Souza, M.A.R.; Wall, M.L.; Thuler, A.C.M.C.; Lowen, I.M.V.; Peres, A.M. The use of IRaMuTeQ software for data analysis in qualitative research. Rev. Esc. Enferm. USP 2018, 52, e03353. [Google Scholar] [CrossRef]
- Camargo, B.V.; Justo, A.M. IRaMuTeQ: R Interface for Multidimensional Analysis of Texts and Questionnaires. 2016. Available online: http://www.iramuteq.org/documentation/fichiers/IRaMuTeQ%20Tutorial%20translated%20to%20English_17.03.2016.pdf (accessed on 15 October 2022).
- Koopman, J.F.L.; Kuik, O.; Tol, R.S.J.; Brouwer, R. Water scarcity from climate change and adaptation response in an international river basin context. Clim. Chang. Econ. 2015, 6, 1550004. [Google Scholar] [CrossRef]
- Gebretsadik, K.A.; Romstad, E. Climate and farmers’ willingness to pay for improved irrigation water supply. World Dev. Perspect. 2020, 20, 100233. [Google Scholar] [CrossRef]
- Mirumachi, N.; Hurlbert, M. Reflecting on twenty years of international agreements concerning water governance: Insights and key learning. Int. Environ. Agreem. Politi Law Econ. 2022, 22, 317–332. [Google Scholar] [CrossRef] [PubMed]
- Bekchanov, M.; Ringler, C.; Bhaduri, A.; Jeuland, M. Optimizing irrigation efficiency improvements in the Aral Sea Basin. Water Resour. Econ. 2016, 13, 30–45. [Google Scholar] [CrossRef]
- Unfried, K.; Kis-Katos, K.; Poser, T. Water scarcity and social conflict. J. Environ. Econ. Manag. 2022, 113, 102633. [Google Scholar] [CrossRef]
- Kahsay, T.N.; Kuik, O.; Brouwer, R.; Van Der Zaag, P. The economy-wide impacts of climate change and irrigation development in the nile basin: A computable general equilibrium approach. Clim. Chang. Econ. 2017, 8, 1750004. [Google Scholar] [CrossRef]
- Distefano, T.; Kelly, S. Are we in deep water? Water scarcity and its limits to economic growth. Ecol. Econ. 2017, 142, 130–147. [Google Scholar] [CrossRef]
- Janmaat, J.; Rahimova, N. Managing Drought Risk in the Okanagan: A Role for Dry-Year Option Contracts? Can. Public Policy 2018, 44, 112–125. [Google Scholar] [CrossRef]
- Eyer, J.; Wichman, C.J. Does water scarcity shift the electricity generation mix toward fossil fuels? Empirical evidence from the United States. J. Environ. Econ. Manag. 2018, 87, 224–241. [Google Scholar] [CrossRef]
- Ballarin, A.; Vecchiato, D.; Tempesta, T.; Marangon, F.; Troiano, S. Biomass energy production in agriculture: A weighted goal programming analysis. Energy Policy 2011, 39, 1123–1131. [Google Scholar] [CrossRef]
- Novo, P.; Garrido, A.; Varela-Ortega, C. Are virtual water "flows" in Spanish grain trade consistent with relative water scarcity? Ecol. Econ. 2019, 68, 1454–1464. [Google Scholar] [CrossRef]
- Teotonio, C.; Rodriguez, M.; Roebeling, P.; Fortes, P. Water competition through the ‘water-energy’ nexus: Assessing the economic impacts of climate change in a Mediterranean context. Energy Econ. 2020, 85, 104539. [Google Scholar] [CrossRef]
- Bigelow, D.P.; Zhang, H.L. Supplemental irrigation water rights and climate change adaptation. Ecol. Econ. 2018, 154, 156–167. [Google Scholar] [CrossRef]
- Qureshi, M.E.; Hanjra, M.A.; Ward, J. Impact of water scarcity in Australia on global food security in an era of climate change. Food Policy 2013, 38, 136–145. [Google Scholar] [CrossRef]
- Roson, R.; Damania, R. The macroeconomic impact of future water scarcity An assessment of alternative scenarios. J. Policy Model. 2017, 39, 1141–1162. [Google Scholar] [CrossRef]
- Connor, J.D.; Schwabe, K.; King, D.; Knapp, K. Irrigated agriculture and climate change: The influence of water supply variability and salinity on adaptation. Ecol. Econ. 2012, 77, 149–157. [Google Scholar] [CrossRef]
- Baum, Z.; Palatnik, R.R.; Kan, I.; Rapaport-Rom, M. Economic Impacts of Water Scarcity Under Diverse Water Salinities. Water Econ. Policy 2016, 2, 1550013. [Google Scholar] [CrossRef]
- Liu, J.; Hertel, T.; Taheripour, F. Analyzing Future Water Scarcity in Computable General Equilibrium Models. Water Econ. Policy 2016, 2, 1640006. [Google Scholar] [CrossRef]
- Dantas, I.R.M.; Delzeit, R.; Klepper, G. Economic Research on the Global Allocation of Scarce Water Resources Needs Better Data. Water Econ. Policy 2021, 7, 2150013. [Google Scholar] [CrossRef]
- Roson, R.; Sartori, M. System-Wide Implications of Changing Water Availability and Agricultural Productivity in the Mediterranean Economies. Water Econ. Policy 2015, 1, 1450001. [Google Scholar] [CrossRef]
- Laureti, T.; Benedetti, I.; Branca, G. Water use efficiency and public goods conservation: A spatial stochastic frontier model applied to irrigation in Southern Italy. Socio-Econ. Plan. Sci. 2021, 73, 100856. [Google Scholar] [CrossRef]
- Li, C.Z.; Swain, R.B. Growth, Water Resilience, and Sustainability: A DSGE Model Applied to South Africa. Water Econ. Policy 2016, 2, 1650022. [Google Scholar] [CrossRef]
- Hordofa, A.T.; Leta, O.T.; Alamirew, T.; Chukalla, A.D. Response of Winter Wheat Production to Climate Change in Ziway Lake Basin. Sustainability 2022, 14, 13666. [Google Scholar] [CrossRef]
- Zy Harifidy, R.; Zy Misa Harivelo, R.; Hiroshi, I.; Jun, M.; Kazuyoshi, S. A Systematic Review of Water Resources Assessment at a Large River Basin Scale: Case of the Major River Basins in Madagascar. Sustainability 2022, 14, 12237. [Google Scholar] [CrossRef]
- Pizarro, R.; Garcia-Chevesich, P.A.; McCray, J.E.; Sharp, J.O.; Valdés-Pineda, R.; Sangüesa, C.; Jaque-Becerra, D.; Álvarez, P.; Norambuena, S.; Ibáñez, A.; et al. Climate Change and Overuse: Water Resource Challenges during Economic Growth in Coquimbo, Chile. Sustainability 2022, 14, 3440. [Google Scholar] [CrossRef]
- Alotaibi, B.A.; Kassem, H.S. Adoption of Sustainable Water Management Practices among Farmers in Saudi Arabia. Sustainability 2021, 13, 11260. [Google Scholar] [CrossRef]



| Characteristics | Frequencies |
|---|---|
| Number of texts | 127 |
| Number of text segments | 715 |
| Number of type | 25,719 |
| Number of forms | 3786 |
| Number of hapax | 1683 |
| Terms | Frequency |
|---|---|
| climate change | 57 |
| water scarcity | 52 |
| water resources | 18 |
| water supply | 17 |
| water availability | 16 |
| global food | 13 |
| food security | 12 |
| population growth | 12 |
| irrigation water | 10 |
| water consumption | 9 |
| long term | 8 |
| water demand | 8 |
| water requirements | 8 |
| economic growth | 7 |
| economic impacts | 7 |
| impact of water | 7 |
| water efficiency | 6 |
| water intensive | 6 |
| crop production | 5 |
| energy production | 4 |
| Measure | Equation | Value |
|---|---|---|
| TTR | ||
| Hapax% | ||
| Giraud index | ||
| Herdan index | ||
| Zipf’s slope |
Disclaimer/Publisher’s Note: The statements, opinions and data contained in all publications are solely those of the individual author(s) and contributor(s) and not of MDPI and/or the editor(s). MDPI and/or the editor(s) disclaim responsibility for any injury to people or property resulting from any ideas, methods, instructions or products referred to in the content. |
© 2022 by the authors. Licensee MDPI, Basel, Switzerland. This article is an open access article distributed under the terms and conditions of the Creative Commons Attribution (CC BY) license (https://creativecommons.org/licenses/by/4.0/).
Share and Cite
Aversa, D.; Adamashvili, N.; Fiore, M.; Spada, A. Scoping Review (SR) via Text Data Mining on Water Scarcity and Climate Change. Sustainability 2023, 15, 70. https://doi.org/10.3390/su15010070
Aversa D, Adamashvili N, Fiore M, Spada A. Scoping Review (SR) via Text Data Mining on Water Scarcity and Climate Change. Sustainability. 2023; 15(1):70. https://doi.org/10.3390/su15010070
Chicago/Turabian StyleAversa, Dario, Nino Adamashvili, Mariantonietta Fiore, and Alessia Spada. 2023. "Scoping Review (SR) via Text Data Mining on Water Scarcity and Climate Change" Sustainability 15, no. 1: 70. https://doi.org/10.3390/su15010070
APA StyleAversa, D., Adamashvili, N., Fiore, M., & Spada, A. (2023). Scoping Review (SR) via Text Data Mining on Water Scarcity and Climate Change. Sustainability, 15(1), 70. https://doi.org/10.3390/su15010070

