Numerical Analysis of Heat Transfer Behaviours of Melting Process for Ice Thermal Storage Based on Various Heat Source Configurations
Abstract
1. Introduction
2. Physical and Numerical Models of ITS
2.1. Physical Model
2.2. Governing Equations
- (1)
- The endothermic source is considered as a constant temperature.
- (2)
- The effect of the thickness of tube and shell on the numerical model was ignored, and the shell was regarded as an adiabatic wall.
- (3)
- Variation of PCM properties of ice and water was ignored except for the density. It implied that only the effect of density variation of PCM with the temperature on buoyancy was considered.
- (4)
- Melting of the PCM was isotropic and homogeneous.
- (5)
- The experimental system had four sets of thermocouples distributed uniformly. The geometry and place occupied by these probes were not defined.
- (6)
2.3. Numerical Model and Validation
3. Results and Discussion
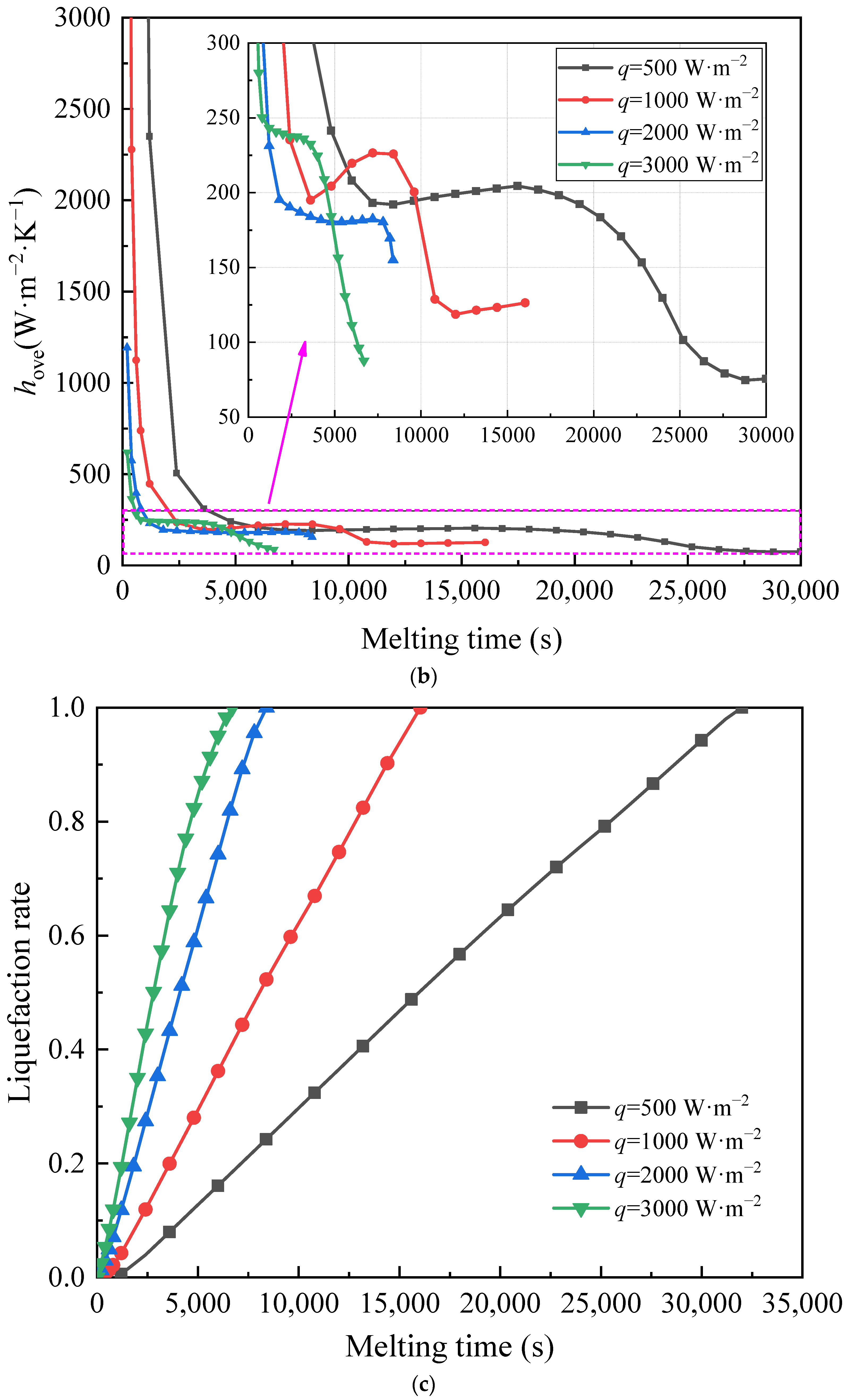
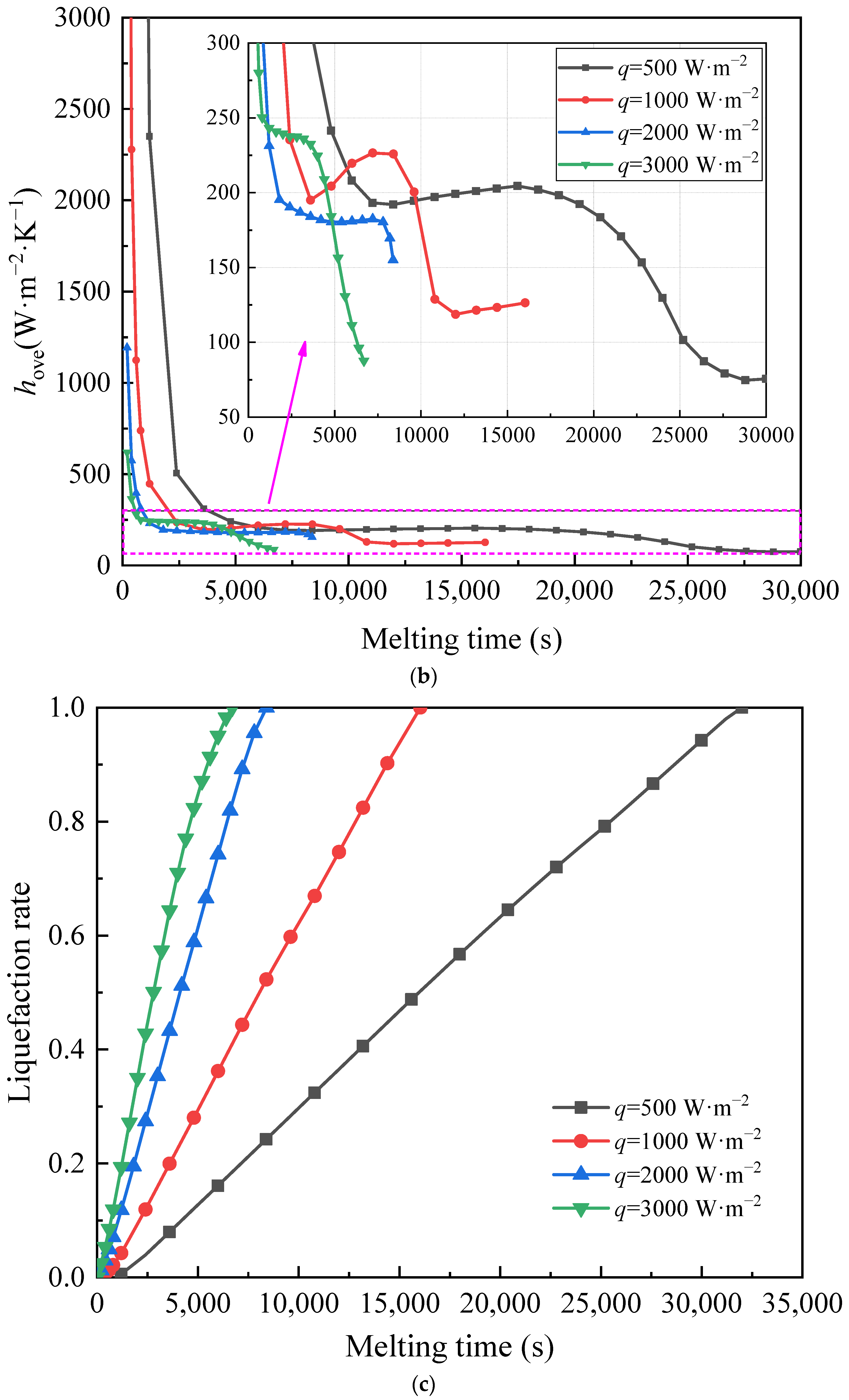
3.1. Heat Source in Central Position
3.2. Heat Source in Eccentric Postions
3.3. Heat Source with Various Configurations
4. Conclusions
Author Contributions
Funding
Institutional Review Board Statement
Informed Consent Statement
Data Availability Statement
Conflicts of Interest
Nomenclature
| T | Temperature (K) | ||
| t | Time (s) | ||
| CNT | Carbon nanotube | V | Flow velocity (m·s−1) |
| ITS | Ice thermal storage | ||
| LTES | Latent thermal energy storage | Greek letters | |
| LHS | Latent heat storage | ρ | Density (kg·m−3) |
| PCM | Phase change material | ε | Calculation constant |
| STLHS | Shell-and-tube latent heat storage | β | Expansion coefficient (K−1) |
| TES | Thermal energy storage | λ | Coefficient of thermal conductivity (W·m−1·K−1) |
| cp | Specific heat capacity at constant pressure (kJ·kg−1·K−1) | ||
| f | Liquid fraction | Subscripts | |
| g | Gravitational acceleration (m·s−2) | i | Inner tube radius |
| H | Total enthalpy (J·g−1) | l | Liquid |
| h | Enthalpy (J·g−1) | m | Phase change temperature of PCM |
| Overall heat transfer coefficient (W·K−1) | o | Outer shell radius | |
| L | Latent heat of fusion (J·g−1) | ref | Reference stated |
| q | Heat flux (W·m−2) | s | Solid |
| r | Radius (m) | w | Water |
References
- Wang, L.W.; Tamainot-Telto, Z.; Metcalf, S.J.; Critoph, R.E.; Wang, R.Z. Anisotropic thermal conductivity and permeability of compacted expanded natural graphite. Appl. Therm. Eng. 2010, 30, 1805–1811. [Google Scholar] [CrossRef]
- Li, Q.; Bai, F.; Yang, B.; Wang, Z.; El Hefni, B.; Liu, S.; Kubo, S.; Kiriki, H.; Han, M. Dynamic simulation and experimental validation of an open air receiver and a thermal energy storage system for solar thermal power plant. Appl. Energy 2016, 178, 281–293. [Google Scholar] [CrossRef]
- Jiang, L.; Wang, R.Z.; Wang, L.W.; Roskilly, A.P. Investigation on an innovative resorption system for seasonal thermal energy storage. Energy Convers. Manag. 2017, 149, 129–139. [Google Scholar] [CrossRef]
- Jiang, L.; Li, S.; Wang, R.Q.; Fan, Y.B.; Zhang, X.J.; Roskilly, A.P. Performance analysis on a hybrid compression-assisted sorption thermal battery for seasonal heat storage in severe cold region. Renew. Energy 2021, 180, 398–409. [Google Scholar] [CrossRef]
- Jiang, R.; Yu, X.; Chang, J.; Yu, X.; Wang, B.; Huang, R.; Li, Z. Effects evaluation of fin layouts on charging performance of shell-and-tube LTES under fluctuating heat sources. J. Energy Storage 2021, 44, 103428. [Google Scholar] [CrossRef]
- Hu, C.; Li, M.; Wang, Y.; Li, G.; Ma, X.; Du, W.; Zhou, X.; Zhag, Y. Preliminary investigation on pilot-scale photovoltaic-driven cold storage with ice thermal storage based on vapor compression refrigeration cycle. Sustain. Energy Technol. Assess. 2021, 45, 101187. [Google Scholar] [CrossRef]
- Khadiran, T.; Hussein, M.Z.; Zainal, Z.; Rusli, R. Encapsulation techniques for organic phase change materials as thermal energy storage medium: A review. Sol. Energy Mater. Sol. Cells 2015, 143, 78–98. [Google Scholar] [CrossRef]
- Sarkar, S.; Mestry, S.; Mhaske, S.T. Developments in phase change material (PCM) doped energy efficient polyurethane (PU) foam for perishable food cold-storage applications: A review. J. Energy Storage 2022, 50, 104620. [Google Scholar] [CrossRef]
- Wang, X.; Li, W.; Luo, Z.; Wang, K.; Shah, S.P. A critical review on phase change materials (PCM) for sustainable and energy efficient building: Design, characteristic, performance and application. Energy Build. 2022, 260, 111923. [Google Scholar] [CrossRef]
- Fan, Y.; Zhang, C.; Jiang, L.; Zhang, X.; Qiu, L. Exploration on two-stage latent thermal energy storage for heat recovery in cryogenic air separation purification system. Energy 2022, 239, 122111. [Google Scholar] [CrossRef]
- Fan, Y.; Yu, M.; Zhang, C.; Jiang, L.; Zhang, X.; Zhao, Y. Melting performance enhancement of phase change material with magnetic particles under rotating magnetic field. J. Energy Storage 2021, 38, 102540. [Google Scholar] [CrossRef]
- Yang, L.; Ji, W.; Zhang, Z.; Jin, X. Thermal conductivity enhancement of water by adding graphene Nano-sheets: Consideration of particle loading and temperature effects. Int. Commun. Heat Mass Transf. 2019, 109, 104353. [Google Scholar] [CrossRef]
- Xing, M.; Yu, J.; Wang, R. Experimental study on the thermal conductivity enhancement of water based nanofluids using different types of carbon nanotubes. Int. J. Heat Mass Transf. 2015, 88, 609–616. [Google Scholar] [CrossRef]
- Park, S.S.; Kim, N.J. Influence of the oxidation treatment and the average particle diameter of graphene for thermal conductivity enhancement. J. Ind. Eng. Chem. 2014, 20, 1911–1915. [Google Scholar] [CrossRef]
- Du, C.; Nguyen, Q.; Malekahmadi, O.; Mardani, A.; Jokar, Z.; Babadi, E.; D’Orazio, A.; Karimipour, A.; Li, Z.; Bach, Q.-V. Thermal conductivity enhancement of nanofluid by adding multiwalled carbon nanotubes: Characterization and numerical modeling patterns. Math. Methods Appl. Sci. 2020. [Google Scholar] [CrossRef]
- Abhishek, A.; Kumar, B.; Kim, M.H.; Lee, Y.T.; Chung, J.D.; Kim, S.T.; Kim, T.; Lee, C.; Lee, K. Comparison of the performance of ice-on-coil LTES tanks with horizontal and vertical tubes. Energy Build. 2019, 183, 45–53. [Google Scholar] [CrossRef]
- Vyshak, N.R.; Jilani, G. Numerical analysis of latent heat thermal energy storage system. Energy Convers. Manag. 2007, 48, 2161–2168. [Google Scholar] [CrossRef]
- Trp, A.; Lenic, K.; Frankovic, B. Analysis of the influence of operating conditions and geometric parameters on heat transfer in water-paraffin shell-and-tube latent thermal energy storage unit. Appl. Therm. Eng. 2006, 26, 1830–1839. [Google Scholar] [CrossRef]
- Soltan, B.K.; Ardehali, M.M. Numerical simulation of water solidification phenomenon for ice-on-coil thermal energy storage application. Energy Convers. Manag. 2003, 44, 85–92. [Google Scholar] [CrossRef]
- Kousha, N.; Hosseini, M.J.; Aligoodarz, M.R.; Pakrouh, R.; Bahrampoury, R. Effect of inclination angle on the performance of a shell and tube heat storage unit—An experimental study. Appl. Therm. Eng. 2017, 112, 1497–1509. [Google Scholar] [CrossRef]
- Yuan, Y.; Cao, X.; Xiang, B.; Du, Y. Effect of installation angle of fins on melting characteristics of annular unit for latent heat thermal energy storage. Sol. Energy 2016, 136, 365–378. [Google Scholar] [CrossRef]
- Liu, Z.; Quan, Z.; Zhao, Y.; Jing, H.; Liu, X.; Wang, L. Experimental research on the performance of ice thermal energy storage device based on micro heat pipe arrays. Appl. Therm. Eng. 2021, 185, 116452. [Google Scholar] [CrossRef]
- Chiu, J.N.W.; Martin, V. Submerged finned heat exchanger latent heat storage design and its experimental verification. Appl. Energy 2012, 93, 507–516. [Google Scholar] [CrossRef]
- Darzi, A.R.; Farhadi, M.; Sedighi, K. Numerical study of melting inside concentric and eccentric horizontal annulus. Appl. Math. Model. 2012, 36, 4080–4086. [Google Scholar] [CrossRef]
- Cao, X.; Yuan, Y.; Xiang, B.; Haghighat, F. Effect of natural convection on melting performance of eccentric horizontal shell and tube latent heat storage unit. Sustain. Cities Soc. 2018, 38, 571–581. [Google Scholar] [CrossRef]
- Yu, C.; Peng, Q.; Liu, X.; Cao, P.; Yao, F. Role of metal foam on ice storage performance for a cold thermal energy storage (CTES) system. J. Energy Storage 2020, 28, 101201. [Google Scholar] [CrossRef]
- Lou, X.; Wang, H. Role of copper foam on solidification performance of ice-cool storage sphere system. J. Energy Storage 2022, 47, 103552. [Google Scholar] [CrossRef]
- Zhao, Y.; Li, Z.; Utaka, Y.; Chen, Z.; Ohkubo, H. Adhesion characteristics of ice in urea aqueous solution for efficient slurry formation in cold storage. Int. J. Refrig. 2019, 100, 335–342. [Google Scholar] [CrossRef]
- Wu, F.; Fan, Y.B.; Zhang, X.J.; Zhang, H.; Wang, Z.L.; Wang, Z.W.; Jiang, L. Performance prediction on ice melting process for cold energy utilization: Effect of natural convection. J. Energy Storage 2022, 55, 105638. [Google Scholar] [CrossRef]
- Yıldız, Ç.; Arıcı, M.; Nižetić, S.; Shahsavar, A. Numerical investigation of natural convection behavior of molten PCM in an enclosure having rectangular and tree-like branching fins. Energy 2020, 207, 118223. [Google Scholar] [CrossRef]
- Brent, A.D.; Voller, V.R.; Reid, K.J. Enthalpy-Porosity Technique For Modeling Convection-Diffusion Phase Change: Application To The Melting Of A Pure Metal. Numer. Heat Transf. 1988, 13, 297–318. [Google Scholar] [CrossRef]
- Chakraborty, P.R. Enthalpy porosity model for melting and solidification of pure-substances with large difference in phase specific heats. Int. Commun. Heat Mass Transf. 2017, 81, 183–189. [Google Scholar] [CrossRef]
- Younsi, Z.; Naji, H. A numerical investigation of melting phase change process via the enthalpy-porosity approach: Application to hydrated salts. Int. Commun. Heat Mass Transf. 2017, 86, 12–24. [Google Scholar] [CrossRef]
- Niezgoda-Żelasko, B. The Enthalpy-porosity Method Applied to the Modelling of the Ice Slurry Melting Process During Tube Flow. Procedia Eng. 2016, 157, 114–121. [Google Scholar] [CrossRef]
- Voller, V.R.; Swaminathan, C.R. Eral Source-Based Method for Solidification Phase Change. Numer. Heat Transf. Part B Fundam. 1991, 19, 175–189. [Google Scholar] [CrossRef]
- Sasaguchi, K.; Kusano, K.; Viskanta, R. A numerical analysis of solid-liquid phase change heat transfer around a single and two horizontal, vertically spaced cylinders in a rectangular cavity. Int. J. Heat Mass Transf. 1997, 40, 1343–1354. [Google Scholar] [CrossRef]













| PCM | Process | Natural Convection | Heat Source Configuration | Heat Source Boundary | Ref. |
|---|---|---|---|---|---|
| Water | Solidification | No | Circle | Constant temperature | [23] |
| N-eicosane | Melting | Yes | Circle; eccentric | Constant temperature | [24] |
| Lauric acid | Melting | Yes | Circle; eccentric | Constant temperature | [25] |
| Water | Solidification | Yes | Starburst fin | Constant temperature | [26] |
| Paraffin | Melting | Yes | Tree-like branching fins | Constant heat flux | [30] |
| Water | Melting | Yes (density inversion) | Circle; eccentric | Constant temperature | [29] |
| Water | Melting | Yes (density inversion) | Circle; eccentric; plate-tube | Constant heat flux | This paper |
| Properties | Value |
|---|---|
| Specific heat (J·kg−1·K−1) | 2020 (solid), 4212 (liquid) |
| Melting temperature (K) | 273.15 |
| Dynamic viscosity (kg·m−1·s−1) | 0.001003 |
| Thermal conductivity (W·m−1·K−1) | 2.22 (solid), 0.551 (liquid) |
| Thermal expansion coefficient (K−1) | 0.00013 |
| Latent heat of fusion (J·kg−1) | 335 |
Disclaimer/Publisher’s Note: The statements, opinions and data contained in all publications are solely those of the individual author(s) and contributor(s) and not of MDPI and/or the editor(s). MDPI and/or the editor(s) disclaim responsibility for any injury to people or property resulting from any ideas, methods, instructions or products referred to in the content. |
© 2022 by the authors. Licensee MDPI, Basel, Switzerland. This article is an open access article distributed under the terms and conditions of the Creative Commons Attribution (CC BY) license (https://creativecommons.org/licenses/by/4.0/).
Share and Cite
Zhang, C.; Chai, D.; Fan, Y.; Zhang, W.; Yu, M.; Wang, Z.; Jiang, L. Numerical Analysis of Heat Transfer Behaviours of Melting Process for Ice Thermal Storage Based on Various Heat Source Configurations. Sustainability 2023, 15, 365. https://doi.org/10.3390/su15010365
Zhang C, Chai D, Fan Y, Zhang W, Yu M, Wang Z, Jiang L. Numerical Analysis of Heat Transfer Behaviours of Melting Process for Ice Thermal Storage Based on Various Heat Source Configurations. Sustainability. 2023; 15(1):365. https://doi.org/10.3390/su15010365
Chicago/Turabian StyleZhang, Chunwei, Dongdong Chai, Yubin Fan, Wenyun Zhang, Meng Yu, Zhenwu Wang, and Long Jiang. 2023. "Numerical Analysis of Heat Transfer Behaviours of Melting Process for Ice Thermal Storage Based on Various Heat Source Configurations" Sustainability 15, no. 1: 365. https://doi.org/10.3390/su15010365
APA StyleZhang, C., Chai, D., Fan, Y., Zhang, W., Yu, M., Wang, Z., & Jiang, L. (2023). Numerical Analysis of Heat Transfer Behaviours of Melting Process for Ice Thermal Storage Based on Various Heat Source Configurations. Sustainability, 15(1), 365. https://doi.org/10.3390/su15010365
