Soft-Switching Smart Transformer Design and Application for Photovoltaic Integrated Smart City Power Distribution
Abstract
1. Introduction
2. Materials and Methods
2.1. Soft Switching Medium Voltage dc Smart Transformer Topology
2.2. Operation Principle
2.3. Control Scheme
2.4. Solar PV Power Plant
3. Dynamic and Experimental Model of Smart Transformer for Smart Grids
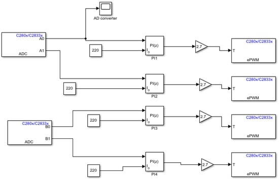
3.1. Dynamic Model
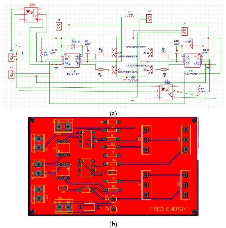
3.2. Experimental Model
4. Conclusions
Supplementary Materials
Author Contributions
Funding
Institutional Review Board Statement
Informed Consent Statement
Data Availability Statement
Conflicts of Interest
Abbreviations
| EMI | Electromagnetic interference | SRC | Series resonant converter |
| ST | Smart transformer | MV | Medium voltage |
| OLC | open-loop control | LV | Low voltage |
| ISOP | Input series output parallel | QAB | Quadruple-Active-Bridge |
| ZVS | Zero voltage switching | PWM | Pulse width modulation |
| ZCS | Zero current switching | RMS | Root mean square |
| DAB | Dual Active Bridge | PV | Photovoltaic |
| PR | Proportional resonant controller | ADC | Analog to Digital |
| Q2L | Quasi-2-Level | MPPT | Maximum power point |
| HF | High frequency | SPWM | Sinusoidal pulse width modulation |
| HFT | High frequency transformer | P&O | Perturb and observe |
References
- Li, Y.; Han, J.; Cao, Y.; Li, Y.; Xiong, J.; Sidorov, D.; Panasetsky, D. A Modular Multilevel Converter Type Solid State Transformer with Internal Model Control Method. Int. J. Electr. Power Energy Syst. 2017, 85, 153–163. [Google Scholar] [CrossRef]
- Zhang, J.; Wang, Z.; Shao, S. A Three-Phase Modular Multilevel DC–DC Converter for Power Electronic Transformer Applications. IEEE J. Emerg. Sel. Topics Power Electron. 2017, 5, 140–150. [Google Scholar] [CrossRef]
- Li, Y.; Lyu, X.; Cao, D. A Zero-Current-Switching High Conversion Ratio Modular Multilevel DC–DC Converter. IEEE J. Emerg. Sel. Topics Power Electron. 2017, 5, 151–161. [Google Scholar] [CrossRef]
- Kadandani, N.B.; Dahidah, M.; Ethni, S. Design and Development of Modular Multilevel Converter for Solid State Transformer Application. Bayero J. Eng. Technol. 2021, 16, 31–41. [Google Scholar]
- Alam, K.S.; Tria, L.A.R.; Zhang, D.; Xiao, D.; Rahman, M.F. Multi-Cell DC-DC Converter Based Solid-State Transformer (SST) Design Featuring Medium-Voltage Grid-Tie Application. In Proceedings of the 2017 20th International Conference on Electrical Machines and Systems (ICEMS), Sydney, Australia, 11–14 August 2017; IEEE: Piscataway, NJ, USA, 2017; pp. 1–6. [Google Scholar]
- Chen, Y.; Li, Y.; Zhu, M. A Developed Dual MMC Isolated DC Solid State Transformer and Its Modulation Strategy. In Proceedings of the International Power Electronics Conference (ECCE Asia), Niigata, Japan, 20–24 May 2018. [Google Scholar]
- Jiao, Y.; Jovanović, M.M. Topology Evaluation and Comparison for Isolated Multilevel DC/DC Converter for Power Cell in Solid State Transformer. In Proceedings of the 2019 IEEE Applied Power Electronics Conference and Exposition (APEC), Anaheim, CA, USA, 17–21 March 2019; pp. 802–809. [Google Scholar]
- Liu, C.; Li, X.; Zhi, Y.; Cai, G. New Breed of Solid-State Transformer Mainly Combing Hybrid Cascaded Multilevel Converter with Resonant DC-DC Converters. Appl. Energy 2018, 210, 724–736. [Google Scholar] [CrossRef]
- Wang, L.; Zhu, Q.; Yu, W.; Huang, A.Q. A Medium Voltage Bidirectional DC-DC Converter Combining Resonant and Dual Active Bridge Converters. In Proceedings of the 2015 IEEE Applied Power Electronics Conference and Exposition (APEC), Charlotte, NC, USA, 15–19 March 2015; IEEE: Piscataway, NJ, USA, 2015; pp. 1104–1111. [Google Scholar]
- Huber, J.E.; Kolar, J.W. Analysis and Design of Fixed Voltage Transfer Ratio DC/DC Converter Cells for Phase-Modular Solid-State Transformers. In Proceedings of the 2015 IEEE Energy Conversion Congress and Exposition (ECCE), Montreal, QC, Canada, 20–24 September 2015; IEEE: Piscataway, NJ, USA, 2015; pp. 5021–5029. [Google Scholar]
- Ortiz, G.; Leibl, M.G.; Huber, J.E.; Kolar, J.W. Design and Experimental Testing of a Resonant DC–DC Converter for Solid-State Transformers. IEEE Trans. Power Electron. 2017, 32, 7534–7542. [Google Scholar] [CrossRef]
- Costa, L.; Buticchi, G.; Liserre, M. Bidirectional Series-Resonant DC-DC Converter with Fault-Tolerance Capability for Smart Transformer. In Proceedings of the 2016 IEEE Energy Conversion Congress and Exposition (ECCE), Milwaukee, WI, USA, 18–22 September 2016; IEEE: Piscataway, NJ, USA, 2016; pp. 1–7. [Google Scholar]
- Costa, L.F.; Buticchi, G.; Liserre, M. Highly Efficient and Reliable SiC-Based DC–DC Converter for Smart Transformer. IEEE Trans. Ind. Electron. 2017, 64, 8383–8392. [Google Scholar] [CrossRef]
- Zhao, S.; Li, Q.; Lee, F.C.; Li, B. High-Frequency Transformer Design for Modular Power Conversion from Medium-Voltage AC to 400 VDC. IEEE Trans. Power Electron. 2018, 33, 7545–7557. [Google Scholar] [CrossRef]
- Lai, J.-S.; Choe, J.M.; Yeh, C.-S.; Moon, S.-R.; Lai, W.-H.; Zhang, L. A Modular Front-End Medium-Voltage Solid-State Transformer. In Proceedings of the 2017 Asian Conference on Energy, Power and Transportation Electrification (ACEPT), Singapore, 24–26 October 2017; IEEE: Piscataway, NJ, USA, 2017; pp. 1–6. [Google Scholar]
- Yeh, C.-S.; Zhang, L.; Choe, J.-M.; Chen, C.-W.; Yu, O.; Lai, J.-S. Light-Load Efficiency Improvement for LLC Converter with Synchronous Rectification in Solid-State Transformer Application. In Proceedings of the 2018 IEEE Applied Power Electronics Conference and Exposition (APEC), San Antonio, TX, USA, 4–8 March 2018; IEEE: Piscataway, NJ, USA, 2018; pp. 2142–2147. [Google Scholar]
- Dong, D.; Agamy, M.; Bebic, J.Z.; Chen, Q.; Mandrusiak, G. A Modular SiC High-Frequency Solid-State Transformer for Medium-Voltage Applications: Design, Implementation, and Testing. IEEE J. Emerg. Sel. Top. Power Electron. 2019, 7, 768–778. [Google Scholar] [CrossRef]
- Lu, Z.; Li, C.; Zhu, A.; Luo, H.; Li, C.; Li, W.; He, X. Medium Voltage Soft-Switching Dc/Dc Converter with Series-Connected Sic MOSFETs. IEEE Trans. Power Electron. 2020, 36, 1451–1462. [Google Scholar] [CrossRef]
- Tripathi, A.K.; Mainali, K.; Patel, D.C.; Kadavelugu, A.; Hazra, S.; Bhattacharya, S.; Hatua, K. Design Considerations of a 15-KV SiC IGBT-Based Medium-Voltage High-Frequency Isolated DC–DC Converter. IEEE Trans. Ind. Appl. 2015, 51, 3284–3294. [Google Scholar] [CrossRef]
- Madhusoodhanan, S.; Tripathi, A.; Patel, D.; Mainali, K.; Kadavelugu, A.; Hazra, S.; Bhattacharya, S.; Hatua, K. Solid-State Transformer and MV Grid Tie Applications Enabled by 15 KV SiC IGBTs and 10 KV SiC MOSFETs Based Multilevel Converters. IEEE Trans. Ind. Appl. 2015, 51, 3343–3360. [Google Scholar] [CrossRef]
- Rothmund, D.; Ortiz, G.; Guillod, T.; Kolar, J.W. 10 kV SiC-Based Isolated DC-DC Converter for Medium Voltage-Connected Solid-State Transformers. In Proceedings of the 2015 IEEE Applied Power Electronics Conference and Exposition (APEC), Charlotte, NC, USA, 15–19 March 2015; IEEE: Piscataway, NJ, USA, 2015; pp. 1096–1103. [Google Scholar]
- Wang, L.; Zhang, D.; Wang, Y.; Wu, B.; Athab, H.S. Power and Voltage Balance Control of a Novel Three-Phase Solid-State Transformer Using Multilevel Cascaded H-Bridge Inverters for Microgrid Applications. IEEE Trans. Power Electron. 2016, 31, 3289–3301. [Google Scholar] [CrossRef]
- Choi, H.-J.; Park, H.-P.; Jung, J.-H. Design Methodology of Dual Active Bridge Converter for Solid State Transformer Application in Smart Grid. In Proceedings of the 2015 9th International Conference on Power Electronics and ECCE Asia (ICPE-ECCE Asia), Seoul, Republic of Korea, 1–5 June 2015; IEEE: Piscataway, NJ, USA, 2015; pp. 196–201. [Google Scholar]
- Lopez, M.; Rodriguez, A.; Blanco, E.; Saeed, M.; Martinez, A.; Briz, F. Design and Implementation of the Control of an MMC-Based Solid State Transformer. In Proceedings of the 2015 IEEE 13th International Conference on Industrial Informatics (INDIN), Cambridge, UK, 22–24 July 2015; IEEE: Piscataway, NJ, USA, 2015; pp. 1583–1590. [Google Scholar]
- Bahmani, M.A.; Thiringer, T.; Kharezy, M. Optimization and Experimental Validation of Medium-Frequency High Power Transformers in Solid-State Transformer Applications. In Proceedings of the 2016 IEEE Applied Power Electronics Conference and Exposition (APEC), Long Beach, CA, USA, 20–24 March 2016; IEEE: Piscataway, NJ, USA, 2016; pp. 3043–3050. [Google Scholar]
- Wang, Q.; Liang, D. Research on Loss Reduction of Dual Active Bridge Converter over Wide Load Range for Solid State Transformer Application. In Proceedings of the 2016 Eleventh International Conference on Ecological Vehicles and Renewable Energies (EVER), Monte Carlo, Monaco, 6–8 April 2016; IEEE: Piscataway, NJ, USA, 2016; pp. 1–9. [Google Scholar]
- Ye, Q.; Mo, R.; Li, H. Impedance Modeling and Verification of a Dual Active Bridge (DAB) DC/DC Converter Enabled DC Microgrid in FREEDM System. In Proceedings of the 2016 IEEE 8th International Power Electronics and Motion Control Conference (IPEMC-ECCE Asia), Hefei, China, 22–26 May 2016; IEEE: Piscataway, NJ, USA, 2016; pp. 2875–2879. [Google Scholar]
- Zhao, B.; Song, Q.; Li, J.; Liu, W. A Modular Multilevel DC-Link Front-to-Front DC Solid-State Transformer Based on High-Frequency Dual Active Phase Shift for HVDC Grid Integration. IEEE Trans. Ind. Electron. 2017, 64, 8919–8927. [Google Scholar] [CrossRef]
- Liu, J.; Yang, J.; Zhang, J.; Nan, Z.; Zheng, Q. Voltage Balance Control Based on Dual Active Bridge DC/DC Converters in a Power Electronic Traction Transformer. IEEE Trans. Power Electron. 2018, 33, 1696–1714. [Google Scholar] [CrossRef]
- Wen, H.; Chen, J. Control and Efficiency Optimization of Dual-Active-Bridge DC/DC Converter. In Proceedings of the 2016 IEEE International Conference on Power Electronics, Drives and Energy Systems (PEDES), Trivandrum, India, 14–17 December 2016; IEEE: Piscataway, NJ, USA, 2016; pp. 1–6. [Google Scholar]
- Wang, L.; Zhang, D.; Wang, Y.; Liu, H. High-Frequency Solid-State Transformer Power Conversion Technologies for Energy Internet. In Proceedings of the 2017 IEEE 3rd International Future Energy Electronics Conference and ECCE Asia (IFEEC 2017—ECCE Asia), Kaohsiung, Taiwan, 3–7 June 2017; IEEE: Piscataway, NJ, USA, 2017; pp. 1397–1401. [Google Scholar]
- Zhang, F.; Ma, X.; Huang, L.; Xu, P.; Xuan, Y.; Yang, X.; Hao, X.; Li, Z. Design and Demonstration of a SiC-Based 800-V/10-KV 1-MW Solid-State Transformer for Grid-Connected Photovoltaic Systems. In Proceedings of the 2017 IEEE 3rd International Future Energy Electronics Conference and ECCE Asia (IFEEC 2017—ECCE Asia), Kaohsiung, Taiwan, 3–7 June 2017; IEEE: Piscataway, NJ, USA, 2017; pp. 1987–1990. [Google Scholar]
- Mainali, K.; Tripathi, A.; Madhusoodhanan, S.; Kadavelugu, A.; Patel, D.; Hazra, S.; Hatua, K.; Bhattacharya, S. A Transformerless Intelligent Power Substation: A Three-Phase SST Enabled by a 15-KV SiC IGBT. IEEE Power Electron. Mag. 2015, 2, 31–43. [Google Scholar] [CrossRef]
- Briz, F.; Lopez, M.; Rodriguez, A.; Zapico, A.; Arias, M.; Diaz-Reigosa, D. MMC Based SST. In Proceedings of the 2015 IEEE 13th International Conference on Industrial Informatics (INDIN), Cambridge, UK, 22–24 July 2015; IEEE: Piscataway, NJ, USA, 2015; pp. 1591–1598. [Google Scholar]
- Shuyu, C.; Sriram, V.B.; Dehghani Tafti, H.; Ravi Kishore, K.V.; Li, Y.H.; Tripathi, A.; Pou, J. Modular DAB DC-DC Converter Low Voltage Side Dc Link Capacitor Two-Stage Charging-up Control for Solid State Transformer Application. In Proceedings of the 2017 Asian Conference on Energy, Power and Transportation Electrification (ACEPT), Singapore, 24–26 October 2017; IEEE: Piscataway, NJ, USA, 2017; pp. 1–7. [Google Scholar]
- Gajowik, T.; Sobol, C.; Styński, S.; Malinowski, M. Post-Fault Operation of Hybrid DC-DC Converter for Solid-State Transformer. In Proceedings of the IECON 2017—43rd Annual Conference of the IEEE Industrial Electronics Society, Beijing, China, 29 October–1 November 2017; IEEE: Piscataway, NJ, USA, 2017; pp. 5373–5379. [Google Scholar]
- Shi, H.; Wen, H.; Chen, J.; Hu, Y.; Jiang, L.; Chen, G.; Ma, J. Minimum-Backflow-Power Scheme of DAB-Based Solid-State Transformer with Extended-Phase-Shift Control. IEEE Trans. Ind. Appl. 2018, 54, 3483–3496. [Google Scholar] [CrossRef]
- Raveendran, V.; Andresen, M.; Liserre, M.; Buticchi, G. Lifetime-Based Power Routing of Smart Transformer with CHB and DAB Converters. In Proceedings of the 2018 IEEE Applied Power Electronics Conference and Exposition (APEC), San Antonio, TX, USA, 4–8 March 2018; IEEE: Piscataway, NJ, USA, 2018; pp. 3523–3529. [Google Scholar]
- Pugliese, S.; Andresen, M.; Mastromauro, R.A.; Buticchi, G.; Stasi, S.; Liserre, M. A New Voltage Balancing Technique for a Three-Stage Modular Smart Transformer Interfacing a DC Multibus. IEEE Trans. Power Electron. 2019, 34, 2829–2840. [Google Scholar] [CrossRef]
- Anurag, A.; Acharya, S.; Prabowo, Y.; Jakka, V.; Bhattacharya, S. Design of a Medium Voltage Mobile Utilities Support Equipment Based Solid State Transformer (MUSE-SST) with 10 KV SiC MOSFETs for Grid Interconnection. In Proceedings of the 2018 9th IEEE International Symposium on Power Electronics for Distributed Generation Systems (PEDG), Charlotte, NC, USA, 25–28 June 2018; IEEE: Piscataway, NJ, USA, 2018; pp. 1–8. [Google Scholar]
- Jianqiao, Z.; Jianwen, Z.; Xu, C.; Jiacheng, W.; Jiajie, Z. Family of Modular Multilevel Converter (MMC) Based Solid State Transformer (SST) Topologies for Hybrid AC/DC Distribution Grid Applications. In Proceedings of the 2018 IEEE International Power Electronics and Application Conference and Exposition (PEAC), Shenzhen, China, 4–7 November 2018; IEEE: Piscataway, NJ, USA, 2018; pp. 1–5. [Google Scholar]
- Niyitegeka, G.; Harerimana, E.M.; Park, G.; Choi, J. Phase Shift Modulation and DC-Link’s Voltage Balancing Control for a DAB DC-DC Converter. In Proceedings of the 2018 International Conference on Smart Grid (icSmartGrid), Nagasaki, Japan, 4–6 December 2018; IEEE: Piscataway, NJ, USA, 2018; pp. 70–75. [Google Scholar]
- Agrawal, A.; Nalamati, C.S.; Gupta, R. Hybrid DC–AC Zonal Microgrid Enabled by Solid-State Transformer and Centralized ESD Integration. IEEE Trans. Ind. Electron. 2019, 66, 9097–9107. [Google Scholar] [CrossRef]
- Pugliese, S.; Buticchi, G.; Mastromauro, R.A.; Andresen, M.; Liserre, M.; Stasi, S. Soft-Start Procedure for a Three-Stage Smart Transformer Based on Dual-Active Bridge and Cascaded H-Bridge Converters. IEEE Trans. Power Electron. 2020, 35, 11039–11052. [Google Scholar] [CrossRef]
- Choi, H.-J.; Jung, J.-H. Practical Design of Dual Active Bridge Converter as Isolated Bi-Directional Power Interface for Solid State Transformer Applications. J. Electr. Eng. Technol. 2016, 11, 1265–1273. [Google Scholar] [CrossRef]
- Lai, J.-S.; Lai, W.-H.; Moon, S.-R.; Zhang, L.; Maitra, A. A 15-KV Class Intelligent Universal Transformer for Utility Applications. In Proceedings of the 2016 IEEE Applied Power Electronics Conference and Exposition (APEC), Long Beach, CA, USA, 20–24 March 2016; IEEE: Piscataway, NJ, USA, 2016; pp. 1974–1981. [Google Scholar]
- Wang, D.; Tian, J.; Mao, C.; Lu, J.; Duan, Y.; Qiu, J.; Cai, H. A 10-KV/400-V 500-KVA Electronic Power Transformer. IEEE Trans. Ind. Electron. 2016, 63, 6653–6663. [Google Scholar] [CrossRef]
- Costa, L.F.; Buticchi, G.; Liserre, M. Quadruple Active Bridge DC-DC Converter as the Basic Cell of a Modular Smart Transformer. In Proceedings of the 2016 IEEE Applied Power Electronics Conference and Exposition (APEC), Long Beach, CA, USA, 20–24 March 2016; IEEE: Piscataway, NJ, USA, 2016; pp. 2449–2456. [Google Scholar]
- Costa, L.F.; Buticchi, G.; Liserre, M. Quad-Active-Bridge DC–DC Converter as Cross-Link for Medium-Voltage Modular Inverters. IEEE Trans. on Ind. Applicat. 2017, 53, 1243–1253. [Google Scholar] [CrossRef]
- Costa, L.F.; Hoffmann, F.; Buticchi, G.; Liserre, M. Comparative Analysis of Multiple Active Bridge Converters Configurations in Modular Smart Transformer. IEEE Trans. Ind. Electron. 2019, 66, 191–202. [Google Scholar] [CrossRef]
- Shi, H.; Wen, H.; Hu, Y.; Yang, Y.; Wang, Y. Efficiency Optimization of DC Solid-State Transformer for Photovoltaic Power Systems. IEEE Trans. Ind. Electron. 2020, 67, 3583–3595. [Google Scholar] [CrossRef]
- Lee, J.; Roh, J.; Kim, M.Y.; Baek, S.-H.; Kim, S.; Lee, S.-H. A Novel Solid-State Transformer with Loosely Coupled Resonant Dual-Active-Bridge Converters. IEEE Trans. Ind. Appl. 2022, 58, 709–719. [Google Scholar] [CrossRef]
- Parreiras, T.M.; Machado, A.P.; Amaral, F.V.; Lobato, G.C.; Brito, J.A.S.; Filho, B.C. Forward Dual-Active-Bridge Solid-State Transformer for a SiC-Based Cascaded Multilevel Converter Cell in Solar Applications. IEEE Trans. Ind. Appl. 2018, 54, 6353–6363. [Google Scholar] [CrossRef]
- Amaral, F.V.; Parreiras, T.M.; Lobato, G.C.; Machado, A.A.P.; Pires, I.A.; de Jesus Cardoso Filho, B. Operation of a Grid-Tied Cascaded Multilevel Converter Based on a Forward Solid-State Transformer Under Unbalanced PV Power Generation. IEEE Trans. Ind. Appl. 2018, 54, 5493–5503. [Google Scholar] [CrossRef]
- Sharma, R.; Sharma, S.K. Solar Photovoltaic Supply System Integrated with Solid State Transformer. In Proceedings of the 2021 IEEE 4th International Conference on Computing, Power, and Communication Technologies (GUCON), Kuala Lumpur, Malaysia, 24–26 September 2021; pp. 1–6. [Google Scholar]
- Smith, C.; Haque, M.E. Design and Implementation of a Smart Solid-State Transformer Based Power Converter for Solar PV System. In Proceedings of the 2020 IEEE Industry Applications Society Annual Meeting, Detroit, MI, USA, 10–16 October 2020; pp. 1–8. [Google Scholar]
- Voltage Transducer LV 25-P—LEM. Available online: https://www.lem.com/sites/default/files/products_datasheets/lv_25-p.pdf (accessed on 23 November 2022).
- Ourahou, M.; Ayrir, W.; EL Hassouni, B.; Haddi, A. Review on Smart Grid Control and Reliability in Presence of Renewable Energies: Challenges and Prospects. Math. Comput. Simul. 2020, 167, 19–31. [Google Scholar] [CrossRef]
- Huang, P.; Xu, T.; Sun, Y. A Genetic Algorithm Based Dynamic Pricing for Improving Bi-Directional Interactions with Reduced Power Imbalance. Energy Build. 2019, 199, 275–286. [Google Scholar] [CrossRef]
- Anurag, A.; Acharya, S.; Prabowo, Y.; Gohil, G.; Bhattacharya, S. Design Considerations and Development of an Innovative Gate Driver for Medium-Voltage Power Devices with High $ Dv/Dt$. IEEE Trans. Power Electron. 2018, 34, 5256–5267. [Google Scholar] [CrossRef]



























| Converter | dv/dt at Turn-on of the Main Switch | Resonant Circuit Connection | Bidirectional Power Flow Speed | Circulating Current | Soft-Switching Range | Multiple DC Cable Connections |
|---|---|---|---|---|---|---|
| MC | <10 kv/us | Resonant Tank | >1 us | High | >100 ns, <600 ns | practicable |
| SRC | >10 kv/us, <100 kv/us | Series Resonant Tank | <1 us | Medium | >100 ns, <100 us | impracticable |
| DAB | <10 kv/us | LLC Resonant Tank | <1 us | Low | >100 ns, <100 us | practicable |
| QAB | <10 kv/us | No | >1 us | High | >100 ns, <600 ns | practicable |
| Electrical Characteristics | Value | Electrical Characteristics | Value |
|---|---|---|---|
| Power Rating | 415 W | Power Density | 192.13 W/m2 |
| Short Circuit Current (Isc) | 6.21 A | Power Tolerances | 0%–+5% |
| Open Circuit Voltage (Voc) | 85.6 V | Peak Efficiency | 19.66% |
| Maximum System Voltage | 600 V | Nominal Operating Cell Temperature | 45.8 °C |
| Parameters of DAB Module | Value | Parameters of HF Transformer | Value |
|---|---|---|---|
| Power | 12.5 kW | Input Capacitor | 0.88 mF |
| Input Voltage | 750 V | Output Capacitor | 0.67 mF |
| Output Voltage & Current | 400 V, 30 A | Switching Frequency | 20 kHz |
| Parameters of HF Transformer | Value | Parameters of HF Transformer | Value |
| Magnetizing Inductance (Lm) | 140 mH | Magnetization Resistance (Ω) and Inductance (H) | 1.8 kΩ–3 H |
| Primary Leakage Inductance (LP) | 2.2 mH | Turn ratio (N) | 2:1 |
Disclaimer/Publisher’s Note: The statements, opinions and data contained in all publications are solely those of the individual author(s) and contributor(s) and not of MDPI and/or the editor(s). MDPI and/or the editor(s) disclaim responsibility for any injury to people or property resulting from any ideas, methods, instructions or products referred to in the content. |
© 2022 by the authors. Licensee MDPI, Basel, Switzerland. This article is an open access article distributed under the terms and conditions of the Creative Commons Attribution (CC BY) license (https://creativecommons.org/licenses/by/4.0/).
Share and Cite
Esenboğa, B.; Demirdelen, T. Soft-Switching Smart Transformer Design and Application for Photovoltaic Integrated Smart City Power Distribution. Sustainability 2023, 15, 32. https://doi.org/10.3390/su15010032
Esenboğa B, Demirdelen T. Soft-Switching Smart Transformer Design and Application for Photovoltaic Integrated Smart City Power Distribution. Sustainability. 2023; 15(1):32. https://doi.org/10.3390/su15010032
Chicago/Turabian StyleEsenboğa, Burak, and Tuğçe Demirdelen. 2023. "Soft-Switching Smart Transformer Design and Application for Photovoltaic Integrated Smart City Power Distribution" Sustainability 15, no. 1: 32. https://doi.org/10.3390/su15010032
APA StyleEsenboğa, B., & Demirdelen, T. (2023). Soft-Switching Smart Transformer Design and Application for Photovoltaic Integrated Smart City Power Distribution. Sustainability, 15(1), 32. https://doi.org/10.3390/su15010032

