Technology for Apple Pomace Utilization within a Sustainable Development Policy Framework
Abstract
:1. Introduction
2. Materials and Methods
2.1. Preparation of apple pomace samples for testing
2.2. Concepts of food products
2.3. Methodology of the chemical research
2.3.1. Sugar
2.3.2. Protein
2.3.3. Fat
2.3.4. Dietary fiber
2.3.5. Vitamin C
2.3.6. Extraction of polyphenols
2.3.7. Polyphenols
2.3.8. Antioxidant activity
2.3.9. Ash
2.3.10. Moisture content
2.4. Methodology of testing physical characteristics of the products
2.5. Statistical analysis of the results
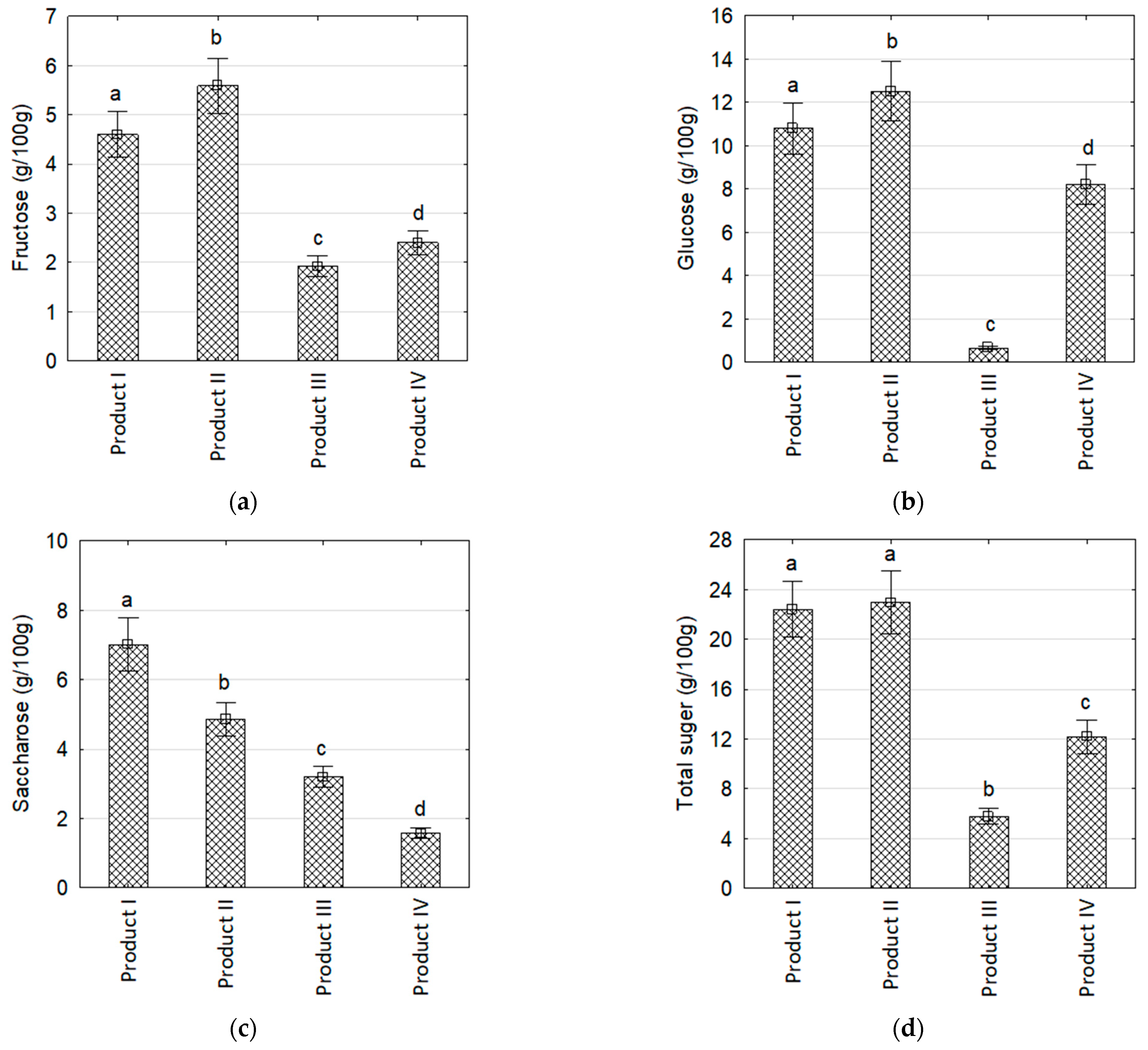
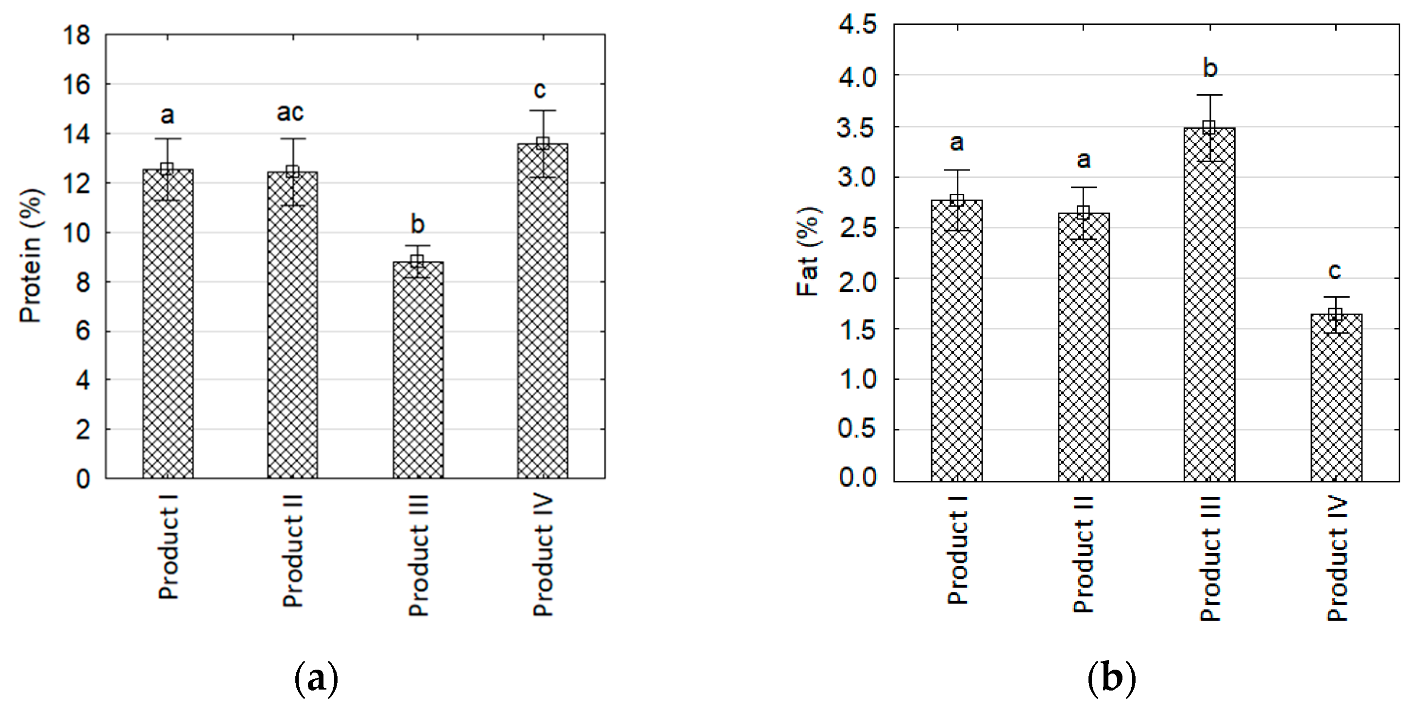
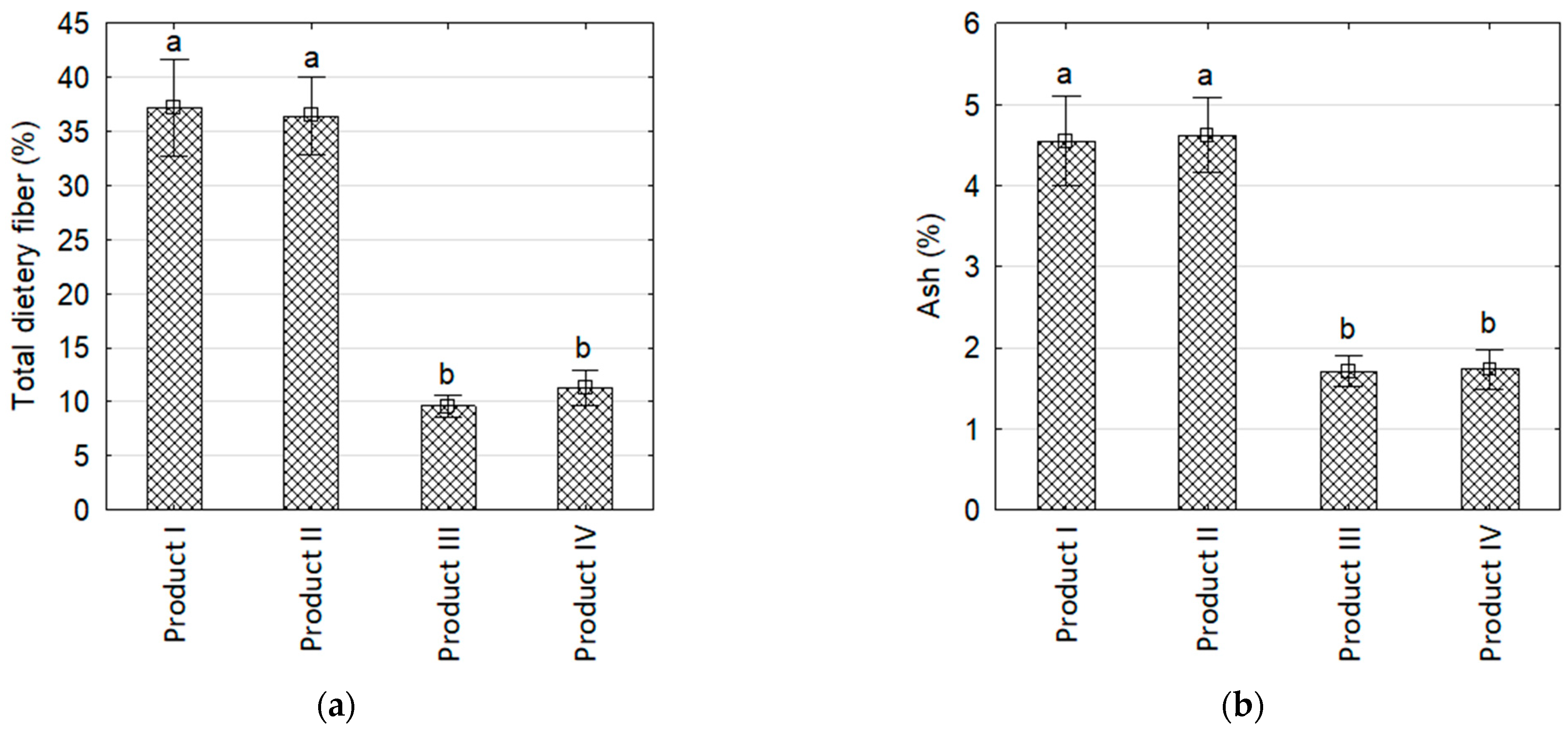
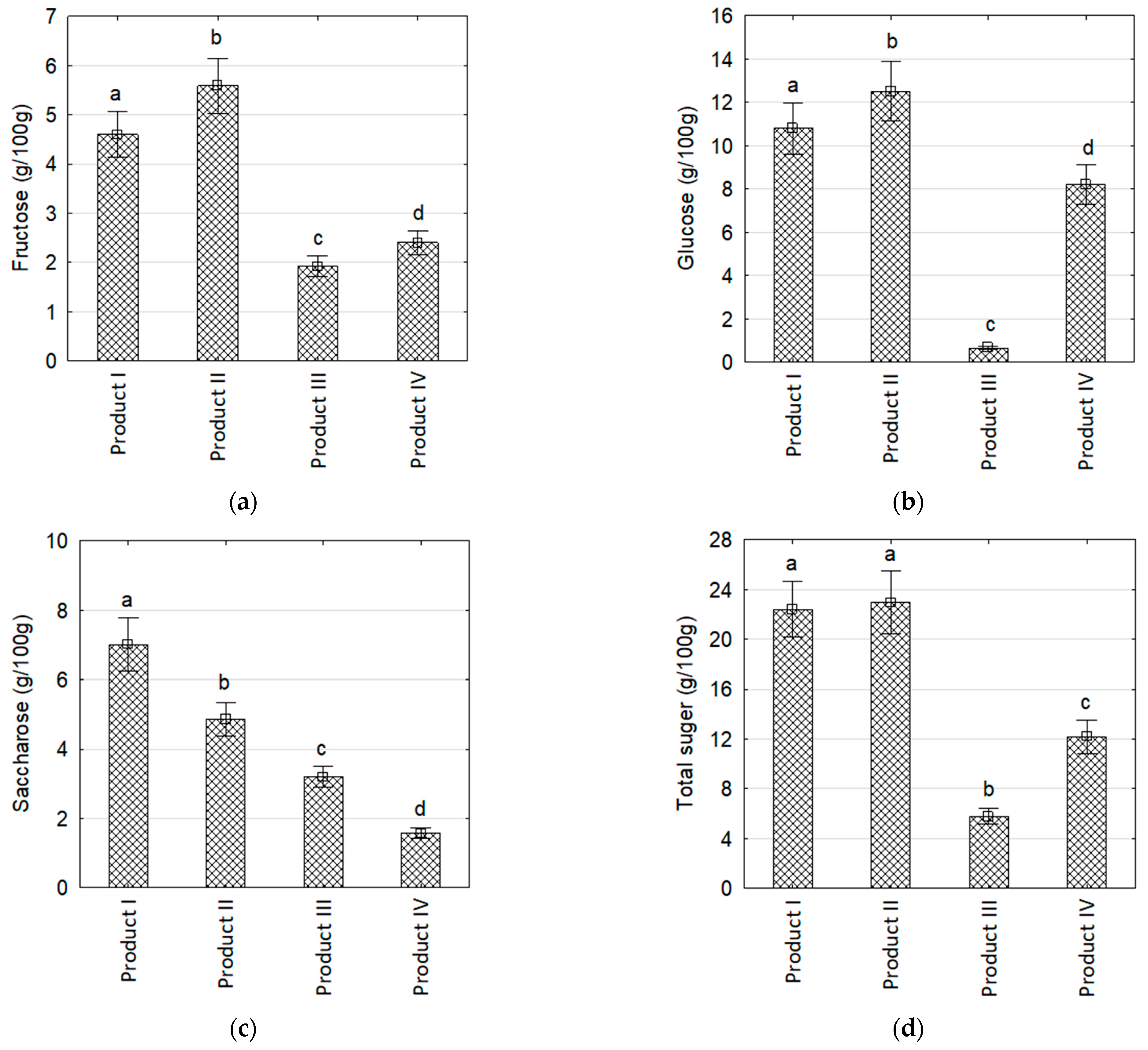
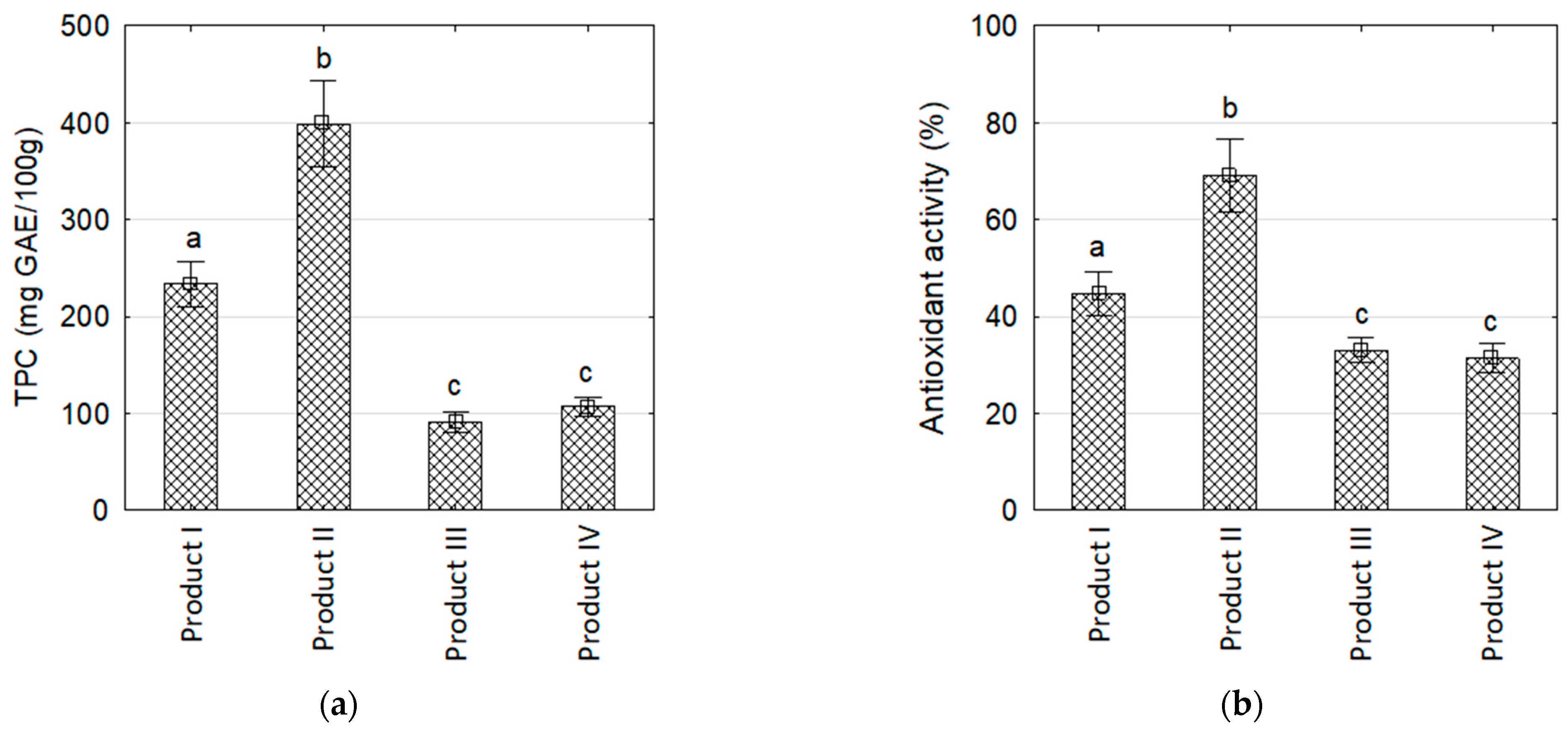
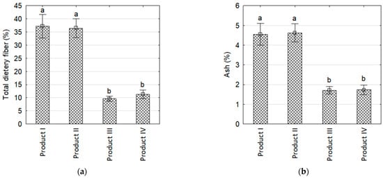
3. Result and discussion
3.1. Physical properties of the obtained products
3.2. Chemical composition of the obtained products
4. Conclusions
Author Contributions
Funding
Institutional Review Board Statement
Informed Consent Statement
Data Availability Statement
Conflicts of Interest
References
- Production of Apple in Poland. Available online: https://www.tridge.com/intelligences/apple/production (accessed on 12 October 2021).
- Gazalli, H.; Malik, A.H.; Sofi, A.H. Nutritional value and physiological effect of apple pomace. Int. J. Food Nutr. Saf. 2014, 5, 11–15. [Google Scholar]
- Vieira, F.G.K.; Borges, G.D.S.C.; Copetti, C.; Pietro, P.F.D.; Nuens, E.D.C.; Fett, R. Phenolic compounds and antioxidant activity of the apple flesh and peel of eleven cultivars grown in Brazil. Sci. Hortic. 2011, 128, 261–266. [Google Scholar] [CrossRef]
- Zielinski, A.A.F.; Alberti, A.; Braga, C.M.; Marques, D.A.; Silva, K.; Canteri, M.H.G.; Mafra, L.I.; Granato, D.; Nogueira, A.; Wosiacki, G. Effect of mash maceration and ripening stage of apples on phenolic compounds and antioxidant power of cloudy juices: A study using chemometrics. LWT-Food Sci. Technol. 2014, 57, 223–229. [Google Scholar] [CrossRef] [Green Version]
- Patocka, J.; Bhardwaj, K.; Klimova, B.; Nepovimova, E.; Wu, Q.; Landi, M.; Kuca, K.; Valis, M.; Wu, W. Malus domestica: A Review on Nutritional Features, Chemical Composition, Traditional and Medicinal Value. Plants 2020, 9, 1408. [Google Scholar] [CrossRef]
- Savatović, S.M.; Tepić, A.N.; Šumić, Z.M.; Nikolić, M.S. Antioxidant activity of polyphenol-enriched apple juice. Acta Period. Technol. 2009, 40, 95–102. [Google Scholar] [CrossRef]
- Campeanu, G.; Neata, G.; Darjanschi, G. Chemical Composition of the Fruits of Several Apple Cultivars Growth as Biological Crop. Not. Bot. Hort. Agrobot. Cluj-Napoca 2009, 37, 161–164. [Google Scholar] [CrossRef]
- Kim, I.; Ku, K.-H.; Jeong, M.-C.; Kim, S.S.; Mitchell, A.E.; Lee, J. A comparison of the chemical composition and antioxidant activity of several new early- to mid-season apple cultivars for a warmer climate with traditional cultivars. J. Sci. Food Agric. 2019, 99, 4712–4724. [Google Scholar] [CrossRef]
- Oszmiański, J.; Lachowicz, S.; Gławdel, E.; Cebulak, T.; Ochmian, I. Determination of phytochemical composition and antioxidant capacity of 22 old apple cultivars grown in Poland. Eur. Food Res. Technol. 2018, 244, 647–662. [Google Scholar] [CrossRef] [Green Version]
- Nadulski, R.; Kobus, Z.; Wilczyński, K.; Zawiślak, K.; Grochowicz, J.; Guz, T. Application of freezing and thawing in apple (Malus domestica) juice extraction. J. Food Sci. 2016, 81, E2718–E2725. [Google Scholar] [CrossRef]
- Wilczyński, K.; Kobus, Z.; Dziki, D. Effect of press construction on yield and quality of apple juice. Sustainability 2019, 11, 3630. [Google Scholar] [CrossRef] [Green Version]
- Nadulski, R.; Kobus, Z.; Guz, T.; Strzałkowska, K.; Kosik, D. Usefulness of the selected apple cultivars for pressing in farm condition. Agric. Eng. 2014, 18, 147–154. [Google Scholar] [CrossRef]
- Wang, H.; Wang, J.; Fang, Z.; Wang, X.; Bu, H. Enhanced Bio-Hydrogen Production by Anaerobic Fermentation of Apple Pomace with Enzyme Hydrolysis. Int. J. Hydrog. Energy 2010, 35, 8303–8309. [Google Scholar] [CrossRef]
- Roberts, J.S.; Gentry, T.S.; Bates, A.W. Utilization of Dried Apple Pomace as a Press Aid to Improve the Quality of Strawberry, Raspberry, and Blueberry Juices. J. Food Sci. 2004, 69, 181–190. [Google Scholar] [CrossRef]
- Cybulska, J.; Zdunek, A.; Sitkiewicz, I.; Galus, S.; Janiszewska, E.; Łaba, S.; Nowacka, M. Możliwości zagospodarowywania wytłoków i innych odpadów przemysłu owocowo-warzywnego (The possibilities of recycling of pomace and other wastes from fruit and vegetable industry). Przem. Ferment I Owoc-Warzyw. 2013, 57, 27–29. [Google Scholar]
- Wightman, J.D.; Wrolsstad, R.E. Anthocyanin Analysis as a Measure of Glycosidase Activity in Enzymes for Juice Processing. J. Food Sci. 1995, 60, 862–867. [Google Scholar] [CrossRef]
- Wightman, J.D.; Wrolstad, R.E. Beta-glucosidase activity in juice processing enzymes based on anthocyanin analysis. J. Food Sci. 1996, 61, 544–547. [Google Scholar] [CrossRef]
- Kołodziejczyk, K.; Markowski, J.; Kosmala, M.; Król, B.; Płocharski, W. Apple pomace as a potential source of nutraceutical products. Pol. J. Food Nutr. Sci. 2007, 57, 291–295. [Google Scholar]
- Shashi, B.; Kalpana, K.; Madhu, S.; Bikram, S.; Ahuja, P.S. Processing of Apple Pomace for Bioactive Molecules. Crit. Rev. Biotechnol. 2008, 28, 285–296. [Google Scholar]
- Grigelmo-Miguel, N.; Martín-Belloso, O. Comparison of Dietary Fibre from By-Products of Processing Fruits and Greens and from Cereals. LWT-Food Sci. Technol. 1999, 32, 503–508. [Google Scholar] [CrossRef]
- Vendruscolo, F.; Albuquerque, P.M.; Streit, F.; Esposito, E.; Ninow, J.L. Apple Pomace: A Versatile Substrate for Biotechnological Application. Crit. Rev. Biotechnol. 2008, 28, 1–12. [Google Scholar] [CrossRef]
- Antonic, A.; Jancikova, S.; Dordevic, D.; Tremlova, B. Apple pomace as food fortification ingredient: A systematic review and meta-analysis. J. Food Sci. 2020, 85, 2977–2985. [Google Scholar] [CrossRef] [PubMed]
- Lyu, F.; Luiz, S.F.; Azeredo, D.R.P.; Cruz, A.G.; Ajlouni, S.; Ranadheera, C.S. Apple Pomace as a Functional and Healthy Ingredient in Food Products: A Review. Processes 2020, 8, 319. [Google Scholar] [CrossRef] [Green Version]
- Shalini, R.; Gupta, D.K. Utilization of pomace from apple processing industries: A review. J. Food Sci. Technol. 2010, 47, 365–371. [Google Scholar] [CrossRef] [PubMed] [Green Version]
- Gullon, B.; Falque, E.; Alonso, J.L.; Parajo, J.C. Evaluation of apple pomace as a raw material for alternative applications in food industries. Food Technol. Biotechnol. 2007, 45, 426–433. [Google Scholar]
- Beigh, Y.A.; Ganai, A.M.; Ahmad, H.A. Utilisation of Apple Pomace as Livetock Feed: A Review. Indian J. Small Rumin. 2015, 21, 165–179. [Google Scholar] [CrossRef]
- Mao, H.; Zhang, T.; Li, R.; Zhai, B.; Wang, Z.; Wang, Q.; Zhang, Z. Apple pomace improves the quality of pig manure aerobic compost by reducing emissions of NH3 and N2O. Sci. Rep. 2017, 7, 870. [Google Scholar] [CrossRef]
- Gulhane, P.A.; Gomashe, A.V.; Kadu, K. Apple Pomace: A Potential Substrate for Ethanol Production. Int. J. Res. Stud. Biosci. 2015, 3, 110–114. Available online: https://www.arcjournals.org/pdfs/ijrsb/v3-i6/18.pdf (accessed on 20 April 2021).
- Chatanta, D.; Attri, C.; Gopal, K.; Devi, M.; Gupta, G.; Bhalla, T. Bioethanol Production from Apple Pomace left after Juice Extraction. Internet J. Microbiol. 2007, 5, 1–12. [Google Scholar] [CrossRef]
- Wojdalski, J.; Grochowicz, J.; Ekielski, A.; Radecka, K.; Stępniak, S.; Orłowski, A.; Florczak, I.; Drożdż, B.; Żelaziński, T.; Kosmala, G. Wytwarzanie, właściwości i możliwości zagospodarowania na cele energetyczne odpadowych wytłoków z przetwórstwa jabłek (Production and properties of apple pomace pellets and their suitability for energy generation purposes). Rocz. Ochr. Śr. 2016, 18, 89–111. [Google Scholar]
- Dhillon, G.S.; Kaur, S.; Brar, S.K. Perspective of apple processing wastes as low-cost substrates for bioproduction of high value products: A review. Renew. Sustain. Energy Rev. 2013, 27, 789–805. [Google Scholar] [CrossRef]
- Gąsik, A.; Mitek, M.; Ginalski, Z.; Krysztoforski, M.A.; Lesisz, J.T.; Sałata, B.; Sazońska, B.; Śliwa, A. Przetwórstwo Owoców na Poziomie Gospodarstwa; Centrum Doradztwa Rolniczego w Brwinowie: Radom, Poland, 2012; pp. 18–39. [Google Scholar]
- PN-EN 12630:1999; Fruit and Vegetable Juices—Determination of Glucose, Fructose, Sorbitol and Sucrose Contents—Method Using High Performance Liquid Chromatography. PKN: Warsaw, Poland, 1999.
- AACC. International Approved Methods of the American Association of Cereal Chemists, 10th ed; The Association: St. Paul, MN, USA, 2000. [Google Scholar]
- PN-EN 14130:2003; Foodstuffs—Determination of Vitamin C by HPLC. PKN: Warsaw, Poland, 2003.
- Singleton, V.L.; Orthofer, R.; Lamuela-Raventos, R.M. Analysis of total phenols and other oxidation substrates and antioxidants by means of Folin-Ciocalteu reagent. Methods Enzymol. 1999, 299, 152–178. [Google Scholar] [CrossRef]
- Kobus, Z.; Guz, T.; Kusińska, E.; Nadulski, R.; Oszczak, W. Wpływ wilgotności na wybrane właściwości fizyczne pszenżyta odmiany Pawo. Inż. Rol. 2010, 3, 61–66. [Google Scholar]
- Statistica 12; StatSoft Inc.: Tulsa, OK, USA, 2014.
- Milner, L.; Kerryb, J.P.; O’Sullivanc, M.G.; Gallaghera, E. Physical, textural and sensory characteristics of reduced sucrose cakes, incorporated with clean-label sugar-replacing alternative ingredients. Innov. Food Sci. Emerg. Technol. 2020, 59, 102235. [Google Scholar] [CrossRef]
- Alongi, M.; Melchior, S.; Anese, M. Reducing the glycemic index of short dough biscuits by using apple pomace as a functional ingredient. LWT-Food Sci. Technol. 2019, 100, 300–305. [Google Scholar] [CrossRef]
- Reis, S.F.; Rai, D.K.; Abu-Ghannam, N. Apple pomace as a potential ingredient for the development of new functional foods. Int. J. Food Sci. Technol. 2014, 49, 1743–1750. [Google Scholar] [CrossRef]
- Kruczek, M.; Gumul, D.; Kacániová, M.; Ivanišhová, E.; Marecek, J.; Gambuss, H. Industrial apple pomace by-products as a potential source of pro-health compounds in functional food. J. Microbiol. Biotechnol. Food Sci. 2017, 7, 22–26. [Google Scholar] [CrossRef]
- Malik, S.; Khanam, T.; Ashwal, L.; Gururani, P.; Rathi, N. Pomace: A potential ingredient of cake making a review paper. J. Pharm. Innov. 2019, 8, 526–530. [Google Scholar]
- Torbica, M.A.; Tomić, J.M.; Savanović, D.M.; Pajin, B.S.; Petrović, J.S.; Lončarević, I.S.; Fišteš, A.Z.; Blažek- Mocko, K.A. Utilization of apple pomace coextruded with corn grits in sponge cake creation. Food Feed Res. 2018, 45, 149–157. [Google Scholar] [CrossRef]
- Mir, S.A.; Bosco, S.J.D.; Shah, M.A.; Santhalakshmy, S.; Mir, M.M. Effect of apple pomace on quality characteristics of brown rice based cracker. J. Saudi Soc. Agric. Sci. 2017, 16, 25–32. [Google Scholar] [CrossRef] [Green Version]
- Gorinstein, S.; Zachwieja, Z.; Folta, M.; Barton, H.; Piotrowicz, J.; Zemser, M.; Màrtín-Belloso, O. Comparative contents of dietary fiber, total phenolics, and minerals in persimmons and apples. J. Agric. Food Chem. 2001, 49, 952–957. [Google Scholar] [CrossRef]
- Leyva-Corral, J.; Quintero-Ramos, A.; Camacho-Davila, A.; de Jesús Zazueta-Morales, J.; Aguilar-Palazuelos, E.; Ruiz-Gutiérrez, M.G.; Meléndez-Pizarro, C.O.; de Jesús Ruiz-Anchondo, T. Polyphenolic compound stability and antioxidant capacity of apple pomace in an extruded cereal. LWT-Food Sci. Technol. 2016, 65, 228–236. [Google Scholar] [CrossRef]
- Sudha, M.L.; Baskaran, V.; Leelavathi, K. Apple pomace as a source of dietary fiber and polyphenols and its effect on the rheological characteristics and cake making. Food Chem. 2007, 104, 686–692. [Google Scholar] [CrossRef]
- Drożdż, W.; Tomaszewska-Ciosk, E.; Zdybel, E.; Boruczkowska, H.; Boruczkowski, T.; Regiec, P. Effect of apple and rosehip pomaces on colour, total phenolics and antioxidant activity of corn extruded snacks. Pol. J. Chem. Technol. 2014, 16, 7–11. [Google Scholar] [CrossRef] [Green Version]
- Singha, P.; Muthukumarappan, K. Single Screw Extrusion of Apple Pomace-Enriched Blends: Extrudate Characteristics and Determination of Optimum Processing Conditions. Food Sci. Technol. Int. 2018, 24, 447–462. [Google Scholar] [CrossRef] [PubMed]










| Size | Value |
|---|---|
| Total sugars, g/100 g | 7.465 ± 0.32 |
| Fructose, g/100 g | 5.148 ± 0.13 |
| Sucrose, g/100g | 0.583 ± 0.03 |
| Glucose, g/100 g | 1.733 ± 0.11 |
| Sorbitol, g/100 g | 0.314 ± 0.26 |
| Protein, % | 1.979 ± 0.07 |
| Fat, % | 0.810 ± 0.41 |
| Dietary fiber, % | 5.336 ± 0.11 |
| Vitamin C, mg/100 g | 2.545 ± 0.03 |
| Ash, % | 3.843 ± 0.23 |
| Polyphenols, mg GAE/100 g | 45.08 ± 2.48 |
| Antioxidant activity, % | 49.57 ± 2.73 |
| Dry matter content, % | 18.1 ± 1.01 |
| Product | Product Moisture Content (%) | Angle of Repose (°) | Cone Angle (°) | Bulk Density (kg/m3) | TAPPED Density (kg/m3) | Average Particle Size (mm) |
|---|---|---|---|---|---|---|
| PI | 8.62 ± 0.56 | 32 ± 2 | 37.4 ± 2.8 | 211.2 ± 16.4 | 248.8 ± 18.1 | 2.84 ± 0.23 |
| PII | 8.93 ± 0,61 | 33 ± 3 | 38.7 ± 2.4 | 216.1 ± 18.1 | 253.9 ± 20.1 | 2.91 ± 0.28 |
| Product | Product Moisture Content (%) | Hardness (N) | Cutting Force (N) |
|---|---|---|---|
| Product PIII | 10.34 | 128.3 ± 33.4 | 8.84 ± 3.3 |
| Product PIV | 14.70 | 73.53 ± 24.3 | 10.8 ± 3.8 |
Publisher’s Note: MDPI stays neutral with regard to jurisdictional claims in published maps and institutional affiliations. |
© 2022 by the authors. Licensee MDPI, Basel, Switzerland. This article is an open access article distributed under the terms and conditions of the Creative Commons Attribution (CC BY) license (https://creativecommons.org/licenses/by/4.0/).
Share and Cite
Sobczak, P.; Nadulski, R.; Kobus, Z.; Zawiślak, K. Technology for Apple Pomace Utilization within a Sustainable Development Policy Framework. Sustainability 2022, 14, 5470. https://doi.org/10.3390/su14095470
Sobczak P, Nadulski R, Kobus Z, Zawiślak K. Technology for Apple Pomace Utilization within a Sustainable Development Policy Framework. Sustainability. 2022; 14(9):5470. https://doi.org/10.3390/su14095470
Chicago/Turabian StyleSobczak, Paweł, Rafał Nadulski, Zbigniew Kobus, and Kazimierz Zawiślak. 2022. "Technology for Apple Pomace Utilization within a Sustainable Development Policy Framework" Sustainability 14, no. 9: 5470. https://doi.org/10.3390/su14095470
APA StyleSobczak, P., Nadulski, R., Kobus, Z., & Zawiślak, K. (2022). Technology for Apple Pomace Utilization within a Sustainable Development Policy Framework. Sustainability, 14(9), 5470. https://doi.org/10.3390/su14095470

