Permeable Pavements for Flood Control in Australia: Spatial Analysis of Pavement Design Considering Rainfall and Soil Data
Abstract
1. Introduction
2. Methods
2.1. Design Considerations
2.2. Selection of Towns and Cities for Spatial Analysis
2.3. Collection of Rainfall Data
2.4. Soil Types
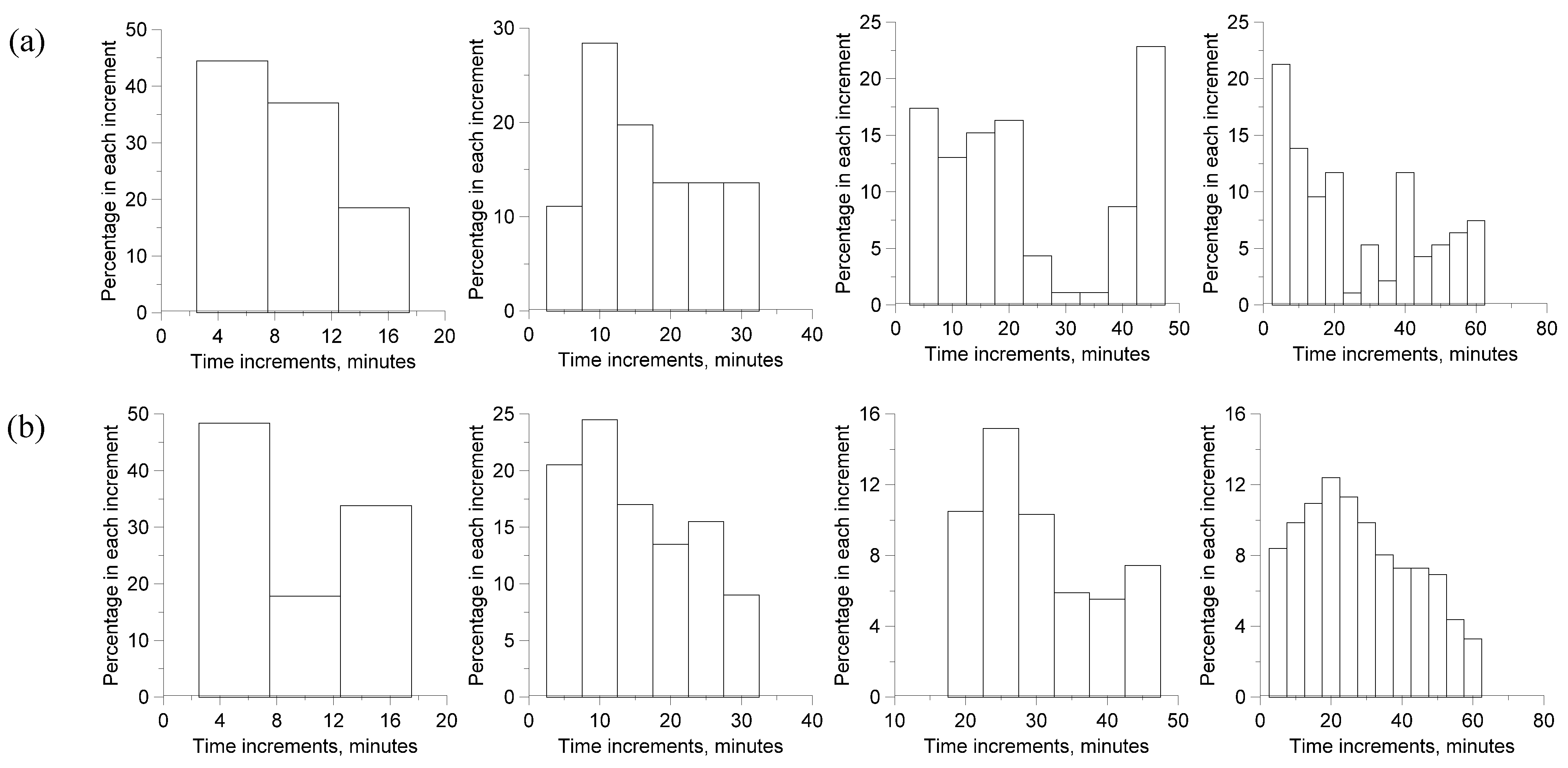
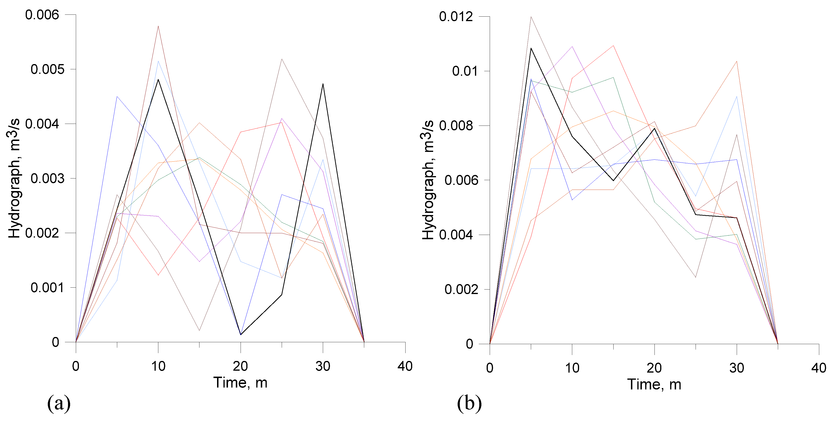
2.5. Calculating Pavement Base Course Thickness: Hydraulic Design
3. Results and Discussion
3.1. Relations: Design Thickness vs. Permeability vs. Rainfall Intensity
3.2. Spatial Distribution of Design Thickness
4. Conclusions
Author Contributions
Funding
Data Availability Statement
Acknowledgments
Conflicts of Interest
References
- Ladds, M.; Keating, A.; Handmer, J.; Magee, L. How much do disasters cost? A comparison of disaster cost estimates in Australia. Int. J. Disaster Risk Reduct. 2017, 21, 419–429. [Google Scholar] [CrossRef]
- Nafari, R.H.; Ngo, T.; Mendis, P. An Assessment of the Effectiveness of Tree-Based Models for Multi-Variate Flood Damage Assessment in Australia. Water 2016, 8, 282. [Google Scholar] [CrossRef]
- Yamashita, S.; Watanabe, R.; Shimatani, Y. Smart adaptation to flooding in urban areas. Procedia Eng. 2015, 118, 1096–1103. [Google Scholar] [CrossRef][Green Version]
- Razzaghmanesh, M.; Beecham, S. A Review of Permeable Pavement Clogging Investigations and Recommended Maintenance Regimes. Water 2018, 10, 337. [Google Scholar] [CrossRef]
- Drake, J.A.; Bradford, A.; Marsalek, J. Review of environmental performance of permeable pavement systems: State of the knowledge. Water Qual. Res. J. Can. 2013, 48, 203–222. [Google Scholar] [CrossRef]
- Saadeh, S.; Ralla, A.; Al-Zubi, Y.; Wu, R.; Harvey, J. Application of fully permeable pavements as a sustainable approach for mitigation of stormwater runoff. Int. J. Transp. Sci. Technol. 2019, 8, 338–350. [Google Scholar] [CrossRef]
- Dai, K.; Liu, W.; Shui, X.; Fu, D.; Zevenbergen, C.; Singh, R.P. Hydrological Effects of Prefabricated Permeable Pavements on Parking Lots. Water 2022, 14, 45. [Google Scholar] [CrossRef]
- Imran, H.M.; Akib, S.; Karim, M.R. Permeable pavement and stormwater management systems: A review. Environ. Technol. 2013, 34, 2649–2656. [Google Scholar] [CrossRef]
- Kamali, M.; Delkash, M.; Tajrishy, M. Evaluation of permeable pavement responses to urban surface runoff. J. Environ. Manag. 2017, 187, 43–53. [Google Scholar] [CrossRef]
- Hu, M.; Zhang, X.; Siu, Y.L.; Li, Y.; Tanaka, K.; Yang, H.; Xu, Y. Flood Mitigation by Permeable Pavements in Chinese Sponge City Construction. Water 2018, 10, 172. [Google Scholar] [CrossRef]
- Alyaseri, I.; Zhou, J. Stormwater Volume Reduction in Combined Sewer Using Permeable Pavement: City of St. Louis. J. Environ. Eng. 2016, 142, 04016002. [Google Scholar] [CrossRef]
- Andres-Valeri, V.C.; Juli-Gandara, L.; Jato-Espino, D.; Rodriguez-Hernandez, J. Characterization of the Infiltration Capacity of Porous Concrete Pavements with Low Constant Head Permeability Tests. Water 2018, 10, 480. [Google Scholar] [CrossRef]
- CMAA. DesignPave Software. Available online: https://www.cmaa.com.au/DesignPave/faq (accessed on 8 June 2020).
- Zhu, H.; Yu, M.; Zhu, J.; Lu, H.; Cao, R. Simulation study on effect of permeable pavement on reducing flood risk of urban runoff. Int. J. Transp. Sci. Technol. 2019, 8, 373–382. [Google Scholar] [CrossRef]
- Liu, W.; Feng, Q.; Chen, W.; Deo, R.C. Stormwater runoff and pollution retention performances of permeable pavements and the effects of structural factors. Environ. Sci. Pollut. Res. 2020, 27, 30831–30843. [Google Scholar] [CrossRef] [PubMed]
- Li, H.; Harvey, J.T.; Holland, T.J.; Kayhanian, M. The use of reflective and permeable pavements as a potential practice for heat island mitigation and stormwater management. Environ. Res. Lett. 2013, 8, 015023. [Google Scholar] [CrossRef]
- Liu, Q.; Liu, S.; Hu, G.; Yang, T.; Du, C.; Oeser, M. Infiltration capacity and structural analysis of permeable pavements for sustainable urban: A full-scale case study. J. Clean. Prod. 2021, 288, 125111. [Google Scholar] [CrossRef]
- Lin, W.; Kim, I.T.; Kim, H.; Cho, Y.-H. Water Runoff Characteristics in Porous Block Pavements Using an Accelerated Pavement Tester. J. Hydrol. Eng. 2014, 19, 04014012. [Google Scholar] [CrossRef]
- Kia, A.; Delens, J.M.; Wong, H.S.; Cheeseman, C.R. Structural and hydrological design of permeable concrete pavements. Case Stud. Constr. Mater. 2021, 15, e00564. [Google Scholar] [CrossRef]
- Yang, Q.; Dai, F.; Beecham, S. The influence of evaporation from porous concrete on air temperature and humidity. J. Environ. Manag. 2022, 306, 114472. [Google Scholar] [CrossRef]
- CMAA. PE01- Permeable Interlocking Concrete Pavements Design and Construction Guide; Concrete Masonry Association of Australia (CMAA): Sydney, Australia, 2010. [Google Scholar]
- Smith, D.R. Permeable Interlocking Concrete Pavement [Techbrief]; Federal Highway Administration: Washington, DC, USA, 2019.
- Antunes, L.N.; Sydney, C.; Ghisi, E.; Phoenix, V.R.; Thives, L.P.; White, C.; Garcia, E.S.H. Reduction of Environmental Impacts Due to Using Permeable Pavements to Harvest Stormwater. Water 2020, 12, 2840. [Google Scholar] [CrossRef]
- SDGS. Sustainable Development Goals. Available online: https://sdgs.un.org/goals (accessed on 25 March 2022).
- Singh, A.; Vaddy, P.; Biligiri, K.P. Quantification of embodied energy and carbon footprint of pervious concrete pavements through a methodical lifecycle assessment framework. Resour. Conserv. Recycl. 2020, 161, 104953. [Google Scholar] [CrossRef]
- Rahman, M.M.; Beecham, S.; Iqbal, A.; Karim, M.R.; Rabbi, A.T.Z. Sustainability Assessment of Using Recycled Aggregates in Concrete Block Pavements. Sustainability 2020, 12, 4313. [Google Scholar] [CrossRef]
- Rahman, M.M.; Hora, R.N.; Ahenkorah, I.; Beecham, S.; Karim, M.R.; Iqbal, A. State-of-the-Art Review of Microbial-Induced Calcite Precipitation and its Sustainability in Engineering Applications. Sustainability 2020, 12, 6281. [Google Scholar] [CrossRef]
- Yang, Q.; Beecham, S.; Liu, J.; Pezzaniti, D. The influence of rainfall intensity and duration on sediment pathways and subsequent clogging in permeable pavements. J. Environ. Manag. 2019, 246, 730–736. [Google Scholar] [CrossRef] [PubMed]
- Liu, J.; Yan, H.; Liao, Z.; Zhang, K.; Schmidt, A.R.; Tao, T. Laboratory analysis on the surface runoff pollution reduction performance of permeable pavements. Sci. Total Environ. 2019, 691, 1–8. [Google Scholar] [CrossRef]
- Disfani, M.M.; Mohammadinia, A.; Narsilio, G.A.; Aye, L. Performance evaluation of semi-flexible permeable pavements under cyclic loads. Int. J. Pavement Eng. 2020, 21, 336–346. [Google Scholar] [CrossRef]
- Braswell, A.S.; Winston, R.J.; Hunt, W.F. Hydrologic and water quality performance of permeable pavement with internal water storage over a clay soil in Durham, North Carolina. J. Environ. Manag. 2018, 224, 277–287. [Google Scholar] [CrossRef]
- Selbig, W.R.; Buer, N.; Danz, M.E. Stormwater-quality performance of lined permeable pavement systems. J. Environ. Manag. 2019, 251, 109510. [Google Scholar] [CrossRef]
- Chu, L.; Fwa, T.F. Evaluation of surface infiltration performance of permeable pavements. J. Environ. Manag. 2019, 238, 136–143. [Google Scholar] [CrossRef]
- Xie, J.; Jia, S.; Li, H.; Gao, L. Study on the influence of clogging on the cooling performance of permeable pavement. Water 2018, 10, 299. [Google Scholar] [CrossRef]
- Alsubih, M.; Arthur, S.; Wright, G.; Allen, D. Experimental study on the hydrological performance of a permeable pavement. Urban Water J. 2017, 14, 427–434. [Google Scholar] [CrossRef]
- Hong, Y.-M. The simplified design method of permeable pavement system for urban catchment. Environ. Chall. 2021, 2, 100014. [Google Scholar] [CrossRef]
- Rushton, B.T. Low-Impact Parking Lot Design Reduces Runoff and Pollutant Loads. J. Water Resour. Plan. Manag. 2001, 127, 172–179. [Google Scholar] [CrossRef]
- BOM. Design Rainfall Data System. Available online: http://www.bom.gov.au/water/designRainfalls/revised-ifd/ (accessed on 12 December 2021).
- Coombes, P.; Roso, S. (Eds.) Runoff in Urban Areas, Book 9 in Australian Rainfall and Runoff—A Guide to Flood Estimation; Geoscience Australia: Barton, ACT, Australia, 2019.
- Wilches, F.J.; Burbano, J.L.A.; Sierra, E.E.C. Subgrade soils characterization data, for correlation of geotechnical variables on urban roads in northern Colombia. Data Brief 2020, 32, 106095. [Google Scholar] [CrossRef] [PubMed]
- Gilson. California Bearing Ratio Test: CBR Values & Why They Matter. Available online: https://www.globalgilson.com/blog/cbr-testing (accessed on 22 January 2022).
- Chung, C.-K.; Kim, J.-H.; Kim, J.; Kim, T. Hydraulic Conductivity Variation of Coarse-Fine Soil Mixture upon Mixing Ratio. Adv. Civ. Eng. 2018, 2018, 6846584. [Google Scholar] [CrossRef]
- Argue, J.R. (Ed.) Water Sensitive Urban Design: Basic Procedures for ‘Source Control’ of Stormwater; University of South Australia: Adelaide, Australia, 2013. [Google Scholar]
- Sharma, V.; Sharma, M.; Pandita, S.; Kour, J.; Sharma, N. 11-Application of geographic information system and remote sensing in heavy metal assessment. In Heavy Metals in the Environment; Kumar, V., Sharma, A., Cerdà, A., Eds.; Elsevier: Amsterdam, The Netherlands, 2021; pp. 191–204. [Google Scholar] [CrossRef]
- Paramasivam, C.R.; Venkatramanan, S. Chapter 3-An Introduction to Various Spatial Analysis Techniques. In GIS and Geostatistical Techniques for Groundwater Science; Venkatramanan, S., Prasanna, M.V., Chung, S.Y., Eds.; Elsevier: Amsterdam, The Netherlands, 2019; pp. 23–30. [Google Scholar] [CrossRef]
- BOM. Rainfall Percentiles. Available online: http://www.bom.gov.au/jsp/ncc/climate_averages/rainfall-percentiles/index.jsp?maptype=12&period=Annual&product=50th#maps (accessed on 12 January 2022).
- Ball, J.; Babister, M.; Nathan, R.; Weeks, W.; Weinmann, E.; Retallick, M.; Testoni, I. (Eds.) Australian Rainfall and Runoff: A Guide to Flood Estimation; Geoscience Australia: Barton, ACT, Australia, 2019.
- ARR. Australian Rainfall & Runoff: Data Hub. Available online: http://data.arr-software.org/ (accessed on 12 December 2021).
- SoE. 2016 SoE Land Australian Soil Classification Orders. Available online: https://data.gov.au/dataset/ds-dga-116eb634-fc0b-42d8-ae27-b876a12c4f6a/details (accessed on 25 February 2021).
- DEW. Soils (Soil Type). Available online: https://data.sa.gov.au/data/dataset/ae914203-50c3-4194-acc5-402c2cd62841 (accessed on 11 February 2022).
- QLDGov. Common Soil Types. Available online: https://www.qld.gov.au/environment/land/management/soil/soil-testing/types#:~:text=Calcarosols,rocks%2C%20limestone%20and%20windborne%20deposits (accessed on 19 August 2021).
- GRDC. Soils What Are We Talking About? Available online: https://grdc.com.au/resources-and-publications/groundcover/ground-cover-issue-40-sa/soils-what-are-we-talking-about (accessed on 19 August 2021).
- VRO. Contenders for State Soil. Available online: http://vro.agriculture.vic.gov.au/dpi/vro/vrosite.nsf/pages/soil_vic_contenders (accessed on 19 August 2021).
- MCC. Manual of Engineering Standards: 5- Pavement Design; Maitland City Council: Maitland, NSW, Australia, 2018.












| Soil Description | Hydraulic Conductivity Range (m/s) | Assumed Design Value (m/s) | |
|---|---|---|---|
| Min. | Max. | ||
| Well-graded sands | 5 × 10−6 | 5 × 10−4 | 2.5 × 10−4 |
| Poorly graded sands and gravely sands | 5 × 10−7 | 5 × 10−6 | 3 × 10−6 |
| Silty sands | 10−9 | 5 × 10−6 | 2.5 × 10−6 |
| Clayey sand | 10−9 | 10−6 | 5 × 10−7 |
| Well-graded gravel | 10−5 | 10−3 | 5 × 10−4 |
| Poorly graded gravels and gravel-sand mixtures | 5 × 10−5 | 10−3 | 5 × 10−4 |
| Silty gravels | 10−8 | 10−4 | 5 × 10−5 |
| Clayey gravels | 10−8 | 10−6 | 5 × 10−7 |
| Inorganic silts, very fine sands, clayey fine sands | 10−9 | 10−7 | 5 × 10−8 |
| Inorganic clays, gravely clays, sandy clays | 10−9 | 10−8 | 5 × 10−9 |
| Inorganic silts, elastic silts | 10−10 | 10−9 | 5 × 10−10 |
| Inorganic clays of high plasticity | 10−11 | 10−9 | 5 × 10−10 |
Publisher’s Note: MDPI stays neutral with regard to jurisdictional claims in published maps and institutional affiliations. |
© 2022 by the authors. Licensee MDPI, Basel, Switzerland. This article is an open access article distributed under the terms and conditions of the Creative Commons Attribution (CC BY) license (https://creativecommons.org/licenses/by/4.0/).
Share and Cite
Iqbal, A.; Rahman, M.M.; Beecham, S. Permeable Pavements for Flood Control in Australia: Spatial Analysis of Pavement Design Considering Rainfall and Soil Data. Sustainability 2022, 14, 4970. https://doi.org/10.3390/su14094970
Iqbal A, Rahman MM, Beecham S. Permeable Pavements for Flood Control in Australia: Spatial Analysis of Pavement Design Considering Rainfall and Soil Data. Sustainability. 2022; 14(9):4970. https://doi.org/10.3390/su14094970
Chicago/Turabian StyleIqbal, Asif, Md Mizanur Rahman, and Simon Beecham. 2022. "Permeable Pavements for Flood Control in Australia: Spatial Analysis of Pavement Design Considering Rainfall and Soil Data" Sustainability 14, no. 9: 4970. https://doi.org/10.3390/su14094970
APA StyleIqbal, A., Rahman, M. M., & Beecham, S. (2022). Permeable Pavements for Flood Control in Australia: Spatial Analysis of Pavement Design Considering Rainfall and Soil Data. Sustainability, 14(9), 4970. https://doi.org/10.3390/su14094970

